Artículo
Reintroduction and monitoring of the bird Amazona aestiva (Psittaciformes: Psittacidae) in Brazil
Reintroducción y seguimiento del ave Amazona aestiva (Psittaciformes: Psittacidae) en Brasil
Reintroduction and monitoring of the bird Amazona aestiva (Psittaciformes: Psittacidae) in Brazil
Revista de Biología Tropical, vol. 71, no. 1, pp. 1-16, 2023
Universidad de Costa Rica
Received: 14 November 2022
Revised document received: 20 March 2023
Accepted: 16 May 2023
Abstract
Introduction: Reintroduction is a procedure used to reestablish wild animal populations.
Objective: To evaluate the success of reintroducing Amazona aestiva and investigate whether abiotic factors (temperature, humidity, and luminosity) interfere with the search for food supplementation in feeders installed in the release area.
Methods: Pre-release evaluations were initiated with 59 Amazonas spp. Tests were run to stool parasitological tests, leukocytes, flight capacity, and level of animal-human interaction. In all, 33 animals were selected and sent to the release area, which is an ecotone between the Atlantic Forest and the Caatinga biomes. After release, visits to the feeders and survival in the area were monitored for a year. Abiotic factors were also recorded in these periods.
Results: The stool parasitological tests revealed the presence of Heterakis spp. and Eimeira spp. The leukocyte parameters were within the reference values for the species. At least 50 % of the released animals survived after one year, with recordings of reproductive events. Abiotic factors did not interfere with the animal visits to the feeder. However, the variable humidity best explained visits in the morning, while the variables temperature and luminosity most influenced visits in the afternoon.
Conclusion: The reintroduction observed and presented here is on the threshold of being classified as successful. The installed feeders and artificial nests caused the animals to stay in the area for monitoring. Abiotic factors may influence daily behavioral decision-making related to the use of supplementary feeding in reintroduced parrots.
Key words: Turquoise-fronted parrot+ cetas+ monitoring post-release+ food supplementation+ seasonal variation.
Resumen
Introducción: La reintroducción es un procedimiento utilizado para restablecer las poblaciones de animales silvestres.
Objetivo: Evaluar el éxito de la reintroducción de Amazona aestiva e investigar si los factores abióticos (temperatura, humedad y luminosidad) interfieren en la búsqueda de la complementación alimenticia en los comederos instalados en el área de liberación.
Métodos: Se iniciaron evaluaciones previas a la liberación con 59 Amazonas spp. Se realizaron pruebas de parasitología en heces, leucocitos, capacidad de vuelo y nivel de interacción animal-humano. En total, 33 animales fueron seleccionados y enviados al área de liberación, que es una región de ecotono entre los biomas de la Mata Atlántica y la Caatinga. Después de la liberación, se monitorearon durante un año las visitas a los comederos y la supervivencia en el área. En estos períodos también se registraron factores abióticos.
Resultados: Las pruebas parasitológicas de huevos y parásitos en heces revelaron la presencia de Heterakis spp. y Eimeira spp. Los parámetros leucocitarios estuvieron dentro de los valores de referencia para la especie. Al menos el 50 % de los animales liberados sobrevivieron después de un año, con registros de eventos reproductivos. Los factores abióticos no interfirieron con las visitas de los animales al comedero. Sin embargo, la variable humedad explicó mejor las visitas por la mañana, mientras que las variables temperatura y luminosidad influyeron en la mayoría de las visitas por la tarde.
Conclusión: La reintroducción está en el umbral de ser clasificada como exitosa. Los comederos y nidos artificiales instalados provocaron que los animales permanecieran en el área para ser monitoreados. Los factores abióticos pueden influir en la toma de decisiones de comportamiento diario relacionadas con el uso de alimentación complementaria en loros reintroducidos.
Palabras clave: Loro de frente turquesa, cetas, seguimiento posterior a la liberación, complemento alimenticio, variación estacional.
Introduction
Amazona aestiva (Linneaus, 1758), known as the turquoise-fronted parrot, is a species of Neotropical parrot widely distributed in ecosystems in Brazil such as humid forests, caatinga, and cerrado (Sick, 2001). Although the species is considered of ''Near Threatened '' for the risk of extinction (IUCN, 2018), the population has been gradually decreasing due to habitat loss and, mainly, by illegal trade (Schunck et al., 2011). In Brazil, Amazon aestiva is one of the psittacids that most often enter wildlife screening centers (Destro et al., 2012; Schunck et al., 2011). Therefore, decisions on how these rescued animals are handled must be judicious, while also ensuring their safe return to nature (White Jr. et al., 2012).
Wildlife reintroductions are common conservation tools aimed at reestablishing populations of species within their historic geographic range (Armstrong & Seddon, 2008; Fischer & Lindenmeyer, 2000; Griffith et al., 1989; White Jr. et al., 2012). Reintroduction projects of Amazona aestiva help determine the destination of animals rescued from trafficking and provide more accurate information on procedures on this methodology, which can be applied to the conservation of other threatened species (de Azevedo et al., 2017; Silva et al., 2021; White Jr. et al., 2012).
According to a systematic review that evaluated 75 scientific studies on bird reintroductions and the threats to restoring these populations, 13 factors had a negative impact on these activities. The main factors were predation and unexpected dispersion of animals (Destro et al., 2018).
A strategy used to ensure the fidelity of reintroduced animals is supplementary feeding with feeders and artificial nests placed in the release areas (Tollington et al., 2013; White Jr. et al., 2012). Long-term food supplementation can help increase social interactions and improve the integration of new birds reintroduced into previously established flocks (Brightsmith et al., 2005; Elliott, 2006; Lima et al., 2014; Paranhos et al., 2007; Plair et al., 2008).
The characteristics and state of conservation of the environment, as well as climatic conditions, can also influence the fidelity of reintroduced animals. Physical environmental factors define microclimates occupied by birds and these microclimates affect energy balance and water consumption and influence behaviors (Bakken et al., 1991; Petit et al., 1985; Ryder, 1977; Wolf & Walsberg, 1996). Moreover, the combination of these factors may affect how reintroduced birds search for supplementary feeding and may influence the fidelity of animals to the area. Therefore, it is critical to understand how environmental factors can interfere with the search for supplementary feeding in feeders when managing areas destined for reintroduction. This information can help managers decide the best way to implement, maintain, and monitor feeders (Ewen et al., 2015).
Supplementary feeding is associated with many positive effects in various bird reintroduction projects (Brightsmith et al., 2005; Vilarta et al., 2021). However, further research is needed on the broader impacts of food supply and factors such as climate, pathogen dispersal, and predation (Robb et al., 2008). Thus, this study aimed to evaluate the reintroduction success of a group of Amazona aestiva and whether abiotic factors (temperature, humidity, and luminosity) interfere in the daily search dynamics for food supplementation in feeders. The hypothesis is that animals may seek more food supplementation in more unfavorable abiotic conditions for more distant foraging, such as low light, temperature, and high humidity.
Materials and methods
Animal: At the beginning of this study (January 2015), the Wildlife Screening Center (Centro de Triagem de Animais Silvestres - CETAS, in Portuguese) in Vitória da Conquista, housed 59 Amazonas spp. These animals came mainly from illegal trade confiscations. This study was submitted to and approved by the Animal Ethics Committee of the Multidisciplinary Institute of Health of the Universidade Federal da Bahia, under number 034/2015.
All 59 animals were initially tested to detect gastrointestinal parasites. For this test, fecal samples were randomly collected from the floor of the enclosures according to the number of birds. Stool parasitological tests were performed using the direct method, the Willis method, and the spontaneous sedimentation method (Matos & Matos, 1988). Once the endoparasites were identified, all birds were subjected to therapeutic interventions with piperazine citrate tetrahydrate, diluted in water, for three consecutive days (Miranda et al., 2014). New fecal samples were collected to evaluate the effectiveness of treatment after 20 days.
Soon after completing the first dose of antiparasitic treatment, flight capacity was evaluated only for animals of the species Amazona aestiva, the focus of this study. This evaluation was carried out using the methodology proposed by Pedroso (2013), in which the flight capacity of each animal is related to a score ranging from 1-4, from animals that did not fly to those that flew with constant rhythm and height. Only animals with a score of three or four had the flight capacity required to continue in the reintroduction project.
The animals selected in the flight capacity test were transferred to a single enclosure 4.15 m in length, 3.70 m in width, and 4.00 m in height outside the CETAS building, near denser vegetation, used to prepare animals for reintroduction. After three days of acclimatization, the test of socialization/aversion to humans was performed. Animals that showed aversion to the approach of an unknown human offering food were subsequently selected. The animals that accepted the food were removed from the enclosure and returned to the initial enclosures (Pedroso, 2013; Ramos et al., 2021).
From the selected group, feces were collected again from the enclosure to evaluate the effectiveness of the treatment, as previously described. Blood samples were also collected to analyze hematological parameters (leukogram) and for molecular sexing. The blood was collected by cutting the claw to obtain a small volume of blood (around 10 µl), according to Echols (1999), Murray (1997), and Silva et al. (2021). Blood smears were immediately prepared by the sliding technique and Panoptic fast staining to assess the leukocyte profile of the animals (Guzman et al., 2008).
A drop of blood from each bird was transferred to a filter paper for molecular sexing using an optimized protocol described by Griffiths (1998) and published by Barros et al. (2017) to determine the ratio between released males and females and support the reproductive monitoring of the established pairs. At the time of blood collection, all animals were individually clinically evaluated by a veterinarian to detect clinical signs of any infectious disease that was suggestive of further research (Miranda et al., 2014).
Environmental physical and food enrichment was used to support the social interaction between individuals seeking group cohesion, flight training, stimulation for the formation of pairings, and to stimulate post-release foraging. The enrichment was carried out in the CETAS facilities for four months using tree branches, hanging toys made with colored wood and sisal rope, and whole fruits hanging or hidden in boxes. Enrichment elements were changed twice a week (Rupley & Simone-Freilicher, 2015; Simone-Freilicher & Rupley, 2015).
Each animal was identified with a numbered metal ring placed on the tarsus (Rings-CETAS/UFBA + numbering) and by microchip (electronic microchip, microchip-electronic tag in the 12 mm mark) with individual numbers inserted into the pectoral muscle of the animal without impairing its flight capacity. In addition to these markings, the ventral region of the animals was painted with non-toxic red paint for easier identification in the wild, after reintroduction (Raigoza-Figueras, 2014). To facilitate distance identification, photographs of the animals, specifically the phenotypic characteristics of the head region, were taken of each individual and included in a portfolio.
Study area: The area selected to receive the animals is in the rural area of the municipality of Condeuba, Bahia, Brazil, at an altitude of approximately 634 m (14°53'43'' S & 41°48'11'' W). Condeuba has approximately 17 000 inhabitants and an area of 1 285.9 km², with a population density of 13.1 inhabitants per km², according to the regional census (Cidade-Brasil, 2016).
The area is characterized by vegetation typically found in the transitional environment of two biomes, that is, medium and large trees such as Copaifera langsdorffii Desf. (Caesalpinioideae) in the Atlantic Forest and vegetation such as Anadenanthera macrocarpa in the Caatinga (Benth.) (IBGE, 2016). According to the European Centre for Medium-Range Weather Forecasts (ECMWF), the highest humidity (68.02 %) and rainfall (average of 132 mm) in the region is recorded in December. In contrast, the lowest humidity, with 54.30 %, is recorded in September. November has the highest number of rainy days (12.10 days), while August is the dried month, with 1.63 days and 6 mm. The average annual temperature in Condeuba is 22.9 °C. The warmest month of the year is February, with an average temperature of 24.5 °C. The lowest temperature of the year is in July, with an average temperature of 20.2 °C. January has the most daily hours of sunshine with an average of 8.17 hours. Average annual rainfall is 630 mm (climate-data.org, 2022).
The release site includes a permanent preservation area of native forest with three sources of a permanent river. One of the main criteria used for choosing this area was its location, as it is of difficult access and with few signs of human activity, composed predominantly of small farmers, and the state of forest preservation. Another important criterion was the reports of older residents on the occurrence of native populations of Amazona aestiva and the identification by the CETAS team of other psittacine species in the area, such as Eupsittula cactorum and Eupsittula aurea.
To ensure the reintroduced animals remain close to the chosen release area, they were kept in installed nurseries for 10 days (Mitchell et al., 2011). During this period, the parrots received fruits and seeds collected in the locality, as well as sunflower seeds that were routinely used for food during their captivity in CETAS. The parrots received prophylactic treatment to eliminate the risk of contamination by gastrointestinal parasites during their transport to the reintroduction site. For this treatment, mebendazole (Avitrin®, Coveli) was used, in the dilution of 2.4 ml (containing 0.12 g of the active ingredient) in 1 l of water. The dilution was left in the enclosure in a single collective drinker freely accessed by the animals for three consecutive days and changed daily. The dilution was administered according to the manufacturer's guidelines.
Reintroduction: The animals were reintroduced using the soft-release method (Macias et al., 2010). During release, the nurseries were opened in the morning and the spontaneous exit of the animals was monitored and recorded. At the end of the day, the nurseries were closed to prevent predators from entering at night. In the morning in the following days, the animals that had remained in the avian nursery were identified and the doors were opened again (de Oliveira et al., 2014; Silva et al., 2021). This procedure was repeated for one month (the period in which the enclosures remained in the area), and animals that did not leave during the period in which the doors remained open were always identified.
After the nurseries were opened, the supplementary diet of regional fruits and sporadic sunflower seeds (the same seeds offered during the acclimatization period) was provided twice a day inside the nurseries and in a feeder installed 5 m from the avian nursery. In the study area, 12 artificial nests were also installed to encourage reproduction, as performed by White Jr. et al. (2005).
Monitoring: Monitoring was divided into two stages, from May 2015 to May 2016. In the first stage, the animals were evaluated for 18 consecutive days immediately after release, while in the second stage, they were evaluated for three to seven days at intervals of two months, during a year, totaling six monitoring campaigns. Monitoring was carried out at dawn and in the late afternoon (for 2 hours per period) to identify the animals around the release site (in trees) and the animals feeding in the feeders. When an animal was seen feeding on native fruits scattered in the study area, the plant species were also identified (Silva et al., 2021).
The animals were identified through the microchip reader or by detecting the ring or phenotypic characteristics recorded in the portfolio (Silva et al., 2021). Binoculars and cameras were used to record the sightings (de Almeida & de Almeida, 1998). In addition to these monitoring stages, between the two daily observations, the neighbors of the release site were visited and questioned about the possible presence of the reintroduced birds on their properties.
To identify the paired animals, mutual care behaviors such as beak to beak, cleaning care, sleeping, and feeding close, and moving together in the departures and arrivals in the monitored area were observed (Trillmich, 1976a; Trillmich, 1976b). Pairing was considered when the animals formed a pair for at least two monitoring campaigns. Each installed artificial nest was inspected during the campaigns to identify possible occupations. Nests that showed signs of occupation were identified and photographed.
Abiotic factors were evaluated according to the procedures established by Moura (2007) in previous monitoring campaigns. The climatic factors of temperature, humidity, and luminosity were measured using a thermohygrometer (EQUITHERM-TH-439) and luxmeter (UV-A MAGNAFLUX). These factors were measured on all animal monitoring days in all campaigns, at two different times (8:00 h and 16:00 h). The measurements were always carried out at the same point, next to the feeder, from May 2015 to May 2016.
The success of reintroduction was evaluated according to the recommendations of White Jr. et al. (2012), where the survival of reintroduced animals is evaluated after one year and should be greater than 50 %, with the reproduction of the reintroduced animals.
Some data related to abiotic factors were not collected on the morning of the first day of each monitoring campaign due to the arrival time at the field. Thus, the missing values were imputed with plausible data values using the mice package. This package provides a method for handling missing data, as the function creates multiple imputations (substitute values) for multivariate missing data. The algorithm can impute combinations of continuous categorical, binary, unordered categorical, and ordered categorical data (Van Buuren et al., 2019).
Data analysis: The values of each evaluated health parameter, the ratio between males and females, and the number of animals sighted by monitoring campaign were tabulated and analyzed through descriptive statistics (mean ± standard deviation) using GraphPad Prism® version 5 software. The completed data table (through the data imputation described above) was used to perform principal component analysis (PCA) and verify how the abiotic data relate to the frequency of visits to the feeder.
The paired t-test was used to verify possible differences between the periods (morning/afternoon) considering the variables 'frequency of visits', 'temperature', 'humidity', and 'luminosity'. The data were distributed normally only for temperature (afternoon) and humidity (morning and afternoon). However, the t-test is robust for non-normality, considering that there are no outliers. The analyses were performed in R software (R Core Team, 2020).
Results
For the preparation of the animals selected for the reintroduction project, fecal samples of all 59 Amazonas spp., which were in the same enclosure at CETAS, were evaluated for the presence of gastrointestinal parasites.
To prepare the animals that were selected for the reintroduction project, fecal samples from all 59 Amazonas spp. in CETAS were evaluated for the presence of gastrointestinal parasites. Heterakis spp. and Eimeira spp. were identified (Table 1). After treatment, a new evaluation was carried out and no parasites were found in the collected samples.

The species of Amazonas spp. in the CETAS at the start of the study were (I) 48 Amazona aestiva, (II) 08 Amazona amazonica, (III) 02 Amazona vinacea, and (VI) 01 Amazona rhodocorytha. Only animals of the species Amazona aestiva (81.3 %) continued to be evaluated and prepared for a group to be reintroduced. This species was selected because there were enough specimens to form a more robust group and because it has already been reported in the previously selected reintroduction area.
In the flight capacity evaluation of specimens of A. aestiva, 72.9 % scored three or four, which is compatible with reintroduction. The rest of the animals (27.1 %) exhibited some alteration that compromised their flight capacity, mainly cut wing feathers, and were, therefore, not prepared for reintroduction. Of the 35 remaining animals, two were removed for exhibiting high animal-human interaction. Therefore, 33 animals had compatible flight capacity for release and low interaction with unknown humans since they did not allow the approach of people.
Molecular sexing revealed a proportion of 69.69 % (23/33) of males and 30.30 % (10/33) of females. For the leukocyte evaluation, all animals had values within the expected parameters for the species (Table 2). The clinical evaluation did not identify any signs that indicated the need to run complementary tests. Thus, all 33 animals previously selected continued in the enclosure with environmental and food enrichment to later be sent to the release area.

The avian nursery was opened at 11:30 h and the first animal left at 13:32 h, soon after which other animals accompanied the first animal to perch and vocalize on nearby trees. On the first day, 78.78 % of the animals left the avian nursery, however, 18.18 % of those that left returned to spend the night inside the avian nursery. The doors of the avian nursery were opened in the morning and closed in the evening every day, for a month. In this period, only one female animal did not leave the avian nursery at any time and was returned to CETAS with the withdrawal of the avian nursery. Thus, 32 animals remained in the release area and were monitored for one year in campaigns comprising 340 h of sampling effort and 204 h of bird watching (Fig. 1).

The fidelity of the animals in the area, using the feeder or the areas surrounding the release site, allowed the identification of 50 % (16/32) of the animals after one year of release (Fig. 2). During monitoring, the reintroduced animals fed on 10 native plant species in the area (Table 3).


During the monitoring visits to the rural owners near the release site, the team was informed that a resident had trapped a project animal in his home. This animal was rescued and exhibited cut wing feathers, so it was returned to CETAS, and environmental education during the visits was intensified. In addition, community members reported the presence of wildlife hunters in the area (mainly deer and armadillo hunters) and stated that with the constant presence of the monitoring team, the sounds coming from firearms used by these people had decreased, suggesting that they were hunting less frequently.
The formation of five pairs and two trios of animals was identified. From these pairs, we identified the occupation of two artificial nests and one natural nest (occupied by a trio). Three eggs were recorded in only one artificial nest. However, the contents of the nest were predated by a toucan. An individual of Ramphastos toco, Statius Muller, 1776 (toco-toucan), a species native to the area, was seen entering the nest, which indicates that it fed on the parrot eggs (Fig. 3). Two other artificial nests were occupied by pairs of passerines Troglodytes musculus (Naumann, 1823).

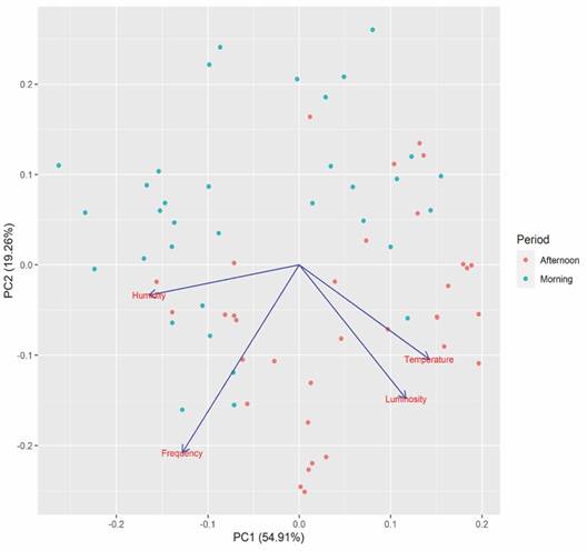
The PCA results indicate that the two main axes explained 74.17 % of the data variation. Axis one explained 54.91 % of the data variation. Humidity was more associated with the morning period, while temperature and luminosity most influenced the frequency of afternoon visits (Fig. 4).

There was a difference between the morning/afternoon periods for the variables: temperature (t = -12.452, df = 33, P < 0.05), humidity (t = 4.626, df = 33, P < 0.05), and luminosity (t = -2.0803, df = 33, P < 0.05). However, this did not influence the frequency of visits between the two periods (t = -1.8686, df = 33, P = 0.07) (Fig. 5).

Discussion
Reintroduction enables the reestablishment of populations of different parrot species bred for this purpose (Brightsmith et al., 2005; Earnhardt et al., 2014; Smales et al., 2000) or confiscated from illegal trafficking (Sanz & Grajal, 1998; Silva et al., 2021). Therefore, it is an important procedure to enable the destination of psittacines rescued from illegal wildlife trafficking.
Amazona aestiva was the most common parrot species in the CETAS of Vitória da Conquista, Bahia, with 81.3 %. This species is the tenth most frequent among the birds that entered the CETAS of Bahia between 2009 to 2019, with a total of 1 429 specimens (dos Santos, 2021). These figures reveal the complexity of the management and destination of these animals. The most frequently observed problem was the inability to fly due to cut wing feathers that prevent the animals from escaping illegal captivity. Cut wing feathers have also been identified in other rehabilitation centers for wild birds in Brazil (Fitorra et al., 2021). Moreover, poor feather quality was one of the physical abnormalities observed in 36 % of 122 illegally trafficked parrots in Costa Rica (Mora-Chavarría et al., 2017) demonstrating the impact of this problem on reintroduction projects.
In our study, after selecting the group of animals suitable for reintroduction, a bias was observed in the sex ratio of the animals, with a higher number of males (69.69 %). Efforts to maintain a reintroduced bird population should consider the sex ratio of the released animals since the release of both sexes improves long-term population consolidation (Lambertucci et al., 2013). In contrast, the presence of more males tends to increase the probability of extinction of a group (Donald, 2007). Therefore, the release of females should be a priority in future reintroductions in this group.
Health assessments greatly minimize the risks of releasing infected animals (Deem et al., 2008; Jacobson et al., 1999). However, there is no uniformity in the types of tests performed in the different animal preparation protocols. Efforts are needed to determine minimum suggested procedures for the health screening of candidates for reintroduction projects, especially when the high costs of testing hinder the achievement of these projects (Saidenberg et al., 2015). Hematological blood and parasitological of feces parameters are complementary, low-cost tests used in the routine monitoring of animal health (del Pilar-Lanzarot et al., 2001; Karesh et al., 1997; Melo et al., 2019). In the present study, these analyses determined the necessary therapeutic interventions to be performed in the group before they were reintroduced.
The return to the natural habitat after a period of captivity can sometimes be a stressor and reveal new challenges for individuals (Parker et al., 2012). Thus, more attentive care is required in the first stages of reintroduction for the adaptation period in the selected environment. This stage consisted of a period of recognition of the new environment while still in captivity, as recommended by Jones & Merton (2012) and tested for A. aestiva by Silva et al. (2021). The next stage was to open the nurseries using the soft release method (Scott & Carpenter, 1987). Maintaining access to the aviaries even after the animals left proved critical for the parrots to gain confidence in the new area, as it was observed that the parrots returned to spend the night inside the nurseries during the first days of freedom or some parrots did not leave the aviary at any time of the day, despite having gone through all the stages of preparation. The return of the released animals to the aviary was also monitored and identified in other reintroduction projects of psittacids (Silva et al., 2021; Vilarta et al., 2021).
To evaluate reintroduction success in parrots, White Jr. et al. (2012) proposed the criterion of more than 50 % survival of animals released after one year. In the present study, at least 50 % of the released animals that remained in the monitored area survived. Although one bird was captured by humans, no deaths or predation of adults by other animals was recorded. We believe that the other animals dispersed beyond the monitored areas. Given the uncertain fate of some individuals that leave the monitored areas, it is impossible to attest to the level of success of some reintroductions of psittacids (Snyder et al., 1994; Vilarta et al., 2021). Despite the impossibility of evaluating success, dispersal can reveal a positive effect since the population may have occupied new areas (Vilarta et al., 2021).
Prolonged periods of feeder use with supplementary feeding encourage the animals to remain loyal to the release area (Brightsmith et al., 2005; Vilarta, 2021) and facilitates post-release data collection (Tollington et al., 2013). The feeders used in the present study contributed to monitoring by providing the sighting of at least half of the reintroduced animals visiting the feeders or adjacent areas after one year. Supplementary feeding, when not properly monitored, can be counterproductive and cause unwanted effects such as the spread of diseases, nutritional imbalances, or behavioral changes, as in the case of increased fighting and increased predation pressure (Robb et al., 2008; White Jr., 2012), facts not observed in the present study.
Supplementary feeding improves the reproductive performance of birds (Pearson & Husby, 2021) and reproduction is the second criterion presented by White Jr. et al. (2012) to evaluate the success of reintroduction. The frequent monitoring of the reintroduced animals allowed the observation and identification of breeding pairs, mating, and egg-laying in the first year of the study. The provision of artificial nests in reintroduction areas also favors reproduction since it offers immediate nesting opportunities (Tollington et al., 2013; Vilarta et al., 2021; White Jr. et al., 2005). However, the recorded eggs were predated by an individual of Ramphastos toco, which is already known as a potential predator of psittacine nests (Oren & Novaes, 1986; Vilarta et al., 2021). Although the nests used in this study were used by pairs of A. aestiva, some nests were occupied by non-target species. Therefore, the effectiveness of artificial nests should be evaluated regularly to ensure and adapt the conditions to favor the target species (Gautschi et al., 2022).
The evaluation of the impact of abiotic factors on the visits to feeders in the morning and afternoon showed that, despite the difference between the periods for the variables: temperature, humidity, and luminosity, these factors did not influence the animals in this regard. However, the variable humidity best explains morning visits, while the variables temperature and luminosity had the greatest influence on visits in the afternoon. Changes in local climatic conditions lead to physiological adjustments in the metabolism of these animals. Birds exhibit adaptive physiological responses when faced with climate change (Noakes et al., 2016). Environmental temperature and humidity were correlated with duration of daily activity in Amazona amazonica and herons (Hirundo fluvicola and Ardea insignis), where the duration of daily activity was positively correlated with morning and evening temperatures and negatively correlated with sunrise time and morning and evening humidity (Khandu et al., 2022; Moura et al., 2012; Singh et al., 2015).
The results of these past studies may help to understand the pattern observed in the present study, where on wetter days the animals start their activities later, which may influence more visits to feeders in the morning. On warmer days, and with more light, the birds start their foraging activities in more distant areas earlier and only in the afternoon visit the feeders when returning to maintenance areas.
This study confirms the reintroduction of A. aestiva as a viable possibility for the destination of animals seized from wildlife trafficking and the importance of monitoring for at least one year to evaluate and ensure successful reintroduction. Furthermore, food supplementation and the installation of artificial nests in the release area favor monitoring and enable reproduction. We consider that these activities are necessary to achieve the objective of reintroduction projects, which is the establishment of viable populations and the consequent increase in overall chances of survival and conservation of the studied species.
Moreover, we consider that the reintroduction presented here is on the threshold of classification as successful since it was possible to identify the survival of at least 50 % of the animals after one year of release and record reproduction events. In addition, the study presents environmental clues as to how abiotic factors may influence daily behavioral decision-making related to the use of supplementary feeding in reintroduced parrots. We suggest the evaluation of the release of new groups of animals, preferably formed by females, for population reinvigoration. Moreover, further studies can shed valuable light on how abiotic factors can influence the behavioral dynamics of animals reintroduced during climatic seasons.
Ethical statement: the authors declare that they all agree with this publication and made significant contributions; that there is no conflict of interest of any kind; and that we followed all pertinent ethical and legal procedures and requirements. All financial sources are fully and clearly stated in the acknowledgements section. A signed document has been filed in the journal archives.
Acknowledgments
We thank the veterinarians Aderbal Azevedo Alves and Rosana Ferreira, the biologist Giselle Góes, and the entire team of handlers at CETAS Vitória da Conquista. We also thank the students who assisted in the monitoring in the field (Maíla Brandão Couto and Barbara Alves) and the owner of the area. We thank CAPES for the grant awarded to the second author and CNPq for the productivity grant awarded to the last author. To the State University of Santa Cruz for the post-doctorate offered to Ricardo Fraga and the postdoctoral fellowship offered to Cleverson Zapelini.
References
Armstrong, D. P., & Seddon, P. J. (2008). Directions in reintroduction biology. Trends in Ecology & Evolution, 23(1), 20-25.
Barros, T. B., Fraga, R. E., Ramos, C. N., & Tomazi, L. (2017). Improvement of the molecular sexing of parrots in the state of Bahia. Acta Biológica Paranaense, 46(3-4), 89-107.
Bakken, G. S., Murphy, M. T., & Erskine, D. J. (1991). The effect of wind and air temperature on metabolism and evaporative water loss rates of Dark-eyed Juncos, Junco hyemalis: a standard operative temperature scale. Physiological Zoology, 64(4), 1023-1049.
Brightsmith, D., Hilburn, J., del Campo, A., Boyd, J., Frisius, M., Frisius, R., Janik, D., & Guillen, F. (2005). The use of hand-raised psittacines for reintroduction: a case study of scarlet macaws (Ara macao) in Peru and Costa Rica. Biological Conservation, 121(3), 465-472.
Cidade-Brasil. (2016). Município de Condeúba. http://www.cidade-brasil.com.br/municipio-condeuba.html/emprego
Climate-data.org (2022). Dados climatológicos de Condeúba, Bahia. Produzidos por European Centre for Medium-Range Weather Forecasts (ECMWF). https://pt.climate-data.org/america-do-sul/brasil/bahia/condeuba-43264/#climate-table
de Almeida, Á. F., & de Almeida, A. (1998). Monitoring fauna and habitats in forested areas. Série Técnica IPEF - Instituto de Pesquisas e Estudos Florestais, 12(31), 85-92.
de Azevedo, C. S., Rodrigues, L. S. F., & Fontenelle, J. C. R. (2017). Ferramentas importantes para programas de reintrodução do Amazon Parrot. Revista Brasileira de Ornitologia, 25(1), 1-11.
de Oliveira, K. G., Barbosa, A. E. A., dos Santos-Neto, J. R., de Menezes, A. C., do Nascimento, J. L. X., de Sousa, A. E. B. A., do Amaral, A. C. A., & Röhr, D. L. (2014). Monitoring reintroduced Lear's macaws (Anodorhynchus leari) in the Raso da Catarina, Bahia (Brazil). Ornithologia, 7(1), 12-20.
del Pilar-Lanzarot, M., Montesinos, A., San Andrés, M. I., Rodríguez, C., & Barahona, M. V. (2001). Hematological, protein electrophoresis and cholinesterase values of free-living nestling peregrine falcons in Spain. Journal of Wildlife Diseases, 37(1), 172-178.
Deem, S. L., Ladwig, E., Cray, C., Karesh, W. B., & Amato, G. (2008). Health assessment of the ex situ population of St Vincent parrots (Amazona guildingii) in St Vincent and the Grenadines. Journal of Avian Medicine and Surgery, 22(2), 114-122.
Destro, G. F. G., De Marco, P., & Terribile, L. C. (2018). Threats for bird population restoration: A systematic review. Perspectives in Ecology and Conservation, 16(2), 68-73.
Destro, G. F. G., Pimentel, T. L., Sabaini, R. M., Borges, R. C., & Barreto, R. (2012). Efforts to combat wild animals trafficking in Brazil. Biodiversity Enrichment in a Diverse World, 1, 421-436.
Donald, P. F. (2007). Adult sex ratios in wild bird populations. Ibis - International Jornal of Avian Science, 149(4), 671-692.
dos Santos, M. C. (2021). Animais silvestres recebidos nos centros de triagem de animais silvestres da Bahia com ênfase no tráfico (2009 a 2019) (Tese de doutorado). Universidade Federal da Bahia, Brasil.
Earnhardt, J., Vélez-Valentín, J., Valentin, R., Long, S., Lynch, C., & Schowe, K. (2014). The Puerto Rican parrot reintroduction program: sustainable management of the aviary population. Zoo Biology, 33(2), 89-98.
Echols, S. (1999). Collecting diagnostic samples in avian patients. Veterinary Clinics of North America: Exotic Animal Practice, 2(3), 621-649.
Elliott, G. P. (2006). Productivity of kakapo (Strigops habroptilus) on offshore island refuges s habroptilus. Notornis, 53(1), 138-142.
Ewen, J. G., Walker, L., Canessa, S., & Groombridge, J. J. (2015). Improving supplementary feeding in species conservation. Conservation Biology, 29(2), 341-349.
Fischer, J., & Lindenmayer, D. B. (2000). An assessment of the published results of animal relocations. Biological Conservation, 96(1), 1-11.
Fitorra, L. S., das Dores, F. T., da Silva Pedro, V., Petri, B. S. S., Furuya, H. R., & Milanelo, L. (2021). Relatos da técnica de implante de penas na reabilitação de aves silvestres no Centro de Recuperação de Animais Silvestres do Parque Ecológico do Tietê, São Paulo, SP. Brazilian Journal of Animal and Environmental Research, 4(2), 1606-1617.
Gautschi, D., Heinsohn, R., Crates, R., Macgregor, N. A., Wilson, M., & Stojanovic, D. (2022). Utilization of modified and artificial nests by endemic and introduced parrots on Norfolk Island. Restoration Ecology, 30(5), e13586.
Griffiths, R., Double, M. C., Orr, K., & Dawson, R. J. (1998). A DNA test to sex most birds. Molecular Ecology, 7(8), 1071-1075.
Griffith, B., Scott, J. M., Carpenter, J. W., & Reed, C. (1989). Translocation as a species conservation tool: status and strategy. Science, 245(4917), 477-480.
Guzman, D. S. M., Mitchell, M. A., Gaunt, S. D., Beaufrère, H., & Tully, T. N. (2008). Comparison of hematologic values in blood samples with lithium heparin or dipotassium ethylenediaminetetraacetic acid anticoagulants in Hispaniolan Amazon parrots (Amazona ventralis). Journal of Avian Medicine and Surgery, 22(2), 108-113.
IBGE. (2016). Condeúba (online). https://cidades.ibge.gov.br/brasil/ba/condeuba/panorama.
IUCN. (2018). International Union for Conservation of Nature. Red List of Threatened Species. Versão 2018.1 (online). http://www.iucnredlist.org.
Jacobson, E. R., Behler, J. L., & Jarchow, J. L. (1999). Health assessment of chelonians and release into the wild. Zoo and wild animal medicine. Current Therapy, 4, 232-242.
Jones, C. G., & Merton, D. V. (2012). A tale of two islands: The rescue and recovery of endemic birds in New Zealand and Mauritius. In J. G. Ewen, D. P. Armstrong, K. A. Parker, & P. J. Seddon (Eds.), Reintroduction biology: Integrating science and management (pp. 33-72). Wiley Blackwell.
Karesh, W. B., Campo, A. D., Braselton, W. E., Puche, H., & Cook, R. A. (1997). Health evaluation of free-ranging and hand-reared macaws (Ara spp.) in Peru. Journal of Zoo and Wildlife Medicine, 28(4), 368-377.
Khandu, P., Gale, G. A., Kinley, K., Tandin, T., Shimano, S., & Bumrungsri, S. (2022). Daily roosting behaviour of the critically endangered White-bellied Heron Ardea insignis as a function of day length. Biological Rhythm Research, 53(5), 812-822.
Lambertucci, S. A., Carrete, M., Speziale, K. L., Hiraldo, F., & Donázar, J. A. (2013). Population sex ratios: another consideration in the reintroduction-reinforcement debate? PloS One, 8(9), e75821.
Lima, D. M., Tenório, S., & Gomes, K. (2014). Dieta por Anodorhynchus leari Bonaparte, 1856 (Aves: Psittacidae) em palmeira de licuri na caatinga baiana. Atualidades Ornitológicas, 178, 50-54.
Macias, C. A., Parás, J. J., González, E., Enkerlin, B., Ritchie, E., Stone, N., Lamberski, E., & Ciembor, D. (2010). Soltura de Papagaios Amazona confiscados no México. Reintrodução de Psitacídeos, 7-9.
Matos, M. S., & de Matos, P. F. (1988). Laboratório clínico médico-veterinário. Atheneu.
Melo, Y. J., Ogliari, K., Ferraz, H., Oliveira, R., & Aguiar, P. (2019). Ovos de helmintos encontrados em fezes de aves silvestres. Enciclopédia Biosfera, 16(29).
Miranda, F., Cubas, Z. S., Silva, J. C. R., & Catão-Dias, J. L. (2014). Tratado de animais selvagens: medicina veterinária. Roca.
Mitchell, A. M., Wellicome, T. I., Brodie, D., & Cheng, K. M. (2011). Captive-reared burrowing owls show higher site-affinity, survival, and reproductive performance when reintroduced using a soft-release. Biological Conservation, 144(5), 1382-1391.
Mora-Chavarría, E., Umaña-Castro, R., Abou-Madi, N., Solano-González, S., Retamosa-Izaguirre, M., Jiménez-Soto, M., & Blanco-Peña, K. (2017). Health assessment of captive psittacine species in prerelease programs at Costa Rican rescue centers. Journal of Zoo and Wildlife Medicine, 48(4), 1135-1145.
Moura, L. N. D. (2007). Comportamento do Papagaio-do-mangue Amazona amazonica: gregarismo, ciclos nictemerais e comunicação sonora (Dissertação de mestrado). Universidade Federal de São Carlos, Brasil.
Moura, L. N. D., Silva, M. L. D., & Vielliard, J. M. (2012). Influence of the nycthemeral cycle on the roosting behaviour of the Orange-winged Amazon. Anais da Academia Brasileira de Ciências, 84, 509-516.
Murray, M. J. (1997). Diagnostic techniques in avian medicine. WB Saunders - In Seminars in Avian and Exotic Pet Medicine, 6(2), 48-54.
Noakes, M. J., Ewen, B. O., & McKechnie, A. E. (2016). Seasonal and geographical variation in heat tolerance and evaporative cooling capacity in a passerine bird. Journal of Experimental Biology, 219(6), 859-869.
Oren, D. C., & Novaes, F. C. (1986). Observations on the golden parakeet Aratinga guarouba in northern Brazil. Biological Conservation, 36(4), 329-337.
Paranhos, S. J., Araújo, C. B., & Marcondes-Machado, L. O. (2007). Comportamento alimentar do Periquito-de-encontro-amarelo (Brotogeris chiriri) no interior do estado de São Paulo, Brasil. Revista Brasileira de Ornitologia, 15(1), 95-101.
Parker, K. A., Dickens, M. J., Clarke, R. H., Lovegrove, T. G., Ewen, J. G., & Armstrong, D. P. (2012). The theory and practice of catching, holding, moving and releasing animals. In J. G. Ewen, D. P. Armstrong, K. A. Parker, & P. J. Seddon (Eds.), Reintroduction biology: Integrating science and management (pp. 105-137). Wiley Blackwell.
Pearson, M., & Husby, M. (2021). Supplementary feeding improves breeding performance in Eurasian Eagle Owl (Bubo bubo). Ornis Fennica, 98, 46-58.
Pedroso, J. R. (2013). Técnicas etológicas para treino pré-soltura de papagaios-de-peito-roxo (Amazona vinacea), como instrumento de adaptação à vida livre em ambiente selvagem (Dissertação de mestrado). Universidade Federal de Santa Catarina, Florianópolis, Brasil.
Plair, B. L., Kuchinski, K., Ryan, J., Warren, S., Pilgrim, K., Boodoo, D., Ramsubage, S., Ramadhar, A., Lal, M., Rampaul, B., & Mohammed, N. (2008). Behavioral monitoring of Blue-and-yellow Macaws (Ara ararauna) reintroduced to the Nariva Swamp, Trinidad. Ornitología Neotropical, 19, 113-122.
Petit, D. R., Petit, K. E., & Grubb Jr, T. C. (1985). On atmospheric moisture as a factor influencing distribution of breeding birds in temperate deciduous forest. The Wilson Bulletin, 88-96.
R Core Team. (2020). R: A language and environment for statistical computing. R Foundation for Statistical Computing, Vienna, Austria. URL. http://www.R-project.org/.
Ramos, G. D. A., Azevedo, C. S. D., Jardim, T. H., & Sant'Anna, A. C. (2021). Temperamento em cativeiro, enriquecimento ambiental, capacidade de voo e resposta aos humanos em uma espécie de papagaio ameaçada de extinção. Journal of Applied Animal Welfare Science, 24 (4), 379-391.
Raigoza-Figueras, R. (2014). Scarlet macaw Ara macao cyanoptera conservation programme in Mexico. International Zoo Yearbook, 48(1), 48-60.
Robb, G. N., McDonald, R. A., Chamberlain, D. E., & Bearhop, S. (2008). Food for thought: supplementary feeding as a driver of ecological change in avian populations. Frontiers in Ecology and the Environment, 6(9), 476-484.
Rupley, A. E., & Simone-Freilicher, E. (2015). Psittacine wellness management and environmental enrichment. Veterinary Clinics: Exotic Animal Practice, 18(2), 197-211.
Ryder, R. A. (1977). Effects of ambient light variations on behavior of yearling, subadult, and adult walleyes (Stizostedion vitreum vitreum). Journal of the Fisheries Board of Canada, 34(10), 1481-1491.
Saidenberg, A. B., Zuniga, E., Melville, P. A., Salaberry, S., & Benites, N. R. (2015). Health-screening protocols for vinaceous amazons (Amazona vinacea) in a reintroduction project. Journal of Zoo and Wildlife Medicine, 46(4), 704-712.
Sanz, V., & Grajal, A. (1998). Successful reintroduction of captive-raised yellow-shouldered Amazon parrots on Margarita Island, Venezuela. Conservation Biology, 12(2), 430-441.
Schunck, F., Somenzari, M., Lugarini, C., & Soares, E. S. (2011). National action plan for the conservation of Atlantic forest parrots. Endangered species series. Chico Mendes Institute for Biodiversity Conservation, ICMBio. Brasília, Brazil.
Scott, J. M., & Carpenter, J. W. (1987). Release of captive-reared or translocated endangered birds: what do we need to know? The Auk, 104(3), 544-545.
Sick, H. (2001). Brazilian Ornithology. Revised and expanded edition by José Fernando Pacheco. Nova Fronteira.
Silva, R. S., Fraga, R. E., Tomazi, L., Andrade, T. S., Silva, M. S., & Schiavetti, A. (2021). Temperament assessment and pre-release training in a reintroduction program for the Turquoise-fronted Amazon Amazona aestiva. Acta Ornithologica, 55(2), 199-214.
Singh, A., Kankariya, S., Pati, A. K., & Parganiha, A. (2015). Day length and evening temperature predict circannual variation in activity duration of the colony of the Indian cliff swallow, Hirundo fluvicola. Biological Rhythm Research, 46(1), 69-79.
Simone-Freilicher, E., & Rupley, A. E. (2015). Juvenile psittacine environmental enrichment. Veterinary Clinics: Exotic Animal Practice, 18(2), 213-231.
Smales, I., Brown, P., Menkhorst, P., Holdsworth, M. C., & Holz, P. (2000). Contribution of captive management of orange-bellied parrots to the recovery programme for the species in Australia. International Zoo Yearbook, 37(1), 171-178.
Snyder, N. F., Koenig, S. E., Koschmann, J., Snyder, H. A., & Johnson, T. B. (1994). Thick-billed parrot releases in Arizona. The Condor, 96(4), 845-862.
Trillmich, F. (1976a). Spatial proximity and mate-specific behaviour in a flock of budgerigars (Melopsittacus undulatus; Aves, Psittacidae). Zeitschrift für Tierpsychologie, 41(3), 307-331.
Trillmich, F. (1976b). The influence of separation on the pair bond in budgerigars (Melopsittacus undulatus; Aves, Psittacidae). Zeitschrift für Tierpsychologie, 41(4), 396-408.
Tollington, S., Jones, C. G., Greenwood, A., Tatayah, V., Raisin, C., Burke, T., Dawson, D. A., & Groombridge, J. J. (2013). Long-term, fine-scale temporal patterns of genetic diversity in the restored Mauritius parakeet reveal genetic impacts of management and associated demographic effects on reintroduction programmes. Biological Conservation, 161, 28-38.
Van Buuren, S., Groothuis-Oudshoorn, K., Robitzsch, A., Vink, G., Doove, L., Jolani, S., Schouten, R., Gaffert, P., Meinfelder, F., & Gray, B. (2019). Package 'mice' - Multivariate Imputation by Chained Equations, Version 3.4.0.
Vilarta, M. R., Wittkoff, W., Lobato, C., Oliveira, R. D. A., Pereira, N. G. P., & Silveira, L. F. (2021). Reintroduction of the Golden Conure (Guaruba guarouba) in Northern Brazil: Establishing a Population in a Protected Area. Diversity, 13(5), 198.
White Jr, T. H., Abreu-González, W., Toledo-González, M., & Torres-Báez, P. (2005). From the field: artificial nest cavities for Amazona parrots. Wildlife Society Bulletin, 33(2), 756-760.
White Jr, T. H., Collar, N. J., Moorhouse, R. J., Sanz, V., Stolen, E. D., & Brightsmith, D. J. (2012). Psittacine reintroductions: common denominators of success. Biological Conservation, 148(1), 106-115.
Wolf, B. O., & Walsberg, G. E. (1996). Thermal effects of radiation and wind on a small bird and implications for microsite selection. Ecology, 77(7), 2228-2236.