First taxonomic revision of the Ptilocephala albida-species group in Europe (Lepidoptera: Psychidae, Oiketicinae)
Taxonomische Revision der Ptilocephala albida-Artengruppe in Europa (Lepidoptera: Psychidae, Oiketicinae)
Revisión taxonómica del grupo de las especies de Ptilocephala albida en Europe (Lepidoptera: Psychidae, Oiketicinae)
First taxonomic revision of the Ptilocephala albida-species group in Europe (Lepidoptera: Psychidae, Oiketicinae)
SHILAP Revista de lepidopterología, vol. 49, núm. 195, pp. 417-433, 2021
Sociedad Hispano-Luso-Americana de Lepidopterología
Recepción: 16/01/2021
Aprobación: 02/02/2021
Publicación: 30/09/2021
Abstract: The European part of the Ptilocephala albida-species group is revised by morphological and molecular characteristics. This supports the existence of six taxonomic separated species in Europe, of which one is described here as new: Ptilocephala rutjani Arnscheid & Weidlich, sp. n. Ptilocephala lorquiniella (Bruand, 1853) “stat. rev”., is again treated as a separate species. In addition, this paper gives an overview on the current status of the revision of the genus Ptilocephala Rambur, 1858 with special emphasis to DNA barcoding.
Keywords: Lepidoptera, Psychidae, Oiketicinae, cryptic diversity, DNA barcode, morphology, new species, P. lorquiniella, P. rutjani, Balkans, Bulgaria, Greece, North-Macedonia, Ukraine.
Resümee: Der europäische Teil der Ptilocephala albida-Artengruppe wird anhand morphologischer und molekularer Merkmale revidiert. Als Ergebnis wird die Existenz von sechs taxonomisch deutlich differenzierten Arten in Europa festgestellt, von denen eine hier als Ptilocephala rutjani Arnscheid & Weidlich, sp. n. als neu beschrieben wird. Ptilocephala lorquiniella (Bruand, 1853) “stat. rev”., wird wieder in den Artrang erhoben. Zusätzlich wird in dieser Arbeit ein Überblick über den aktuellen Stand der Revision der Gattung Ptilocephala Rambur, 1858 unter besonderer Berücksichtigung der molekularen Daten gegeben.
Schlüsselwörter: Lepidoptera, Psychidae, Oiketicinae, kryptische Diversität, DNA Barcode, Morphologie, neue Art, P. lorquiniella, P. rutjani, Balkan, Bulgarien, Griechenland, Nord-Mazedonien, Ukraine.
Resumen: Se revisa, por características morfológicas y moleculares, la parte europea del grupo de especies de Ptilocephala albida. Esto respalda la existencia de seis especies taxonómica separadas en Europa, de las cuales una se describe aquí como nueva: Ptilocephala rutjani Arnscheid & Weidlich, sp. n., Ptilocephala lorquiniella (Bruand, 1853) “stat. rev”., otra vez, es tratada como una especie distinta. Además, este trabajo da una vision general sobre el estado actual de la revisión del género Ptilocephala Rambur, 1858 con el énfasis especial al ADN código de barras genético.
Palabras clave: Lepidoptera, Psychidae, Oiketicinae, diversidad críptica, AND Código de barras, morfología, nueva especie, P. lorquiniella, P. rutjani, Balcanes, Bulgaria, Grecía, Macedonia del Norte, Ucrania.
Introduction
The genus Ptilocephala Rambur, 1858 includes a total of 23 described species in the western Palaearctic (SOBCZYK, 2011; ARNSCHEID & WEIDLICH, 2017). The Ptilocephala species are mainly distributed on the Iberian Peninsula, in the Pyrenees, the Alps and on the Apennine Peninsula. Less species are known from Central Europe, the Balkans and Anatolia. Two species have been found in North Africa, and one single species is known from the Altai Mountains in Russia. Moreover, several currently undescribed species are also existent from various localities.
Ptilocephala was partially revised for the first time by BOURGOGNE (1967). Based on his studies, we introduce here the Ptilocephala albida-species group. This is a cluster of six European species that have a high probability of being closely related and that exist completely allopatric. The species P. albida (Esper, 1786), P. lorquiniella (Bruand, 1853) stat. rev., P. rutjani sp. n., P. piaeHättenschwiler, 1996, P. wockei (Standfuss, 1882) and P. malvinella (Millière, 1858) are grouped together because of their morphological similarities. This species group is characterised by showing 7 veins from dc on forewing, ciliated antennal pecten and spines on the membrane between the VII and VIII segment ventrally. Moreover, also phenological and molecular similarities exist. This paper deals with the European species P. albida, P. lorquiniella and P. rutjani. The revision of the North African species of the P. albida-species group is part of an ongoing study (ARNSCHEID et al., in prep.).
Material and methods
General
Netting the adults and visual searching for the larval cases in the wild are the valuable methods of gaining samples. Flying males are to be found on dry and rocky slopes, heaths, steppe and other xerothermic open landscapes. They are active morning until midday hours, and are, therefore, never attracted to light. Their caterpillars live polyphagous on moss and different herbs.
Altogether, more than 500 dried male specimen, mostly with their larval cases, from the whole distribution area were examined during these study.
DNA barcoding
For the DNA analyses, tissue samples were sent in a lysis plate to the Canadian Centre for DNA barcoding, in Ontario, Canada, especially within the framework of our private project, POESE (Psychidae of East- and South Europe). DNA extraction, amplification, and sequencing of the barcode region of the mitochondrial cytochrome oxidase I (COI) gene (658 base pairs at the 5’ terminus) were carried out following protocols by DEWAARD et al. (2008). The taxonomic and collection data, voucher image, COI sequence and/or GenBank accession numbers are available for all specimens in BOLD (Barcode of Life database, http://www.boldsystems.org). The neighbor-joining tree is based on the Kimura 2 parameter (K2P) model of nucleotide substitution (KIMURA, 1980) as recommended in the barcoding protocol (RATNASINGHAM & HEBERT, 2007, 2013) and was obtained using MEGA 7 (KUMAR et al., 2016).
During the author’s project, samples of 19 species of Ptilocephala were barcoded. This is more than 85 % of the hitherto described species. Within the framework of this project, we found several references to cryptic species. Also results to the intraspecific relationship within the genus, as well as to other Psychidae genera, were obtained. Their complete presentation is part of an ongoing study.
Images
Most images of the adults were taken with an Olympus E1 digital camera with a 35-50 mm macro lens. A series of 12 single shots were stacked with COMBINE ZP using Soft Stack and post-processed with PHOTOSCAPE V.37 (http://www.photoscape.org/) and PAINT.NET v4.2.13 (http://www.getpaint.net). Several other images were taken with digital cameras Nikon 5500 and 7000 with Nikkor lens 105 mm. Images of male genitalia (procedure as described in ARNSCHEID & WEIDLICH, 2017) were taken with an Olympus OMD EM10 Mark II digital camera using an Olympus stereomicroscope with photo adapter and stacked with COMBINE ZP using Soft Stack; sharpened and denoised with NEAT IMAGE V8 and post-processed with PHOTOSCAPE V.37.
Abbreviations
NHM The Natural History Museum, London
BOLD Barcode of Life database
CER Coll. Evgeniy V. Rutjan, Kiev
CMW Coll. Michael Weidlich, Neißemünde
CWA Coll. Wilfried R. Arnscheid, Bochum
dc discal cell
e. l. ex larva
e. o. ex ovum
e. p. ex pupa
LMW Landesmuseum Wiesbaden, Germany
MNHN Musée National d‘Histoire Naturelle, Paris
MWM Museum Witt, München
SMNK Staatliches Museum für Naturkunde Karlsruhe, Germany
ZSM Zoologische Staatssammlung München, Germany
FI Forewing-Index (Maximal length wing-base to apex divided through maximal wing width).
Historical hints
The first taxon still presently including in the genus Ptilocephala was first described by Johann Jacob Esper (1742-1810) in 1786 from Lyon in France. He originally named it Phalaen[a] Bom[yx] albida. Hence, it is one of the very early described species ever still today classified as a Psychidae. Esper himself was a scientist at the University of Erlangen in South Germany and author of a series of tremendous scientific books about minerals, birds, plants, mollusks and insects. He described many insect species as new for science. Esper’s Lepidoptera collection is preserved in the ZSM. Parts of the species described by Esper were loaned to him by Johann Christian Gerning (1745-1802) who had one of the biggest private Lepidoptera collections of the entire Europe at that time. With reference to Esper’s description (fig. 2), type material in the Gerning collection is only valid if Esper affirms that he received the respective material from Gerning (“they were communicated to him”). With very few exceptions, Esper later returned all these specimens back to Gerning. Also P. albida has been described from material housed in the Gerning collection. After 250 years the two syntypes of P. albida are still in good condition (fig. 1, a-b). One specimen has been designated as lectotype by HACKER (1999).


Taxonomic part
Ptilocephala Rambur, 1866
Cat. Syst. Lep. Andalousie, (2): 307
Type species: Psyche agrostidis Schrank, 1802, by subsequent designation by SOBCZYK (2011).
Hyalina Rambur, 1866 nec Schumacher, 1817
Cat. Syst. Lep. Andalousie, (2): 310
Type species: Bombyx albida Esper, 1786, by subsequent designation by TUTT (1900).
Hyalina was established to denote an unnecessary subgenus of Ptilocephala Rambur, 1866, and is a junior homonym of Hyalina Schumacher, 1817 (Mollusca). Already treated as a junior subjective synonym of Ptilocephala by STRAND (1913) and replaced with Deuterohyalina Dalla Torre, 1913 (SOBCZYK, 2011).
Ptilocephala albida (Esper, 1786), fig. 3, a, b.
Bombyx albida Esper, 1786.
Type locality: Lyon, FRANCE. Lectotype ♂, designated by HACKER (1999) (LMW).
= Phalaena (Bombyx) semiluctifera Villiers, 1789. Car. Linn. Ent., 2: 159
= Bombyx hyalinaFabricius, 1793. Ent. Syst., 3(1): 472
= Tinea vitrellaHübner, [1813]. Sammlung. Eur. Schmett. Tin.: pl. 55, fig. 272
= Psyche albella Meigen, 1832. Syst. Beschr. Schmett. Eur., 3: 12, nr. 9, pl. 88 fig. 15
= Psyche albivitrellaBruand, 1850. Mem. Soc. Emil. Doubs, (3) 1: 28
= Psyche millierellaBoisduval, 1852. Bull. Soc. Ent. Fr., (2) 10: 22
= Psyche tabanivicinellaBruand, 1853. Mem. Soc. Emil. Doubs, (2) 3: 43, nr. 23, pl. 1 fig. 23

Diagnosis: Wingspan 14-16 mm, FI = 1.8. Costal margin slightly convex, apex roundish, termen oblique and convex. Whitish grey, wings hyaline with fine short blackish hair-like scales. The whitish grey hyaline base-color and the density of scalation is somewhat variable also the intense of the blackish color. Head, thorax and abdomen are also characterised with long blackish hair. Fringe scales are short, and whitish grey. Forewings with 7 veins emanating from dc, r2 and r3 always free originating from dc. Antenna bipectinate, long ciliated, whitish scaled on the rear side, with 24-28 segments. The spines on the membrane between segments VII and VIII ventrally. Female apterous. Male genitalia: Variable, trapezoidal in general appearance, Tegumen and vinculum melted. Tegumen weakly indented and showing two small hocks distally, slightly folded laterally. Valva short and broad, not reaching the distal end of the tegumen, cucullus roundish, densely covered with very short hair-like setae distally, clasper of sacculus short, slightly curved, slender or broader, sclerotized, with short spines distally. Anellus roundish distally, laterally covered with short curved thorns. Vinculum broad, trapezoid, distinctly indented laterally, saccus very long and stretched, slightly shorter than genitalia length, phallus thick, weakly curved, slightly longer than length of both tegumen and vinculum (fig. 8 a-b).
Larval cases: length 14-15 mm, width 5-11 mm, tubular with short silky tube at rear end, irregularly covered with moss (fig. 4, a, b).

Distribution: P. albida is distributed from South France northwards to the Saarland, the southwesternmost part of Germany (SOBCZYK & WERNO, 2011). In Switzerland it has a very restricted population near Geneva (HÄTTENSCHWILER, 1997). In Italy it is found very locally in the Ligurian Alps and in the region Emilia-Romagna on the northern Apennine Peninsula (BERTACCINI, 2009).
Ptilocephala rutjani Arnscheid & Weidlich, sp. n. (fig. 3, f-h) http://zoobank.org/5EE78BC2-7499-4FCD-8C8D-D11E93BA5D1D
Holotype ♂, UKRAINE, Kherson prov., Tschernomorsky res., Ivano-Rybaltshansky, 12-17-IV2001, leg. E. Rutjan. The holotype is deposited in SMNK.
Paratypes 102 ♂♂, same data as holotype (CER, CMW, CWA, SMNK); 1 ♂ with larval case Greece, Makedonia, Oros Vermio, near Kato Vermio W, 1.050 m, e. p. 04-IV-2011 (CMW); 1 ♂, with larval case, same data, e. l. 26-V-2011, leg. M. Weidlich (CMW). Larval cases: (on pins): 7 ♂♂ and 12 ♀♀, same data as holotype (CER). 1 larval case Makedonia, Oros Vermio, Umg. Kato Vermio W, 24- IV-2011, 1.050 m leg. M. Weidlich (CMW). North-Macedonia: 2 larval cases, near Ochrid, 1 km N, 700 m, 18-IV-2011, leg. M. Weidlich (CMW). Bulgaria: 1 larval case with ♂ exuvia, 1 ♀ larval case, near Stara Zagora W, Stare selo 2 km S, 400 m, 23-IV-2011 (CMW); 1 larval case near Stara Zagora W, Stare selo 2 km S, 400 m, e. o. 28-VIII-2011 (CMW); 6 larval cases, near Stara Zagora W, Stare selo 2 km S, 400 m, e. o. IV- 2012, leg. M. Weidlich (CMW, fig. 5 a-d).

Diagnosis: Wingspan 16-18 mm, FI = 2.0. Costal margin straight, apex pointed, termen oblique slightly convex in some specimen. Whitish grey, more blackish grey towards costa and outer margin. Wings hyaline with fine short hair. Head, thorax and abdomen short blackish hairy, also sometimes at the abdomen. Fringe scales short, whitish grey. Forewings with 7 veins emanating from dc. Veins r2 and r3 mostly from one point rising, rarely divided. Antenna bipectinate, unscaled, with 24-30 segments. The ciliae are slightly longer than in the other species of the group. The spines on the membrane between segments VII and VIII only ventrally. Female apterous. Male genitalia: Ovally in general appearance, tegumen and vinculum ovally melted. Tegumen weakly indented distally and slightly folded laterally. Valvae short, not reaching the distal end of the tegumen, slender, slightly enlarged distally, cucullus roundish, covered with short hair-like setae distally, clasper of sacculus short, curved inwardly, slender, sclerotized, with short spines distally. Anellus slightly pointed, laterally covered with short curved spines. Vinculum ovally, not indented laterally, saccus very long and stretched, slightly shorter than genitalia length, phallus thick, weakly curved, slightly longer than length of tegumen and vinculum (fig. 8 e-f). Larval case: Variable, length 14-15 mm, width 5-11 mm. Male larval cases from Ukraine are more tubular and bear a short silken tube at the rear-end, whereas female larval cases of the same origin are more bulging in general. The coating consists of debris of lichens. The larval cases of the Balkan populations are quite similar to P. albida and irregularly covered with moss and twigs (fig. 4, e-i).

Discussion: Apart from the genetic distance, it differs morphologically mainly by the higher FI: 2.0, which is 1.8 for each of the other species of the P. albida-species group. In P. rutjani sp. n. the veins m2 and m3 of the forewings always originate from one point whereas they are always separated in P. albida and originate separately or from one point in P. lorquiniella stat. rev. The white hairs on the abdomen are only rudimentary in P. rutjani sp. n. and are sometimes missing completely.
Distribution: Beside the type locality found in Ukraine, it has been recorded in Greece, NorthMacedonia and Bulgaria.
Biology: P. rutjani sp. n. is bound to xerothermic habitats such as steppes and rocky slopes (figs 5 a-c, 6 a, b, d). It flies in bright sunshine from mid-April to early June from sea level to about 1000 m. The caterpillars live polyphagous on various herbaceous plants, grass and moss. They spin to pupate on dry branches or on the ground, more rarely on rocks or boulders (figs 5 d-f, 6 c).
Etymology: We dedicate this new species to Evgeniy Vladimirovich Rutjan, Kiev, who collected the first specimen. As a Psychidae specialist he has intensively studied the family Psychidae of the Ukraine and published various papers.
Ptilocephala lorquiniella (Bruand, 1853), stat. rev. (fig. 3 c-e)
Psyche lorquiniella Bruand, 1853. Mem. Soc. Emil. Doubs, (2) 3: 46, nr. 25, pl. 1 fig. 25
= Psyche plumosella Bruand, 1853. Mem. Soc. Emil. Doubs, (2) 3: 48, nr. 26
= Psyche plumosella Rambur, [1866]. Cat. Syst. Lep. Andalousie, (2): 311, pl. 3, fig. 3
= Psyche albidella Rambur, [1866]. Cat. Syst. Lep. Andalousie, (2): pl. 3 figs 4, 4a Type locality: Andalousie [Andalucía], SPAIN.
There is no information on the syntypes in the original description and their deposition remains unknown.

Diagnosis: Wingspan 16-19 mm, FI = 1.78. Costal margin slightly convex, apex roundish, termen oblique and convex. Wings hyaline with fine short hair. Base-color from whitish grey to white, light grey or blackish grey beyond dc to outer margin. Populations are variable in base-color and the density of scalation. Head, thorax covered with long blackish hair combined with stits of longer whitish hair. The abdomen is distally covered with long white hair, distinctly protruding the distal end of abdomen. Fringe scales short, whitish grey. Forewings with 7 veins emanating from dc, r2 and r3 free originating or one point rising. Antenna bipectinate, whitish scaled on the rear side, with 24-30 segments. The spines on the membrane between segments VII and VIII ventrally. Male genitalia: Trapezoidal in general appearance, tegumen and vinculum melted. Tegumen weakly indented and showing two small hocks distally, slightly folded laterally. Valvae short, not reaching the distal end of the tegumen, broader, sometimes distinctly enlarged distally, cucullus roundish, densely covered with very short hairlike setae distally, clasper of sacculus short, straight, slender, sclerotized, with short spines distally. Anellus roundish distally, laterally covered with short curved thorns. Vinculum broad, trapezoid, distinctly indented laterally, saccus very long and stretched, slightly shorter than genitalia length, phallus thick, weakly curved, slightly longer than length of both tegumen and vinculum (fig. 8 c-d). Larval case: Variable, length 13-15 mm, width 5-11 mm, tubular, somewhat bulging in female. Male larval cases with short silken tube at rear-end, the coating differs between different populations. Mostly irregularly covered with dry grass stems and twigs, often with silken stitches (fig. 4 c, d).

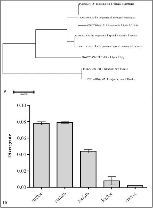
Discussion: The type locality of P. lorquiniella stat. rev. is not stated. But there is no doubt, that Bruand received the type specimen from Pierre Joseph Michel Lorquin (1797-1873), who collected them in Andalusia. The number and recent deposition of the syntypes of P. lorquiniella stat. rev. is unknown (SOBCZYK, 2011). REBEL (1910) treated it as a “var.” (= ssp.) of P. albida. He refers to the different shape of the larval cases and the slightly darker base-color of the males as the main differences. LERAUT (1980, 1997) interpreted P. lorquiniella stat. rev. as a junior subjective synonym of P. albida but it seems questionable whether he studied comprehensive material from the whole distribution area. Looking closer to a larger series several slight morphologic differences between the two taxa become visible. Beside the different FI the shape of the forewings is mostly different. The termen is slightly convex and the apex more roundish in P. albida whereas in P. lorquiniella stat. rev. the termen is mostly straight and the apex slightly pointed. However, the external morphologic characteristics are quite variable. The male genitalia also show differences. In general appearance it is more trapezoid in P. lorquiniella stat. rev. and more ovoid in P. albida. The vinculum is distinctly indented laterally in P. lorquiniella stat. rev. and not or only weakly indented in P. albida. Altogether the male genitalia of all Ptilocephala species are quite variable in shape and size. Much more striking is the DNA barcode. Both taxa differ more than 4 %, on the other hand the intraspecific divergence between remotely populations of P. lorquiniella is less than 1 %. We consider that P. lorquiniella stat. rev. is a separate allopatric species and not conspecific with P. albida.
Distribution: P. lorquiniella stat. rev. is probably distributed throughout the Iberian Peninsula (Portugal, Spain) north-eastwards to the Pyrenees. The distribution in the higher altitudes of the Pyrenees is still unclear. It also occurs in north-western Spain in the region of Galicia and it is striking that these populations are genetically more related to the populations of Andalusia than these to their next neighboring populations of Portugal. East of the Pyrenees it is most likely replaced by P. albida.
Molecular diagnostics
Patterns of DNA barcode divergences of Ptilocephala-species
Within the project POESE in BOLD, altogether 19 of the 23 currently described Palaearctic species of Ptilocephala were compared for their DNA barcodes. Altogether within the framework of BOLD, 76 samples have sequences. They are summarized in 24 Barcode Identification Numbers (BINs) (RATNASINGHAM & HEBERT, 2013) derivated from 16 countries. For this study we compared public data from the following BINs: BOLD:ABV9485 (GWOTD349-12, POESE284-19, PSYCH119-12), BOLD:ABW5202 (GWOTD350-12), BOLD:ABW7233 (PHLAH340-12, PHLAH341-12) and BOLD:ADY4384 (POESE015-15, POESE016-15). The extensive data in BOLD allowed e. g. a detailed evaluation of the phylogenetic relationship within the P. albida-species group and within the genus Ptilocephala itself. The DNA divergences among the this part of the P. albida-species group are shown in matrix 1 and fig. 9. The nearest neighbor of P. rutjani sp. n. is P. albida with a K2P minimum divergence of 7.6-7.8 %. The next closest species is P. lorquiniella stat. rev. with a K2P minimum divergence of 7.78-8.0 %.

Matrix 1 we have color-coded the numerical values according to certain criteria: Light blue: differences of all P. lorquinella stat. rev. against P. albida (inter-specific); purple: differences of all P. rutjani sp. n. against P. albida (inter-specific); red: differences of all P. lorquinella stat. rev. against each other (intra-specific); green: differences of all P. rutjani sp. n. against all P. lorquinella stat. rev. (inter-specific); brown: P. rutjani sp. n. against P. rutjani sp. n. (intra-specific).

Both the inter-specific and intra-specific data show the clear barcode divergences of the P. albida species group (fig. 13). For the distance summary graphs (figs 11-14) we used exclusively samples from the project POESE which are included in the following BINs:

BOLD:ADY8384, BOLD:ACY1399, BOLD:AED2768, BOLD:ABW4876, BOLD:ACX9498, BOLD:ACM6573, BOLD:ACY1802, BOLD:ACX9533, BOLD:ACY1693, BOLD:ACX9660, BOLD:ABV3659, BOLD:ABV4674, BOLD:ADD7072, BOLD:ADY0378, BOLD:ADY0330, BOLD:ADY4491, BOLD:ADV9485, BOLD:ACS1987, BOLD:AED2768 and BOLD:ACM6573.
The divergence for all sequences of Ptilocephala derivate from the project POESE, compared on the species level show a high divergence of 9 or 10 % at the intra-specific level of several sequenced species which is probably clear evidence for the existence of cryptic species within the genus (fig. 1) Matrix 2. Within the genus Ptilocephala, an inter-specific divergence of up to 17 or 18 % was detected (fig. 12). Comparing this result with other species clusters of several genera of the subfamily Oiketicinae, these clear differentiation is not surprisingly. For example, within the genus Oiketicoides, divergences of up to 17% are found even between morphologically barely distinguishable taxa such as Oiketicoides lutea and O.tedaldii. In fact the DNA barcode divergences of several species groups within the Psychidae are much better studied due a larger numbers of samples are available.

Acknowledgments
Edgardo Bertaccini (Roncadello di Forlí, Italy), Michael Falkenberg (SMNK), the late Hans Henderickx, Arturo Iglesias (Sevilla, Spain), Igor Y. Kostjuk (Kiev, Ukraine), Dr Susanne Kridlo (LMW), Yeray Monasterio Leon (Logroño, Spain), Evgeniy V. Rutjan (Kiev, Ukraine), Thomas Sobczyk (Hoyerswerda, Germany), Harry Sulak (Munich, Germany), Dr Robert Trusch (SMNK) and the late Thomas J. Witt kindly lent, donate or presented us material used in this study or provided access to museums collections or helped in several ways. We are also particularly grateful to Dr Paul Hebert and his team at the Canadian Centre for DNA Barcoding (Guelph, Canada) for useful support to our project “Psychidae of East and South Europe (POESE)”. Our sincere thanks goes to Dr Peter H. Roos (Sprockhövel, Germany) for helpful discussion and review of the manuscript. We are moreover grateful to Dr Antonio Vives (Madrid, Spain) for translating the abstract into Spanish and for editing the manuscript. Luisa Böttner (Spring, Texas, USA) kindly commented on the manuscript and improved the English language.
BIBLIOGRAPHY
ARNSCHEID, W. R. & WEIDLICH, M., 2017.– Psychidae.– In O. KARSHOLT, M. MUTANEN, & M. NUSS (eds). Microlepidoptera of Europe, 8: 423 pp. Leiden and Boston.
BERTACCINI, E., 2009.– Ptilocephala silphella (Millière, 1871) e Ptilocephalavesubiella (Millière, 1872) importanti conferme per la Lepidotterofauna Italiana (Insecta Lepidoptera Psychidae).– Quaderno di Studi e Notizie die Storia Naturale della Romagna, 28: 149-166.
BOISDUVAL, J. B. A., 1852.– Trois espèces nouvelles de Psyche découvertes en France en 1851.– Bulletinde la Société entomologique de France, (2)10: XXII.
BOURGOGNE, J., 1967.– Matériaux pour une révision du genre Oreopsyche (Psychidae).– Alexanor, 5(2) (1967): 73-80, (3) (1967): 105-112, (4) (1967): 149-160, (5) (1968): 217-229.
BRUAND D’UZELLE, Ch. T., 1850.– Essai monographique sur la tribu des Psychidae.– Mémoires de la Société libre d’Émulations du Doubs, (2) 1: 23-38.
BRUAND D’UZELLE, Ch. T., 1853.– Essai monographique sur la tribu des Psychidae.– Mémoires de la Société libre d’Émulations du Doubs, (2) 3: 17-127.
DEWAARD, J., RATNASINGHAM, S., ZAKHAROV, E. V., BORISENKO, A. V., STEINKE, D., TELFER, A. C., PEREZ, K. H. J., SONES, J. E., YOUNG, M. R., LEVESQUE-BEAUDIN, V., SOBEL, C. N., ABRAHAMYAN, A., BESSONOV, K., BLAGOEV, G., DEWAARD, S. L., HO, C., IVANOVA, N. V., LAYTON, K. K. S., LU, L., MANJUNATH, R., MCKEOWN, J. T. A., MILTON, M. A., MISKIE, R., MONKHOUSE, N., NAIK, S., NIKOLOVA, N., PENTINSAARI, M., PROSSER, S. W. J., RADULOVICI, A. E., STEINKE, C., WARNE, C. P. & HEBERT, P. D. N., 2008.– A reference library for the identification of Canadian invertebrates: 1.5 million DNA barcodes, voucher specimens, and genomic samples.– BioRxiv: 701805. doi: 10.1101/701805.
ESPER, E. J. C., 1782-1786.– Die Schmetterlinge in Abbildungen nach der Natur mit Beschreibungen. Nachtschmetterlinge, 3 (1782): 1-56, pls 1-12; (1783): 57-104, pls 12-23, (1784): 104-135, pls 24-31, (1785): 137-272, pls 32-55, (1786): 273-396, pls 56-79. Walther and Weigel, Erlangen, Leipzig.
FABRICIUS, J. C., 1793.– Entomologiasystematica emendata et aucta, secundum classes, ordines, genera, species, adjectis synonymis, locis, observationibus, descriptionibus, 3(1): 487 pp. Hafniae.
HACKER, H. H., 1999.– Die Typen der von E. J. Ch. Esper (1742-1810) in seinem “Die Schmetterlinge in Abbildungen nach der Natur” beschriebenen Bombycoidea, Drepanoidea, Geometroidea, Hepialoidea, Lasiocampoidea, Noctuoidea, Pyraloidea, Tineoidea (Lepidoptera) II.– Esperiana, 7: 443-461.
HÄTTENSCHWILER, P., 1997.– Psychidae-Sackträger.– In Pro Natura (eds.). Schmetterlinge und ihre Lebensräume, 2: 165-308, 509-518.
HÜBNER, J., 1796-[1838].– Sammlung europäischer Schmetterlinge: 449 pp., 789 pls. Augsburg.
KIMURA, M., 1980.– A Simple Method for Estimating Evolutionary Rate of Base Substitutions through Comparative Studies of Nucleotide Sequences.– Journal of Molecular Evolution, 16: 111-120. https://doi.org/10.1007/BF01731581.
KUMAR, S., STECHER, D. & TAMURA, K., 2016.– MEGA7: Molecular Evolutionary Genetics Analysis Version 7.0 for Bigger Datasets.– Molecular Biology and Evolution, 33(7): 1870-1874. doi:10.1093/molbev/msw.
LERAUT, P., 1980.– Liste systématique et synonymique des Lépidoptères de France, Belgique et Corse. Supplement à Alexanor: 334 pp. Paris.
LERAUT, P., 1997.– Liste systématique et synonymique des Lépidoptères de France, Belgique et Corse (deuxième edition). Supplement à Alexanor: 526 pp. Paris.
MEIGEN, J. W., 1830-1832.– SystematischeBeschreibung der europäischer Schmetterlinge, 3: 1-48 (1930), 49-96 (1831), 97-276 (1832).
RATNASINGHAM, S. & HEBERT, P. D. N., 2007.– BOLD: The Barcode of Life Data System.– Molecular Ecology Notes, 7(3): 355-364. Available from (http://www.barcodinglife.org).
RATNASINGHAM, S. & HEBERT, P. D. N., 2013.– A DNA-Based Tegistry for all Animal Species: The Barcode Index Number (BIN) System.– PLOS ONE, 8(8): 1-16.
RAMBUR, J. P., 1858.– Catalogue systématique des lépidoptères de l’Andalousie, 1: 1-92 pp. Bailliere, Paris.
RAMBUR, J. P., 1866.– Catalogue systématique des lépidoptères de l’Andalousie, 2: 93-442. Bailliere, Paris.
REBEL, H., 1910.– Fr. Berge‘s Schmetterlingsbuch nach dem gegenwärtigen Stande der Lepidopterologie. Neunte Auflage: 509 pp., 51 pls, E. Schweizerbart‘sche Verlagsbuchhandlung, Stuttgart.
SAUTER W & HÄTTENSCHWILER P (1996) Psychidae. In: Karsholt O & Razowski J (ed.) The Lepidoptera of Europe. A Distributional Checklist. pp 39-46. Apollo Books Stenstrup.
SOBCZYK, T., 2011.– Psychidae (Lepidoptera).– In M. NUSS (ed.). World Catalogue of Insects, 10: 467 pp., Apollo books, Stenstrup.
SOBCZYK, T. & WERNO, A., 2011.– Ptilocephala albida (Esper, 1786), ein Neufund für die deutsche Fauna (Psychidae, Lepidoptera).– Entomologische Nachrichten und Berichte, 55(4): 247-248.
STRAND, E., 1913.– Zur Bibliographie und Nomenklatur der Psychiden (Lep.).– Entomologische Mitteilungen, 2(11): 328-329.
VILLERS, C., 1789.– Caroli Linnaei entomologica, faunae suecicae descriptionibus aucta; D. D. Scopoli, Geoffroy, De Geer, Fabricii, Schrank, ec. speciebus vel in Systemate non enumeratis, vel nuperrime detectis, vel speviebus Galliae Australis locupletata, generum specierumque rariorum iconibus ornamenta; curante & augente Carolo de Villers, 2: XVI + 656 pp. Lugduni.
TUTT, J. W., 1900.– Psychides.– In A natural history of the British Lepidoptera, 2: 584 pp.
Notas de autor
*Autor para la correspondencia / Corresponding authorw.r.arnscheid@gmx.de