Artículos
Distribution, abundance and habitat selection of Eriogaster catax (Linnaeus, 1758) in Álava (Spain) (Lepidoptera: Lasiocampidae)
Distribución, abundancia y selección de hábitat de Eriogaster catax (Linnaeus, 1758) en Álava (España) (Lepidoptera: Lasiocampidae)
Distribution, abundance and habitat selection of Eriogaster catax (Linnaeus, 1758) in Álava (Spain) (Lepidoptera: Lasiocampidae)
SHILAP Revista de lepidopterología, vol. 49, núm. 193, pp. 31-40, 2021
Sociedad Hispano-Luso-Americana de Lepidopterología
Recepción: 14 Mayo 2020
Aprobación: 24 Julio 2020
Publicación: 30 Marzo 2021
Abstract: The presence of Eriogaster catax has been confirmed in 49 locations in the province of Álava and in three locations within the Condado de Treviño in the province of Burgos, corresponding to 27 UTM squares of 10 x 10 km. This brings the total number of known squares for Spain to 72, which represent a 53% increase with respect to the previous knowledge in this country. This species is widely distributed in the study area, occupying both the supratemperate and supramediterranean ecosystem layers. Nevertheless, density levels appear to be very low. With regard to habitat, this species exhibits a clear preference for gall-oak groves and their degradation stages, located mainly on the lower sections of mountain slopes and always on basic substrates. In every case, the species chosen for egg-laying were Crataegus monogyna or Prunus spinosa, in similar proportions.
Keywords: Lepidoptera, Lasiocampidae, Eriogaster catax, Álava, Spain.
Resumen: Se ha constatado la presencia de Eriogaster catax en 49 localidades en la provincia de Álava y tres del Condado de Treviño en la provincia de Burgos, correspondientes a 27 cuadrículas UTM de 10 x 10 km. Esto eleva hasta 72 el número de cuadrículas conocidas para España, lo que supone un incremento del 53% respecto de lo previamente conocido. La especie está ampliamente distribuida en el territorio estudiado, ocupando los pisos supratemplado y supramediterráneo. Sus densidades parecen sin embargo muy bajas. En cuanto al habitat, se observa una marcada preferencia por el quejigal subcantábrico y sus etapas de degradación, formaciones que ocupan preferentemente las partes bajas de las laderas, siempre sobre sustratos básicos. En todos los casos las especies elegidas para hacer las puestas fueron Crataegus monogyna . Prunus spinosa, en proporciones parecidas.
Palabras clave: Lepidoptera, Lasiocampidae, Eriogaster catax, Álava, España.
Introduction
Eriogaster catax (Linnaeus, 1758), a widely-distributed species in Europe and Western Asia (DE FREINA, 1996), was included in the Berne Convention (Annex II) and in the Habitats Directive (Annexes II and IV) due to severe population declines recorded in some Central European areas. BOLZ (1998), for instance, stated that this species had disappeared from most of the federal states of Germany during the final decades of the last century. The most recent appraisal of this species, made during the period 2007-2012, pointed to an unfavourable state of conservation in most EU member states (EIONET, 2014). In Spain, E. catax is listed as a species of special interest in the National Catalogue of Threatened Species, in the Red Book of Spanish Invertebrates (VERDÚ & GALANTE, 2006) and is also included as a species of special interest in the List of Specially Protected Wild Species.
With regard to its distribution in Spain ROMO et al. (2012) mention a total of 36 localities corresponding to the provinces of Álava, Barcelona, Cantabria, Gerona, Huesca, La Rioja, Lérida, Navarra, Palencia and Zaragoza. JUBETE (2019) presents a map that reflects the presence of this species in a total of 47 UTM squares of 10 x 10 km, including a number of squares in the provinces of Leon and Asturias, but considers that the level of information available is still clearly insufficient. For the province of Álava, two records have been published, specifically for the Opakua mountain pass (GÓMEZ DE AIZPÚRUA, 1988) and the Salburua wetlands (DE JUANA et al., 2019).
Material and methods
This study covers the province of Álava, including the Condado de Treviño, a territory located within the province of Álava but belonging administratively to the province of Burgos. This territory, measuring 3,317 km2, is located in the north of the Iberian Peninsula and sits between the Euro- Siberian and Mediterranean regions (fig. 1).

Between 2015 and 2017, the authors gathered data on the presence of E. catax in ten locations in the province of Álava, including observations both of larvae and imagos. Throughout the spring of 2018, the study area was prospected unsystematically in search of the silk nests built by caterpillars during their initial development stages. This methodology has been much more effective for locating this lepidopteran than attracting imagos using light traps. In those cases where the caterpillars had already abandoned the refuge, the egg batch was searched inside, enabling a positive identification with no margin for error (MURRIA, 2006). The geographical position, the height above the ground and the host plant were recorded for each of the nests found. In 2019, the field work concluded with a visit to the areas least prospected in 2018.
In order to analyze the possible influence of climate on the distribution of this species in the study area, the following variables were used: annual mean temperature, mean temperature for the month of April, annual precipitation, annual ombrothermic index and the ombrothermic index of the warmest two- month period (July-August). The values for these variables corresponding to the centroid of each UTM square of 10 x 10 km and to each location with a confirmed presence of E. catax were obtained from WorldClim (http://www.worldclim.org/). With the aim of explaining the presence/absence of the species in each square in accordance with the different climatic variables, linear discriminant analyses (VENABLES & RIPLEY, 2002) were carried out by means of the MASS R package. In these analyses, those squares with centroids beyond the scope of this study were discarded. The classification developed by RIVAS- MARTÍNEZ & LOIDI (1999) was followed for the bioclimactic characterization of the squares.
The habitat preferences of this species were analyzed using the vegetation map of the Autonomous Community of the Basque Country at a scale of 1:10,000 (year 2013), available in the Spatial Data Infrastructure of the Basque Country (www.geo.euskadi.eus). The geographical information system used was Quantum GIS.
Results
The presence of E. catax was confirmed in 49 localities in the province of Álava and in three localities in the Condado de Treviño (Burgos), corresponding to 27 UTM squares of 10 x 10 km (fig. 2). In total, 274 egg-batches and caterpillar nests were recorded, details of which are given below (datum ETRS89): ÁLAVA: Aberásturi, Vitoria, 641 m [UTM 30TWN3035] 30-IV-2018, 1 nest on Prunus spinosa L. (F. de Juana). Abecia, Urcabustaiz, 676 m [UTM 30TWN0550] 6-V-2018, 1 nest on P. spinosa (F. de Juana). Acebedo, Valdegovía, 702 m [UTM 30TVN8545] 19-V-2018, 1 nest on Crataegus monogyna Jack. (O. Aedo). Alegría, Alegría, 585 m [UTM 30TWN4043] 11-V-2018, 3 nests on C. monogyna (O. Aedo). Apodaca, Cigoitia, 560 m [UTM 30TWN2050] 4-VI-2016, 1 nest on C. monogyna (O. Aedo); 15-IV-2017, 6 nests on C. monogyna (O. Aedo). Ali, Vitoria, 525 m [UTM 30TWN2040] 6-V-2018, 1 nest on C. monogyna (F. de Juana). Aperregui, Zuya, 818 m [UTM 30TWN1050] 20-VI-2018, 1 nest on P. spinosa, empty (F. de Juana). Araya, Asparrena, 600 m [UTM 30TWN5545] 1-V-2018, 1 nest on P. spinosa (O. Aedo). Argómaniz, Elburgo, 627 m [UTM 30TWN3846] 27-IV-2019, 1 nest on C. monogyna (F. de Juana); 12-V-2019, 1 nest on C. monogyna (O. Aedo). Basabe, Valdegovía, 749 m [UTM 30TVN8545] 13-V-2018, 1 nest on C. monogyna (O. Aedo). Vicuña, San Millán, 686 m [UTM 30TWN5444] 4-V-2019, 1 nest on P. spinosay 1 on C. monogyna (O. Aedo). Vitoriano, Zuya, 700 m [UTM 30TWN1050] 16-IV-2017, 2 nests on C. monogyna (O. Aedo). Bujanda, Campezo, 609 m, 30TWN4520] 12-V-2018, 1 nest on C. monogyna (O. Aedo). Castillo, Vitoria, 753 m [UTM 30TWN2535] 11-V-2018, 1 nest on C. monogyna (F. de Juana). Dallo, Barrundia, 598 m [UTM 30TWN4045] 1-V-2018, 4 nests on P. spinosa (O. Aedo). Eguino, Asparrena, 627 m [UTM 30TWN5545] 05-V-2018, 3 nests on C. monogyna (O. Aedo). Esquível, Vitoria, 716 m [UTM 30TWN2035] 29-IV-2018, 2 nests on C. monogyna and 2 on P. spinosa (F. de Juana). Etura, Barrundia, 650 m [UTM 30TWN4045] 28-IV-2018, 13 nests on P. spinosa and 2 on C. monogyna (O. Aedo). Echávarri-Viña, Cigoitia, 575 m [UTM 30TWN2353] 1-V-2019, 1 nest on P. spinosa and 2 on C. monogyna (O. Aedo). Galarreta, San Millán, 707 m [UTM 30TWN5050] 05-V-2018, 1 nest on P. spinosaand 1 on C. monogyna(O. Aedo). Guevara, Barrundia, 690 m [UTM 30TWN4045] 28-IV-2018, 2 nests on C. monogyna and 1 sobre P. spinosa (O. Aedo). Guillarte, Cuartango, 720 m [UTM 30TWN0045] 20-V-2018, 1 nest on C. monogyna (O. Aedo). Heredia, Barrundia, 620 m [UTM 30TWN4545] 28-IV-2018, 2 nests on P. spinosa and 1 on C. monogyna (O. Aedo). Ilarduya, Asparrena, 638 m [UTM 30TWN5545] 05-V-2018, 2 nests on C. monogyna and 1 on P. spinosa (O. Aedo). Contrasta, Valle de Arana, 771 m [UTM 30TWN5535] 12-V-2018, 2 nests on C. monogyna (O. Aedo); 02-VI-2018, 2 nests on C. monogyna (O. Aedo). Lagrán, Lagrán, 770 m [UTM 30TWN3015] 13-V- 2018, 1 nest on P. spinosa, empty (F. de Juana). Letona, Cigoitia, 555 m [UTM 30TWN2050] 15-IV- 2017, 1 nest on C. monogyna (O. Aedo). Lubiano, Vitoria, 528 m [UTM 30TWN0345] 1-V-2018, 1 nest on P. spinosa and 1 on C. monogyna (F. de Juana). Maturana, Barrundia, 632 m [UTM 30TWN3850] 12- V-2019, 2 nests on P. spinosa (O. Aedo). Mioma, Valdegovía, 789 m [UTM 30TVN9045] 13-V-2018, 1 nest on C. monogyna (O. Aedo). Monasterioguren, Vitoria, 659 m [UTM 30TWN3035] 30-IV-2018, 4 nests on P. spinosa and 1 on C. monogyna (F. de Juana). Montoria, Peñacerrada, 1,008 m [UTM 30TWN2015] 11-V-2018, 1 nest on C. monogyna (F. de Juana). Munain, San Millán, 627 m [UTM 30TWN5343] 4-V-2019, 2 nests on C. monogyna (O. Aedo). Musitu, Arraya-Maeztu, 850 m [UTM 30TWN4535] 23-IV-2017, 8 nests on C. monogyna (O. Aedo). Narbaiza, San Millán, 695 m [UTM 30TWN4545] 1-V-2018, 3 nests on P. spinosa and 2 on C. monogyna (O. Aedo). Ondategui, Cigoitia, 600 m [UTM 30TWN2055] 28-IV-2019, 4 nests on P. spinosa and 2 on C. monogyna (O. Aedo). Ondona, Urkabustaiz, 740 m [UTM 30TWN0555] 27-V-2018, 1 nest on P. spinosa (O. Aedo). Opacua, Salvatierra, 827 m [UTM 30TWN5045] 06-V-2018, 3 nests on C. monogyna (O. Aedo). Oteo, Campezo, 795 m [UTM 30TWN5229] 1-V-2019, 2 nests on C. monogyna (O. Aedo). Peñacerrada, 792 m [UTM 30TWN2422] 28-IV-2019, 3 nests on P. spinosa (F. de Juana). Pipaón, Lagrán, 871 m [UTM 30TWN2515] 13-V-2018, 1 nest on C. monogyna (F. de Juana). Retana, Vitoria, 547 m [UTM 30TWN2545] 1-V-2018, 1 nest on P. spinosa (O. Aedo). Subijana de Álava, Vitoria, 552 m [UTM 30TWN1540] 2-V-2018, 5 nests on C. monogyna (F. de Juana); 4-IV-2019, 4 nests on C. monogyna (F. de Juana). Urbina, Legutiano, 535 m [UTM 30TWN3055] 22-IV-2017, 4 nests on C. monogyna and 1 on P. spinosa (O. Aedo). Valluerca, Valdegovía, 807 m [UTM 30TVN8550] 20-V-2018, 6 nests on C. monogyna (O. Aedo). Zaitegui, Cigoitia, 660 m [UTM 30TWN1555] 15-IV-2017, 8 nests on P. spinosa and 2 on C. monogyna (O. Aedo); 17-IV-2017, 5 nests on P. spinosa and 5 on C. monogyna (O. Aedo); 31-XII-2017, 5 egg-batches on C. monogyna (O. Aedo); 11-III-2018, 1 egg-batch on C. monogyna (O. Aedo); 25-III-2018, 1 egg-batch on P. spinosa and 1 on C. monogyna (O. Aedo); 20-IV-2018, 1 nest on P. spinosaand 1 on C. monogyna(O. Aedo); 21-IV-2018, 21 nests on P. spinosa and 12 on C. monogyna (O. Aedo); 28-IV-2018, 1 nest on P. spinosa and 1 on C. monogyna (O. Aedo); 29-IV-2018, 5 nests on P. spinosa and 2 on C. monogyna (O. Aedo); 04-V-2018, 6 nests on C. monogyna and 5 on P. spinosa (O. Aedo); 07-XII-2018, 5 egg-batches on C. monogyna (O. Aedo); 28-IV-2019, 14 nests on P. spinosa and 13 on C. monogyna (O. Aedo); 11-I-2020, 2 failed egg-batches from the previous year on C. monogyna (O. Aedo). Zarate, Zuya, 700 m [UTM 30TWN1656] 16-IV-2017, 2 nests on P. spinosa and 1 on C. monogyna (O. Aedo). Cestafe, Cigoitia, 670 m [UTM 30TWN2055] 16-IV-2017, 3 nests on P. spinosa and 1 on C. monogyna (O. Aedo). Zuazo de Vitoria, Vitoria, 588 m [UTM 30TWN2040] 13-V-2016, 1 empty nest on C. monogyna (Y. Monasterio); 8-IV-2017, 1 nest on P. spinosa and 1 on C. monogyna (O. Aedo); 17-IV-2017, 2 nests on C. monogyna (O. Aedo); 21-IV-2018, 2 nests on C. monogyna (O. Aedo). Zumelzu, Vitoria, 708 m [UTM 30TWN5135] 7-V-2018, 3 nests on C. monogyna and 2 on P. spinosa, one of them empty (F. de Juana). BURGOS: Albaina, Condado de Treviño, 632 m [UTM 30TWN3025] 13-V-2018, 1 nest on P. spinosa (F. de Juana). Araico, Condado de Treviño, 714 m [UTM 30TWN1525] 26-V-2018, 1 empty nest on C. monogyna (F. de Juana). Moraza, Condado de Treviño, 742 m [UTM 30TWN2020] 11-V-2018, 1 nest on C. monogyna (F. de Juana) (Table I).


In order to compare the relative abundance of the species in each location, a 1-km radius buffer was created around each nest, adding those that were at a distance of less than 2 km, and the surface area of the resulting polygons was obtained. The abundance index presented in table II was calculated by dividing the number of nests in each clump by the surface area in km2. In those locations visited over a period of several years, only the 2018 results were considered. Figure 3 shows the territorial distribution of the clumps and their classification according to abundance index intervals.


The altitudinal range of the egg-batches and nests found in this study vary from 524 m in Subijana de Álava to 1.008 m in Puerto de Rivas, while the great majority (75.9%) were found at between 580 and 720 m.
In the discriminant analysis carried out in order to determine the influence of climate on the distribution of this species, the function with the greatest discriminant power was 22.8798 - 1.825 * T - 0.799 * Ios2, where T is the annual mean temperature and Ios2 the ombrothermic index of the warmest two-month period, calculated as the quotient between the sum of mean monthly precipitations for July and August and the sum of the mean monthly temperatures for the same months. This function correctly classified 30 of the 32 squares included in the analysis (93.75%). The incorrectly-classified squares were, specifically, 30TVN93 and 30TWN03. Despite the fact that the presence of E. catax in these squares had been predicted by the discriminant function, we were not able to confirm this.
In order to study the preferences of this species regarding habitat, each of the nests was assigned the vegetation unit corresponding to their location according to the botanical cartography used (see the chapter on material and methods). In those locations visited over a period of several years, only those nests found in 2018 were considered. The results obtained are shown in table III.

Discussion
The data obtained in this study increase to 72 the number of UTM squares of 10 x 10 km in which the presence of E. catax in Spain has been confirmed. This represents a 53% increase with regard to the previous figure (JUBETE, 2019). The first records for the province of Burgos are also presented. These results confirm that there is still a lack of knowledge concerning the real distribution of this species in our country.
In Álava, E. catax has been recorded in most of the central part of this province, including the Condado de Treviño (Burgos), but this is not the case in the Atlantic watershed (northern area), in the lower parts of the basins of the Zadorra and Bayas rivers (south-east area) or in the Rioja Alavesa (southern area). According to ROMO et al. (2014), the distribution of this species in the Iberian Peninsula is determined by climate. In the model developed by those authors, the annual mean precipitation, the mean temperature of driest quarter and the mean temperature of coldest quarter were selected as the most significant variables. BOLZ (1998) considered that the air temperatures in the month of April are a determining factor as this is the moment of eclosion and the first larval stages, confirming that in those areas of Bavaria where this species was found the mean temperatures for this month varied between 7.5 and 9º C. In those areas where nests were observed in Álava, the mean temperature for the month of April varied over a slightly broader range, namely, between 6.2 and 9.3º C.
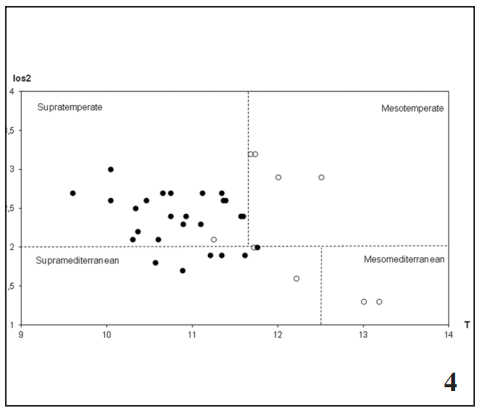
The discriminant function we obtained reveals that the annual mean temperature (T) and the ombrothermic index of the warmest two-month period (Ios2) provide a satisfactory explanation of the distribution of E. catax in Álava. These two variables correspond directly with those used by RIVAS- MARTÍNEZ & LOIDI (1999) in their bioclimatic classification (positive annual temperature and duration in months of summer drought), so that each square can be assigned a thermotype in accordance with the value of the aforementioned variables (Figure 4). The data gathered in this study confirm the presence of this species in 19 of the 20 squares situated at the supratemperate level (95.0%) and in 5 of the 7 located at the supramediterranean level (71.4%), while it has not been recorded at either the mesotemperate or the mesomediterranean levels. The discriminant function we have calculated predicts the presence of this species in all the squares of the supratemperate level and in 6 of the supramediterranean level (85.7%), and an absence in any square on the mesotemperate and mesomediterranean levels.

The extreme values of T and Ios2 for those locations with a confirmed presence of E. catax in Álava are 10.3-11.8º C and 1.9-2.9, respectively. We have used the values corresponding to the 95% confidence interval of each one of these variables (11.00 ± 0.74º C and 2.46 ± 0.56) to obtain the potential distribution area by means of the BIOCLIM algorithm (NIX, 1986) (fig. 5). Annual mean temperatures in excess of the upper limit would explain the absence of this species in the Atlantic watershed of the study area. A summertime aridity index under the lower limit would be, in turn, the reason for its absence in those areas near the River Ebro (to the south-east) and the Rioja alavesa. E. catax would also avoid areas of higher altitude, above 1000 m approximately.

Bearing in mind the high detectability of E. catax nests and the thoroughness of the surveys performed, the data deriving from this study indicate very low population densities for a lepidopteran. In comparison, AMBRUS et al. (2010) found at a location in western Hungary 924 nests along a 1.678 m-long and 10 m-wide transect, estimating a total of more than 250,000 egg-batches in an area of 4.6 km2. Although relatively rare in number, in Álava, this species seems to be more abundant in the upper basin of the River Zadorra, where those clumps with the highest abundance indices are located, but with no statistical significance.
With regard to the plants on which the egg-batches were located, on 153 occasions (55.8%), the chosen species was Crataegus monogyna and on 121 occasions (44.2%), Prunus spinosa, of a total of 274 cases. It is well known that the preferences of E. catax in this regard vary from one area to another (KADEJ et al., 2018). In Aragón, for example, of 13 nests discovered by MURRIA (2006), 12 were found on Crataegus monogyna L. and only one on Prunus spinosa Jacq. On the other hand, in Hungary, SÁFIÁN et al. (2010) observed a clear preference for the second of the aforementioned species, and SITAR et al. (2019) demonstrated that this preference was statistically significant in Romania. The observations made by KADEJ et al.( 2018) in Poland were similar, where some females also laid eggs on Pyrus sp. In Spain, Dorycnium pentaphyllum Scop., Quercus cerrioides Willk. & Costa and Ulmus campestris L. have also been cited as food for caterpillars in their last stages of development (GARCÍA-PÉREZ et al., 2009), and in addition to these species we add Quercus faginea Lam.
According to MURRIA (2006), the most frequent habitat of E. catax in the pre-pyrenean area of the province of Huesca are supra-mediterranean gall-oak groves with replanted or natural woods of Pinus sylvestris L. and Pinus nigra J. F. Arnold. GARCÍA-PÉREZ et al. (2009) believe, on the other hand, that the ideal habitat of this species in the north of the Iberian Peninsula are hedgerows in mid- montane areas, in which Prunus spinosa and Crataegus monogyna are very common. In Álava, the larval refuges we found were located mainly in woods (49.06%), in scrubland (27.83%), but also in areas with a predominance of herbaceous vegetation (14.15%) and even on land transformed into meadows and cropland (8.96%). It might be thought that the only requirement of this species is the presence of the shrub species on which it lays its eggs, which grow widely both in forest clearings and fringes, in scrubland and in hedgerows growing between pastures and agricultural land. However, in 69.34% of cases, the vegetation unit corresponding to the location in which nests were found was scrubland with gall-oak groves or one of their degradation stages (juniper heaths, rough grass meadows and moorland pastures), corresponding to the series Pulmonario longifoliae-Quercetum fagineae Loidi & Herrera 1990, which seems to show that E. catax shares to a large extent the ecological preferences of these plant communities. These entail formations that inhabit the foot of hillsides, in an intermediate position between the valley floor oak groves and the mountainside beech woods, in every case on basic substrates such as clayey loams and argillaceous limestone (ASEGINOLAZA et al., 1989).
Acknowledgments
We are very grateful to Yeray Monasterio for discussion and comments on the manuscript. We want also to express our sincere thanks to our colleague Brian Webster for the text translation work and to Agustí Agut for his advice on the botanical aspects of this study. The Provincial Council of Álava provided us with the necessary administrative authorization for the study.
BIBLIOGRAPHY
AMBRUS, A., KISS, SZ., SÁFIÁN, SZ., HORVÁTH, B. & HORVÁTH, Á., 2010.– A population of Orange Eggar - Eriogaster catax (Linnaeus, 1758) (Lepidoptera: Lasiocampidae) of European conservation concern.– Natura Somogyiensis, 17: 1-6.
ASEGINOLAZA, C., GÓMEZ, D., LIZAUR, X., MONTSERRAT, G., MORANTE, G., SALAVERRÍA, M. R. & URIBE-ECHEBARRIA. P. M., 1989.– Vegetación de la Comunidad Autónoma del País Vasco: 361 pp.. Servicio Central de Publicaciones. Gobierno Vasco, Vitoria.
BOLZ, R., 1998.– Zur Biologie und Ökologie des Heckenwollafters Eriogaster catax (Linnaeus, 1758) in Bayern (Lepidoptera: Lasiocampidae).– Nachrichten des entomologischen Vereins Apollo, 18(4): 315-318.
DE FREINA, J. J., 1996.– Eriogaster catax (Linnaeus, 1758). Pp. 117-120.– In P. J. VAN HELSDINGEN, L. WILLEMSE & M. C. D. SPEIGHT (eds.). Background Information on Invertebrates of the Habitats Directive and the Bern Convention. Part I. European Invertebrate Survey and Council of Europe, Strasbourg.
DE JUANA, F., MONASTERIO, Y., ESCOBÉS, R., ALBALÁ, J. L., BELAMENDIA, G., DE OLANO, I., SEBASTIÁN, J. & WEBSTER, B., 2019.– Los macroheteróceros (Lepidoptera) de los humedales de Salburua (Vitoria, Araba/Álava, España): un proyecto de ciencia ciudadana.– Boletín Sociedad Entomológica Aragonesa, 64: 165-185.
EIONET, 2014.– Species assessments at EU biogeographical level. Available from http://art17.eionet.europa.eu/article17/reports2012 (accessed 23 October 2016).
GARCÍA-PÉREZ, B., LÓPEZ-PAJARÓN, J., MORAGA-QUINTANILLA, A. & MUNGUIRA, M. L., 2009.– Datos sobre la biología de Eriogaster catax (Lepidoptera: Lasiocampidae) y nuevas citas de Cantabria, España.– Boletín Sociedad Entomológica Aragonesa, 44: 157-160.
GÓMEZ DE AIZPÚRUA, C., 1988.– Catálogo de los lepidópteros de actividad nocturna (Heterocera) de Álava, Bizkaia y Guipúzcoa, 3: 318 pp.. Servicio Central de Publicaciones del Gobierno Vasco, Vitoria.
JUBETE, F., 2019.– Eriogaster catax. Pp. 149-161.– In F. JUBETE, J. M. BAREA-AZCÓN, R. ESCOBÉS, E. GALANTE, R. GÓMEZ-CALMAESTRA, D. C. MANCEÑIDO, J. G. MARTÍNEZ, Y. MONASTERIO, A. MORA, M. L. MUNGUIRA, C. STEFANESCU & A. TINAUT. Bases técnicas para la conservación de los lepidópteros amenazados en España: 172 pp.. Asociación de Naturalistas Palentinos, Palencia.
KADEJ, M., ZAJ¥C, K. & TARNAWSKI, D., 2018.– Oviposition site selection of a threatened moth Eriogaster catax (Lepidoptera: Lasiocampidae) in agricultural landscape-implications for its conservation.– Journal of Insect Conservation, 22: 29-39.
MURRIA, E., 2006.– Contribución al conocimiento de la corología y biología del género Eriogaster Germar, 1810 en Aragón (España) (Lepidoptera: Lasiocampidae).– Boletín Sociedad Entomológica Aragonesa, 39: 361-371.
NIX, H. A., 1986.– A biogeographic analysis of Australian elapid snakes.– In R. LONGMORE. Atlas f Elapid Snakes of Australia. Australian Flora and Fauna Series, 7: 4-15. Australian Government Publishing Service, Canberra.
RIVAS-MARTÍNEZ, S. & LOIDI, J., 1999.– Bioclimatology of the Iberian Peninsula.– Itinera Geobotanica, 13: 41-47.
ROMO, H., CAMERO, E., GARCÍA-BARROS, E., MUNGUIRA, M. L. & MARTÍN, J., 2014.– Recorded and potential distributions on the Iberian Peninsula of species of Lepidoptera listed in the Habitats Directive.– European Journal of Entomology, 111(3): 407-415.
ROMO, H., GARCÍA-BARROS, E., MARTÍN, J., YLLA, J. & LÓPEZ M., 2012.– Eriogaster catax.– In VV.AA. Bases ecológicas preliminares para la conservación de las especies de interés comunitario en España: Invertebrados: 45 pp. Ministerio de Agricultura, Alimentación y Medio Ambiente, Madrid.
SÁFIÁN, S., AMBRUS, A., HORVÁTH, B. & HORVÁTH, Á., 2010.– The populations and conservation of Orange Eggar - Eriogaster catax (Linnaeus, 1758) (Lepidoptera: Lasiocampidae) in the vicinity of Sopron (NW Hungary).– Szélkiáltó, 16: 23-25.
SITAR, C., DAVID, D.-G., MUNTEAN, I., IACOB, G. M,, IONICÃ, A. M. & RÁKOSY, L, 2019.– Ecological niche comparison of two cohabiting species, the threatened moth Eriogaster catax and Eriogaster lanestris (Lepidoptera: Lasiocampidae) - relevance for their conservation.– Entomologica romanica, 23: 13-22.
VENABLES, W. N. & RIPLEY, B. D., 2002.– Modern applied statistics with S.: 495 pp. Springer, New York.
VERDÚ, J. R. & GALANTE, E., 2006.– Libro Rojo de los Invertebrados de España. Dirección General para la Biodiversidad, Ministerio de Medio Ambiente, Madrid.
Notas de autor
*Autor para la correspondencia / Corresponding author fdejuana@euskalnet.net