El liderazgo de aprendizaje y su incidencia en la innovación y competitividad de las MIPyMES de la Ciudad de Durango, México.
Learning leadership, its incidence in innovation and competitiveness on MSMEs of the city of Durango, Mexico.
El liderazgo de aprendizaje y su incidencia en la innovación y competitividad de las MIPyMES de la Ciudad de Durango, México.
Investigación Administrativa, núm. 117, 2016
Instituto Politécnico Nacional
Recepción: 12 Enero 2016
Aprobación: 15 Marzo 2016
Resumen: El propósito de la presente investigación se centra en determinar cuál es estilo del liderazgo de aprendizaje predominante en las MIPyMES de la ciudad de Durango, México; así como analizar la forma en la que el liderazgo de aprendizaje influye en el desempeño del negocio (innovación y competitividad). Se aplicó un cuestionario basado en Yeung, A., Ulrich, D., Nason, S. y Von Glinow, M. A. (2000), validado y adaptado al entorno Mexicano por Gómez (2008), a una muestra de 362 empresas. Los resultados muestran que el estilo de liderazgo predominante es el Entrenador. Además revelan que el liderazgo de aprendizaje influye estadísticamente en el desempeño del negocio (innovación y competitividad) en las empresas estudiadas.
Palabras clave: Liderazgo de aprendizaje, Desempeño del negocio, Innovación, competitividad, y MIPyMES.
Abstract: The purpose of this research is focused on determining what is the learning leadership style of predominantly in SMEs in the city of Durango, Mexico; as well analyzing the way in which the leadership learning affects performance of business (innovation and competitiveness). Applied a questionnaire based on Yeung, A., Ulrich, D., Nason, S. and Von Glinow, M. A. (2000), and adapted to the Mexican setting by Gomez (2008), a sample of 362 companies. The results show that the predominant leadership style is the coach. They also reveal that the leadership of learning has a statistically significant impact on the performance of the business (competitiveness and innovation) in enterprises studied.
Keywords: Learning leadership, Performance of the business, Innovation, Competitiveness, and SMEs.
Introducción
En México existen más de 3 millones de unidades empresariales, de las cuales el 95.7% son micro, el 3.1% son pequeñas y el 0.9% son medianas, es decir, el 99.7% de las empresas registradas en el país se clasifican como MIPyMES (INEGI, 2014).De lo anterior se desprende la importancia de estudiar este tipo de empresas, pues la aportación que realizan a la economía del país es significativa, pues aportan el 42% al Producto Interno Bruto (PIB) y generan el 64% del empleo del país.
En adición podemos afirmar que la realidad es similar en el mundo entero, algunos ejemplos nos permitirán dimensionar lo afirmado; En Norteamérica el 95% de las empresas son MIPyMES, y proveen aproximadamente el 75% de los empleos nuevos netos que se generan cada año, mientras que en Japón existen un promedio de 9.1 millones de pequeñas empresas que generan 67.2 millones empleos, y el promedio de ocupación por empresa es de 7.4 personas (Sánchez, Valdés Díaz, 2012), en Panamá las MIPyMES suman el 97,06% del total de las empresas existentes (Guapatín, 2003). En Perú alcanzan el 97,9%, en Uruguay alcanzan el 99.49% del total de las unidades económicas, generando el 30% del PIB y el 55% del empleo (Gutfraind, 2007), en Costa Rica representan el 98,19% de total de las empresas, en el Salvador suman el 99,81%, y en Guatemala alcanzan el 98,61% del total de las empresas (Del Cid, 2008).
Prater y Ghosh (2005) referencian un informe de la Organización de Naciones Unidas (ONU), donde se afirma que la micro, pequeña y mediana empresa en los países en desarrollo genera más del 90% de los empleos, y en los países desarrollados más del 50%.
Dallago (2003), sostiene que internacionalmente la importancia de las MIPyMES está en que generan una gran cantidad de empleos y ayudan a la adaptación e innovación del sistema económico. Por su parte Gooderham (2007), sostiene que las MIPyMES generan una cultura de información y de mutua colaboración entre ellas para poder sobrevivir, y que es importante que aprendan a ser innovadoras y competitivas para poder enfrentar de mejor manera los retos que un entorno dinámico y cambiante les impone.
En México la esperanza de vida de una empresa del sector comercio al nacer, es de 6.6 años. A los cinco años, de cada 100 negocios de este sector que iniciaron actividades, solo sobreviven solo 25 (INEGI, 2015).
De lo anterior se puede concluir que la mortandad de este tipo de empresas es un fenómeno que afecta a la economía, no solo de quien invierte en ella, sino también a la del país, pues se dejan de generar empleos y riqueza debido al cierre obligado por quiebra, de aquí se despende la importancia de estudiar este tipo de empresas y encontrar algunas delas causales de su mortandad. El INEGI (2006), asegura que la mayoría de ellas carecen de una estructura administrativa adecuada, pues sus directivos acusan una formación empresarial incipiente; por otro lado, el mismo informe sostiene que un porcentaje importante de éste tipo de empresas están fuera del marco legal y tributario, es decir, son informales.
Las MIPyMES sin duda son una modalidad de articulación productiva mundialmente, y que en la mayoría de las ocasiones las autoridades gubernamentales y académicas solo en el discurso les ponen atención, su accionar en la vida social y económica de los pueblos es innegable. Por lo tanto, salta a la vista la importancia de este tipo de empresas, pero a su vez se destaca también el sin número de retos que tienen que enfrentar para subsistir en el tiempo, de manera tal que si no aprenden a innovar, difícilmente podrán superar los retos de en entorno cada vez más competitivo.
De lo anterior se desprende la pertinencia y el propósito del presente estudio, que se centra en; analizar la forma en que el liderazgo de aprendizaje contribuye para explicar el desempeño del negocio (innovación y competitividad) en las MIPyMES de la ciudad de Durango, México, así como explicar cuál estilo de liderazgo de aprendizaje que con mayor frecuencia se utiliza en el sector estudiado.
Planteamiento del Problema.
En pleno siglo XXI y teniendo al fenómeno de la globalización como el punto neurálgico de este nuevo milenio, que trajo como consecuencia una comunicación rápida y eficaz, pues en tiempo real y de manera inmediata, nos enteramos de lo que sucede en cualquier parte del globo terráqueo, por otro lado los adelantos científicos que en antaño ni siquiera imaginábamos hoy son una realidad, y es innegable la accesibilidad al conocimiento en cualquier lugar donde nos encontremos, producto de los adelantos electrónicos que ahora gozamos. Lo anterior, son solo algunos de los síntomas de un cambio de época causado por la globalización, donde hoy en día padecemos un entorno cambiante y volátil, donde solo sobrevivirán las empresas capaces de ser competitivas e innovadoras (Sánchez, 2008 y Bauman,1999).
Ciertamente que la globalización no es un fenómeno nuevo; pero su proceso es arrollador, pues presenta una serie de aspectos desconocidos. Puerto (2010), afirma que la economía global impuesta por este fenómeno llamado globalización, presenta un horizonte de claroscuros para los individuos, las organizaciones, las instituciones, las empresas y las naciones, que deben manejar si desean permanecer vigentes en sus ámbitos de competencia, de lo contrario caerán en un vacío sin fondo, donde la expulsión de los mercados es el final no deseado.
Indudablemente que un factor clave para la adaptación de las organizaciones a las nuevas circunstancias de un entorno volátil, está en la competitividad y la innovación (Gómez, Villarreal y Villarreal 2014), (Bohmer & Edmonson, 2001) y (Palomo 2011), así como en el estudio del papel de las personas que toman las decisiones en las organizaciones y que son conocidos como líderes.
Objetivos, Preguntas de Investigación e Hipótesis.
Objetivo General: determinar cuál es estilo del liderazgo de aprendizaje predominante en las MIPyMES de la ciudad de Durango, México; así como analizar la forma en la que el liderazgo de aprendizaje influye en el desempeño del negocio (innovación y competitividad).
Objetivo particular1: Determinar cuál es el liderazgo de aprendizaje dominante en las MIPyMES bajo estudio.
Objetivo particular 2: Determinar cuál es el factor del desempeño del negocio (innovación y competitividad) que más se utiliza en las empresas estudiadas.
Objetivo particular 3: Determinar la influencia del liderazgo de aprendizaje en el desempeño del negocio (innovación y competitividad
Preguntas de Investigación:
P1: ¿Cuál es el liderazgo de aprendizaje dominante en las MIPyMES?
P2: ¿Cuál es el factor del desempeño del negocio predomínate en la empresa estudiada?
P3: ¿El liderazgo de aprendizaje influye en el desempeño del negocio (innovación y competitividad), en las empresas bajo estudio?
Hipótesis:
H1: El liderazgo “Entrenador” es el dominante en las MIPyMES.
H2: La innovación es el factor del desempeño del negocio predomínate en las MIPyMES
H3: El liderazgo de aprendizaje influye en el desempeño del negocio.
Revisión de Literatura.
El liderazgo es uno de los temas que más ha llamado la atención de los estudiosos desde siempre, por el influjo que ejercen sobre los seguidores, al plantearles un objetivo y al convencerlos de que se esfuercen para conseguirlo.
La gente ha estado discutiendo y escribiendo sobre los líderes y su accionar durante los últimos dos mil años (Boyett y Boyett, 1999), todo esto es entendible pues el liderazgo es una actividad netamente social, como también lo es la naturaleza del ser humano. El liderazgo es algo que no se puede ejercer en el espacio etéreo, sino que requiere de un ser humano, que coordina y dirige los esfuerzos de un grupo de semejantes en la búsqueda de un fin acordado.
Los líderes son las personas capaces de gestionar oportuna y adecuadamente el cambio que las instituciones y las organizaciones requieren (Burns, 1978), no sólo para adaptarlas a las nuevas condiciones sociales y con ello sobrevivir, sino para que puedan insertarse activamente en su entorno en la promoción de una sociedad más justa y más eficiente (Ramírez, 2013).
Lussier y Achua (2002) y Loaiza & Pirela (2015), afirman que liderar es influir sobre otros, es un proceso mediante el cual el dirigente comunica sus ideas a un grupo de seguidores, quienes las aceptan y se sienten motivados a respaldarlas y a trabajar con ahínco para verlas cristalizarlas en acciones y luego en objetivos. La influencia es la parte medular del liderazgo, si esta no se presenta entonces la acción de liderar no tiene sentido ni surte efecto alguno y, necesariamente tiene que ver con la relación que se construye entre líderes y seguidores, donde los primeros se ganan la voluntad de los segundos, y son los seguidores quienes trabajaran con entusiasmo en la búsqueda de lo planteado por su dirigente.
Recordemos a Bennis y Nanus(1985) y Sánchez y Barraza (2015), cuando sostienen que para que el líder ejerza influencia sobre los seguidores, se deben conjuntar tres factores principales: el compromiso, la complejidad y la credibilidad, pero para ello es necesario que los seguidores lo descubran como una persona confiable, -“a Napoleón lo hubiéramos seguido hasta el fin del mundo”-, decían sus veteranos (Courtois, 1963).
A lo largo de la historia se ha pretendido encontrar la razón del porqué del influjo del líder sobre sus seguidores, en principio se pensaba que eran características sobrenaturales que solo poseían personas escogidas, a esta corriente de pensamiento se le llamó la escuela del gran hombre como lo señala Daft (2006).
Una segunda corriente de pensamiento buscó otros argumentos, y pretendió encontrar en los rasgos físicos la respuesta a la acción de liderar, y desgraciadamente no encontraron la repuesta en esa área, como consecuencia de esto, los estudiosos se plantearon la interrogante ¿los lideres nacen o se hacen? derivado de lo anterior surgieron diversas escuelas de estudio entre 1900 y 1950, todas buscaban diferenciar entre el líder y los seguidores con base en las características de cada uno (Boyett y Boyett, 1999).
En la década de 1970, los estudios se enfocaron nuevamente a las características del líder, pero vistas estas en función de su efectividad en el ámbito organizacional, definieron en principio dos características fundamentales, la orientación o no hacia el logro de los objetivos de parte del dirigente, a lo que se llamó orientación a los objetivos y, la otra característica a la que llamaron orientación a las relaciones (Safferstone, 2005).
En 1973, Downton (citado en Antonakis y House, 2002) propuso una teoría de liderazgo en la que se involucraban los estilos transaccional, carismático y el rebelde político al que llamó “inspiracional”. El mismo Downton (1973) señala que las transacciones entre el líder y los seguidores, sentaban las bases de la confianza. En contraste a lo anterior Conger, Kanugo y Menon (2000) plantean el liderazgo carismático, al que definen como un atributo basado en la percepción que tienen los seguidores sobre la conducta del líder, esa actitud observada en él es interpretada por los seguidores como una expresión del carisma, que se refleja en credibilidad de su gente. Para Castro y Contreras (2013), el modelo el líder carismático difiere de otros tipos, por su habilidad para formular y articular una visión inspiradora en sus seguidores, quienes están dispuestos trabajar por lo planteado por dirigente.
De los enfoques contemporáneos para el estudio del liderazgo, destacan el carismático y el transformador, los cuales según Daft (2006) y De Haro y García-Izquierdo (2015), son dos estilos que están fundamentados en las características personales de quien dirige. El carismático tienen un efecto emocional en las personas porque apela a su mente y a su corazón, crea un ambiente de cambio y articula una visión idealizada del futuro, se comunica con claridad, inspiran fe y esperanza, y corren riesgos personales para influir en los seguidores. Por su lado Burns (1978) describió el liderazgo transaccional, como la forma diaria y básica de trabajo del líder, con pequeñas y constantes dosis de cambio a cambio de una recompensa, pero que también puede funcionar con un bajo perfil.
Sin embargo, la definición del liderazgo transformacional no resultaba tan sencilla, por lo que tiempo después el propio Burns (2003) y Turbay-Posada(2013), proponen discernir entre dos formas de cambio: el primer tipo de cambio consiste en sustituir una cosa por otra en un acto de intercambio; este es el tipo de cambio que se atribuye al liderazgo transaccional, y la segunda forma se plantea que el segundo tipo de cambio es mucho más profundo: se trata de causar una metamorfosis completa en el seguidor.
En síntesis el estudio del liderazgo pasa por cuatro grandes etapas de manera genérica, la que se concentra en el pensamiento del gran hombre, la que dan respuesta a una administración racional y de la conducta, la que centra su actuar en la formación e importancia de los equipos de trabajo, y por último las que se enfocan en el liderazgo para aprender, para Pereira (2014) este último busca compartir una visión de futuro, presenta el liderazgo como promotor y facilitador del cambio y de su accionar en las organizaciones que aprenden, y que operan en la era del conocimiento.
Esta nueva era que vivimos en la actualidad, llamada del conocimiento y de la información, están generando una nueva forma de concebir la vida en las organizaciones, pues el entorno volátil y cambiante en el que ahora están insertas las organizaciones, las obliga a dar respuestas rápidas y proactivas si es que quieren sobrevivir en los mercados de trabajo, de manera tal que requieren de una nueva generación de líderes, que aquilaten un número determinado de características necesaria para dirigir organizaciones que están en los albores de convertirse en organizaciones inteligentes, desgraciadamente poco se ha escrito sobre el tipo de líderes que requieren estas nuevas organizaciones.
Yeung, Ulrich, Nason, Von Glinow (2000), describen 12 características que deben de tener los líderes en esta nueva etapa en la historia delas organizaciones, al que llaman liderazgo de aprendizaje; en su estudio los autores se refieren a un líder que aprende, capaz de conducir y ayudar a la organización a transformarse de una organización tradicional, a una que aprende;
*Es una persona que entrena a otros
*Facilita el dialogo con sus subalternos
*Enseña y capacita a su personal.
*Experimenta ideas nuevas.
*Mira más allá del terreno personal y encuentra propuestas comunes.
*Comparte información con su gente.
*Aprende de los errores que se cometen.
*Establece una visión y la comparte.
*Dedica tiempo a aprender.
Permitir que otros triunfen
*Comparte premios y logros al generar conocimiento.
Estas 12 cualidades se condensan en 3 grandes categorías que son las que terminan definiendo el perfil del liderazgo de aprendizaje;
1. Entrenador: describe a un líder que se preocupa por formar y desarrollar su personal, para que realicen de mejor manera su trabajo.
2. Experimentador: describe a un líder que busca generar nuevas formas de ver las cosas y mejorar las que ya tiene.
3. Visionario: capacidad necesaria para plantear retos y objetivos para su gente.
Esta clasificación es la que se usará en este trabajo para analizar el liderazgo en las MIPyMES de la ciudad de Durango.
Al llegar a este momento podemos afirmar, que todas y cada una de las etapas de la historia de las organizaciones, el líder juega un papel importante no sólo en su estructuración, de manera tal que lo como lo afirman al coincidir Yeung et al. (2000),Daft (2006), Gómez, Villarreal y Villarreal (2014) y Bower (1995), el líder juega un papel preponderante en la vida de las organizaciones, no solo por la forma cómo influye para que éstas fijen y alcancen sus objetivos, sino además por la ascendencia que ejercen en la adopción de una determinada estrategia para enfrentar a la competencia.
Por otro lado, recordemos que cada organización es diferente en su forma de comportarse y de enfrentar los retos que el entorno le impone, por la manera particular como aborda y como se desvive por alcanzar sus objetivos, todas estas particularidades son las que hacen la diferencia en las organizaciones y sin embargo todas sin excepción tiene un denominador común, buscan subsistir en el tiempo y en los mercados de trabajo.
Sin embargo la forma en que las organizaciones enfrentan al entorno no siempre fue de la misma forma, Gómez (2008), afirma que en la era agrícola las organizaciones eran simples, diseñadas para solucionar los problemas que la humanidad enfrentaba en aquellos momentos, cuando se da el cambio de época a la era industrial, las organizaciones constituidas como empresas se rediseñaron para producir, hoy en la era del conocimiento, esas organizaciones tiene que modificarse sustantivamente, pues tienen que generar conocimiento si quieren subsistir.
La realidad que las organizaciones viven hoy en día es compleja, pues se enfrentan a un entorno altamente volátil, salpimentado por dos conceptos a los que necesariamente se deben de enfrentar y que requieren superar; la innovación y la competitividad. Para Fernández (2013) y Silveira, Horta y Camacho (2015) estos dos conceptos dan como resultado lo que toda organización busca tener, un buen desempeño del negocio, es decir obtener utilidades y permanecer en los gustos de sus consumidores.
Toledo y Mendoza (2014), Wang y Zhang (2009), Bamiatzi y Kirchmaier (2012), Lumpkin y Dess (1996), Covin y Slevin (1989) y Venkatraman (1989) coinciden al afirmar que el desempeño del negocio es la finalidad que las empresas buscan, por ello se esfuerzan en obtener resultados positivos en el trabajo cotidiano que realizan, y para lograr eso, se trazan estrategias, realizan campañas, en pocas palabras, el desempeño del negocio es la resultante de todos los esfuerzos de las empresas, que se traduce en la obtención o no de utilidades, y en un mundo globalizado solo se logrará un buen desempeño, siendo competitivo e innovando.
Las condiciones económicas actuales del mundo, impregnadas por la globalización, la proliferación de tratados internacionales y la nueva sociedad del conocimiento, han puesto a la innovación y a la competitividad de moda. En principio la competitividad, es un vocablo que Porter (1982), define como la capacidad de fabricar el mayor número de productos al menor costo posible, de donde se desprenden que la competitividad para este autor, tiene su parte fundamental en los costos, y en buscar caminos que los abatan y por consecuencia repercutan en el incremento de las utilidades.
Más adelante el mismo Porter (1990), acuño el término de ventaja competitiva, para referirse a la preeminencia de una empresa sobre otra, que en principio solo descansaba en los costos, pero con el tiempo el concepto se fue complementando, hasta llegara a identificar a la ventaja competitiva con la capacidad de innovar (Molina 2015). De manera tal que, la empresa mejorará su ventaja, no solo siendo iguala los demás, sino diferenciándose en sus productos, en su forma de prestar el servicio o en ambos, porque se preocupa por dirigir todos sus esfuerzos hacia sus clientes, buscando satisfacer sus necesidades de mejor manera. Para Porter (1999) la competitividad se convierte en la necesidad de crear factores productivos y que permitan no solo igualar a la competencia, sino superarla.
La competitividad es en la actualidad el nuevo paradigma que permite triunfar en el mercado global, de manera que casi es inevitable imaginar una empresa que subiste, sin que esta sea competitiva (Botero, 2014) y Yeung et al. (2000), definen la competitividad, como la capacidad de un negocio de competir en su nicho de mercado, y para su estudio, identifican 15 componentes, entre los que destacan, los procedimientos de recursos humanos, la capacidad de producción, y los resultados financieros en los tres últimos años entre otros factores, que es el estudio en el que nos basaremos.
En lo concerniente a la innovación, para Smith (1776) como citado por Willis (1979), solo era el aumento de la productividad por medio de la invención de una maquinaria específica que mejorara la productividad, más adelante Schumpeter (1939), la definió como la creación o modificación de un producto, y su introducción en un mercado, y la clasificó en dos tipos; la incremental, cuando se realizan mejoras a un producto, a un proceso o a un servicio existente; la radical, cuando se fabrica un nuevo producto, una aplicación novedosa o una combinación de otros existentes, o se le encuentra un uso o una aplicación antes no imaginado.
En la actualidad, la innovación se convierte en algo muy atractivo de lograr, por los beneficios que aporta no solo a la competitividad empresarial, sino además a la subsistencia de las organizaciones en un entorno cambiante, además que existen un sin número de estudios que hablan de la influencia de la innovación sobre la productividad, entre los que podemos contar a; Beltrán (2015), Valenzuela y Valenzuela (2015), Benito (2001), Doraszelski y Jaumandreu (2007), Fluviá (1990), Grandón y Rodríguez Romero (1991), López-Pueyo y Sanaú-Villarroya (1998) y Gonzales, Espilco & Aragón(2003).
En complemento, y para efectos del presente estudio, la innovación es la voluntad de la organización para experimentar y correr riesgos (Yeung et al. 2000), y está formada por la voluntad de experimentar, el atrevimiento de correr riegos y, el ciclo en el tiempo para innovar.
Metodología.
De acuerdo con Hernández, Fernández y Baptista (2006), el presente estudio se puede clasificar como correlacional, porque trata de establecer el tipo de relación entre las variables analizadas; también es transversal, porque la información se obtiene en un solo punto en el tiempo, y es no experimental, porque no existe manipulación de las variables, de su relación y/o sobre los datos obtenidos.
El instrumento de medición empleado lo tomamos de Yeung et al. (2000), por ser un cuestionario probado y validado en 300 empresas alrededor del mundo; vale la pena destacar que dicho instrumento fue validado y adaptado al contexto mexicano y latinoamericano por Gómez (2008). Consta de 54 reactivos (34 para medir los 3 características del liderazgo de aprendizaje y 19 correspondientes al desempeño del negocio -competitividad y la innovación-), con una escala Likert de seis opciones, gradualmente ascendiendo de la siguiente forma: “no sé/no aplica, muy poco, poco, algo, mucho y muchísimo”.
El objeto del presente estudio es la MIPyME de Durango capital, para determinar la muestra poblacional, se tomó en cuenta el número de unidades de negocios reportados en el DENUE (Directorio Estadístico Nacional de Unidades Empresariales) del INEGI (2015), dando un total de 6054 unidades empresariales, acto seguido aplicamos el programa Statis 2.0 para determinar la muestra poblacional, con un nivel de confianza del 95%, dando una muestra de 362 unidades empresariales.
Primero se trabajó con una prueba piloto de 20 encuestas y se les aplicó el cuestionario, se obtuvo realimentación para ver si no había algún tipo de dificultad para entender los conceptos del cuestionario, esto nos permitió hacer algunos ajustes en la redacción de las preguntas, luego procedimos a la recolección de la información.
Una vez reunidos todos los datos, se utilizó el programa estadístico SPSS versión 22.0, a fin de calcular la confiabilidad del instrumento por medio de la prueba Alfa de Cronbach, cuyo resultado se pueden apreciar en la Tabla #1. Barraza-Macías (2008), sostiene que el valor del α de Cronbach que es menor .60 es mediocre, de .60 a .65 es indeseable, de .65 a .70 es aceptable, de .70 a .80 es respetable y de .80 a .90 es muy buena para explicar las variables utilizadas en el cuestionario. Es necesario destacar que esta prueba se corrió para cada variable (liderazgo de aprendizaje y desempeño del negocio).

Para conocer el tamaño de la empresa y la formación de los entrevistados que respondieron la encuesta, caracterizamos la muestra; La Tabla 2 muestra el número de empresas bajo estudio, así como su tamaño y el cargo de quien respondió la encuesta, donde se observa que de las 362 empresas encuestadas, el grueso de los entrevistados fueron los dueños de los negocios, quienes son los interesados directos de lo que sucede en su empresa, así mismo se observa como el 71.80% de los cuestionarios recopilados fueron realizadas a microempresas, el 10.90% corresponden a pequeñas empresas y, solo el 8.30% se realizaron en las medianas.

Como parte complementaria se construyó la Tabla 3, que muestra el nivel educativo de las personas que nos proporcionaron la información, donde destaca que el 80% de las personas que respondieron la encuesta y que a su vez están al frente de este tipo de empresas, el nivel académico más alto alcanzado es preparatoria, y solo el 20% cuenta con estudios universitarios. Por lo que toca a la pequeña empresa, el 75% de los encuestados cuentan con educación básica y preparatoria; en contraste, el 62% de los encargados o gerentes de la pequeña empresa y quienes nos proporcionaron la información, cuentan con educación universitaria.

Resultados Estadísticos.
ara dar respuesta a la primera hipótesis de trabajo; El liderazgo entrenador es el dominante en las MIPyMES de Durango capital. Derivado del análisis de los datos recopilados con el instrumento de medición se obtuvieron las frecuencias y las medias y la desviación estándar para los tres tipos de liderazgo de aprendizaje, como se observa en la Tabla 4.

Como se puede observar es el tipo de liderazgo entrenador al que le corresponde la mayor frecuencia en las empresas estudiadas, es decir es el estilo predominante en las empresas estudiadas, y que responde a la hipótesis planteada. El segundo estilo de liderazgo es el experimentador y en último lugar se presenta el tipo de líder visionario.
En complemento y para saber si existen diferencias estadísticamente significativas entre los grupos de preguntas que miden cada uno de los tipos de liderazgo de aprendizaje, se aplicó un análisis de la varianza con una prueba F, que de acuerdo con Lind, Marchal y Wathen (2005), se utiliza con el fin de probar si dos muestras provienen de poblaciones que tienen varianzas iguales (la cual se consideró hipótesis nula- Ho; no existe diferencia entre los grupos de liderazgo).
El análisis consideró un nivel de confianza de 95%, mostrándose los resultados en las Tablas 5, donde se muestra el análisis de la varianza —ANOVA de un factor— que permite confirmar que entre los grupos de liderazgo de aprendizaje existe una diferenciación estadísticamente significativa, es decir los grupos están diferenciados, y se termina aceptando la hipótesis de trabajo. Se aplicó el análisis a los tipos de liderazgo de aprendizaje (tres). La agrupación de estas variables se basa en la literatura, especialmente en los trabajos de Yeung et al. (2000), y además se fortalece este constructo mediante el análisis factorial de componentes principales, el cual se efectuó, y sus resultados mostraron que se agrupan razonablemente según lo previsto.

Como respuesta a la segunda hipótesis planteada, H2: la innovación es el factor predomínate en las MIPyMES. Con base a los recopilados del instrumento de medición, se construyó la Tabla 6, que muestra las frecuencias, la media y la desviación estándar de la variable desempeño del negocio, donde se observa que es la innovación el factor del desempeño del negocio el que tiene predominancia en las empresas estudiadas, y como consecuencia se acepta la hipótesis de trabajo planteada.

De igual forma que con la variable liderazgo de aprendizaje, y con el mismo fundamento teórico descrito en párrafos anteriores, y en consonancia para constatar si existen diferencias estadísticamente significativas entre los grupos que miden cada uno de los factores de la variable desempeño del negocio, se aplicó un análisis de la varianza con una prueba F, con una confiabilidad del 95%, cuyos resultados se muestran en la Tabla 7.

Vale la pena aclarar que una vez comprobados los supuestos básicos estadísticos de normalidad y homocedasticidad, y derivado de los resultados encontrados en el presente estudio, y para dar respuesta a la tercera hipótesis de trabajo H3; El liderazgo de aprendizaje influye en el desempeño del negocio, para lo cual se presentan los resultados del análisis estadístico de regresión lineal que de acuerdo con Hair, Anderson, Tatham y Black (2005) es la técnica de dependencia más versátil y utilizada, aplicable en cualquier ámbito de los negocios, pudiendo ser empleada para analizar la relación entre una variable criterio y una o varias variables independientes.
Cabe señalar que se aplicaron simultáneamente dos técnicas de análisis estadístico, análisis de correlaciones canónicas y análisis de regresión lineal, obteniendo similares resultados, ante lo cual se eligió la alternativa más económica siguiendo el principio de parsimonia.
El modelo de regresión se aplicó contrastando por separado cada uno de los elementos de la variable independiente liderazgo de aprendizaje (liderazgo entrenador, experimentador, visionario), y de la variable dependiente desempeño del negocio (innovación y competitividad), lo que dio 6 resultados diferentes. cuyos elementos se presentan en la Tabla 9. Por lo que respecta al modelo que se muestra a continuación, es una síntesis que resume las características de los modelos mencionados, que fueron agrupados respectivamente en la variable independiente (predictora) Liderazgo de Aprendizaje, y en la variable dependiente Desempeño del negocio, las que se derivaron del promedio de cada indicador. Se incluye en primer término, en la Tabla 8, el análisis de varianza (ANOVA) que incluye en su salida el SPSS y de acuerdo con Rodríguez y Mora (2001) permite valorar hasta qué punto es adecuado el modelo de regresión lineal para estimar los valores de la variable dependiente.

El modelo es: Y E a = α + b1 X Inc. De A. + Є
En donde: YEa (1..2) = Desempeño del negocio
α= Intercepto
X Inc. de A.(1…4) = Liderazgo de aprendizaje
Є = Termino de error
b1, = Coeficiente asociado a la variable independiente.
Con el propósito de mostrar con detalle la relación entre variables, se presentan en la Tabla 9, los resultados del análisis de regresión lineal, mostrando para cada estilo liderazgo de aprendizaje tanto el nivel de significación como coeficiente de determinación r2, en vista de que el modelo presentado contempla a los dos grupos de variables previamente agrupadas.
En la primera columna de la Tabla 9, aparecen las variables dependientes que se consideraron en el análisis. En la segunda, quinta, octava columnas, aparece el coeficiente de determinación, el cual mide la porción de variación que es explicada por la variable independiente del modelo de regresión, que de acuerdo con Lind, Marchal, y Wathen (2005), se obtiene elevando al cuadrado el coeficiente de correlación y se interpreta con mayor facilidad al tratarse de una proporción o porcentaje de la variación que así se explica. En cuanto a las columnas tercera, sexta y novena, se muestran el coeficiente de regresión B, que de acuerdo con Rodríguez y Mora (2001), nos indica el número de unidades que aumentará la variable dependiente o criterio por cada unidad que aumente la variable independiente o predictora.
Cabe señalar, finalmente, que la naturaleza inferencial de las pruebas realizadas permite generalizar los resultados obtenidos de la muestra a la población total de micro, pequeñas y medianas empresas de la ciudad de Durango

En base a los resultados obtenidos, se acepta la hipótesis de trabajo planteada, y podemos afirmar que el liderazgo influye en el desempeño del negocio pues los resultados obtenidos son significativamente representativos. Particularmente en el caso del liderazgo entrenador, este explica el 30% de la competitividad y el 17% de la innovación. Por su parte el liderazgo experimentador influye un 31% en la explicación de la competitividad, y un 18% en la innovación y el liderazgo visionario influye en 9% la explicación de la innovación, mientras que un 29% en la competitividad.
e manera complementaria y para probar la correlación entre las variables estudiadas, se presenta los resultados de correlación en la Tabla 10, es un resumen de la prueba de correlación de las variables, que se trabajaron con una confiabilidad del 95%, y muestra los coeficientes de correlación y que sirven para cuantificar el grado de relación lineal existente entre dos variables cuantitativas, además permiten cuantificar el grado de relación lineal existente entre dos variables (Achen, 1982). El nivel crítico permite decidir sobre la hipótesis nula de independencia lineal (o lo que es lo mismo, sobre la hipótesis de que el coeficiente de correlación vale cero en la población). En este caso rechazamos la hipótesis nula de independencia (y concluiremos que existe relación lineal significativa) pues el nivel crítico es menor que el nivel de significación establecido (0,05), pues la significancia o valor critico de las variables estudiadas (liderazgo de aprendizaje y desempeño del negocio) correlacionan significativamente (Sig.=0,000) y el valor de la correlación de Pearson es .611 en ambas variables, es decir es significativa.

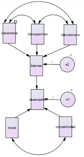
Para complementar la información presentada y para probar la validez de los constructos utilizados en el presente estudio, se trabajó con un análisis factorial confirmatorio con el programa Amos de SPSS 20, buscando probar la relación de causalidad entre las variables en estudio. La Figura 1, muestra el modelo de relaciones causales, donde se observa como el liderazgo de aprendizaje se conforma y está influenciado por los tres estilos de liderazgo (entrenador, experimentador y visionario), que están correlacionadas entre sí, y a su vez el liderazgo de aprendizaje que es la variable independiente influye en el desempeño del negocio (variable dependiente), que a su vez se ve afectado por la correlación de la innovación y la competitividad.
Por otro lado laTabla 11 muestra un resumen del modelo de relaciones causales, muestra de manera sintética, donde se puede observar la fortaleza del constructo, pues los coeficientes estandarizados tienen un valor máximo de 1, es decir la variable independiente tiene un efecto significativo sobre la variable dependiente.


Conclusiones.
Para dar respuesta a la hipótesis de trabajo; El liderazgo “entrenador” es el predominante en las MIPyMES de Durango capital, al respecto podemos afirmar que la hipótesis plateada se cumple, y que los resultados son concordantes con el perfil de empresario que predomina en la localidad; que cuenta con una clase empresarial conservadora y que no toma riesgos, quien generalmente va desarrollado poco a apoco lo que ya sabe hacer y, lo va mejorando con el tiempo para no equivocarse; tales son las características señaladas en Villarreal, Villarreal y Gómez (2013).
En adición podemos comentar que el prototipo del empresario novel, que generalmente recién inicia un negocio micro o pequeño, en lo general no cuenta con formación técnica de manera tal, que cuida el negocio y lo va desarrollando poco a poco, frecuentemente en base a prueba y error, pues carece de conocimientos administrativos adecuados (INEGI, 2006), de manera tal que aprende de su experiencia personal y, en esa medida el negocio se desarrolla o fracasa, de manera tal que el aprendizaje es demasiado caro, pues la alta tasa de mortandad de este tipo de empresas lo indica.
Al líder entrenador le preocupa que su empresa tenga un desempeño optimo, para ello busca capacitar al personal que contrata, lo hace de manera personal sin una metodología definida y, establece las formas y los límites de cómo hacer las actividades, pero normalmente el referente que utiliza para la capacitación es su experiencia personal, escazas cosas tiene por escrito, todo se remite a una formación verbal, de manera tal que las enseñanzas transmitidas son limitadas a la tradición oral y a la experiencia directa, de tal suerte que el conocimiento al no estar sistematizado ni documentado, es imposible que sea asimilado en su totalidad por la organización y el personal que labora en ella, de manera tal que con el tiempo se va perdiendo la riqueza del aprendizaje y peor aún, quedando bajo el peligro del olvido, además que será frecuente que se cometan los mismos errores en la posteridad.
Por lo que respecta a la segunda hipótesis de trabajo también se acepta, pues es la innovación el factor predominante en la empresa estudiada, recordemos que la innovación la definimos como la voluntad de la organización para experimentar y correr riesgos, y que está formada por la voluntad de experimentar y el atrevimiento de correr riegos.
Al respecto podemos comentar que para muchos de los micro y pequeños empresarios que inician su negocio, es toda una aventura nueva, pues además de empezar a realizar una actividad nueva, muchos de ellos invierten parte importante de su patrimonio, de manera tal que la interpretación de innovar está ligado al atrevimiento de correr el riesgo de operar un negocio. Como dato complementario al comentario anterior, de las unidades empresariales estudiadas, resalta que el 72% fueron microempresas y el 21% pequeñas, esto confirma lo asentado, además que las innovaciones que realizan consisten en mejorar lo que ya saben hacer y lo van mejorando poco a poco.
En lo concerniente a la tercera hipótesis de trabajo; el liderazgo de aprendizaje influye en el desempeño del negocio. Al respecto podemos comentar que de acuerdo a los resultados encontrados, encontramos evidencia estadística significativa referente a esa influencia del liderazgo de aprendizaje en el desempeño del negocio. Lo anterior es explicable, pues quienes inician o invierten en un negocio de manera natural se convierten en sus dirigentes, y son ellos quienes a final de cuentas quienes deciden el rumbo que tomará el negocio, que estrategias pondrán en práctica para atender las demandas del mercado, y son ellos los que deciden como enfrentar a la competencia, pues de acuerdo a Bamiatzi y Kirchmaier (2012) y Wang y Zhang (2009), son a quienes más les importa un desempeño positivo del negocio, es decir con aceptación en el mercado y con utilidades adecuadas.
No debemos de olvidar que el liderazgo es un proceso de influencia, donde intervienen diferentes factores y donde el líder es principal interesado en la consecución de una meta, así como en el desarrollo y crecimiento de las personas que componen su grupo de trabajo, de manera tal que si quiere orientarlas a la innovación y la competitividad, el líder debe de establecer un vínculo directo y cercano con cada uno de sus seguidores, que le permita potenciar las capacidades de las personas a través del reconocimiento de sus competencias, sus necesidades, motivaciones, intereses y todo aquello que los hace únicos, no debemos olvidar que el líder es quien inspira a los subordinados y, por ende a la organización a que alcance de mejor manera los objetivos que planteo con antelación.
Ciertamente que ligado al desempeño del negocio está su permanencia en los mercados de trabajo, y que está variable se constituye por dos factores, la innovación y la competitividad, en los resultados encontrados en las empresas bajo estudio, resultó ser la innovación el factor predominante en este rubro.
Como parte final del presente estudio y a la luz de los resultados encontrados, podemos hacer dos reflexiones.
1. La influencia que el líder ejerce sobre sus subalternos y sobre el desempeño del negocio es indudable, de donde se desprende la importancia que los dirigentes de las empresas se formen en los menesteres administrativos y de liderazgo, pues de las decisiones que tomen, dependerá el desempeño que el negocio tenga en los mercados.
No debemos de olvidar que en la actualidad, las empresas se enfrentan a una competencia más intensa que en antaño, que las reglas actuales de los mercados exigen que las empresas sean más competitivas e innovadoras, si es que quieren tener un buen desempeño, de manera tal que requieren estar más preparados, experimentar nuevas cosas, pero sobre todo ser más visionarios, si es que quieren que el negocio se desarrolle.
2. Derivado de lo anterior se desprende la segunda reflexión, las Universidades y particularmente las que se dedican a la formación de personas en el ámbito de los negocios, deben de entender y poner en práctica la corresponsabilidad, estableciendo una vinculación más cercana con las empresas y los empresarios, para buscar formarlos no solo en los temas técnicos de los negocios, sino además en el tema de liderazgo y dirección de las empresas, para que de una forma eficiente se logren mejores desempeños en los negocios, se abata la mortandad empresarial tan alta que ahora se padece, y se busque formar a líderes de aprendizaje, que puedan enfrentar los retos de una nueva era, la era del conocimiento, que es la que vivimos en la actualidad.
Referencias
Achen, C. H. (1982). Interpreting and using regression. Thousand Oaks: SAGE Publications.
Antonakis, J., & House, R. J. (2002), The full-range leadership theory: The way forward. Transformational and charismatic leadership: The road ahead, 2, 3-34
Bamiatzi, Vassiliki & Kirchmaier, Tom (2014). Strategies for superior performance under adverse conditions: A focus on small and medium-sized high-growth firms. International Small Business Journal, 32(3), 259-284.
Barraza-Macías, A. (2007) ¿Cómo valorar un coeficiente de confiabilidad?, Investigación Educativa Duranguense, 6, 6-10.
Bauman, Z. (1999). La globalización: consecuencias humanas. México: Fondo de Cultura Económica.
Beltrán Neira, R J; (2015). Fuerza innovadora. Revista Estomatológica Herediana, 25() 177-178. Recuperado de http://redalyc.org/articulo.oa?id=42154226000
Benito, P. (2001). R&D productivity and spillovers at the firm level: evidence from Spanish panel data. Investigaciones Económicas, 25(2), 289-313.
Becerra, D. P. P. (2010). La globalización y el crecimiento empresarial a través de estrategias de internacionalización. Pensamiento & Gestión, (28), 171-195.
Bennis, W., & Nanus, B. (1985), The strategies for taking charge, New York: Harper Row.
Boyett, J., & Boyett, J.T. (1999), Hablan los gurús: las mejores ideas de los máximos pensadores de la administración, México: Editorial Norma.
Bohmer, R. & Edmonson, A. (2001).Organizational Learning in Health Care. Health Forum Journal. 44 (2), 72-93.
Bower, J. (1995). Oficio y arte de la Gerencia. Volumen I. Bogotá: Grupo Editorial Norma.
Burns, J. M.(1978), Leadership, New York: Harper and Row Publishers.
Burns, J. M.(2003), Transforming leadership: A new pursuit of happiness, New York: Grove Press.
Castro Ríos, G A; Contreras Torres, F V; (2013). Liderazgo, poder y movilización organizacional. Estudios Gerenciales, 29() 72-76. Recuperado de http://www.redalyc.org/articulo.oa?id=21228397008
Coutois, G.(1963), El arte de dirigir, Madrid: Ediciones Promesa, S.A.
Conger, J. A., Kanungo, R. N., & Menon, S. T.(2000), Charismatic leadership and follower effects. Journal of Organizational Behavior, 21 (7), 747-767.
Covin, J. & Slevin, D. (1989). Strategic Management of Small Firms in Hostile and Benign Environments. Strategic Management Journal, 10(1), 75-87.
Botero Pinzón, L D. (2014). Internacionalización y Competitividad. Revista Ciencias Estratégicas, 22() 187-196. Recuperado de http://redalyc.org/articulo.oa?id=151339264001
Daft R., (2006). La experiencia del liderazgo, México: Thompson Editores Internacional S.A.
Dallago B. (2003) The importance of Small and Medium Enterprises, U.N. CHRONICLE, United Nations Publications, 4, 213-226.
Del Cid, L. (2008). Racionalidad Económica de las MIPYMES y el comercio informal. Guatemala: Infomipyme.
De Haro García, J.M. y García-Izquierdo M. (2015) Inteligencia emocional y liderazgo transformacional en una muestra de directivos españoles: un estudio exploratorio. Revista Universidad de Pamplona España.
Doraszelski, U., & Jaumandreu, J. (2007). R&D and productivity: estimating production functions when productivity is endogenous. Harvard Institute of Economic Research, Discussion Paper, 2147, 1-55. doi: http://dx.doi.org/10.2139/ssrn.1080306
Downton, J. V. (1973), Rebel leadership: Commitment and charisma in the revolutionary process. New York: Free Press.
Fernández González, J P; (2013). Alpina: un caso de innovación para la competitividad. Revista de Ingeniería, () 78-85. Recuperado de http://www.redalyc.org/articulo.oa?id=121028408012
Fluviá-Font, M. (1990). Capital tecnológico y externalidades: un análisis de panel. Investigaciones Económicas, 15, 167-172.
Gómez, J.G.I. (2008). La Generación de Conocimiento Organizacional en la Micro, Pequeña y Mediana Empresas de Durango. Durango: Editorial UJED.
Gómez, J.G.I. Villarreal M.D. y Villarreal F.M. (2014). Las incapacidades de aprendizaje organizacional y su relación con los estilos de aprendizaje organizacional en la MIPyME de la ciudad de Durango, México. Contaduría y Administración, 60(3), 686-702.
Gonzales, C., Espilco, L., & Aragón, E. (2003). Análisis de estrategias competitivas en sectores industriales del Perú. Industrial Data, 6 (2), 88-93.
Gooderham, P. N. (2007), Enhancing knowledge transfer in multinational corporations: a dynamic capabilities driven model. Knowledge Management Research and Practice, 5(1), 34-43.
Grandón, V., & Rodríguez-Romero, L. (1991). Capital tecnológico e incremento de productividades en la industria española, 1975-1981. Investigaciones Económicas, 15,19-24.
Guapatin, C. (2003). Observatorio MIPYME: Compilación de estadística para 12 países de la Región. Banco Interamericano de Desarrollo.
Gutfraind, J. (2007). Tributación del PYMES en Uruguay. Memorias del XIV Seminario CILEA.
Hair, J. F., Anderson, R. E., Tatham, R. L., & Black, W. C. (2005).Data analysis with readings. New Jersey: Prentice Hall International.
Hernández, R, Fernández, C. & Baptista, P., (2006), Metodología de la Investigación, México: McGraw Hill.
INEGI (2006), Perspectiva económica de Durango. México: Publicaciones del INEGI.
INEGI (2014) Estudio de la Micro, pequeña y mediana empresa en Durango. México: Publicaciones del INEGI.
INEGI (2015). Esperanza de vida de las empresas en México, recuperado de: http://www.inegi.org.mx/inegi/contenidos/investigacion/Experimentales/Esperanza/default.aspx
INEGI (2015), Directorio Estadístico Nacional de Unidades Económicas, disponible en www.inegi.org.mx/est/contenidos/proyectos/denue/presentacion.aspx
Lind, D. A., Marchal, W. G., & Wathen, S. A. (2005). Statistical techniques in business & economics. New York: McGraw Hill.
Loaiza, C. T., & Pirela, L. (2015). Liderazgo en organizaciones venezolanas. Revista venezolana de gerencia, 20 (69), 152-171.
López-Pueyo, C. & Sanaú-Villarroya, J. (1998). Capital tecnológico y productividad en la industria española. Ponencia presentada en el I Encuentro de Economía Aplicada.
Lumpkin, G. & Dess, G. (1996). Clarifying the entrepreneurial orientation construct and linking it to performance. Academy of Management Review, 21(1), 135-172.
Lussier, R. & Achua, C. (2002). Liderazgo: Teoría, aplicación, desarrollo de habilidades. México: Thomson Learning.
Molina Peralta, Nelly; (2015). Conocimiento, preámbulo de competitividad. Revista Mexicana de Economía y Finanzas. Nueva Época / Mexican Journal of Economics and Finance, Julio-Diciembre.
Palomo Garrido, A. (2011). La globalización y su renombre. Nómadas, () Recuperado de http://www.redalyc.org/articulo.oa?id=18120706015
Porter, M. (1982). Estrategia competitiva: técnicas para el análisis de los sectores industriales y de la competencia. México: Compañía Editorial Continental.
Porter, M. (1990) The Competitive Advantage of Nations. New York: The Free Press.
Porter, M. (1999). Estrategia competitiva: técnicas para el análisis de los sectores industriales y de la competencia. México: Compañía Editorial Continental.
Pereira Santana, A. E. (2014) Liquid leadership: a proposal to face uncertainly and risk. Penasamiento y Gestión, N° 37 ISSN 1657-6276
Prater, E. & Ghosh, S. (2005). Current Operational Practices of U.S Small and Medium-Sized Enterprises in Europe. Journal of Small Business Management. 43 (2) 155-179.
Ramírez Méndez, G A; (2013). Liderazgo organizacional. Un desafío permanente. Universidad & Empresa, 15() 5-11. Recuperado de http://www.redalyc.org/articulo.oa?id=187229746001
Sánchez-Soto, G. A., & Valdés-Díaz de Villegas, J. A. (2012). Las mipymes en el contexto mundial: sus particularidades en México. Iberóforum. Revista de Ciencias Sociales de la Universidad Iberoamericana, 7(14) 126-156.
Sánchez Tabarés, Ramón (2008), El estado en la globalización Revista de Economía Mundial [en linea]: [Fecha de consulta: 29 de febrero de 2016] Disponible en: ISSN 1576-0162.
Sánchez-Reyes, J B y Barraza-Barraza, L (2015). Percepciones sobre liderazgo. Ra Ximhai, 11() 161-170. Recuperado de http://www.redalyc.org/articulo.oa?id=46142596010
Safferstone, M. J. (2005), Organizational leadership: Classic works and contemporary perspectives, CHOICE: Current Reviews for Academic Libraries, 42, 959-975.
Schumpeter, J. A. (1939). Business cycles . New York: McGraw-Hill.
Silveira, L; Horta, R; Camacho, M; (2015). Competitividad e innovación en la industria manufacturera en el Uruguay. Revista Iberoamericana de Ciencia, Tecnología y Sociedad CTS, 10() 1-24. Recuperado de http://www.redalyc.org/articulo.oa?id=92433772002
Toledo López, A; Mendoza Ramírez, L; (2014). Orientación estratégica y desempeño de negocios artesanales afectados por crisis en Oaxaca, México. Revista Venezolana de Gerencia, 19() 43-65. Recuperado de http://www.redalyc.org/articulo.oa?id=29030101009
Turbay-Posada, M J; (2013). Liderazgo e innovación organizacional. Psicología desde el Caribe, 30() vii-ix. Recuperado de http://www.redalyc.org/articulo.oa?id=21328600001
Valenzuela B., A; Valenzuela B, R; (2015). La innovación en la industria de alimentos: Historia de algunas innovaciones y de sus innovadores. Revista Chilena de Nutrición, 42() 404-408. Recuperado de http://redalyc.org/articulo.oa?id=46943554013
Venkatraman, N. (1989). Strategic orientation of business enterprises: the construct, dimensionality, and measurement. Management Science, 5(8), 942-962.
Villarreal-Solís, F.M., Villarreal Solís, M.D., & Gómez-Romero, J.G.I., (2013) Génesis y desarrollo del empresario en Durango. Ponencia presentada en el XVII Congreso Internacional de Investigación en las Ciencias administrativas de la Academia de Ciencias Administrativas.
Wang, Yonggui & Zhang, Xiao (2009). Operationalization of corporate entrepreneurship and its performance implications in China. Journal of Chinese Entrepreneurship, 1(1), 8-20
Willis, K. (1979). The role in parliament of the economic ideas of Adam Smith, 1776–1800. History of Political Economy, 11(4), 505-544.
Yeung, A., Ulrich, D., Nason, S. & Von Glinow, M. A. (2000). Las Capacidades del Aprendizaje en la Organización: Como Aprender a Generar Ideas con Impacto. México: Oxford University Press.
Notas de autor
Información adicional
JEL: L19, M12