Dossier
Recepción: 18 Septiembre 2023
Aprobación: 28 Noviembre 2023
DOI: https://doi.org/10.26489/rvs.v37i54.6
Resumen: El desempleo juvenil constituye una de las claves en los estudios de jóvenes. Una de las premisas que habitualmente se considera dada (incuestionada e incuestionable) es que los jóvenes sufren el desempleo en mayor medida que los adultos. Sin embargo, podemos preguntarnos: ¿Siempre ha sido igual? ¿Afecta más a algunas cohortes de nacidos que a otras? ¿Varía en distintos períodos históricos? Incluso podemos ir más allá y preguntarnos si para distintas cohortes los efectos sobre el desempleo de los jóvenes producto de sus posiciones estructurales (intracohorte) son invariantes en el tiempo. Este artículo se aboca a responder estas interrogantes utilizando una serie larga (1985-2019) de la Encuesta Continua de Hogares en Uruguay, mediante la técnica age-cohort-period detrended (ACPD). La herramienta permite distinguir los efectos de estas tres variables (edad, cohorte y período), que son una combinación lineal. Los resultados obtenidos abren nuevas discusiones y cuestionan el uso que habitualmente se realiza de “los jóvenes”, como si la edad por sí misma los igualara y, sobre todo, como si a lo largo de la historia ser joven tuviera las mismas consecuencias, en este caso, abordando el desempleo.
Palabras clave: Histéresis, efecto cicatriz, tiempo.
Abstract: Youth unemployment is one of the keys in youth studies. One of the premises that is usually considered given (unquestioned and unquestionable) is that young people suffer from unemployment to a greater extent than adults. However, we can ask ourselves, has it always been the same? Does it affect some birth cohorts more than others? Does it vary in different historical periods? Even going further, if for different cohorts the effects on youth unemployment as a result of their structural positions (intra-cohort) are invariant over time. This article aims to answer these questions using a long series in time (1985-2019) of Continuous Household Surveys in Uruguay, using the Age-Cohort-Period Detrended (ACPD) technique. The tool allows distinguishing the effects of these three variables (age, cohort, period) that are a linear combination. The results obtained open up new discussions and question the use that is usually made of "young people"; as if age itself equaled them, and above all if throughout history being young had the same consequences, in this case addressing unemployment.
Keywords: Hysteresis, scar effect, time.
Resumo: O desemprego juvenil é uma das chaves nos estudos da juventude. Uma das premissas que costuma ser considerada dada (inquestionável e inquestionável) é que os jovens sofrem mais com o desemprego do que os adultos. No entanto, podemos nos perguntar, sempre foi assim? Afeta algumas coortes de nascimento mais do que outras? Varia em diferentes períodos históricos? Indo ainda mais longe, questionando-nos se para diferentes coortes os efeitos sobre o desemprego juvenil resultantes das suas posições estruturais (intra-coorte) são invariantes ao longo do tempo. Este artigo tem como objetivo responder a essas perguntas por meio de uma longa série no tempo (1985-2019) de Pesquisas Domiciliares Contínuas no Uruguai, usando a técnica Age-Cohort-Period Detrended (ACPD). A ferramenta permite distinguir os efeitos dessas três variáveis (idade, coorte, período) que são uma combinação linear. Os resultados obtidos abrem novas discussões e questionam o uso que se costuma fazer de "jovens"; como se a própria idade os igualasse, e sobretudo se ao longo da história ser jovem teve as mesmas consequências, neste caso abordando o desemprego.
Palavras-chave: Histérese, efeito cicatrizante, tempo.
Introducción
Es muy habitual que los informes sobre desempleo de todos los países presenten como dato relevante que el valor de desempleo de jóvenes es más alto que el de adultos. Y que lo coloquen como un problema de los jóvenes.1 De ello se deriva que la edad es lo que se considera, teóricamente, más importante para la explicación del fenómeno. Sin embargo, tanto los períodos (coyunturas económicas y políticas) como las cohortes de nacimiento pueden tener efectos en el desempleo o la desocupación.
Conceptualmente se entiende por desocupados a las personas que
durante el período de referencia no estaban trabajando por no tener empleo, pero que buscaban un trabajo remunerado o lucrativo, y que se encuentran disponibles para comenzar a trabajar. Esta categoría comprende a las personas que trabajaron antes, pero perdieron su empleo (desocupados propiamente dichos), y aquellas que buscan su primer trabajo. Los desocupados propiamente dichos incluyen a los que reciben un subsidio estatal (seguro de paro) y a los que no lo reciben. (INE, 2021, p. 4)
La tasa de desempleo es el número de desempleados como porcentaje del total de la población económicamente activa (PEA). El denominador es la PEA, que comprende a
las personas de 14 o más años de edad que tienen al menos una ocupación en la que vierten su esfuerzo productivo a la sociedad, o que, sin tenerla, la buscan activamente durante el período de referencia elegido para la Encuesta. Este grupo incluye la fuerza de trabajo civil y los efectivos de las fuerzas armadas. (INE, 2021, p. 4)
Al respecto hace falta mencionar tres cuestiones:
1. Se clasifica como desocupados a quienes están en tres situaciones diferentes:
a) buscan trabajo por primera vez,
b) han estado ocupados antes y están al momento de relevamiento en seguro de desempleo y
c) los desocupados propiamente dichos, aquellos que habiendo trabajado antes están buscando trabajo al momento del relevamiento.
Estos tres componentes del desempleo se distribuyen muy diferencialmente por edad. Son en su mayoría jóvenes quienes buscan trabajo por primera vez. Y esto constituye un motivo más que suficiente para que al comparar las tasas de desempleo por edad (y llegar a las alarmas que suenan cada vez en estas comparaciones) se discriminen los tres componentes. En general, quienes buscan trabajo por primera vez representan un porcentaje despreciable entre los desocupados en los tramos de edad comprendidos como adultos (Filardo y Cabrera, 2022).
2. La desigualdad entre los desempleados no sólo puede deberse a la edad de los sujetos, sino que también está mediada por el período histórico (crecimiento o recesión económica, por ejemplo). Esto supone que algunas cohortes de nacidos puedan estar más afectadas que otras en la posibilidad de entrada o permanencia en el mercado laboral.
3. Si bien es muy frecuente la consideración de la edad de los sujetos para estudiar las características de los desempleados, no ocurre igual con el análisis por cohorte.
Una cohorte es un conjunto de individuos que ingresan a un sistema al mismo tiempo. Se presume que los individuos de una cohorte tienen similitudes debido a las experiencias compartidas que los diferencian de otras cohortes. El análisis de cohortes busca explicar un resultado a través de la explotación de las diferencias entre cohortes, así como las diferencias entre otras dos dimensiones temporales: “edad” (tiempo desde la entrada al sistema) y “período” (momentos en los que se mide un resultado). (Mason y Woldfinger, 2001, p. 2)
Una cohorte de nacimiento es un tipo particular de cohorte, que es el que utilizaremos en este estudio, y cada una está conformada por aquellos sujetos que viven determinados períodos históricos a la misma edad. Cada cohorte supone el mismo tiempo de vida de los sujetos en el mismo período histórico.
¿Para qué sirve el análisis de cohortes?
Yang y Land (2013) mencionan tres aspectos:
El análisis de cohortes tiene como objetivo distinguir los efectos de la edad, el período y la cohorte y es teóricamente importante de tres maneras. Primero, es crucial para las atribuciones de etiología o causalidad social. Conceptualmente, los efectos de la edad representan cambios en el desarrollo relacionados con el envejecimiento dentro de los individuos, mientras que las tendencias temporales a lo largo de los períodos reflejan cambios exógenos en las condiciones sociales y epidemiológicas. Y los cambios de cohorte reflejan la intersección de ambos como resultado de la acumulación diferencial de exposiciones a lo largo de la vida a las condiciones ambientales. En segundo lugar, el análisis de cohortes también se relaciona con la generalización de los resultados de la investigación. En ausencia de efectos de período y cohorte, los cambios de edad son ampliamente aplicables entre individuos en diferentes períodos de tiempo y/o cohortes. Sin embargo, la presencia de cualquiera de estos efectos o de ambos indica la existencia de fuerzas exógenas o exposiciones que son específicas del período y de la cohorte. En tercer lugar, en la medida en que estos efectos sirvan como agregados y representantes de diferentes conjuntos de correlatos estructurales, los análisis que permiten su distinción son especialmente valiosos para una mejor comprensión e identificación de los factores sociales y ambientales subyacentes que son susceptibles de modificaciones. (Yang y Land, 2013, p. 12)
El objetivo de este estudio es indagar si las cohortes de nacimiento tienen una contribución específica (controlando edad y período) en el porcentaje de personas que buscan trabajo y no lo consiguen de cada cohorte de nacidos y sus diferencias por sexo y nivel educativo, en la población de Montevideo, entre 1985 y 2019.
En estudios longitudinales sobre las tasas de desempleo es necesario considerar la evolución de la población activa (denominador de la tasa). De hecho, existen muchos antecedentes que muestran cómo la tasa de actividad varía en períodos de recesión o expansión económica y explican las variaciones de la tasa de actividad por sexo, por períodos, por las edades de los sujetos, etc.
En otros trabajos (Filardo y Cabrera, 2022) hemos aplicado la técnica age-cohort-period detrended (ACPD) para estudiar el comportamiento de la tasa de actividad, para 1985-2019, mostrando la variabilidad según períodos, edad, cohorte, sexo y nivel educativo.
En el presente análisis se indaga sobre el peso que tiene el desempleo en cada cohorte, independientemente del nivel de actividad de esas poblaciones. Las cohortes de nacimiento fluctúan por factores vitales (nacimientos, defunciones) y por migración (que puede asociarse a coyunturas económicas, pero lo hace habitualmente en una medida mucho menor y en forma menos directa que el nivel de actividad). El indicador analizado es el porcentaje de personas de una cohorte de nacimiento que buscan activamente un empleo/trabajo remunerado y no lo consiguen (al menos en la semana anterior al relevamiento).
Se utiliza como fuente de información una serie larga en el tiempo (1985-2019) de la Encuesta Continua de Hogares (ECH) del Instituto Nacional de Estadística (INE), en Uruguay, que ha sido armonizada y consistenciada. La población de estudio son personas que entre 1985 y 2019 (los períodos quinquenales se corresponden con años de gobierno) tenían entre 20 y 69 años, de Montevideo. Se adicionan al modelo el sexo y el nivel educativo alcanzado (categorizado en tres niveles).
Se considera la población a partir de los 20 años, con lo cual se deja afuera del análisis la inserción de adolescentes, que tienen características particulares. Desde lo conceptual, porque si bien la población en edad de trabajar (PET) en Uruguay se define a partir de los 14 años, según la Ley General de Educación de 2008, la educación obligatoria es de 14 años de educación formal, lo que supone la culminación del nivel medio de educación, que teóricamente se alcanza a los 18 años. En la medida que el nivel educativo alcanzado es una de las variables incluidas en el modelo, se fija la población en el mismo nivel de riesgo de haber alcanzado la educación obligatoria mínima.2 Asimismo, la Ley de Empleo Juvenil del año 2013 establece condiciones de empleo protegido para las personas comprendidas entre los 15 y los 17 años, y el trabajo adolescente está regulado por ciertas disposiciones particulares.
Los períodos están determinados cada cinco años, coincidiendo con los años de gobierno, lo que permite clasificarlos en términos de orientaciones políticas y de coyunturas económicas. Cuadro 1.

Para el objetivo planteado se utiliza un análisis estadístico basado en el enfoque de año-período-cohorte (APC). En particular, se opta por el método APCD elaborado por Luis Chauvel (2011, 2012, 2013), quien desarrolla un procedimiento que intenta superar algunos cuestionamientos realizados al APC del estimador intrínseco propuesto por Yang et al. (2008) y Yang y Land (2013).3 Ambas propuestas se enfocan en resolver el problema de la indeterminación dada por el hecho de que las tres variables son una combinación lineal perfecta (c=p-a) que implica la imposibilidad de determinar los efectos específicos de cada una de las tres variables consideradas por modelos de regresión tradicionales.
El ACPD propuesto por Chauvel (2011, 2012, 2013) impone restricciones especiales para superar el problema de indeterminación:
El modelo Edad-Período-Cohorte-Sin Tendencia (APCD) identifica los efectos de la cohorte asumiendo un conjunto de restricciones donde los parámetros de edad, período y cohorte tienen suma cero y pendiente cero, y donde la primera y la última cohorte son excluidos (Chauvel 2011, 2012). Fundamentalmente, estas restricciones absorben las tendencias lineales de edad, período y cohorte, lo que permite que el modelo estime los efectos de edad, período y cohorte sin tendencia. (…) APCD es un detector de “golpes” (bumps) que muestra cómo diferentes cohortes (promediadas sobre la esperanza de vida disponible de la cohorte) diverge de la tendencia lineal. Los golpes miden la divergencia empírica específica de las cohortes de los valores predichos resultantes de los efectos de edad y período a los que pertenecen. (Vera-Toscano y Meroni, 2021, pp. 662-663)
La principal diferencia del APCD con otros métodos APC es la preocupación por identificar los comportamientos no lineales (o golpes) de edad, período y cohorte. Por tanto, se centra en determinar las fluctuaciones por encima y por debajo de la tendencia lineal. “La definición de un efecto de cohorte ‘sin tendencia’ (por encima o por debajo de la tendencia lineal) es la única solución para definir la especificidad del comportamiento de la cohorte” (Chauvel, Leist y Ponomarenko, 2016, p. 4).
El procedimiento desarrollado por Chauvel implica, asimismo, el análisis de la histéresis que supone una pregunta adicional al APC-ie (estimador intrínseco): ¿cuál es el tipo de relación que se establece entre cohortes y edad en el comportamiento de la variable dependiente (que en nuestro caso es buscar trabaja y no conseguirlo)? De hecho, pretende estudiar lo que llama las “cicatrices generacionales” (Chauvel, 2013), dadas por la duración del efecto cohorte (en el eje de la edad). El procedimiento utilizado (iterativo, convergencia a un único valor de H-index y que, por lo tanto, se interpreta para todas las cohortes consideradas en el modelo, no pudiendo establecer el comportamiento para cada una de ellas de forma independiente) permite distinguir tres situaciones diferentes: a) histéresis, el comportamiento diferencial de la actividad en las cohortes, al controlar por período, es el mismo a lo largo del eje de edad (H-index =0); b) efecto Mathew, el comportamiento diferencial de las cohortes en la actividad o su tasa -controlando por período- se incrementa según se avanza en el eje de las edades (H-index = +1) y c) resiliencia, que supone que en las cohortes la actividad, o su tasa, vaya disminuyendo a lo largo del eje de las edades hasta el punto eventualmente de desaparecer en el último (mayor) tramo de edad considerado (H-index = -1).
Estrategia
En este trabajo se aplica el APCD para un modelo que tiene como variable dependiente el porcentaje de desocupados y como variables independientes edad, período y cohorte, incluyéndose, además, sexo y nivel educativo, que muestran tener influencia según los antecedentes considerados.
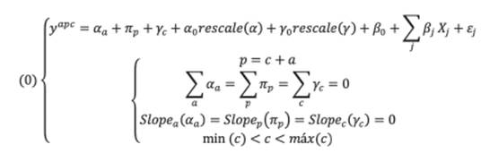
Utilizando el modelo APCD, estimamos el impacto de la edad, el período y la cohorte en el porcentaje de desocupados, a partir de la función: 1

Donde 𝛼𝑎, 𝜋𝑝, 𝛾𝑐, los vectores de efecto edad, período y cohorte, respectivamente, reflejan el efecto no lineal de la edad, el período y la cohorte, ya que vienen con dos restricciones principales: cada vector suma 0 y tiene una pendiente de 0. Esto implica que estos vectores son nulos cuando la edad, los efectos de período o cohorte son lineales. Los términos 𝛼0𝑟𝑒𝑠(𝑎) y 𝛾0𝑟𝑒𝑠𝑐𝑎𝑙𝑒(𝑐) absorben las tendencias lineales. Rescale es una transformación que estandariza los coeficientes 𝛼𝑎𝑎𝑛𝑑𝛾𝑐: transforma la edad del código inicial 𝑎𝑚𝑖𝑛 a 𝑎𝑚𝑎𝑥 al intervalo -1 a +1 (Vera-Toscano y Meroni, 2021).
Donde:
y= porcentaje de desocupados
x1= tramo de edad (tramo de edad: 20-24, 25-29, 30-34, 35-39, 40-44, 45-49, 50-54, 55-59, 60-64, 65-69)
x2= período (1985-1989,1990-1994, 1995-1999, 2000-2004, 2005-2009, 2010-2014, 2015-2019)
x3= cohorte de nacimiento (quinquenios desde 1915-1919 a 1995-1999)
x4= sexo
x5= nivel educativo alcanzado (bajo: hasta educación primaria; medio: educación media; alto: educación terciaria)
Antes de la aplicación del APC se realiza un análisis descriptivo (gráfico y numérico) a partir del diagrama de cohorte para mostrar la evolución del peso relativo de cada grupo de edad al pasar de una cohorte a la siguiente.
Los gráficos permiten ver el comportamiento del porcentaje de desempleados para todas las cohortes en un mismo tramo de edad. Tanto para varones como para mujeres, los porcentajes más altos se dan entre los 20 y los 24 años, aunque con grandes variaciones entre cohortes. Por ejemplo, los varones de las cohortes nacidas entre 1975 y 1984 (que tienen 20-24 años en las crisis 1998-2002) muestran porcentajes superiores a 17% mientras las siguientes cohortes registran porcentajes entre 12 y 13% en ese grupo de edad. El porcentaje de desempleados vuelve a subir a niveles muy altos (17,5%) para la cohorte nacida entre 1995-2000, que tiene entre 20 y 24 años en el último período analizado (2015-2019). De manera muy similar, a los 20-24 años en las cohortes de mujeres el porcentaje de desempleadas ronda entre 14 y 17,6%, salvo las nacidas entre 1975 y 1984 (alcanzan ese tramo edad en las crisis 1998 y 2002) y las nacidas entre 1995-2000 (que tienen esa edad entre 2015 y 2019).
Más allá del comportamiento de las cohortes en esta edad temprana, el diagrama de cohorte permite visualizar el efecto período, con un brusco incremento entre 1995-2000, que se corresponde con el inicio de la crisis, sobre todo desde 1998, y se mantiene o incrementa en el período 2000-2004. En los tramos mayores a 60 años se manifiestan curvas más suavizadas en ese período. Es decir, estos datos permiten ver las diferencias en el desempleo entre las cohortes, en función de la coyuntura socioeconómica del país en que alcanzan cierta edad.
Por otro lado, el diagrama de cohortes de mujeres permite ver la disminución de la intensidad del desempleo a medida que aumenta el tramo etario, en una progresión a lo largo del eje de las edades. Entre los varones esta reducción es evidente en los jóvenes (hasta 34 años), pero a partir del grupo de 35-39 años las curvas de cada tramo se comportan de forma muy similar respecto al porcentaje de desempleados de cada cohorte, excepto en los grupos de mayor edad (60-64 y 65-69), en los que vuelve a disminuir el nivel de desempleo en todas las cohortes. Gráfico 1.

Resultados del análisis de APCD
Se ajusta, en primer lugar, un modelo que solo considera la edad y el período (AP), sin incorporar la cohorte de nacimiento. Luego se elabora un segundo modelo en que se incluye la cohorte (modelo APCD), que, con las restricciones señaladas antes, permite el cálculo de los coeficientes para cada cohorte considerada. Es importante recalcar que en el APCD los coeficientes expresan aportes de las variables consideradas (sea edad, período, cohorte, como otras variables independientes) que “escapan” a las tendencias lineales, es decir, que muestran desvíos respecto a una relación lineal entre estas variables y la variable dependiente. La comparación entre el modelo AP y APCD se realiza mediante el indicador Delta BIC, que permite establecer qué modelo ajusta mejor a los datos. Si AP tiene un mejor ajuste, significa que la cohorte de nacimiento no tiene un comportamiento específico que contribuya a la explicación de la variable dependiente. En caso de que el APCD sea el mejor modelo, la cohorte de nacimiento hace un aporte específico al modelo, por lo que es relevante en la explicación del fenómeno, en este caso el porcentaje de desempleados.
En la medida en que el coeficiente de una cohorte en el APCD es negativo, implica que hay un menor nivel de desocupación específico de esa cohorte en relación con la media de la población estudiada y más allá de comportamientos atribuibles a edades y períodos. Los resultados para toda la población estudiada muestran comportamientos por debajo de la media en las cohortes en los nacidos entre 1925 y 1944. La desocupación tiene un comportamiento por encima de la media en los nacidos entre 1945 y 1974; vuelve a comportarse por debajo de la media de las cohortes, pero de magnitud menor que entre los primeros, los nacidos entre 1975 y 1994. Gráfico 2.

Si bien el interés se centra en la contribución de las cohortes, interesa comprender también los aportes específicos (no lineales) de la edad y los períodos históricos. En el caso de la edad, el nivel de desempleo es superior a la media, en el tramo de 20 a 24 años, probablemente muy influido por la incorporación al mercado de trabajo de los jóvenes (“busca trabajo por primera vez”). Entre los 25 y los 44 años, se comporta con desvíos negativos (por debajo de la media) que vuelven a ser positivos entre los 44 y los 59 años. El coeficiente de edad para el tramo 60-64 no es significativo. Entre los 65-69 el desempleo vuelve a ser menor a la media.
En el caso de los períodos históricos incluidos en el estudio, la magnitud de los coeficientes es mayor a las de los otros componentes (edad y cohorte). Sobresale el período 2000-2004, cuando se desarrolla la llamada “crisis de 2002”, que afectó socioeconómicamente de manera sustantiva al Uruguay. Tanto el desempleo como la desigualdad social aumentaron de forma considerable en el período de la presidencia de Jorge Batlle.
Los períodos 1990-1994 (de corte liberal, bajo la presidencia de Luis Alberto Lacalle Herrera, del Partido Nacional) y 2010-2014 (bajo la presidencia de José Mujica, del Frente Amplio) se distinguen por comportamientos del desempleo por debajo de la media de todos los períodos.
Por otra parte, las variables independientes consideradas en el modelo, sexo y nivel educativo, tienen coeficientes de APCD significativos y de alta magnitud, lo que evidencia comportamientos específicos del nivel de desempleo según estas características de la población.
Dadas estas particularidades del fenómeno según sexo, se resuelve avanzar en el análisis y considerar por separado el comportamiento del desempleo para varones y mujeres y, finalmente, dentro de cada sexo, por nivel educativo. Gráfico 3


El análisis del APCD para cada sexo no muestra diferencias sustantivas en cuanto al comportamiento por edad ni por período, lo que reafirma la importancia de estas dos variables en la explicación de los diferenciales del nivel de desempleo, que afectan en el mismo sentido a mujeres y varones.
Sin embargo, al analizar los coeficientes por cohortes, estos se comportan de forma inversa para varones y mujeres. Cuando en los varones los desempleados de la cohorte se desvían hacia debajo de la media, para las mujeres se desvía hacia arriba. Las magnitudes de los coeficientes de cohorte para cada una de las categorías de sexo son, consistentemente, mayores que en el total de desempleados. Esto evidencia una incidencia más importante de las cohortes, que queda parciamente oculta o compensada al analizar la población sin diferenciar por sexo.
A su vez, interesa analizar en qué medida estas particularidades implican una “cicatriz” que marca a las cohortes de varones y mujeres a lo largo del ciclo de vida (en este caso de 20 a 69 años). La técnica de APC-ie desarrollada por Chauvel permite analizar la duración del efecto cohorte a lo largo de la vida de los individuos.
Para ello, se calcula el índice de histéresis, que es un término de interacción entre la cohorte a lo largo del eje de las edades.
En la población femenina analizada, el H-index es de -0,164836, muy cercano a 0, lo que implica que el efecto cohorte se mantiene a lo largo de la vida de los sujetos que las integran (histéresis). El efecto cohorte es permanente, no se diluye ni aumenta a medida que los individuos de esa cohorte envejecen.
Como ya se analizó, las cohortes de mujeres nacidas más recientemente tienen coeficientes negativos y de magnitud elevada, lo que evidencia una mejor situación en cuanto al nivel de desempleo que en cohortes femeninas anteriores. Es posible hipotetizar que a largo plazo estos comportamientos relativos a las cohortes se mantienen, lo que supone condiciones estructuralmente favorables en el mediano plazo respecto al desempleo de las mujeres de Montevideo.
En cambio, en el caso de los varones el H-index es -1, valor que indica la disminución del efecto de la cohorte a lo largo de la vida de los sujetos (resiliencia). El comportamiento respecto al desempleo de las cohortes más jóvenes (claramente desviados hacia arriba de la media) no resistirá a mediano y largo plazo, y el efecto logrará desvanecerse a medida que se avanza en la edad. Esto significa que el comportamiento diferencial (mayor) respecto al desempleo de las cohortes más jóvenes en términos relativos a las otras cohortes consideradas no será una marca generacional indeleble, sino que irá desdibujándose a medida que los varones avancen en su edad.
El análisis de cohorte permite, así, estimar comportamientos de largo plazo. Esto significa cambios sociales que puedan atribuirse a las cohortes y que estos duren en el tiempo como efectos diferenciadores.
Finalmente, se introduce como variable independiente el nivel educativo, factor también relevante para explicar el desempleo de acuerdo a la literatura sobre el tema. Como ya se analizó, los coeficientes de APCD por nivel educativo son altos tanto para las mujeres como para los varones. Gráfico 4.


Se elaboran los modelos por separado para varones y mujeres según el nivel educativo, con el objetivo de indagar si existen diferencias intracohorte al desglosar la cohorte según educación y sexo.
Una forma sintética de visualizar la importancia y permanencia de los efectos de cohorte es graficando los desvíos estándar de los coeficientes de cohorte con relación a la media (en el eje horizontal) y el H-index (en el eje vertical) de cada una de las seis subpoblaciones analizadas (varones y mujeres de cada uno de los tres niveles educativos: hasta primaria, educación media y terciaria). Gráfico 5.

En el eje horizontal, los valores más bajos expresan efectos específicos débiles de la cohorte y los valores altos, a la derecha, efectos fuertes. En este sentido, es visible que las mujeres que alcanzan educación terciaria son quienes tienen mayores efectos cohorte y los varones con educación primaria media, los efectos menores. El H-index, representado en el eje vertical, da cuenta de la reducción (valores negativos, resiliencia), mantenimiento (valores cercanos a 0, histéresis) o aumento (valores positivos, efecto Mathew) del efecto específico de la cohorte a lo largo de la vida. En nuestro caso, aparecen dos tipos de comportamientos diferenciados: las mujeres (sea cual sea su nivel educativo) y los varones con nivel terciario tienen valores negativos pero cercanos a 0, lo que indica que los efectos específicos de la cohorte serán relativamente estables a lo largo del eje de la edad. En cambio, en los varones con menor educación (primaria y media), el efecto cohorte tiende a desvanecerse a lo largo de la vida.
Del análisis conjunto de los coeficientes de cohorte, sus desvíos y el H-index es posible identificar diferentes comportamientos según sexo y nivel educativo.
Se aprecia que, para las mujeres hasta primaria, mujeres terciaria y varones terciaria, el efecto cohorte es fuerte (mayores desvíos de los coeficientes APCD) y duradero a lo largo de las edades (H-index cercano a 0). En la medida que las cohortes más recientes de mujeres tienen desvíos negativos respecto a la tendencia lineal y que este comportamiento permanecerá a medida que envejezcan, puede estimarse una tendencia favorable a mediano plazo de su porcentaje de desocupación (relativa a las cohortes). En cambio, para los varones más educados, el desvío de la tendencia lineal es positivo (niveles de desempleo por encima del promedio), por lo que la permanencia del efecto a lo largo de la vida implica una “cicatriz” desfavorable para estas cohortes.
La situación de los varones que alcanzan hasta primaria y varones con educación media muestra desvíos del coeficiente cohorte de menor magnitud y, además, su histéresis es -1, lo que significa que el efecto cohorte se desvanecerá a lo largo de la vida de los sujetos. El comportamiento desfavorable de las cohortes más recientes no se sostendrá a medida que envejezcan.
Las mujeres de educación media se encuentran en valores intermedios del desvío estándar de los coeficientes de cohorte y también en la histéresis (significa que irá disminuyendo el efecto a medida que envejezcan, pero con baja intensidad). Las cohortes más jóvenes tienen desvíos negativos, pero cercanos a la tendencia lineal.
Conclusiones
El análisis mediante APC permite estudiar los efectos edad, período y cohorte sobre una variable dada, en este caso porcentaje de desocupados sobre la población observada. El análisis de cohortes permite analizar cambios de largo plazo y “responder preguntas sobre los cambios estructurales en la economía” (Lassassi y Tansel, 2020, p. 3).
Los tres efectos son significativos en la población de 20 a 69 años de Montevideo, aunque se diferencian en magnitud. El mayor es período, que muestra entre 2000 y 2004 el mayor coeficiente (crisis de 2002, de enorme repercusión). La edad marca dos momentos muy claros de desvío hacia arriba de la tendencia lineal entre los 20 y los 24 años y entre los 55 y los 59 años (para varones y mujeres).
Estas dos variables forman parte de los análisis clásicos del desempleo, junto con otras características individuales (como sexo y nivel educativo).
El aporte del presente análisis es evidenciar que, más allá de esas dimensiones “clásicas” del fenómeno, existen efectos específicos de las cohortes de nacimiento en el porcentaje de desocupados, sobre todo en las mujeres.
En las cohortes de 1940 a 1970 de mujeres, se aprecia la expansión de la participación en el mercado de trabajo producida desde la década del sesenta (acentuada por el deterioro económico del país y la desregulación de las relaciones laborales) y una menor elasticidad en el porcentaje de desocupadas respecto a la edad (a lo largo del período de actividad) en relación con las otras cohortes de mujeres. Podría decirse que son las que “abren el camino”, marcando el cambio de fuerza de trabajo secundaria (que complementa ingresos en momentos de crisis) a una participación permanente, aunque con dificultades de inserción durante toda su vida laboral.
Entre los varones, en cambio, la mayoría de las cohortes no presenta singularidades, aunque los nacidos entre 1950 y 1960 tienen desvíos negativos respecto a la media de las cohortes. Dado que son varones que en la década del setenta ingresaron al mercado (20 a 24 años) en un contexto de desregulación laboral y caída muy fuerte del salario real, podrían plantearse dos hipótesis interpretativas. La primera es la necesidad de insertarse laboralmente aun en condiciones muy precarias, reforzada por el rol masculino de proveedor. Alternativa o complementariamente, puede hipotetizarse que esta menor desocupación se asocia a la fuerte emigración de población más propensa a participar del mercado de trabajo, en particular varones, que caracterizó el período.
En cuanto a los efectos diferenciales intracohorte según nivel educativo se encuentra que, si bien hay matices, dentro de cada sexo siguen la tendencia anterior. Sin embargo, surgen algunas particularidades cuando se analizan en simultáneo los efectos específicos de cohorte y la duración o “cicatriz” de estos a lo largo de la vida de estas poblaciones, tal como propone Chauvel para identificar la histéresis.
Las cohortes de varones de bajo y medio nivel educativo, así como las mujeres con educación media, no presentan particularidades, sea por tener coeficientes de efecto cohorte muy reducidos o por la desaparición de esos efectos con el transcurso de la edad.
En cambio, en las mujeres de menor y mayor nivel educativo, así como en los varones más educados, el efecto cohorte es fuerte y duradero a lo largo de la vida. En las mujeres de las cohortes más recientes esta histéresis expresa una tendencia favorable en cuanto a la trayectoria del desempleo, dado que tienen, a su vez, coeficientes por debajo del promedio. En cambio, para los varones con terciaria el desvío de la tendencia lineal es positivo (mayor porcentaje de desempleo), por lo que su situación a mediano plazo no sería auspiciosa.
Debe tenerse en cuenta que los períodos considerados van desde 1985 a 2019. Esta delimitación deja fuera la pandemia de COVID-19, que ha tenido alta repercusión en la economía y en el mercado de trabajo. Probablemente marque “cicatrices” en las cohortes que la atraviesan a determinadas edades.
Referencias bibliográficas
Chauvel, L. (2013). Spécificité et permanence des effets de cohorte: le modèle APCD appliqué aux inégalités de genérations, France/Etats-Unis. 1985-2010. Revue française de sociologie, 54(4), pp. 665-707.
Chauvel, L. (2013). Testing cohort effect hysteresis with APC models: Comparing middle-aged suicide rates in 16 countries (en línea). Population Association of America. 2013 Anual Meeting Program. Disponible en: <Disponible en: https://paa2013.populationassociation.org/papers/130719> (acceso 01/09/2022).
Chauvel, L. (2011). Age-period-cohort with hysteresis APC-H model/A method (en línea). Disponible en: <Disponible en: http://www.louischauvel.org/apchmethodoc.pdf> (acceso 01/09/2022).
Chauvel, L.; Leist, A. K. y Ponomarenko, V. (2016). Testing persistence of cohort effects in the epidemiology of suicide: an age-period-cohort hysteresis model. PloS one, 11(7), e0158538.
Filardo, V. (2019). Juventud, juventudes, jóvenes: esas palabras. Última Década, 26(50), pp. 109-123.
Filardo, V. y Cabrera, M. (2022). Cohortes de nacimiento: ¿contribuyen a explicar la tasa de actividad en Montevideo 1985-2019. Ponencia presentada en Seminario Interno Permanente, Departamento de Sociología. Facultad de Ciencias Sociales, Universidad de la República.
Flores, M. y Selios, L. (2011). Perfiles generacionales en las preferencias políticas de los uruguayos. Revista Uruguaya de Ciencia Política, 20(1), pp. 33-62.
Instituto Nacional de Estadística (INE) (2021). Metodología de la Encuesta Continua de Hogares. Montevideo: INE. Disponible en: <Disponible en: https://www5.ine.gub.uy/documents/Demograf%C3%ADayEESS/PDF/ECH/Metodologia%20ECH%202021_24_5.pdf > (acceso 15/01/2024).
Instituto Nacional de Evaluación Educativa (INEEd) (2023). Informe sobre el estado de la educación 2021-2022. Tomo I. Montevideo: INEEd. Disponible en: <Disponible en: https://www.ineed.edu.uy/informe-sobre-el-estado-de-la-educacion-2021-2022/> (acceso 17/12/2023).
Lassassi, M. y Tansel, A. (2020). Female labor force participation in five selected MENA countries: An age-period- cohort analysis (Algeria, Egypt, Jordan, Palestine and Tunisia). Discussion Paper Serie, 13814. Disponible en: <Disponible en: https://www.iza.org/publications/dp/13814/female-labor-force-participation-in-five-selected-mena-countries-an-age-period-cohort-analysis-algeria-egypt-jordan-palestine-and-tunisia> (acceso 04/01/2022).
Mason, W. y Wolfinger, N. (2001). Cohort analisys. Chapter 7. En: N. J. Smelser y P. B. Baltes. International Encyclopedia of the Social and Behavioral Sciences. Amsterdam: Elsevier Science, pp. 2189-2194.
Vera-Toscano, E. y Meroni, E. C. (2021). An age-period-cohort approach to disentangling generational differences in family values and religious beliefs: Understanding the modern Australian family today. Demographic Research, 45, pp. 653-692.
Yang, Y. y Land, K. (2013). Age, period, cohort analysis. New models, methods and empirical applications. Boca Ratón: Chapman and Hall/CRC.
Yang, Y.; Schulhofer-Wohl, S.; Fu, W. J. y Land, K. C. (2008). The intrinsic estimator for age-period-cohort analysis: What it is and how to use it. American Journal of Sociology, 113(6), pp. 1697-1736.
Notas