Manejo y conservación de suelos y aguas
Contribución de esquemas de fertilización orgánica y convencional al crecimiento y producción de Theobroma cacao L. bajo arreglo agroforestal en Rivera (Huila, Colombia)*
Effect of Organic and Conventional Fertilization on the Growth and Production of Theobroma Cacao L. Under an Agroforestry System in Rivera (Huila, Colombia)
Contribución de esquemas de fertilización orgánica y convencional al crecimiento y producción de Theobroma cacao L. bajo arreglo agroforestal en Rivera (Huila, Colombia)*
Corpoica Ciencia y Tecnología Agropecuaria, vol. 16, núm. 2, pp. 307-314, 2015
Corporación Colombiana de Investigación Agropecuaria - Corpoica
Recepción: 17 Marzo 2014
Aprobación: 20 Abril 2015
Resumen: El impacto de los esquemas de fertilización orgánica sobre el crecimiento y la producción de cacao (Theobroma cacao L.) bajo sistemas agroforestales (SAF) se han estudiado poco. Por consiguiente, se evaluó el efecto de diferentes estrategias de manejo con la aplicación de enmiendas sobre el cultivo de cacao bajo SAF. Para ello, se evaluaron cuatro tratamientos: la fertilización convencional o del agricultor (AG) (químico, T1); el sulfato de potasio (SP) (químico, T2); ecocacao + Súper 4 (ECO-S4) (orgánico, T3); y la mezcla entre los tratamientos con sulfato de potasio + ecocacao (SP-ECO) (químico + orgánico, T4). Los datos obtenidos se examinaron mediante análisis de varianza, la prueba de LSD de Fisher (p<0,05) y una observación de componentes principales para determinar la relación entre las variables. Para las variables taxonómicas altura y diámetro de tallo se encontró en promedio un aumento de 22,5 cm y 4,71 cm, respectivamente, presentándose diferencias significativas entre los tratamientos. También, se determinó una relación significativa entre diferentes parámetros de producción. En general, se observó un efecto del esquema de fertilización sobre los parámetros agronómicos de cacao evaluados, especialmente sobre variables de importancia como el número de granos por mazorca y peso de grano promedio, con respuestas similares entre los tratamientos químico y orgánico. Con esto se demuestra que los esquemas de fertilización pueden ser una alternativa para mejorar la producción de cacao, en especial, para pequeños productores.
Palabras clave: Theobroma cacao, producción, manejo del suelo, aplicación de abonos, abonos orgánicos.
Abstract: The impact of organic fertilizing schemes on the cocoa (Theobroma cacao L.) growth and production under agroforestry systems (AFS) has been scarcely studied. In this sense, in Rivera (Huila-Colombia), the effect of different management strategies for amendment application in cocoa under agroforestry systems was evaluated. Four treatments were considered: i) conventional fertilizing or farmer fertilizing (chemical, T1); ii) Potassium sulfate (chemical, T2); iii) eco-cocoa + Super 4 (ECO-S4) (organical, T3); and iv) the mixture of among the treatments with potassium sulfate + eco-cocoa (SP-ECO) (chemical + organical, T4). Variance analysis, Fisher test (p<0.05) and principal components analysis (PCA) were used for data comparisons. For the height of cocoa plants, there was an average increase of 22.5 cm, while for stem diameter was 4.71 cm, with significant differences between the treatments. In general, an effect of the fertilizing scheme on the agronomic parameters of cocoa evaluated was found -especially for some important variables such as number of grains per pod and average weight of the grain-. There were similar parameters between the chemical and the organic treatments. This demonstrates that organic schemes of fertilizing could be an important alternative for improving cocoa production.
Key words: Theobroma cacao, Production, Soil management, Fertilizer application, Organic fertilizers.
Introducción
En Colombia, la actividad cacaotera tiene gran importancia socioeconómica, ya que más de 25.000 familias campesinas dependen en forma directa de este cultivo y el proceso productivo se fundamenta en la utilización de mano de obra familiar, con una participación estimada de un 60 % (Espinal et al. 2005; García et al. 2005). Sin embargo, los rendimientos actuales de cacao por hectárea no superan los 600 kg de grano seco, cifra que no muestra un comportamiento creciente (Agronet 2014). No obstante, el mercado de productos orgánicos se presenta para el sector cacaotero nacional como una gran oportunidad, aprovechando el alto grado de expansión de estos productos en los países desarrollados, debido a la mayor preocupación por una alimentación sana y gran compromiso con la conservación del medio ambiente de estas poblaciones. Además, el cacao orgánico presenta un sobreprecio de hasta un 40 % con respecto al producto convencional. Esto último permite evidenciar que este cultivo, bajo un modelo agroforestal, se puede convertir en una alternativa de generación de ingresos para los cacaocultores y, al mismo tiempo, garantiza la protección del medio ambiente (Castellanos et al. 2007). En este sentido, respecto a la dinámica de manejo del cultivo de cacao (Theobroma cacao L.), los productores han diseñado diferentes arreglos agroforestales (Guiracocha et al. 2011; Deheuvels et al. 2012) en respuesta a las necesidades ecofisiológicas de la planta ( Jaimez et al. 2008; Somarriba y Beer 2011). Entre estas existe una gran probabilidad que en estos sistemas se generen procesos de ciclaje de nutrientes (Alpízar et al. 1986; Beer et al. 1990; Fassbender et al. 1991) pese a la alta dinámica de extracción de algunas especies. Para el caso de la especie cacao, se requiere por cada 1.000 kg de grano seco cerca de 20 kg N, 4 kg P y 10 kg K, nutrientes que se toman del suelo con cada cosecha (Ogunlade et al. 2009). Asimismo, además del ciclaje, estos sistemas prestan otros servicios ecosistémicos de gran importancia como el secuestro de carbono (Schroth y Harvey 2007).
Teniendo en cuenta que los fertilizantes se definen como cualquier material orgánico o inorgánico que se añade a un suelo para suministrar ciertos elementos esenciales para el crecimiento de las plantas (Soil Science Society of America 1987), el equilibrio entre la absorción y las adiciones de nutrientes se puede lograr mediante la reducción de la cantidad de nutrientes (productos) removidos y el aumento de los aportes de nutrientes a través de la fertilización (Szott y Kass 1993). En este sentido, la aplicación de fertilizantes se hace inevitable para reponer los nutrientes del suelo que se explotan a través de la cosecha de las vainas del cacao anualmente (Agbeniyi et al. 2010). Según Olson (1970), la fertilización podría aumentar la producción de alimentos en por lo menos un 50 %. Opeyemi et al. (2005) reportaron que el uso eficaz de los fertilizantes por la planta de cacao podría ayudar no solo a mejorar el rendimiento, sino la calidad del producto, la rentabilidad y la protección del medio ambiente. Así, Orozco y Thienhaus (1997) sugirieron que los requerimientos nutricionales del cacao varían de acuerdo con el material de siembra, las condiciones del cultivo y, en especial, con el grado de sombreamiento. De acuerdo con lo anterior, en este estudio se evaluó el efecto de diferentes esquemas de fertilización orgánica y convencional en las fases de desarrollo sobre la producción y el crecimiento de cacao bajo un arreglo agroforestal.
Materiales y métodos
Localización
El estudio se realizó en dos fincas cacaoteras con arreglos agroforestales ubicadas en el municipio de Rivera, Huila, Colombia. En la primera, se seleccionó un cultivo en producción ubicado en 02° 46' 21,3" Norte y 075° 13' 32,4" Oeste, a una altura de 986 msnm, con temperatura media anual de 20 ºC. En la segunda, se seleccionó un cultivo en crecimiento ubicado en 02° 45' 37,3" Norte y 075° 14' 20,1" Oeste, a una altura de 834 msnm, con una temperatura media anual de 28 ºC (Instituto de Hidrología, Meteorología y Estudios Ambientales 2005).
Plan de fertilización
Para la evaluación de los esquemas de fertilización orgánica y convencional se establecieron cuatro tratamientos. El primero (T1) consistió en una fertilización convencional o del agricultor (AG; químico); este se basó en el uso de un abono compuesto por una dosis de 150 g por árbol. En el segundo (T2) se evaluó la fertilización con sulfato de potasio (SP; químico), producto seleccionado con base en los niveles de fertilidad del suelo de las fincas en evaluación y por su compatibilidad con la agricultura orgánica, además de la aplicación de 46,2 g de urea, 18 g de DAP y 279 g de K2SO4. En el tercero (T3) se realizó una fertilización orgánica con los productos denominados ecocacao (compostaje preparado con cacota, vástago de plátano, aserrín descompuesto o bagazo de caña, estiércol de bovino, caprinaza o gallinaza, tierra, matarratón, cal, roca fosfórica y sulfato de potasio humedecido con melaza disuelta en agua) y Súper 4 (caldo microbial anaeróbico fermentado preparado a base de estiércol fresco de bovino, disuelto en agua y mezclado con leche, melaza y enriquecido con sales minerales a base de sulfatos de: K, Zn, Mg , Mn, Cu, B, Fe y S (ECO-S4; orgánico). El compostaje utilizado tenía la siguiente composición: 1) elementos mayores: 0,99% N; 1% P; 1,22% K; 5,51% Ca; 0,57% Mg; 0,18% Na; 0,75% S; 2) elementos menores: 42 mg/kg Cu; 447,7 g/kg Mn; 624,3 mg/kg Zn; 16, 2 mg/kg B, y la relación C/N era de 20,9 con un pH de 7,8. El cuarto (T4) consistió en la combinación de la fertilización química con sulfato de potasio más el producto orgánico denominado ecocacao (SP-ECO; químico + orgánico). Además de la aplicación de 23 g de urea, 18 g de DAP y 280 g de K2SO4.
Previo a la aplicación de los fertilizantes, tanto orgánicos como convencionales, se retiró la hojarasca del sitio de aplicación (corona o media corona dependiendo del grado de la pendiente). Una vez limpia el área, se dispusieron los productos en el suelo por cada planta. La fertilización se hizo a inicios de la época de lluvia, a principios de abril, y al final de la época de lluvias, en octubre. Para evaluar el efecto del fertilizante convencional y los orgánicos en el cacao bajo un arreglo agroforestal, se utilizó un diseño experimental de bloques completos al azar, donde se midieron las variables de respuesta: producción y crecimiento. En la evaluación de la producción se utilizó un cacaotal bajo un sistema agroforestal con clones en producción de cuatro años. Para esto, se identificaron cuatro árboles y se registró el número de mazorcas totales (Mt), mazorcas cosechadas (Mc), peso mazorcas totales (Pmt), peso cacota total (Pct), granos totales (gntot), peso granos húmedos (Pgh), peso granos secos (Pgs), granos por mazorca (gpm), granos totales por mazorca (gtpm), peso gramos promedio por mazorca (Pgpm) y peso total gramos por mazorca (Ptgb) por tratamiento y repetición.
Para evaluar los esquemas de fertilización en la fase de crecimiento, se seleccionó una plantación de clones de cacao con 8 meses de edad con un nivel de sombra del 30 %, aproximadamente, según lo propone Hartemink (2005). En esta etapa, se midieron las variables altura y diámetro del tallo a 20 cm del cuello de la planta. Las mediciones se realizaron cada 2 meses, teniendo en cuenta el crecimiento episódico del cultivo del cacao. Esto se hizo durante un año en cuatro árboles debidamente identificados. Para el cálculo de la variación total en cuanto a la altura y el diámetro, se consideró la diferencia entre el último monitoreo con respecto al inicio que correspondió a 13 meses.
Análisis de resultados
Los datos obtenidos se analizaron mediante un análisis de varianza. A continuación, con la prueba de LSD de Fisher (p<0,05), se contrastaron las diferencias entre las medias. Asimismo, se realizaron análisis de componentes principales para determinar la relación entre las variables. Para esto se empleó el paquete estadístico InfoStat (Di Rienzo et al. 2015).
Resultados y discusión
Se comparó la fertilización orgánica con la convencional, en dos fases de desarrollo bajo arreglos agroforestales.
Crecimiento
Se registró que la altura aumentó en promedio 22,5 cm sin diferencias significativas entre tratamientos (tabla 1). Caso contrario, se observó con el diámetro de tallo, presentándose diferencias significativas entre tratamientos. En promedio, hubo un aumento de 4,71 cm durante el periodo monitoreado. Dentro de los tratamientos evaluados, el ECO-S4 presentó el menor aumento con respecto a los demás tratamientos y este fue estadística-mente diferente a los demás. Estos resultados coinciden con el trabajo realizado por Orozco y Thienhaus (1997), donde se evaluaron diferentes dosis de gallinaza en el crecimiento de árboles de cacao sin reportar diferencias significativas entre los tratamientos del estudio. Los mismos autores afirman que la altura de la planta de cacao es una variable de comportamiento muy irregular, ya que está muy influenciada por el genotipo y el manejo durante la poda.

El tratamiento SP presentó los mayores valores para el desarrollo del tallo, siendo superior a los tratamientos AG y SP-ECO, contrario al tratamiento ECO-S4 que mostró los menores valores de desarrollo del tallo. En estudios realizados con enmiendas, como gallinaza frente a químico, Orozco y Thienhaus (1997) encontraron, después de un año de aplicación, diferencias significativas entre los tratamientos, con lo que se logró demostrar mayores valores para el tratamiento orgánico.
Producción
En la evaluación en fase de producción del sistema agroforestal con cacao, se presentaron diferencias significativas entre tratamientos para Mc, gntot y Pgs (tabla 2), siendo las variables de mayor importancia al momento de medir la producción en un cultivo. En este sentido, el tratamiento AG presentó el mayor valor de Mc y similar a los trata-En la evaluación en fase de producción del sistema agro-mientos ECO-S4 y SP. Para las variables gntot y Pgs, forestal con cacao, se presentaron diferencias significativas se encontraron diferencias significativas entre los trata-entre tratamientos para Mc, gntot y Pgs (tabla 2), siendo mientos, siendo el tratamiento AG el que presentó los las variables de mayor importancia al momento de medir mayores valores para ambas variables.

Al realizar un análisis de correlación entre las variables, se encontró una relación alta y significativa entre Mt con Ptgb (p<0,0094), Mc con Pmt (p<0,0149) y Pgs (p<0,0231), Pmt con Pct (p<0,0123), gntot con Pgh (p<0,0177) y Pgs (p<0,0144), Pgh con Pgs (p<0,0349) (tabla 3).

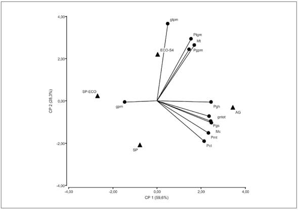
La explicación de la variación encontrada con los dos primeros componentes principales fue del 88 % donde variables de importancia como Mc, gntot, Pgs se relacionaron directamente al tratamiento AG (figura 1). Por otro lado, se estableció que el tratamiento ECO-S4 presentaba el mayor valor de gtpm, siendo esta variable importante ya que se ve compensada por tener un mayor número de granos por mazorca, los cuales, en cierta medida, no aumentaron el peso de grano individual, caso contrario al comportamiento observado en el tratamiento AG.

Al analizar el comportamiento se encontraron resultados similares a los de Fraire (2008), donde se estudió el efecto de biofertilizantes orgánicos artesanales (vermicomposta y composta) con resultados favorables para las enmiendas orgánicas en los rendimientos de grano seco de cacao. Asimismo, Orozco y Thienhaus (1997) demostraron que la aplicación de gallinaza tiene efectos sobre la producción inicial del cacao.
Para tratar de explicar las posibles variaciones en la producción del cacao, se realizó un análisis de correlación para determinar la incidencia del nivel de opacidad (fPARt) sobre la cantidad de mazorcas, encontrándose un coeficiente de correlación de 23,9 % (y = 0,9255x + 3,7943 y R2 = 0,24) (figura 2). Para tratar de explicar las diferencias en el comportamiento de las variables entre los tratamientos orgánicos (SP, ECO-S4, SP-ECO) y el manejo convencional dado por el productor (AG), se obtuvo una interacción ecológica positiva atribuida al nivel de sombra que posibilita un mejor desarrollo de las plantas en este tratamiento (figura 2).

Se ha reportado que las plantas de cacao se saturan a densidades de flujo fotónico comprendidas entre 400 a 600 μmol m-2 s-1, intensidades que constituyen entre 25 y 30 % de la radiación máxima en un día despejado (Raja y Hardwick 1987; Balasimha et al. 1991; Barrera 2006; Vespa 2008), donde las tasas máximas de asimilación de CO2 no sobrepasan los 6 a 7 μmol m-2 s-1. Esto comprueba la necesidad de mantener las plantas de cacao bajo sombra parcial, tanto en etapa de crecimiento como de producción (Jaimez et al. 2008). Por otro lado, Almeida y Valle (2007) afirman que los determinantes más importantes de los parámetros de rendimiento están relacionados con: la interceptación de luz, fotosíntesis y la capacidad de distribución de la fotosíntesis; la respiración de mantenimiento; y la morfología del fruto y la fermentación de la semilla, rasgos que pueden ser modificados por factores abióticos. El cacao se considera una especie tolerante a la sombra, que conduce a tasas relativamente altas de fotosíntesis, crecimiento y rendimiento de semilla debido al sombreado adecuado. Sin embargo, si hay mucha sombra se reduce el rendimiento de semillas y aumenta la incidencia de enfermedades. De hecho, la producción de cacao y la intercepción de luz están estrechamente relacionados, cuando la disponibilidad de nutrientes no es limitante.
Conclusión
Los esquemas de manejo orgánico son una alternativa para las plantaciones de cacao debido al crecimiento y producción encontrado en comparación al manejo químico. En general, se encontró que todos los parámetros de crecimiento y producción fueron mayores en el tratamiento SP-ECO siendo este una opción para la fertilización orgánica.
Agradecimientos
Este trabajo se realizó dentro del proyecto "Esquemas de fertilización convencional y orgánica para el sistema de producción cacao (Theobroma cacao L) y su efecto en el rendimiento y calidad del grano en las principales zonas productoras de Colombia", ejecutado por la Corporación Colombiana de Investigación Agropecuaria (Corpoica) y financiado por el Ministerio de Agricultura y Desarrollo Rural de Colombia.
Referencias
Agbeniyi SO, Ogunlade MO, Oluyole KA. 2010. Fertilizer use and cocoa production in Cross River State, Nigeria. Journal of Agricultural and Biological Science. 5(3):10-13.
Agronet Colombia. 2014. Área cosechada, producción y rendimiento de Cacao, 1987-2012. Agronet; [consultado 2014 feb 20]. http://www.agronet.gov.co/www/htm3b/ReportesAjax/VerReporte.aspx.
Almeida AAA, Valle RR. 2007. Ecophysiology of the cacao tree. Braz J Plant Physiol. 19(4):425-448.
Alpízar L, Fassbender HW, Heuveldop J, Fölster H, Enríquez G. 1986. Modelling agroforestry systems of Cacao (Theobroma cacao) with Laurel (Cordia alliodora) or Poro (Erythrina poeppigiana) in Costa Rica. I. Inventory of organic matter and nutrients. Agrofor Syst. 4:175-189.
Balasimha D, Daniel EV, Bhat PG. 1991. Influence of environmental factors on photosynthesis in cocoa trees. Agric For Meteorol. 55(1-2):15-21.
Barrera G. 2006. Respuestas de la clorofila a y la fotosíntesis al déficit hídrico y diferentes condiciones de luz en dos variedades de Cacao (Theobroma cacao) [trabajo de grado]. [Mérida]: Universidad de Los Andes.
Beer J, Bonnemann A, Chavez W, Fassbender HW, Imbach AC, Martel I. 1990. Modelling agroforestry systems of cacao (Theobroma cacao) with laurel (Cordia alliodora) or poro (Erythrina poeppigiana) in Costa Rica. V. Productivity indices, organic material models and sustainability over ten years.. Agrofor Syst 12:229-249.
Castellanos OF, Torres LM, Fonseca SL. 2007. Agenda prospectiva de investigación de la cadena productiva de cacao-chocolate en Colombia. Revista Innovación y Cambio Tecnológico. 6(6): 34-43.
Deheuvels O, Avelino J, Somarriba E, Malezieuxe E. 2012. Vegetation structure and productivity in cocoa-based agroforestry systems in Talamanca, Costa Rica. Agric Ecosyst Environ. 149(1): 181-188.
Di Rienzo JA, Casanoves F, Balzarini MG, Gonzalez L, Tablada M, Robledo CW. 2015. InfoStat versión 2015. Universidad Nacional de Córdoba; [consultado 2015 feb]. http://www.infostat.com.ar.
Espinal C, Martínez H, Beltrán L, Ortiz L. 2005. La cadena del cacao en Colombia: una mirada global de su estructura y dinámica 1991-2005. Documento de trabajo N.° 92. Bogotá: Minagricultura.
Fassbender HW, Beer J, Heuveldop J, Imbach A, Enriquez G, Bonneman A. 1991. Ten year balances of organic matter and nutrients in agroforestry systems at Catie, Costa Rica. For Ecol Manage. 45(1-4):173-183.
Fraire SL. 2008. Evaluación de biofertilizantes orgánicos en cacao () en el municipio de Comalcalco, Tabasco, México. En: Castañeda MOG, Báez RUA, López ANC, Sánchez DDC, editores. Memorias XX Reunión Científica-Tecnológica Forestal y Agropecuaria Tabasco. Villahermosa: Instituto Nacional de Investigaciones Forestales y Agropecuarias en Tabasco. pp. 316-320.
García L, Romero C, Ortiz L. 2005. Evaluación edafoclimática de las tierras del trópico bajo y medio colombiano para el cultivo del cacao. Bogotá: Corpoica.
Guiracocha G, Harvey C, Somarriba E, Krauss U, Carrillo E. 2001. Conservación de la biodiversidad en sistemas agroforestales con cacao y banano en Talamanca, Costa Rica. Agroforest Américas. 8(30):7-11.
Hartemink AE. 2005. Nutrient stocks, nutrient cycling, and soil changes in cocoa ecosystems: a review. Adv Agron. 86:227-253.
Instituto de Hidrología, Meteorología y Estudios Ambientales. 2005. Atlas climatológico de Colombia. Bogotá: Ideam.
Jaimez RE, Tezara W, Coronel I, Urich R. 2008. Ecofisiología del cacao (Theobroma cacao L.): su manejo en el sistema agroforestal. Sugerencias para su mejoramiento en Venezuela. Rev Forest Venez. 52(2):253-258.
Ogunlade MO, Oluyole KA, Aikpokpodion PO. 2009. An Evaluation of the level of fertilizer utilization for cocoa production in Nigeria. J Hum Ecol. 25(3):175-178.
Olson RA. 1970. The Fertilizer Programme of Freedom from Hunger Campaign. En: Bunting AH, editor. Change in agriculture. Londres: Duckworth and Co. Ltd. pp. 599-605.
Opeyemi AA, Fidelis OA, Ademola B, Phillips O. 2005. Quality management practices in cocoa production in south-western Nigeria. Ponencia presentada en: Conference on International Research on Food Security. Natural Resource Management and Rural Development. Stuttgart, Alemania.
Orozco M, Thienhaus S. 1997. Efecto de la gallinaza en plantaciones de cacao (Theobroma cacao L.) en desarrollo. Agronomía Mesoamericana. 8(1):81-92.
Raja H, Hardwick K. 1987. The effect of prolonged exposure to different light intensities on the photosynthesis of cocoa leaves. Documento presentado en: 10 International Cocoa Research Conference. Santo Domingo, República Dominicana.
Schroth G, Harvey CA. 2007. Biodiversity conservation in cocoa production landscapes: an overview. Biodivers Conserv. 16:2237-2244.
Soil Science Society of America. 1987. Glosary of soil science terms. Madison: SSSA.
Somarriba E, Beer J. 2011. Productivity of Theobroma cacao agroforestry systems with timber or legume service shade trees.. Agrofor Syst 81:109-121.
Szott LT, Kass DCL. 1993. Fertilizers in agroforestry systems.. Agrofor Syst 23:157-176.
Vespa A. 2008. Relaciones hídricas e intercambio gaseoso en Theobroma cacao en dos tipos de suelos [trabajo de grado]. [Mérida]: Universidad de Los Andes.
Notas