Estudios de Caso
TENDENCIA PLUVIOMETRICA Y CONCENTRACIÓN ESTACIONAL DE PRECIPITACIÓN EN LA CUENCA HIDROGRÁFICA DEL RÍO MOXOTÓ – PERNAMCUCO – BRASIL
RAINFALL TENDENCIES AND SEASONAL RAINFALL CONCENTRATION IN RIO MOXOTÓ WATERSHED - PERNAMBUCO – BRAZIL
TENDENCIA PLUVIOMETRICA Y CONCENTRACIÓN ESTACIONAL DE PRECIPITACIÓN EN LA CUENCA HIDROGRÁFICA DEL RÍO MOXOTÓ – PERNAMCUCO – BRASIL
Revista Geográfica de América Central, vol. 1, núm. 58, pp. 295-313, 2017
Universidad Nacional

Recepción: 30 Junio 2016
Aprobación: 26 Septiembre 2016
Resumen: La cuenca hidrográfica del río Moxotó está ubicada en la región Semiárida de Brasil, según IPCC (Grupo Intergubernamental de Expertos sobre el Cambio Climático), el Semiárido sería una de las regiones de Brasil que más presentaría alteraciones climáticas futuras por efecto de actividades humanas. El uso del test estadístico el Mann-Kendall es ideal para la detección de tendencias en series de datos climáticos. El test Mann-Kendall fue aplicado en una serie temporal de 1930 a 2014, los datos fueran obtenidos de 32 estaciones meteorológicas APAC – Agencia Pernambucana de Aguas y Clima) que están distribuidas por toda el área de la cuenca. Los objetivos de este estudio son: identificar posibles tendencias en la serie de dados de precipitación; e identificar la concentración estacional de la precipitación, para definir los meses más lluviosos de la cuenca
Palabras clave: Semiárido, Tendencia, Clima, Cuenca hidrográfica.
Abstract: The Moxotó river watershed is located in the Brazilian semiarid region. According to the IPCC (Intergovernmental Panel on Climate Change), the semiarid region would be one of the Brazilian areas which would experience more future climatic alterations caused by anthropic activities. Using the statistical test Mann-Kendal is perfect for detecting tendencies in series of climate data. The Mann-Kendal test was applied in a temporal sequence from 1930 to 2014, the rainfall data was obtained from 32 meteorological stations (APAC – Agency from Pernambuco of water and climate), which was distributed all over the watershed. The main purposes of this research are identifying possible tendencies in a sequence of data precipitation, and recognizing the temporal concentration of precipitation in order to determine the rainy months of the study area.
Keywords: Semiarid, tendencies, climate, watershed.
Introducción
Diversos estudios buscan analizar y predecir cómo será el clima futuro del Nordeste brasilero Moura (1981), Sant’anna e Zavatini (2000), Conti (2005), Marengo (2007), Carvalho (2006), Lacerda et al (2009), Gondim et al (2009), Girão (2009), Nóbrega et al (2014), Costa et al (2015) e Barbosa et al (2016.), utilizando distintos métodos y conceptos para describir los aspectos de la variación del clima, tales como: variabilidad, fluctuaciones, tendencias climáticas, ciclo climático y cambios climáticos. Las investigaciones sobre los cambios climáticos en Brasil, además de buscar respuestas para las posibles causas, también buscan identificar alteraciones en el clima y tales investigaciones favorecen con los avances en los conocimientos sobre la dinámica climática regional y local de muchas partes del país.
A fines del siglo pasado, Nobre et al (1991) afirmó que los cambios de causa antrópica estaban produciendo severas modificaciones en el estado actual del clima, que las intervenciones humanas eran las principales responsables por el calentamiento global y por consecuencia causarían cambios en el clima futuro. Sin embargo, Black (2001) afirma que los cambios observados en el clima global aun no eran suficientes para imputar al hombre la culpa por el calentamiento global, pero afirmó ser innegable la influencia humana en la dinámica de los geosistemas, contribuyendo directamente en las alteraciones de frecuencia, especialmente en el clima local, como por ejemplo, el clima urbano.
Un método de investigación de las alteraciones en los patrones climáticos es el análisis de tendencias en series temporales. Yevjevich (1972) definió el análisis de tendencias en series temporales como la identificación de cambios sistemáticos en los parámetros de las amuestras periódicas o case periódicas.
El análisis de las tendencias en variables climáticas es un método también aplicado para monitorear cambios climáticos globales. Entre las técnicas existentes para realizar análisis de tendencias la metodología propuesta por Mann y Kendall es la recomendada por la Organización Mundial de Meteorología (OMM).
Identificar tendencias nítidas solamente analizando la información entregada por los gráficos de las series temporales es inútil. Se puede identificar años más secos y otros más lluviosos, pero, es bastante difícil detectar si ocurren variabilidades o ciclos de años con predominancia de una u otras características. Por lo tanto, es fundamental aplicar un método estadístico que posibilite identificar si existen tendencias nítidas en las series en análisis.
La cuenca hidrográfica del río Moxotó está ubicada en una región (Semiárida) caracterizada por la expresiva variabilidad estacional (inter e intra – anuales) de la precipitación, intensa extracción de la cobertura vegetal, y con altos niveles de fragilidad ambiental (Belfort & Barbosa, 2011). La cuenca del Moxotó también pasó por intensos procesos de intervenciones antrópicas que provocaran impactos y potencializaron la vulnerabilidad. Al final de la década de 1970 el Departamento Nacional de obras contra la sequilla – DNOCS crió el perímetro irrigado en la cuenca. Según Montenegro (2009, p. 36-37) “el sistema de irrigación era totalmente utilizado para el aprovechamiento de los suelos aluviales, siendo los métodos gravitacionales los más aplicados, no habiendo ninguna preocupación con la baja eficiencia de la distribución del agua, propia del método”. El perímetro irrigado del Moxotó se convirtió en un centro económico de gran importancia, alcanzando su potencial máximo en la década de 1980. Sin embargo, la falta de gestión de la cuenca y el uso excesivo del agua llevaran a cabo un proceso de racionamiento, restringiendo el uso de agua para la irrigación en 1991 y su total paralización en 1996, provocando impactos negativos a la economía regional y local; también al medio ambiente y la población (Montenegro, 2009).
Los objetivos de este estudio son identificar posibles tendencias en la precipitación de la cuenca del Moxotó durante el período de 1930 a 2014, e identificar los meses más lluviosos a través del análisis de concentración estacional de la precipitación del mismo período.
Área de estudio
La cuenca hidrográfica del río Moxotó se encuentra totalmente ubicada en la región Semiárida del Nordeste brasilero. La Cuenca está dividida entre el sector central del estado de Pernambuco y el oeste del estado de Alagoas. Posee un área de aproximadamente 9.752,71 km2 (siendo 8.778,05 km2 en el estado de Pernambuco y 974,66 km2 en el estado de Alagoas).
El clima predominante en la cuenca del Moxotó, según la clasificación genérica de Köppen es el BShW’, corresponde al tipo cálido y seco, con total pluviométrico anual medio de 700 mm y lluvias concentradas en los meses de enero a mayo (figura 1). La temperatura, humedad relativa y evaporación potencial media anual son de 25°C, 55% e 2.000 mm, respectivamente (Perrazzo, 2002). Con todo es importante tener en cuenta que el clima de la región Semiárida no debe ser comprendido solamente por las informaciones descritas por la clasificación genérica. Este clima se configura por su extrema variabilidad e influencias de eventos climáticos extremos; como por ejemplo, El Niño/La Niña. La región Semiárida presenta una taza de precipitación relativamente alta, pero la distribución estacional de las lluvias está concentrada en pocos meses del año (período lluvioso), y todos los demás meses son de sequía. Otro aspecto de la climatología de la región que contribuye con la escasez del agua son los altos niveles de evapotranspiración que provocan déficit en el acumulo de agua (Angelotti et al.2009; Assis et al., 2014).

Metodología
Teste Mann-Kendall
Este trabajo utilizó como método de análisis de la tendencia de la precipitación el test Mann-Kendall. El test fue aplicado en los datos anuales de precipitación del período de 1930 hasta 2014. Fueron utilizados únicamente datos de las estaciones meteorológicas ubicadas en el estado de Pernambuco. No hay muchas estaciones activas en el extremo sudoeste de la cuenca, territorio que corresponde al estado de Alagoas, y las escasas estaciones que existen presenta fallas en los datos.
Berger (1986) considera que el teste Mann-Kendall es el método más apropiado para analizar tendencias en series climatológicas. También que este método permite detectar y localizar el punto aproximado de inicio de una determinada tendencia.
El test Mann-Kendall es un teste no-paramétrico (Kendall, 1975; Mann, 1945), sugerido para evaluar la tendencia en series de datos ambientales (Yu et al., 2007). El test consiste básicamente en la comparación entre los valores que componen una misma serie temporal, en orden secuencial (Silva, 2007). También, considera la hipótesis de estabilidad de la serie temporal. Siendo así, la sucesión de valores de la serie temporal denota deformación independiente y la distribución de la probabilidad debe permanecer la misma (serie aleatoria simples).
En una serie temporal de observaciones x1, x2, xn, Mann (1945) propone que para que la hipótesis nula (H0) sea la verdadera los datos que componen la serie temporal deben ser variables aleatorias, independientes e igualmente distribuidas. Para que la hipótesis alternativa (H1) sea la verdadera los datos de la serie temporal deben seguir una tendencia monoatómica.
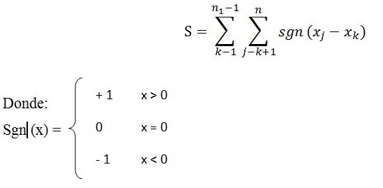
La ecuación 1 representa la estadística del teste Mann-Kendall:
(1)Xj representa los datos estimados de la secuencia de valores, n representa el tamaño de la serie temporal. Reciben valor cero (0) si (Xj - Xk) = 0; y [-1] si (Xj - Xk) > 0, por fin, [1] si (Xj - Xk) < 0. Supone que H0 sea verdadera, S debe presentar una distribución aproximadamente normal con media cero y variancia Var(S) = [(n*(n-1)*(2*n+5)]/18.
El resultado de S indica la posible existencia de tendencias, desde que el valor de S sea significativamente diferente de cero. Siendo S diferente de cero, la hipótesis nula H0 puede ser rechazada, y la hipótesis alternativa H1 sería aceptada (Mann, 1945).
El valor estadístico del teste es representado por Z, se expresa en la ecuación (2) a seguir:
(2)La existencia de una tendencia estáticamente significativa es evaluada por el valor de Z. el valor positivo de Z indica cuando hay aumento en la tendencia y el valor negativo indica disminución en la tendencia. El valor Z es el parámetro de salida del test Mann-Kendall. Para probar cualesquier tendencia, creciente o decreciente, para un nivel de significancia α, se rechaza la hipótesis nula cuando el valor absoluto de Z sea mayor que Z1 – α/2.
En este estudio se aplicó el nivel de significancia α = 0,05. Siendo así, cuando el valor absoluto de Z sea igual que 0 la hipótesis nula al nivel de 5% será aceptada, sin tendencia (Ts). Siendo el resultado de Z igual o mayor que 1,96 representa valor positivo, lo que indica existencia de tendencia significativa creciente (Tsc); siendo el resultado de Z menor que 1,96 demuestra tendencia no significativa creciente (Tnsc); cuando el resultado de Z es igual o menor que -1,96 indica valor negativo y tendencia significativa decreciente (Tsd), y cuando Z presenta resultado mayor que -1,96 indica tendencia no significativa decreciente (Tnsd) (tabla 1) (Alves et al., 2015).

Resultados
Como se ha mencionado anteriormente, para realizar los análisis de las tendencias en la precipitación en la cuenca del Moxotó se utilizaron los datos pluviométricos del período de 1930 - 2014. Este período corresponde a la serie más larga con registros completos para las 32 estaciones meteorológicas que se encuentran dentro de los límites de la cuenca. Entre las 32 estaciones, algunas ya no están vigentes en la actualidad. Toda la información referente a ellas está disponible en el banco de datos de la APAC – Agencia Pernambucana de Aguas y Clima (figura 2).

Mapa de la distribución espacial de las estaciones meteorológicas.
Fuente: Datos de la Agencia Pernambucana de Agua y Clima – APAC, 2014 (elaborado por la autora).Las estaciones fueron dividas por grupos de acuerdo con la localización espacial de donde estaban instaladas en la cuenca. La división y agrupación se dio de la siguiente forma:

Según los resultados del teste Mann-Kendall la precipitación en la cuenca del Moxotó presentó tendencias significativas crecientes en tres sectores (este, centro y sur) (Tabla 2).El sector Oeste presentó tendencia significativa decreciente, y el sector Norte presentó tendencia no significativa creciente. Los resultados pueden ser observados en la tabla 3 y en los gráficos (1, 2, 3, 4 y 5) que se presentan a continuación:


Los resultados del test Mann-Kendall en el sector Este de la cuenca presentó tendencia significativa creciente Z=2,20 (gráfico 1), la precipitación media de la serie fue de 592,9 mm y la desviación estándar de 261,3 mm. Este resultado indica que en la serie temporal de 1930 a 2014 hay una tendencia de aumento en las precipitaciones en este sector de la cuenca. También, el sector Este es el que posee la media de precipitaciones más elevada de toda la cuenca. Así como el sector Este, el Centro de la cuenca también presentó tendencia significativa creciente de Z= 2,90 (gráfico 2). La media de precipitaciones en el Centro fue de 453 mm, la desviación estándar 247,5 mm. El sector Sur de la cuenca fue el tercer sector a presentar tendencia significativa creciente Z= 3,26 (gráfico 3), la media de precipitación de este sector fue de 350,9 y la desviación estándar 207,7 mm.
El sector Oeste de la cuenca fue el único que presentó tendencia significativa decreciente Z= -1,70. De acuerdo con los análisis de los resultados del test para este sector, se presentó disminución en las precipitaciones en los años de la serie temporal en cuestión. El valor de la precipitación media fue de 470 mm, y la desviación estándar 238,8 mm (gráfico 4).
El Norte de la cuenca, según los resultados del test, presentó tendencia no significativa creciente Z= 1,05. Para este sector la media de precipitación fue de 441, 1 y la desviación estándar de 200, 4. Los datos de la serie temporal de este sector presentaban valores semejantes entre sí, lo que resultó en una baja variabilidad de la precipitación (gráfico 5).
Tomando en cuenta que tres sectores de la cuenca del Moxotó que presentaron tendencias significativas crecientes, es importante destacar que la región donde está ubicada la cuenca del Moxotó es el Semiárido brasilero, característico por el déficit hídrico. No obstante, el Semiárido brasilero, comparado con las demás regiones Semiáridas del mundo, es la región con tales características que posee las más altas medias pluviométricas anuales, entre los 200 mm hasta 800 mm de lluvias al año. A pesar de presentar altos niveles de precipitación, las lluvias en el Semiárido brasilero son irregulares. Además, las tazas de evapotranspiración de la región ultrapasa las de precipitación, o sea, la cantidad de lluvia es menor que el índice de evapotranspiración, que es de 3 mil mm/año, la evapotranspiración es tres veces mayor que la cantidad de lluvia que precipita en la región (Rebouças, 1997; Malvezzi, 2007; Baptista & Campos, 2014). Por lo tanto, los mismos resultados del test demuestran que tres quintos de la cuenca presentan aumentos en la precipitación, pero, que aún no son suficientes para superar el déficit hídrico de la cuenca.
Las precipitaciones no se distribuyen homogéneamente durante todo el año. En el Semiárido pernambucano, también se observa gran concentración de la lluvia en pocos meses del año. Tal concentración parece más evidente cuando la medida en que las precipitaciones medias disminuyen. Esta concentración de las lluvias, asociada a las altas temperaturas, que posee pequeña variación anual (las temperaturas en esta región son prácticamente las mismas durante todo el año), se permite distinguir solamente dos estaciones: seca y lluviosa (Nimer, 1979).
El Semiárido pernambucano es característico por concentrar la precipitación anual en solo un periodo que varía entre 3 a 4 meses, con irregularidades espacio-temporales (Prado, 2003; Nascimento, 2008). Según Souza e Oliveira (2006) tal período de concentración ocurre principalmente entre febrero hasta septiembre, con máximas de marzo hasta julio, siendo junio y julio los meses más lluviosos.
Para identificar los meses con mayor concentración de la precipitación en la serie de 1930 – 2014 fueron analizados los valores de las medias mensuales. Algunas referencias sobre la dinámica climática del Semiárido pernambucano afirman que la concentración de las lluvias en esta región ocurre en los primeros cuatro meses del año (Molion e Bernardo, 2000; Souza e Oliveira, 2006; Marengo et al., 2008; Medeiros et al., 2015, en otras referencias afirman que el período lluvioso corresponde a los meses de marzo hasta junio (Neves et al., 2010;Macedo et al., 2010; Filho et al., 2016; Aquino et al., 2016).
Fueron creados gráficos (a partir de la misma serie (1930 -2014) de datos utilizada para el test Mann-Kendall), con las medias mensuales. Los resultados de las mismas fueron transformados en valores de porcentaje con el objetivo de evidenciar los meses más lluviosos de cada sector de la cuenca. Los resultados pueden ser observados en los gráficos (6, 7, 8, 9 y 10), los mismos se muestran a continuación:

El análisis de los resultados demuestran que en el sector Este la concentración temporal de la precipitación ocurre en los meses de marzo, abril, mayo, junio y julio, sumando 66% del total de las precipitaciones del sector. Los meses de agosto, septiembre, octubre, noviembre, diciembre, enero y febrero presentaron 34% del total de las precipitaciones (gráfico 6).
En el sector Oeste, se observó que los meses de febrero, marzo y abril concentraran 51% del total de las precipitaciones y que los demás meses (mayo, junio, julio, agosto, septiembre, octubre, noviembre, diciembre y enero) tuvieran 49% del total de las precipitaciones (gráfico 7). El centro de la cuenca presentó 67% de la concentración de lluvia en los meses de enero, febrero, marzo y abril; mientras que mayo, junio, julio, agosto, septiembre, octubre, noviembre y diciembre concentraran 33%.
Los resultados del sector Sur de la cuenca indica que los meses más lluviosos fueron enero, febrero, marzo, abril y mayo suman 66% del total de las precipitaciones. Los demás meses, junio, julio, agosto, septiembre, octubre, noviembre y diciembre suman 34% del restante total de las precipitaciones. En el sector Norte los meses de enero, febrero, marzo y abril concentraran 68% del total de las lluvias, mientras que los meses de mayo, junio, julio, agosto, septiembre, octubre, noviembre y diciembre se suman 32% de las precipitaciones restante.
La predominancia de este período lluvioso concentrado en los meses de febrero hasta marzo, está condicionado por la influencia de la Zona de Convergencia Intertropical (ZCIT). La ZCIT es considerada el sistema atmosférico más importante generador de precipitaciones sobre la región del Ecuador, iniciando su migración para la región Nordeste de Brasil, a finales de abril e inicio de mayo, período cuando las lluvias probablemente serán abundantes (Cavalcanti, et al., 2009).
Conclusiones
De acuerdo con la metodología propuesta en este estudio y los respectivos resultados y análisis, se concluye que no hay una distribución homogénea de la tendencia de precipitación en la cuenca hidrográfica del río Moxotó. A través de la aplicación del teste Mann-Kendall fue posible evidenciar que dentro de una misma cuenca hidrográfica pueden existir variaciones en la tendencia pluviométrica. Los sectores Este, Centro, y Sur presentan tendencias significativas crecientes; el Oeste de la cuenca presentó tendencia significativa decreciente y el sector Norte presentó tendencia no significativa creciente.
En relación con los resultados estadísticos de la distribución estacional de la precipitación, se concluye que la serie temporal 1930 – 2014 de la cuenca del Moxotó presenta concentración de las precipitaciones en los meses de enero hasta julio, con máximas entre los meses de febrero hasta mayo y los meses más lluviosos fueron marzo y abril. Este fue el resultado para todos los sectores de la cuenca.
Agradecimientos
Agradecimientos
Se da las gracias a la Fundación de Amparo a la Ciencia del estado de Pernambuco (FACEPE) por financiar esta investigación. También, se agradece el apoyo del Laboratorio de Climatología Tropical e Eventos Extremos (TROPOCLIMA) y de la Universidad Tecnológica Metropolitana.
Referencias
Alves, T. L. B., Azevedo, P. V. &Farias, A. A. (2015). Comportamento da precipitação pluvial e sua relação com o relevo nas microrregiões do Cariri Oriental e Ocidental do estado da Paraíba. Revista Brasileira de Geografia Física, 8(6), 1601-1614.
Angelotti, F., Sá, I. B., Menezes, E. A. & Pellegrino, G. Q. (2009). Mudanças climáticas e desertificação no semi-árido brasileiro. Empresa Brasileira de Pesquisa Agropecuária, Petrolina.
Aquino, R. S., Lemos, C. G., Alencar, C. A., Silva, E. G., Lima, R. S., Gomes, J. A. F. & Silva, A. F. (2016). A realidade da caprinocultura e ovinacultura no semiárido brasileiro: um retrato do sertão do Araripe, Pernambuco. PUVET, (10), 271-281.
Assis, J. M. O., Calado, L. O., Souza, W. M. & Sobral, M. C. (2014). Mapeamento do uso e coupação do solo no município de Belém de São Francisco - PE nos anos de 1985 e 2010. Revista Brasileira de Geografia Física, 7(5), 859-870.
Barbosa, V. V., Souza, W. M., Galvincio, J. D. & Costa, O. S. (2016). Anáise da variabilidade climática do município de Garanhuns, Pernambuco - Brasil. Revista Brasileira de Geografia Física, 9(2), 353-367.
Batista, N. & Campos, C. H. (2014). Caracterização do semiárido brasileiro. Conselho nacional de segurança alimentar e nutricional, Brasília.
Belfort, C. F. & Barbosa, I. R. (2011). Avaliação da Fragilidade Ambiental da Bacia Hidrográfica do Rio Moxotó em Pernambuco Utilizando Geoprocessamento. Simpósio brasileiro de sensoriamento remoto (p. 1137). Curitiba: INPE.
Berger, A. (1986). Annual and saesonal climatic variations the northern hemisphere and Europe during the last century. Annales Geophysicae , 4 (B4), 385-400.
Black, R. (2001) Environmental Refugees: Myth or Reality? New Issues in Refugee Research, working paper n. 34.
Cavalcanti, I. F., Ferreira, N. J., Silva, M. G. & Dias, M. A. (2009). Tempo e clima no Brasil. São Paulo: Oficina de Textos.
Carvalho, J. O.(2006). Programa de Combate à desertificação no âmbito do Proágua semiárido. Ministério da Integração Nacional. Brasília.
Conti, J. B. (2005). Considerações Sobre Mudanças Climáticas Globais. Revista do Departamento de Geografia (16), 70-75.
Costa, M. S., Lima, C. K., Andrade, M. M. & Gonçalves, A. W. (2015). Tendências observadas em extremos de precipitação sobre a região Semiárida do Nordeste do Brasil. Revista Brasileira de Geografia Física, 8(5), 1321-1334.
CPRM. (2004). Base de dados geoambientais da bacia hidrográfica do rio Moxotó - PE. Programa de hidrogeologia do Brasil.
Filho, J. A. S.; Araújo, S. C. & Nogueira, V. F. B. (2016). Análise temporal do regime pluviométrico no município de Souza - PB. Revista Verde de Agroecologia e Abelhas, 11, 8-13.
Girão, O. (2009). Mudanças climáticas globais: Impactos sobre o espaço nordestino - o aumento dos eventos pluviais extremos. Revista de Geografia - UFPE, 26, 216-255.
Gondim, R., Castro, M. A., Maia, A. & Evangelista, S. (2009). Climate change and irrigatin watter requirement at Jaguaribe river basin, semi-arid northeast of Brazil. IOP Conference series: Earth and environmental science . Salvador.
Kendall, M. G. (1975). Rank correlation methods. Charles Griffin. London. p.120.
Lacerda, F. F., Nobre, P., Dias, H. & Santos, A. A. (2009). Um estudo de detecção de mudanças climáticas no semiárido de Pernambuco. III Simpósio Internacional de Climatologia, (p. 6). Canela.
Macedo, M. J. H., Souza, R. V. G., Assis, S. S. F. & Cunha, F. R. D. (2010). Análise do índice padronizado de precipitação para o estado da Paraíba, Brasil. Revista ambiente e água, (5), 204 - 214.
Malvezzi, R. (2007). Semi-árido: uma visão holística. Pensar Brasil, São Paulo.
Mann, H. B. (1945). Nonparametric tests against trend. Econometrica 13, 245-259.
Marengo, J. A. (2007). Mudanças climáticas globais e seus efeitos sobre a biodiversidade - caracterização do clima atual e definições climáticas para o território brasileiro ao longo do século XXI. Ministério do Meio Ambiente, Brasília.
Marengo, J. A., Alves, M. L., Beserra, A. E. & Lacerda, F. F. (2008). Variabilidade e mudanças climáticas no semiárido brasileiro. Parcerias estratégicas , 27, 385-422.
Medeiros, R. M., Francisco, R. M., Matos, R. M., Santos, D. & Saboya, L. M. F. (2015). Diagnóstico das flutuações pluviométricas no estado da Paraíba. Revista Brasileira de Geografia Física, 8(4), 1017-1027.
Molion, L. C. B. & Bernardo, S. O. (2000). Dinâmica das chuvas no Nordeste brasileiro. UFAL, 1-9.
Moura, A. D. & Shukla, J. (1981). On the dynamics of droughts in northeast Brazil: Observations, theory and nomerical experiments with a general circulation model. American Meteorological Society , 38, 2653-2675.
Montenegro, A. A. A. (2009). Programa de Capacitação de Técnicos em Hidrometria para Gestão Integrada de Bacias Hidrográficas e Perímetros Irrigados. Universidade Federal Rural de Pernambuco - UFPE. RECIFE.
Nascimento, L. R. (2008). Dinâmica Vegetal e Climática Holocênica da Caatinga, na Região do Parque Nacional do Catimbau, Buíque - PE (Dissertação de Mestrado). Recife: UFPE.
Neves, E. L., Funch, L. S. & Viana, B.F. (2010). Comportamento fenológico de três espécies de Jatropha (Euphorbiaceae) da Caatinga, semi-árido do Brasil. Revista Brasileira de Botânica (33), 155-166.
Nimer, E. (1979). Pluviométria e recursos hídricos dos estados de Pernambuco e Paraíba. SUPPEN, Rio de Janeiro.
Nobre, C. A., Sellers, P. J. & Shukla, J. (1991). Amazonian deforestation and reginal climate change. Journal of Climate, 4(10), 957-988.
Nóbrega, R. S. & Santiago, G. A. (2014). Tendência de temperatura na superficie do mar nos oceanos Atlântico e Pacífico e a Variabilidade de precipitação em Pernambuco. Mercator, 13, 107-118.
Perazzo, G. M. (2002). Perfil do saneamento ambiental em 29 municípios da área de Xingó. Impresa Universitária, Recife.
Prado, D. E. (2003). As Caatingas da América do Sul - Ecologia e conservação da Caatinga. Brasília: Ministerio do Meio Ambiente.
Rebouças, A. d. (1997). Água na região Nordeste: Desperdício e escassez. Revista Estudos Avançados, 11(29), 127-154.
Sant'anna neto, J. L. & Zavatini, J. A. (2000). Variabilidade e mudanças climáticas: Implicações ambientais e socioecômicos . Maringá: EDUEM.
Silva, D. G. (2007). Evolução Paleoambiental dos Depósitos de Tanques em Fazenda Nova, Município de Brejo da Madre de Deus - Pernambuco. (Dissertação de Mestrado). Recife: UFPE.
Souza, M. J. N. & Oliveira, V. P. V. (2006). Os enclaves úmidos e sub-úmidos do semi-árido do Nordeste brasileiro. Revista Mercator, 5, 85-102.
Yevjevich, V. (1972). Stochastic processes in hydrology. Colorado: Water Resources Publications.
Yu, J.-Y., & Kao, H.-Y. (2007). Decadal changes of El Niño persistence barrier in SST and ocean heat content indices: 1958-2001. Geophysical Research Letters .
[1] Académica doctora de la Escuela de Ingeniería en Geomensura de la Universidad Tecnológica Metropolitana (Chile). Correo electrónico: keyla.alencar09@gmail.com
Notas