Ahorro, retiro y pensiones: ¿Qué piensan los jóvenes adolescentes del ahorro para el retiro?
Savings,retirement and pensions: What do young adolescents think of saving for retirement?
Ahorro, retiro y pensiones: ¿Qué piensan los jóvenes adolescentes del ahorro para el retiro?
Investigación Administrativa, vol. 48, núm. 122, 2018
Instituto Politécnico Nacional
Resumen: El objetivo del artículo es conocer qué piensan los jóvenes sobre el ahorro para el retiro e identificar cuáles son los factores determinantes que inciden para que decidan ahorrar. El método utilizado fue un modelo de elección discreta binaria. Los resultados muestran que los jóvenes (entre 14 y 21 años) no han pensado en su retiro, ni mucho menos en el ahorro para el futuro. Un hallazgo relevante del estudio es que los motivos para ahorrar por género son diferentes, ya que los hombres ahorran parte de su dinero para gastarlo en el corto plazo, sobre todo cuando tienen una relación de noviazgo, a diferencia de las mujeres que lo hacen para comprar algún bien duradero que les será de utilidad para el largo plazo. La principal limitación reside en los datos, ya que al ser este estudio de corte transversal no se pueden realizar inferencias causales.
Palabras clave: Ahorro, Ingreso, Gasto, Modelo Logit.
Abstract: The aim of the article is to find out what young people think about retirement savings and identify the determining factors that influence their decision to save. The method used was a discrete binary choice model. The results show that young people (between 14 and 21 years old) have not thought about their retirement, let alone saving for the future. One relevant finding of the study is that the reasons for saving by gender are different, as men save part of their money to spend in the short term, especially when they have a dating relationship, as opposed to women who do so to buy some durable good that will be useful for the long term. The main limitation resides in the fact that is cross-sectional data, no causal inferences can be made.
Keywords: Saving, Income, Spending, Logit model.
Introducción
En recientes años, el tema de la educación financiera ha tenido una participación creciente en el ámbito académico y empresarial en México. García et al. (2013) señalan que la cultura financiera de los mexicanos es insuficiente y que el país tiene uno de los niveles más bajos en comparación con otras naciones de América Latina. Hablar de la cultura financiera de un mexicano es hablar de un tema muy complejo debido a que se considera que más del 55 por ciento de la población vive en pobreza, es decir, que uno de cada dos mexicanos es pobre (CONEVAL, 2015). Por lo tanto, eso significaría que más de la mitad de la población no podría ahorrar, aunque quisiera.
De acuerdo con la Organización para la Cooperación y el Desarrollo Económicos (OCDE, 2005), la Comisión de la Educación Financiera de Estados Unidos (FLEC, 2006), la Autoridad de Servicios Financieros del Reino Unido (FSA, 2007) y el Banco del Ahorro Nacional y Servicios Financieros (BANSEFI, 2015), los gobiernos de los países en desarrollo deben fomentar en sus ciudadanos una adecuada cultura financiera, entendiendo esta noción como aquellas habilidades, conocimientos y prácticas mediante las cuales los ciudadanos adquieran una mejor comprensión de los conceptos y productos financieros, a la vez que desarrollan las habilidades necesarias para tomar decisiones informadas, evaluar riesgos y oportunidades financieras y mejorar su bienestar. Es decir, se trata de buscar, a través de la mejora de políticas públicas en la educación y servicios financieros, una correcta administración de lo que se gana y se gasta, así como un adecuado manejo de los productos financieros para tener una mejor calidad de vida en el ámbito laboral y al momento del retiro.
En este mismo sentido, la Comisión Nacional para la Protección y Defensa de los Usuarios de Servicios Financieros (CONDUSEF, 2016) sostiene que todo mexicano tiene el derecho de recibir una educación financiera, la cual le debe permitir adquirir conocimientos, habilidades y capacidades para la buena toma de decisiones en cuanto al manejo de recursos, productos y servicios financieros. Esto implica que toda persona tiene el derecho de contar con información financiera para mantener sus finanzas personales sanas centrándose en una administración eficiente de sus ingresos y egresos que le permita hacer frente a imprevistos o formar un patrimonio.
Desde este contexto, el estudio analiza la importancia de concientizar a los jóvenes adolescentes para que adquieran adecuados hábitos de ahorro, ya que ellos tienen por delante un enorme reto debido a que son los agentes capaces de detonar el crecimiento económico y social de una región determinada. Sin embargo, la Comisión Nacional del Sistema de Ahorro para el Retiro (CONSAR, 2017) señala que las nuevas generaciones de jóvenes, o millennials, están muy despreocupadas del retiro laboral y, por tanto, no cuentan con una visión de desarrollo profesional ni con un plan de vida para la jubilación, ya que prácticamente gastan todos sus recursos en el presente, sin importar lo que pueda suceder en el futuro.
Sin duda alguna, el desafío de la juventud de México es complicado; no obstante, los jóvenes cuentan con grandes oportunidades para enfrentarlo. Hoy en día, los jóvenes tienen niveles de educación más altos que en décadas pasadas y se adaptan fácilmente a las nuevas tecnologías de producción, comunicación, manejo y procesamiento de información cuyo conocimiento y uso serán clave para el desempeño del país.
Por otra parte, en los últimos años se ha desarrollado una gran variedad de estudios en México que señalan la importancia del ahorro en relación con el crecimiento de la economía, ya que el ahorro es un determinante clave en la formación de capital e inversión. Sin embargo, los trabajos consultados analizan específicamente los temas del ahorro en los gastos, del consumo y del ingreso en los hogares, familias, adultos mayores y gobiernos (Aguilar y Valles, 2015; Attanasio y Székely, 1999; Nava, et al. 2014; Rutherfor, 2000; Solís y Villagómez, 1999; Villagómez, 1993 y 2014). En la teoría económica convencional se sostiene que la aceleración del crecimiento económico de una región está determinada por su ahorro, ya que altas tasas conllevan un incremento significativo de la inversión y, por tanto, habrá crecimiento (Harrod, 1939 y Domar, 1946). Por su parte, Mankiw (1997) y McEachern (1998) señalan que la acumulación de capital no sólo asegura el crecimiento de las familias sino que además puede constituir la estabilidad del sistema económico de una región.
Entre los jóvenes adolescentes el término de cultura financiera o hábitos de ahorro es considerado aburrido y de difícil interpretación, ya que erróneamente existe el paradigma de que este tema es solamente para aquellas personas que estudian economía y finanzas. Esta forma de pensar pone en riesgo la calidad de vida de la juventud en el largo plazo, ya que, sin duda, debe ser un asunto que nos debería interesar a todos sin importar la edad, profesión o nivel económico o social debido a que contar con una cultura financiera apropiada permite educar y preparar a los jóvenes para vivir el día de mañana de forma independiente, y seguramente les ayudará a cumplir metas con base en decisiones informadas, tal como la adquisición de una vivienda, crear una empresa o prepararse para la jubilación.
En este sentido, en el presente trabajo se pretende dar a conocer qué piensan los jóvenes adolescentes del ahorro para el retiro y cuáles son los factores o hábitos determinantes que inciden para que decidan ahorrar. A partir de estas interrogantes, el presente estudio muestra empíricamente las principales alternativas y hábitos de ahorro e inversión para los jóvenes adolescentes de la ciudad de Monterrey, Nuevo León, en México, ya que, se reconoce, el ahorro y contar con una cultura financiera desde temprana edad son esenciales para el buen uso de las diferentes herramientas financieras a las que los jóvenes pueden acceder hoy en día y que este hecho, a su vez, conlleva la buena toma decisiones en el largo plazo. Asimismo, se evalúa la percepción de los jóvenes sobre este tema, identificando los principales motivos para ahorrar, así como las razones para no hacerlo.
En la ciudad de Monterrey, los estudios sobre la percepción de los jóvenes adolescentes sobre el ahorro para el retiro son pocos; en el estado de Nuevo León se carece de programas que promuevan una educación financiera, principalmente entre adolescentes. De ahí el interés por hacer una aportación a la investigación de estos temas que sirva para planear y construir oportunamente la situación económica futura de esta generación. En este caso se utiliza un modelo de elección discreta binaria (Logit), el cual permite obtener estimaciones de la probabilidad y expectativa de continuar con el hábito de ahorro una vez que los jóvenes adolescentes conozcan el beneficio de llevarlo a cabo. La hipótesis que intentamos probar es que los jóvenes adolescentes no tienen buenos hábitos de ahorro, lo cual se debe, en mayor medida, a la falta de información, al entorno socioeconómico de sus familias y del mismo adolescente, así como a la poca atención que el gobierno ha dado a proyectos sobre la cultura financiera.
Revisión de literatura
Sin duda alguna, el tema del ahorro para el retiro en los países en desarrollo ha adquirido una mayor relevancia entre los académicos y gobiernos, ya que su impacto a nivel personal, familiar y empresarial puede traer consigo una mejora en el crecimiento económico de una nación. Si bien es cierto que el ahorro genera inversión, no hay que olvidar que dicho hábito será de gran apoyo para un bienestar futuro, ya sea de manera personal o global. En otras palabras, los efectos del ahorro se pueden analizar desde las perspectivas del consumo y gasto de los hogares, así como desde las implicaciones que pueden conllevar en las políticas públicas de una nación.
En este sentido, Feldstein y Liebman (2001) y Galasso et al. (2008) sostienen que el ahorro para el retiro puede interpretarse desde dos enfoques: desde el punto de vista respecto al diseño de política económica y sobre las decisiones o motivos de ahorro que tienen los individuos para el largo plazo. El primero de estos consiste en el hecho de que los individuos reaccionan ante los beneficios ofrecidos por el sistema de seguridad social cambiando constantemente sus decisiones de cuánto y cómo ahorrar para cuando llegue su retiro. Mientras que las decisiones de ahorro de largo plazo tienen efectos sobre las tendencias demográficas y el proceso de desarrollo económico de una nación.
A nivel internacional, en la discusión teórica sobre los factores que influyen en los hábitos de ahorro para el retiro ha habido diversos debates conceptuales y metodológicos, ya que son muchas las corrientes económicas que pueden argumentar o respaldar las diferentes formas de identificar y cuantificar los determinantes y las consecuencias del ahorro desde una perspectiva macroeconómica o microeconómica. Desde la perspectiva macroeconómica se destacan algunos trabajos clásicos como los de Cárdenas y Escobar (1997), Ocampo y Tovar (1997) y López y Ortega (1998). Estos autores consideran que para medir la tasa de ahorro de una nación es necesario tener en cuenta el proceso de globalización; es decir, la apertura comercial y económica que tenga un país influye directamente en el ahorro de las personas. Asimismo, si se da un incremento en los impuestos o aranceles de los bienes de consumo y servicios, se afectan las decisiones de ahorro. Por otro lado, desde la perspectiva microeconómica, en los estudios sobre el ahorro éste se explica por el comportamiento de las decisiones de los individuos, los hogares o las empresas controlándolas por características o variables sociodemográficas y socioeconómicas, tales como: ingreso salarial, escolaridad, edad, estado civil, familia, riesgo moral, capital, consumo, ocio, entre otras (Castañeda, 2002; Melo et al., 2006 & Tovar, 2008).
Otros estudios como el de Yao y Cheng (2017) señalan que en Estados Unidos de América los jóvenes con la categoría de millennials son el grupo más grande de ese país y que en comparación con las generaciones pasadas, conformadas por sus padres y abuelos, deben asumir una mayor responsabilidad para prepararse financieramente para la jubilación. Sin embargo, los autores encuentran que la mayoría de estos jóvenes no posee una cuenta designada para el retiro, a pesar de que sí conoce los beneficios de tenerla (cultura financiera). Los principales factores que afectan el comportamiento o hábitos de ahorro de esta generación para la jubilación son la edad, educación, ingresos y activos totales del hogar, tenencia laboral, trabajo por cuenta propia, tener un motivo de ahorro para la jubilación, tener un plan de beneficios definido, gastos excesivos y tolerancia al riesgo. En este mismo sentido, Finke y Huston (2013) encuentran que los jóvenes estudiantes muestran comportamientos guiados por la sustitución de la utilidad intertemporal, es decir, la muestra de los jóvenes recabada por los autores prefiere el consumo de bienes y productos en el tiempo presente que el consumo futuro. Dicho de otra manera, los jóvenes dan más importancia a consumir “ahora” que en el “futuro” e, incluso, a un consumo más allá de su ingreso.
Por otro lado, el estudio de Rolison et al. (2017) en Reino Unido muestra, con un par de casos de estudio, que un grupo (grupo 1) de personas que recibe orientación financiera desde temprana edad tiende a ahorrar para el futuro y valora el hecho de que, si contribuye más al ahorro para el retiro o jubilación en el largo plazo, se estará más tranquilo en comparación con no haberlo hecho. Mientras que el otro grupo sujeto de estudio (grupo 2) sólo llegó a la reflexión sobre los gastos futuros que se avecinaban si no ahorraba para su retiro, lo que aumentó la cantidad de personas que estaban dispuestas a ahorrar para minimizar lo que se expuso (consecuencias de no prepararse para el retiro) por no llevar un buen control de ahorro para su jubilación con un fondo de seguridad social.
Entre los estudios sobre la cultura financiera o de ahorro para México se encuentran los de Daniel (2014) y Vega et al. (2016), los cuales señalan, en términos generales, que los mexicanos no cuentan con una cultura de ahorro y que muchas veces tienen desconocimiento financiero sobre el sistema de ahorro para el retiro. Asimismo, advierten que en México se desconoce el procedimiento para la determinación de una pensión, así como, lo más importante, el hecho de que se pueden realizar aportaciones voluntarias que permitirán tener un mayor ingreso al momento del retiro.
En este mismo sentido, el estudio de Raccanello y Herrera (2014) demuestra que la falta de conocimientos en finanzas (o educación e inclusión financiera) propicia que los individuos tiendan a tomar decisiones inseguras sobre el ahorro, ya que el desconocimiento de los instrumentos o activos financieros impide que estos sean empleados para el ahorro y la generación de ingresos futuros. Por lo tanto, los individuos se endeudan y realizan nulas inversiones, actos que no son los más adecuados financieramente y perjudican el bienestar de la familia, tanto en el presente como en el momento de retirarse de la vida laboral.
En este mismo contexto, Viezcas y Nava (2012) determinan que el sistema de ahorro para el retiro en México está diseñado como un apoyo económico para los trabajadores al momento de su jubilación; sin embargo, no está diseñado para ser el único sustento del jubilado y su familia. Además, los autores concluyen que las razones por las que los trabajadores no realizan un ahorro para el retiro tienen que ver con una combinación de factores entre los que destacan el desinterés, la falta de conocimiento y una cultura de ahorro y manejo no sano de las finanzas personales; es decir, los individuos no ahorran porque no les alcanza para el sustento diario, motivo por el cual, no ahorran como quisieran. Al respecto, Kato (2008) sostiene que uno de los principales problemas que enfrenta el sistema de pensiones para el retiro en México es la cobertura de los trabajadores por parte de alguna institución o Administradora de Fondos para el Retiro (AFORE) que les brinde seguridad social y financiera en el presente y futuro. El autor señala que desde hace una década se ha propuesto que el sistema nacional de pensiones integre aportaciones voluntarias, portabilidad de los fondos y cobertura para los trabajadores independientes; no obstante, los logros en esta dirección aún son limitados.
Damián (2016), Leal (2013), Kato (2013) y Vásquez (2013) sostienen que existen otras dificultades y riesgos que persisten en la seguridad social de los mexicanos y, por ende, esto se refleja en un deficiente sistema de pensiones. Ejemplo de ello sería la baja tasa de creación de puestos de trabajo, de los cuales solamente una fracción corresponde a ocupaciones con prestaciones laborales raquíticas e inconsistentes. Adicionalmente, se observa que la mayoría de los trabajadores percibe bajos niveles de ingreso y que conforme aumenta la edad de las personas crece la dificultad para obtener un trabajo. Aunado a ello, actualmente la participación gubernamental hacia la población abierta consiste en otorgar una pensión universal en montos relativamente bajos. Los autores coinciden en que la transición demográfica de México en años recientes ha provocado un cambio sustancial en la estructura de su población y se observa un proceso de envejecimiento que se agudizará durante las próximas décadas, lo cual plantea serios dilemas, riesgos y crisis en los sistemas públicos de pensiones, pues el gasto pensionario acumulado presionará las finanzas públicas a grado tal de restringir la capacidad del Estado para atender otras demandas sociales.
De acuerdo con lo anterior, se puede señalar que los estudios referidos mostraron que el tema del ahorro para el retiro puede ser abordado desde diferentes enfoques: microeconómico y macroeconómico. Sin embargo, se puede apreciar que existe poca literatura que aborde este tema desde el punto de vista de los jóvenes adolescentes, motivo por el cual, la presente investigación tiene la finalidad de aportar a estos temas para promover la cultura del ahorro en las nuevas generaciones. A continuación, se explica brevemente el modelo que se sigue en esta investigación para cuantificar los principales factores determinantes de ahorro en los jóvenes adolescentes en Monterrey, Nuevo León, México.
Datos
Para poder determinar la percepción de los factores que inciden en el hábito de ahorro entre los jóvenes adolescentes[1] de la ciudad de Monterrey, el Centro de Desarrollo Empresarial (CEDEEM) de la Universidad Autónoma de Nuevo León (UANL) diseñó una encuesta semiestructurada, aplicando la técnica de entrevista directa a los jóvenes que conforman la región objeto de estudio durante el tercer trimestre del año 2016. Asimismo, se realizó un muestreo no probabilístico que combina el muestreo por cuotas y el casual o incidental.
Posteriormente, se realizaron 3,042 encuestas en la salida de escuelas de educación media y superior de Monterrey. Los ítems en el cuestionario fueron considerados por secciones: en la primera sección se preguntó por el municipio en donde radica, lugar de origen, género, edad, semestre, carrera, trabajo, escolaridad del padre de familia y número de integrantes de la familia; en la segunda sección se cuantificaron los hábitos de ahorro, monto o ingreso que percibe por parte de su familia o trabajo, información financiera (instrumentos de ahorro o inversión), preferencias sobre el lugar para guardar su ahorro, frecuencia del ahorro, gastos y consumo.
Para alcanzar el objetivo del estudio y poder determinar los motivantes de los jóvenes adolescentes para ahorrar parte de su dinero, será necesario establecer una variable dependiente de tipo dicotómica donde 1 indica si el joven adolescente ahorró en algún momento del año y 0 indica que no, mientras que las variables independientes[2] serán aquellas principales razones de porqué lo hicieron (véase Cuadro 1).
| Categoría | Variable | Descripción |
| Ahorro | Ahorro | Si el joven adolescente ahorró en el año Variable dummy: 1 = Sí, 0 =No |
| Edad | Edad | La edad del joven adolescente en años |
| Edad2 | La edad del joven adolescente al cuadrado | |
| Genero | Sexo | Variable dummy: 1 = Hombre, 0 = no |
| Escolaridad | Edu_Media | Variable dummy: 1 = Educación media superior, 0 = no |
| Edu_Superior | Variable dummy: 1 = Educación superior, 0 = no | |
| Edu_Total Grado de escolaridad promedio en años | ||
| Situación sentimental | Tiene relación | Variable dummy: 1 = Si el joven adolescente tiene una relación sentimental, 0 = no |
| Empleo | Trabajo | Variable dummy: 1 = Si el joven adolescente tiene un trabajo de medio tiempo, 0 = no |
| Desgracia | Emergencia | Variable dummy: 1 = Si el joven adolescente ahorra para una emergencia, 0 = no |
| Construir | Comprar_Patrimonio | Variable dummy: 1 = Si el joven adolescente ahorra para comprar una propiedad como casa o departamento, 0 = no |
| Emprendimiento | Negocio | Variable dummy: 1 = Si el joven adolescente ahorra para poner un negocio, 0 = no |
| Jubilación | Retiro | Variable dummy: 1 = Si el joven adolescente ahorra para prepararse para el retiro, 0 = no |
| Ocio | Vacaciones | Variable dummy: 1 = Si el joven adolescente ahorra para vacaciones, 0 = no |
| Cultura financiera | Inversión | Variable dummy: 1 = Si el joven adolescente ahorra para invertir en algún instrumento financiero, 0 = no |
| Medio de transporte | Comprar_Auto/moto | Variable dummy: 1 = Si el joven adolescente ahorra para comprar un auto o una moto, 0 = no |
| Productos | Bienes | Variable dummy: 1 = Si el joven adolescente ahorra para comprar ropa, electrónica, celulares o cualquier otro accesorio, 0 = no |
| Carrera | Estudios | Variable dummy: 1 = Si el joven adolescente ahorra para pagar sus estudios, 0 = no |
El análisis descriptivo de las variables antes mencionadas –sin distinción de género– se muestra en el Cuadro 2; en éste se aprecia que las cifras de 2016 destacan en promedio y que el 92.3% de los jóvenes adolescentes ha ahorrado parte de su ingreso –aquellos que trabajan– o dinero –aquellos que lo obtienen de otra forma, por ejemplo, de sus padres. Asimismo, se observa que la edad promedio de los jóvenes adolescentes en el periodo de estudio fue de 19 años.
De acuerdo con los datos del CEDEEM, los jóvenes adolescentes del sexo femenino fueron quienes más ahorraron en el año con 71.1%, mientras que los hombres repuntaron su interés hasta con un 49.3%. Además, es posible observar que la mayor parte de los jóvenes adolescentes declaró estar en educación media superior (en promedio, 27.4%) y el 20.4% en educación superior. No obstante, el grado promedio de escolaridad alcanzada en la muestra fue de 13 años, lo que equivale a los primeros años de estudios en la educación superior.
Respecto a la situación sentimental de los jóvenes adolescentes, para el periodo de estudio se aprecia que el 61.7% se encontraba en una relación. Dicha característica se puede interpretar como una razón significante para no poder ahorrar –como ellos quisieran. Cabe añadir que tener una relación sentimental obliga a un 3.8% de los jóvenes adolescentes a conseguir un trabajo temporal o por horas para complementar sus gastos y ahorro.
| Variables | Media | Desviación típica | Mínimo | Máximo |
| Ahorro | .923 | .2659 | 0 | 1 |
| Edad | 18.7 | 1.336 | 14 | 21 |
| Edad2 | 352.2 | 50.510 | 196 | 441 |
| Sexo | .453 | .4978 | 0 | 1 |
| Edu_Media | .274 | .4460 | 0 | 1 |
| Edu_Superior | .204 | .4033 | 0 | 1 |
| Edu_Total | 12.9 | 2.011 | 10 | 16 |
| Tiene_Relación | .617 | .4861 | 0 | 1 |
| Trabajo | .038 | .1915 | 0 | 1 |
| Emergencia | .068 | .2529 | 0 | 1 |
| Comprar_Patrimonio | .001 | .0313 | 0 | 1 |
| Negocio | .245 | .4303 | 0 | 1 |
| Retiro | .090 | .2868 | 0 | 1 |
| Vacaciones | .120 | .3257 | 0 | 1 |
| Inversión | .002 | .0479 | 0 | 1 |
| Comprar_Auto/moto | .201 | .4012 | 0 | 1 |
| Bienes | .052 | .2239 | 0 | 1 |
| Estudios | .003 | .0543 | 0 | 1 |
De igual manera, se puede observar que respecto a las principales razones o motivos por los cuales los jóvenes adolescentes ahorran parte de su ingreso o dinero, la mayoría argumenta que lo hace para poner un negocio (24.5%), seguido de comprar un automóvil o motocicleta (20.1%), salir de vacaciones o viajar (12%) y, en última instancia, se encuentra la opción de comprar un patrimonio (0.1%).
Modelo empírico
En esta sección se presenta el modelo econométrico con el objeto de cuantificar los efectos de las variables explicativas sobre la probabilidad de que un joven adolescente –sea hombre o mujer– haya ahorrado en el periodo de estudio. Para lograr lo anterior, se aplica un modelo de elección discreta binaria (Logit), el cual permite obtener estimaciones de la probabilidad de un suceso, identificar los factores de riesgo que determinan dichas probabilidades, así como la influencia o peso relativo que estos tienen sobre las mismas. Este procedimiento se utiliza cuando el número de alternativas son dos, cualitativas y excluyentes entre sí (Martínez, 2008).
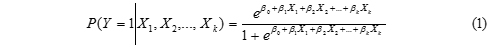
El modelo Logit permite calcular para cada joven de la muestra total de los adolescentes, la probabilidad de ahorrar según sea establecido para la variable dependiente. Por ejemplo, si la probabilidad es alta, se concluye que el ahorro en los jóvenes adolescentes tiene elevadas posibilidades de ocurrir; caso contrario, con valores reducidos de probabilidad (i.e., cercano a cero), las posibilidades de ocurrencia son prácticamente nulas, ya que el valor de corte es 0.50. Pérez (2005) señala que para un vector X = (X1, X2,…,Xn) de variables independientes o explicativas, la probabilidad de ocurrencia del evento se calcula mediante una probabilidad condicional, mediante la expresión:

Donde:

es el término independiente y las

son la combinación lineal de variables independientes.
En otras palabras, la ecuación (1) representa la probabilidad de ocurrencia del ahorro entre los jóvenes adolescentes dadas las características determinadas por las variables independientes (X1, X2,…,Xn) para cada joven en el respectivo año de la muestra de adolescentes, la cual se obtiene mediante una expresión que involucra funciones exponenciales de base “e” (2.7182...). Se observa, entonces, que el denominador de la ecuación es siempre mayor que el numerador, de forma que resulta en todos los casos un valor siempre positivo y menor que la unidad.
En este sentido, con la ecuación (1) puede ser replanteada en una función logística, la cual se desarrolla de la siguiente forma:

A partir de la ecuación (2) los resultados se pueden acotar entre 0 y 1, ya que:

Por lo tanto, el modelo de regresión Logit será de la forma:

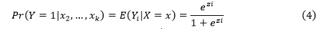
y, dados los valores de las variables independientes x2,…,xk, las probabilidades de que la variable dependiente tome los valores 1 y 0 son:


Por último, los efectos marginales del modelo se calculan partiendo de (3), obteniendo la derivada parcial de las variables, resultando de la siguiente forma:

Resultados
En el Cuadro 3 se presentan los resultados correspondientes a la estimación de un modelo Logit para cuantificar el ahorro que han venido haciendo los jóvenes adolescentes o el hecho de no hacerlo, en la ciudad de Monterrey, en México. Las alternativas que elige el joven adolescente de acuerdo con la encuesta del CEDEEM son: Yi=1, si el joven adolescente ahorró en algún momento del año e Yi=0, si no; mientras que cada uno de los atributos explicativos de las probabilidades de elección se ha incorporado en términos de un conjunto de variables dummies que toman valor de uno si el atributo en cuestión toma una modalidad determinada y de cero en otro caso.[3]
| Variables | Estimaciones | Efectos marginales | ||
| Coeficientes | Odds Ratio | P(Yi=1) | p-value | |
| Edad | 1.433 (1.587) | 0.238 | .092 (.102) | 0.365 |
| Edad2 | -.038 (.042) | 1.039 | -.002 (.002) | 0.354 |
| Sexo | .073 (.147) | 0.928 | .004 (.009) | 0.617 |
| Edu_Media | -.013 (.164) | 0.987 | -.0008 (.010) | 0.937 |
| Edu_Superior | -.138 (.185) | 0.870 | -.009 (.012) | 0.471 |
| Edu_Total | -.027 (.034) | 0.214 | -.1347 (.1143) | 0.239 |
| Tiene_Relación | .445*** (.147) | 1.560 | .030** (.010) | 0.004 |
| Trabajo | .494 (.392) | 1.640 | .026 (.016) | 0.120 |
| Emergencia | 1.406*** (.439) | 4.082 | .056*** (.009) | 0.000 |
| Negocio | .264 (.207) | 1.302 | .016 (.012) | 0.178 |
| Retiro | -.246 (.225) | 0.781 | -.017 (.017) | 0.314 |
| Vacaciones | .893*** (.274) | 2.444 | .043*** (.009) | 0.000 |
| Comprar_Auto/moto | .612** (.221) | 1.845 | .034*** (.010) | 0.001 |
| Bienes | .843** (.390) | 2.323 | .039*** (.013) | 0.002 |
| Estudios | 1.470* (.752) | 0.229 | .175** (.138) | 0.206 |
-Se eliminaron las variables comprar_patrimonio e inversión debido a que no se presentaban los datos suficientes para la corrida del modelo.
En relación con las características individuales usadas como control (Edad, Edad2, Edu_Media, Edu_Superior y Edu_Total), se aprecia que ninguna de las variables resultó ser estadísticamente significativa. Sin embargo, en nuestro análisis por tipo de motivantes se observa que entre las principales razones de los jóvenes adolescentes para ahorrar se encuentran: que tienen una relación, para una emergencia, ir de vacaciones, quieren comprar un auto, una moto, bienes (ropa, celular, accesorios, etcétera) y los estudios. A continuación, se dará la interpretación de manera particular en cada una de estas variables.
En cuanto a la variable “tener una relación” significa que si un joven adolescente tiene un novio(a), incrementa la oportunidad de ahorrar en 1.5 veces que la de aquél que no tiene una relación de noviazgo, manteniendo todos los demás factores constantes. Los resultados también muestran que los jóvenes adolescentes son más propensos a ahorrar para tener dinero en caso de una emergencia (accidente, complementar el ingreso familiar, actividades extraacadémicas, etcétera). Por ejemplo, la estimación de 1.406 indica que los jóvenes adolescentes aumentan en promedio 1.4 unidades, lo que sugiere una relación positiva entre el motivante de ahorro para una emergencia. Esto implica que si un joven adolescente decide ahorrar para una emergencia, su oportunidad de seguir ahorrando es, en promedio, 4.082 mayor que la de uno que no ahorra para esta categoría.
Por su parte, la variable “vacaciones” aumenta en promedio 0.893 unidades, lo que sugiere una relación positiva entre los jóvenes adolescentes que al ahorrar parte de su dinero deciden ocuparlo para salir de viaje o vacacionar. Es decir, los jóvenes adolescentes cuya principal razón son las vacaciones muestran una oportunidad de seguir ahorrando 2.444 veces más que aquellos a quienes no les interesa viajar.
Respecto a las estimaciones de las variables “comprar autos/motos o bienes”, éstas nos permiten conocer si los jóvenes adolescentes se motivaron a ahorrar parte de su dinero en el periodo de estudio; es decir, el impacto positivo y significativo de dichas variables establece que aquellos jóvenes adolescentes que ahorraron parte de su dinero se encuentran motivados para comprar alguno de estos bienes, en promedio, hasta 1.845 y 2.323 veces más que aquellos que no se deciden a ahorrar, respectivamente.
Otro resultado interesante que cabe mencionar es el ligado a los estudios, pues se observa que los jóvenes adolescentes que ahorran parte de su dinero también lo destinan a pagar algunas cuotas en sus centros de estudios (colegiaturas, cursos, seminarios, etcétera). Esto quiere decir que si un joven ha decidido ahorrar, tiene más oportunidad de destinar parte de su dinero a su educación, en promedio, 1.470 más que si no hubiera ahorrado.
En lo que concierne a la interpretación de los efectos marginales destaca que ésta es distinta, ya que los cálculos para los tipos de razones o motivantes para ahorrar dinero por parte de los jóvenes adolescentes es diferente [P(Yi=1)]. Por ejemplo, en el mismo Cuadro 2 se muestran los efectos de las variables explicativas sobre la probabilidad de ahorro según los principales motivos o razones P(Yi=1), por lo que los signos positivos en las variables estadísticamente significativas reflejan un efecto de ahorro en el año de estudio. En otras palabras, una variable con signo positivo y significativa se interpreta como la probabilidad de ahorrar parte del dinero para gastarlo en lo que sea el motivante u objetivo personal para hacerlo.
Ejemplo de lo señalado en el párrafo anterior son las variables que resultaron tener los signos positivos y coeficientes significativos, tales como: Tiene_Relación, Emergencia, Vacaciones, Comprar_Auto/Moto, Bienes y Estudios. Estas variables muestran que si el joven adolescente tiene una relación, la probabilidad de ahorrar parte de su dinero para destinarlo a este rubro aumenta en 3.0%. De igual manera, si el joven adolescente no cuenta con una relación de noviazgo, la probabilidad de ahorrar para una emergencia incrementa un 5.6%. En lo que respecta al rubro de vacaciones, se observa que la probabilidad de ahorro para viajar se incrementa en 4.3%.
De igual manera pasa con la variable de compra de un automóvil o motocicleta, ya que la probabilidad de que los jóvenes adolescentes ahorren para este rubro es de 3.4%, manteniendo constante el resto de las variables; mientras que para la compra de bienes la probabilidad de ahorro incrementa hasta un 3.9%. La diferencia relevante en este grupo de variables es la de estudios, debido a que los jóvenes adolescentes incrementaron en promedio un 17.5% la probabilidad de ahorrar parte de su dinero para cubrir este rubro.
En lo que respecta a la interpretación de las variables con distinción de género (véase Anexo I), se puede destacar que las principales razones o motivos que las adolescentes (mujeres) tienen para ahorrar son: una emergencia (5.8 veces más), estudios (0.16 veces más), vacaciones (2.2 veces más), comprar un auto (2.3 veces más) y bienes (5.7 veces más); mientras que los jóvenes (hombres) ahorran parte de su dinero cuando tienen una relación (1.6 veces más) y quieren salir de viaje en vacaciones (2.8 veces más). Asimismo, si analizamos los efectos marginales por distinción de género [P(Yi=Mujeres); P(Yi=Hombres)] se puede apreciar que ambos, mujeres y hombres, están conscientes de que deben ahorrar parte de su dinero para una emergencia, y esta probabilidad aumenta en 6.2% y 4.4% para las adolescentes y jóvenes, respectivamente. A este motivo le sigue la compra de bienes para el caso de las mujeres (5.8%), y cuando tienen una relación en el caso de los hombres con un 3.5% de probabilidad de ahorro.
Discusión de los hallazgos
El propósito de este trabajo fue explorar lo que los jóvenes adolescentes piensan del ahorro para el retiro en la ciudad de Monterrey, en México. Para tal efecto, se utilizó la encuesta generada por el Centro de Desarrollo Empresarial de la Universidad Autónoma de Nuevo León, la máxima casa de estudios de la región norte del país, cuyos resultados fueron publicados en el año 2016.
El resultado de los análisis del presente estudio indica, de manera general, que la mayoría de los jóvenes adolescentes (en promedio, un 92.3%), sean hombres o mujeres, a pesar de que no cuente con empleo o ingreso fijo debido en la etapa de vida en la que se encuentra, ahorra parte del dinero que llega a tener por parte de la familia y por becas o subsidios que recibe del gobierno. Este hallazgo es relevante debido a que muestra la importancia que tiene la cultura financiera en esta ciudad, ya que recordemos que Monterrey es considerada como la tercera gran metrópoli de la República Mexicana. De igual manera, es reconocida como la ciudad de los negocios y de gente emprendedora (Sousa, 2013; Canavati, 2012 y González, 2011).
Otros hallazgos interesantes en este documento fueron la identificación de las razones o motivos por género que inciden en el ahorro por parte de los jóvenes adolescentes, así como observar su impacto en la decisión de seguir ahorrando en los años venideros. Para el caso de las adolescentes se observa que las principales razones que impactan positivamente sobre la probabilidad de ahorrar son para una emergencia, vacaciones, comprar un auto y bienes. Estos resultados son interesantes si se discuten desde una perspectiva económica neoclásica, ya que estudios sobre la teoría de la maximización de la utilidad o la teoría del comportamiento del consumidor argumentan que los individuos gastan todo su ingreso con la finalidad de satisfacer sus necesidades en el presente sin tener en cuenta lo que podría ocurrir en el largo plazo (López, 2012; James, 2002; Schumpeter, 1971 y Marshall, 1948). No obstante, el presente estudio encuentra que los motivos para que los jóvenes adolescentes en Monterrey ahorren parte de su dinero son distintos en cada uno y no necesariamente se destinan para el largo plazo o el retiro. Por ejemplo, en la muestra recabada se destaca que los jóvenes (hombres) deciden ahorrar parte de su dinero para gastarlo no en el largo plazo sino más bien en el presente cuando tienen una relación de noviazgo.
Los resultados de esta investigación tienen concordancia con otros estudios (por ejemplo, Bauman, 2015 e Izco, 2007), los cuales indican que la capacidad de ahorro de los jóvenes adolescentes está correlacionada con los diferentes tipos de gastos que estos tienen debido a su edad, tales como: alimentación, bienes de vivienda, comunicaciones, educación, transporte, vestuario, servicios públicos, recreación y esparcimiento, entre otros. En este mismo sentido, el estudio realizado por BANAMEX-UNAM (2014) encuentra que el 87% de los jóvenes mexicanos (entre 15 y 29 años) no tiene ahorro para el retiro y que más de la mitad ni siquiera ha pensado en él (61%). Asimismo, resalta que este tipo de temas no es una preocupación para la juventud, ya que su visión de corto plazo predomina respecto a la del futuro.
Por su parte, Taguencia (2016) señala que la cultura del ahorro o financiera depende en gran medida de las características sociodemográficas de los jóvenes adolescentes, es decir, del medio donde estos se desenvuelven, tales como: edad, clase social, familia, profesión del jefe de hogar, ubicación geográfica en la que vive, estructura socio-histórica, globalización, etcétera. No obstante, Bazán y Saraví (2012) y Guataquí et al. (2009) destacan que el porcentaje de las mujeres ahorradoras es mayor que el de los hombres debido a que ellas tienen mayor sensibilidad en aspectos de cultura financiera, además de que administran mejor sus finanzas para atender en determinadas épocas y situaciones algunas emergencias personales o familiares y son más previsoras que los hombres. Por su parte, estos últimos buscan, principalmente, satisfacer sus necesidades en el corto plazo sin preocuparse por el futuro, es decir, no ahorran para la vejez o el retiro.
Conclusiones
En este artículo se llevó a cabo un análisis inferencial con datos de la encuesta recabada por el Centro de Desarrollo Empresarial de la Universidad Autónoma de Nuevo León, en México, para el año 2016. En este corte de tiempo se encuentra que los principales motivos que tienen los jóvenes adolescentes –sin distinción de género– para ahorrar parte de su dinero son porque quieren salir de vacaciones, tienen una relación, estudios, emergencia o cuando quieren comprar un automóvil, una motocicleta y bienes. Conviene señalar que en este estudio los hábitos de ahorro no están correlacionados con las características sociodemográficas de los jóvenes; es decir, variables como la edad y la escolaridad en esta temprana etapa de la juventud no influyen en la toma de decisiones para ahorrar para el largo plazo o el retiro.
Por otro lado, los resultados derivados del análisis por género mostraron que las mujeres adolescentes tienen mayores hábitos de ahorro en el periodo de estudio. Sin duda alguna, se muestra que las mujeres tienen diferentes razones o motivos para ahorrar parte de su dinero respecto a los de los hombres. Se encuentra evidencia de que los hombres ahorran para gastar ese ahorro en el corto plazo, sobre todo cuando tienen una relación de noviazgo, a diferencia de las mujeres que ahorran para comprar algún bien duradero (carro, vestimenta, celular, accesorios, etcétera) que les será de utilidad para el largo plazo.
Por último, aunque no menos importante, se demuestra que las mujeres que quieren comenzar con una cultura financiera a temprana edad no cuentan con mucha experiencia ni muchos ingresos; de ahí que se vean motivadas a buscar sus primeros empleos de medio tiempo para comenzar con los hábitos de ahorro.
Implicaciones y limitaciones académicas
Desde el punto de vista académico, el presente trabajo ha pretendido contribuir al estudio de la cultura financiera como detonante de una mejor calidad de vida en los jóvenes adolescentes, haciendo énfasis en la distinción del género. La investigación se realiza en Monterrey, una ciudad de México que es considerada de las más importantes debido al gran desarrollo económico y cultural que constituye el principal motor de la economía de la entidad, ya que sus ciudadanos son reconocidos como gente trabajadora y emprendedora y esta concepción se transmite a los jóvenes adolescentes.
Por su parte, los pocos trabajos empíricos sobre la capacidad o hábitos de ahorro en los jóvenes adolescentes en México tienden a utilizar métodos descriptivos basados fundamentalmente en los principales estadísticos descriptivos y de frecuencia. En nuestro caso, también se utiliza la aplicación de un modelo de elección discreta binaria que permite obtener estimaciones de las principales razones o motivos que llevaron al joven a ahorrar.
Es bien sabido que la mayoría de los métodos econométricos son considerados como una abstracción de la realidad. No obstante, consideramos que su aplicación en las ciencias sociales son un procedimiento válido para seleccionar, desde la perspectiva de la probabilidad de los jóvenes adolescentes, aquellas variables que guardan ciertas relaciones con los hábitos de ahorro, según el género de los jóvenes adolescentes. Asimismo, se ha intentado desarrollar un trabajo riguroso respecto a la aplicación de un modelo de tipo Logit. En este estudio, somos conscientes de las limitaciones y las oportunidades de mejora, por ejemplo, en el nivel conceptual, los resultados han planteado algunas cuestiones interesantes sobre lo que los jóvenes adolescentes en la ciudad de Monterrey piensan del ahorro para el retiro, así como las principales razones o motivos que influyen en ellos al momento de querer ahorrar. De manera que, realizar un comparativo de las mismas variables en los diferentes estados o regiones de la República Mexicana podría mejorar el conocimiento, la percepción y las disyuntivas respecto a los hábitos de ahorro a temprana edad en la región objeto de estudio, haciendo un análisis longitudinal, es decir, haciendo un seguimiento más cercano de los jóvenes año con año.
Referencias
Aguilar, A. & Y. Valles (2015). El ahorro en México: Evidencia en hogares. Estudios Económicos, 3, 41-72.
Attanasio, O. & M. Székely (1999). Ahorro de los hogares y distribución del ingreso en México. Economía Mexicana. Nueva Época, 8(2), 267-377.
Autoridad de Servicios Financieros del Reino Unido (FSA) (2007). The financial services authority: A review under section 12 of the financial services and markets act 2000. Recuperado de: https://www.nao.org.uk/wp-content/uploads/2007/04/0607500.pdf
Banco Nacional de México (BANAMEX) y Universidad Nacional Autónoma de México (UNAM) (2014). Cultura financiera de los jóvenes en México. Síntesis de resultados. Recuperado de:
Banco del Ahorro Nacional y Servicios Financieros (BANSEFI) (2015). Diagnóstico programa presupuestario en la inclusión financiera. Recuperado de: http://www.transparenciapresupuestaria.gob.mx/work/models/PTP/Reingenieria_Gasto/imagenes/Ventanas/Ramo_6/06F035.pdf
Bauman, Z. (2015). Esto no es un diario. México: Paidós.
Bazán, L. y G. Saraví. (2012). La monetarización de la pobreza. Estrategias financieras de los hogares mexicanos. México: Ciesas, Publicaciones de la Casa Chata.
Castañeda, A. (2002). Consumo y restricciones crediticias: la hipótesis de renta permanente en Colombia. Planeación y desarrollo, 33, 2.
Castillo, A. (2012). Ahorro, vulnerabilidad y estrategias de desarrollo. Un caso en México. Revista MBS, 2, 23-49.
Canavati, A. (2012). El “modelo Barcelona” en el Fórum Monterrey. En J. M. Montaner, F. Álvarez, & Z. Muxi, Archivo crítico. Modelo Barcelona 1973-2004 (pp. 260-266). Barcelona: Ajuntament de Barcelona.
Comisión de la Educación Financiera de Estados Unidos (FLEC) (2006). Taking ownership of the future. Recuperado de: https://www.treasury.gov/about/organizational-structure/offices/Domestic-Finance/Documents/Strategyeng.pdf
Comisión Nacional del Sistema de Ahorro para el Retiro (CONSAR) (2017). Los millennials: Manos a la obra en la construcción de su patrimonio pensionario. Documentos de trabajo. Recuperado de:
Comisión Nacional para la Protección y Defensa de los Usuarios de Servicios Financieros (CONDUSEF) (2016). Reporte nacional de inclusión financiera. Recuperado de: http://www.cnbv.gob.mx/Inclusi%C3%B3n/Documents/Reportes%20de%20IF/Reporte%20de%20Inclusion%20Financiera%207.pdf
Consejo Nacional de Evaluación de la Política de Desarrollo Social (CONEVAL) (2015). Informe de la medición de la pobreza por entidad federativa. Recuperado de: http://www.coneval.org.mx/Medicion/MP/Paginas/Pobreza_2016.aspx
Damián, A. (2016). Seguridad social, pensiones y pobreza de los adultos mayores en México. Acta Sociológica, 70, 151-172.
Domar, E. (1946). Capital expansion, rate of growth and employment. Econometrica, 14(2), 137-147.
Feldstein, M. y J. Liebman. (2001). Social Security. Handbook of Public Economics.
Finke, M. and S. Huston. (2013). Time preference and the importance of saving for retirement. Journal of Economic Behavior & Organization, 89, 23-34.
Fondo de las Naciones Unidas para la Infancia (UNICEF) (2011). La adolescencia. Una época de oportunidades, 1. Recuperado de: https://www.unicef.org/ecuador/SOWC-2011-Main-Report_SP_02092011.pdf
García, N., Grifoni, A., López, J., & Mejía, D. (2013). La educación financiera en América Latina y el Caribe. Situación actual y perspectivas. Serie Políticas Públicas y Transformación Productiva, 12. Recuperado de: http://scioteca.caf.com/handle/123456789/379
Galasso, V., R. Gatti y P. Profeta. (2008). Investing for the Old Age: Pensions, Children and Savings. CEPR Discussion Papers, 6825.
Guataquí, J., M. Acosta, & A. García. (2009). Ahorro para el retiro en Colombia: Patrones y determinantes. Serie Documentos de Trabajo, 72, 2-20.
González, J. (2011). El clúster de nanotecnología de Nuevo León: Estrategia y operación. Revista Interdisciplinaria en Nanociencias y Nanotecnología, 4(1), 18-22.
Harrod, R. (1939). An essay in dynamic theory. Economic Journal, 49(193), 14-33.
Izco, E. (2014). Los adolescentes en la planificación de medios. Segmentación y conocimiento del target. Tesis de doctorado, Universidad de Navarra, España. Recuperado de: http://www.injuve.es/conocenos/ediciones-injuve/accesit-premios-injuve-para-tesis-doctorales-2007-elena-izco-montoya
James, J. (2002). Introducción a la teoría del consumidor. Editorial Dirección de Investigaciones. Serie de Textos Universitarios de la ICESI, 38.
Kato, E. (2008). Desempeño del sistema de ahorro para el retiro en México. Análisis Económico, 23(54), 157-173.
Kato, E. (2013). Instituciones, transición demográfica y riesgos del sistema de pensiones. Norteamérica, 8(2), 105-126.
Leal, G. (2013). Condiciones para el retiro y el desafío de la longevidad en México. Estudios Políticos, 31, 107-128.
López, F. (2012). La curva de demanda de Marshall: El eslabón perdido en la cadena del valor. Revista eXtoikos, 6, 77-79.
Mankiw, G. (1997). Principios de microeconomía. Editorial McGrawHill.
Marshall, A. (1948). Principios de Economía. Madrid: Aguilar. Recuperado de https://eet.pixel-online.org/files/etranslation/traduzioni/spagna/Marshall,%20Principios%20de%20economia.pdf
Martínez, E. (2008). Logit Model como modelo de elección discreta: origen y evolución. Anuario Jurídico y Económico Escurialense, XLI, 470-483.
McEachern, W. (1998). Economía: Una introducción contemporánea. Editorial Thomson, S.A.
Melo, L., H. Zárate y J. Téllez. (2006). El ahorro de los hogares en Colombia. Borradores de Economía. Banco de la República, 428.
Nava, I., Brown, F., & Domínguez, L. (2014). Diferencias de género en los factores asociados al ahorro de los hogares en México. Estudios Demográficos y Urbanos, 29(2), 301-339.
Organización para la Cooperación y el Desarrollo Económicos (OCDE) (2005). Improving financial literacy: Analysis of issues and policies. Recuperado de: http://www.oecd.org/finance/financial-education/improvingfinancialliteracyanalysisofissuesandpolicies.htm
Pérez, C. (2005). Métodos estadísticos avanzados con SPSS. Editorial Thomson.
Raccanello, K. y E. Herrera (2014). Educación e inclusión financiera. Revista latinoamericana de estudios educativos, XLIV(2),119-141.
Rivera, J. y A. Nava. (2012). El sistema de ahorro para el retiro y la cultura de la previsión en México. Ciencia UANL, 15(57), 33-38.
Rolison, J., Y. Hanoch and S. Wood. (2017). Saving for the future: Dynamic effects of time horizon. Journal of Behavioral and Experimental Economics, 70, 47-54.
Rutherford, S. (2000). Ahorrar dinero, cómo ahorrar y de qué forma ahorrar. The World Bank: Microfinance Handbook.
Schumpeter, J. (1971). Historia del análisis económico. Barcelona: Ariel. Edición 2015.
Solís, F. & A. Villagómez (1999). Ahorro y pensiones en México: Un estudio al nivel de las familias. Economía Mexicana. Nueva Época, 8(2), 339-366.
Sousa, E. (2013). El proceso de transformación ciudad-metrópoli: Hacia una interpretación teórica. Revista Contexto, 7(7), 11-29.
Taguencia, J. (2016). La identidad de los jóvenes en los tiempos de la globalización. Revista Mexicana de Sociología, 78(4), 633-654.
Tovar, J. (2008). Caracterización del ahorro de los hogares en Colombia. Coyuntura Social, 37.
Vásquez, P. y G. Colmenares. (2013). Nueva seguridad social y la crisis de las pensiones. Economía UNAM, 10(28), 95-101.
Villagómez, A. (1993). Los determinantes del ahorro en México: una reseña de la investigación empírica. Economía Mexicana. Nueva Época, 2(2), 305-327.
Villagómez, A. (2014). El ahorro para el retiro: Una reflexión para México. Trimestre Económico, 3(323), 549-576.
Yao, R. and G. Cheng. (2017). Millennial´s retirement saving behavior: Account ownership and balance. Family and Consumer Sciences Research Journal, 46(2), 110-128.
Notas
Información adicional
Clasificación JEL: G20