Evolución de la apertura comercial y el riesgo país en México
Evolution of commercial openness and country risk in Mexico
Evolución de la apertura comercial y el riesgo país en México
Investigación Administrativa, vol. 48, núm. 122, 2018
Instituto Politécnico Nacional
Resumen: Evidencia empírica, especialmente en economías emergentes, sugiere una relación directa entre las reformas estructurales adoptadas por los gobiernos, como la reducción de las barreras al comercio internacional, y las crisis que se han propagado mediante los mercados financieros. El objetivo del estudio es analizar las relaciones dinámicas entre el incremento del comercio con el exterior, como indicador de la apertura comercial y el riesgo país, en México. Mediante una metodología VAR, los resultados revelan que ambos componentes de la balanza comercial impactan en el EMBI aunque las importaciones con mayor peso. Adicionalmente, los resultados sugieren que los shocks del EMBI ocasionan efectos negativos sobre importaciones y exportaciones, asimismo la balanza comercial responde en sentido de Granger al EMBI. La originalidad del estudio radica en ser uno de los pocos intentos por analizar la relación de ambos fenómenos en México. Entre las potenciales limitaciones del estudio destacan la falta de acceso a un mayor número de observaciones longitudinales junto a la presencia de rupturas estructurales en las series modeladas.
Palabras clave: Apertura comercial, riesgo país, VAR.
Abstract: Empirical evidence, especially in emerging economies, suggests a direct relationship between the structural reforms adopted by governments, such as the reduction of barriers to international trade, and the crises that have spread through financial markets. The objective of the study is to analyze the dynamic relationships between the increase in trade with foreign countries, as an indicator of trade openness and country risk, in Mexico. Through a VAR methodology, the results reveal that both components of the trade balance impact on the EMBI although the imports with greater weight. Additionally, the results suggest that the EMBI shocks have negative effects on imports and exports, and the trade balance also responds in the Granger sense to the EMBI. The originality of the study lies in being one of the few attempts to analyze the relationship of both phenomena in Mexico. Among the potential limitations of the study is the lack of access to a greater number of longitudinal observations together with the presence of structural ruptures in the modeled series
Keywords: Trade openness, country risk, VAR.
Introducción
En el lenguaje económico la noción de crecimiento es comúnmente asociada al incremento del Producto Interno Bruto –PIB- per cápita (Kuznets S. , 1966). Tomando lo anterior como punto de partida, junto a los supuestos del modelo neoclásico de Solow (1956), la literatura especializada ofrece diversas propuestas que han venido enriqueciendo los planteamientos originales, por ejemplo Romer (1986),Lucas (1988), Romer (1990), Grossman y Helpman (1991) y Ros (2004), por mencionar algunos. Entre las principales ideas planteadas destacan la discusión sobre la ausencia de los niveles esperados de convergencia económica, el llamado a revalorar el impacto del capital intelectual y los avances en ciencia y tecnología sobre las perspectivas de crecimiento, especialmente en el largo plazo y la consideración, a manera de compensar la caída de las ganancias económicas, del efecto de diversas externalidades. Otras críticas que señalanla debilidad del PIB como representante del crecimiento,aseguran que no alcanza a capturar aspectos como rentas no monetarias, cambios en la población o la economía informal.
Hernández(2011)se suma a los argumentos que sostienen que las economías que logren consolidar plantas productivas con el nivel de sofisticación tecnológica suficiente como para generar bienes con valor agregado, se verán inmersos en círculos virtuosos cuyos beneficios, además de la experiencia y conocimiento acumulados, se verán reflejados por el lado de la demanda exterior así comopor la propia demanda interna que deberá atender los requerimientos de aquella[3]. Entre los estudios que aseguran que la eliminación de barreras al comercio, con la consecuente disminución de la participación del Estado, mejorará considerablemente las oportunidades de crecimiento económico de los mercados domésticos, podemos mencionar a Krueger(1980), Iglesias (1992),Te Velde(2003), Oliva y Suarez(2007), Kristjanpollery Salazar(2016).
Por otro lado, es importante considerar el papel que juegan las expectativas de los agentes económicos y su percepción sobre el impacto negativo que las reformas implementadas por economía emergentes, principalmente, puede tener sobre el desempeño de tales mercados. Evidentemente,el deterioro detales percepciones impacta significativamente en las decisiones de inversión y ahorro y por consecuencia enlas perspectivas de crecimiento. Uno de los indicadores más utilizados para capturar dichas percepciones de riesgo es el EMBI, indicador de riesgo país elaborado por JP Morgan; se trata de una sobretasa que refleja la prima que requiere el capital internacional para compensar el riesgo adicional en que incurriría en instrumentos financieros en la economías domésticaen lugar de hacerlo en bonos estadounidenses, considerados por JP Morgan como instrumentos libres de riesgo. De esta forma y sobre la base del impacto que dicho indicador puede tener sobre la dinámica económica doméstica distintos autores sugieren no sólo mejorar la comprensión de sus determinantes, sino un adecuado monitoreo de sus valores (Rodríguez, (1995); Wade y Veneroso, (1998); Emir, Özatay y Şahinbeyoğlu, (2007); López, Venegas y Gurrola,(2013)).
El objetivo de la presente investigación es analizar las relaciones dinámicas entre el comercio que mantiene México con el exterior y los niveles de riesgo país, entre enero de 2000 y diciembre de 2016. Mediante una modelación econométrica que hace uso de vectores autorregresivos –VAR-, pruebas de causalidad de Granger, descomposición de la varianza y funciones de respuesta al estímulo, los principales hallazgos del análisis realizado sugieren por un lado, que los shocks inesperados en el comportamiento de las importaciones y las exportaciones ocasionan una respuesta en la calificación del riesgo país, aunque el efecto más importante lo detonan las primeras y por otro, que las innovaciones en la tasa de crecimiento del EMBI ocasionan efectos predominantemente negativos sobre la dinámica de las importaciones y las exportaciones. Asimismo, el análisis de causalidad señala que los valores rezagados del EMBI permiten explicar significativamente el comportamiento de los componentes de la balanza comercial.
En la siguiente sección se ofrecen los principales argumentos teóricos y empíricos que dan sustento a la investigación, planteando un recorrido que inicia con la importancia del crecimiento económico y la forma en que el intercambio comercial con el exterior se ha venido convirtiendo en un componente importante para su consecución; posteriormente se destaca la importancia del concepto del riesgo país, contextualizándolo con el objetivo del estudio. El tercer apartado ofrece los aspectos metodológicos del estudio y la discusión de los resultados del análisis realizado, mientras que en la cuarta sección se presentanlas principales conclusiones de la investigación.
Revisión de literatura
Globalización financiera y reformas estructurales
La globalización financiera y la apertura económica que se han percibido en las últimas décadas han propiciado un incremento importante de las operaciones realizadas a través de los mercados financieros, el impulso de iniciativas orientadas a reducir esquemas regulatorios,el fortalecimiento de un sistema basado en el libre flujo de capitales, todo con el propósito de impulsar un mayor grado de apertura e integración económica (Te Velde, 2003).
Como consecuencia negativa relacionada a tales reformas resalta el hecho que desde inicios de los años 90 distintospaíseslatinoamericanos experimentaron periodos de crisis[4] que no sólo ocasionaron reducciones en el ritmo de crecimiento que venían presentado sino que tales efectos se transmitieron a otras economías a través de los mercados financieros, popularizándose la noción del “efecto contagio” (Frenkel, 2003).Como ejemplo de lo anterior, Frenkel afirma que dicho proceso[5] inició,en la región de América Latina,con la crisis de México en el año de 1994, afectando al año siguiente el mercado argentino.Entre 1997y 1998 lascrisis asiática, rusa y brasileñaya evidenciaban un panorama alarmante que se transmitió rápidamente a nivel global(Ffrench-Davis, 2001). Tales episodios de crisis acusan un comportamiento de estimulación recíproca en función de las llamadas reformas estructurales,es decir, las propias iniciativas liberalesdetonaban nuevos y más profundosprocesos de privatizaciones, apertura comercial y otras medidas orientadas a la desregulación de mercados(D'Arista, 2002). En el contexto de países emergentes de América Latina, Cimoli y Correa(2005) destacan que en los últimos añosse han implementadoimportantes reformas que han propiciado cambios en los sectores laboral y financiero, impulsado notorios procesos de privatizacióny fortalecido el comercio con el exterior.
La relación directa entre la apertura comercial y el crecimiento económico se puede explicar ya sea a través de una explicación intuitiva que propone que tal apertura o capacidad para intercambiar productos con el exterior, mejora la productividad y la especialización, o bien mediante supuestos consensos entre los hacedores de política económica de que la eliminación de barreras al comercio internacional ampliará las oportunidades de crecimiento en los países emergentes, (Kruger, (1980); Iglesias, (1992); Oliva y Suarez, (2007). Kristjanpoller y Salazar(2016) complementan lo anterior al asegurar que los efectos positivos provenientes del incremento del comercio internacional se sustentan en aspectos como la estabilidad macroeconómica, apertura de mercados, reducción de la participación del Estado y la adopción de estrategias encaminadas a reducir la pobreza. Un ejemplo de lo anterior sería el estudio de Mogrovejo (2003), que mediante la modelación econométrica tipo panel estudia la dinámica económica en diecinueve países latinoamericanos, entre ellos México, encontrando evidencia significativa a favor del incremento del comercio internacionalcomo variable explicativa del desempeño de la economía. Por su parte, Thirlwall (2000) al defender la citada relación entre liberalización comercial y crecimiento económico, presenta evidencia a favor de las exportaciones asegurando que representan el componente más importante de la demanda agregada, lo anterior bajo el supuesto de que la demanda condiciona el ingreso ante lo cual, el crecimiento económico estaría determinado por los elementos de aquella: inversión, consumo, importaciones y exportaciones, en donde los dos primeros componentes responden directamente al ingreso.
No obstante los argumentos anteriores, es preciso destacar que también existen estudios en contra de la idea de quela disminución de barreras al comercio mejora las posibilidades de crecimiento económico, entre ellos Ocampo (2005) y Cimoli y Correa (2005). El primero asegura que la evidencia empírica en economías emergentes de América Latina contradice tal relación positiva e incluso sostiene que la tasa de crecimiento en tales mercados no sólo no se vio incrementada, sino que disminuyó respecto a la que se tenía en los periodos previos a las respectivas reformas. Por su parte Cimoli y Correa(2005)al destacar la ausencia de beneficios reflejados en el crecimiento económico que habían sido prometidos como una consecuencia natural de los procesos de liberalización, se suman a los argumentos del economista del desarrollo Kuznets(1980) para asegurar que la pretendida relación positiva entre apertura y crecimiento económico requería de manera determinante que las economías tuvieran, previamente al proceso de apertura, un nivel mínimo de desarrollo. Kuznets prevé efectos negativos para aquellas economías con elevada dependencia hacia la demanda proveniente de mercados desarrollados y que al mismo tiempo sean incapaces de generar mejoras notables en los procesos tecnológicos de su planta productiva, lo anterior queda demostrado con la dinámica de las economías latinoamericanas en cuyas importaciones predominan bienes con alto contenido científico-tecnológico mientras que sus exportaciones se caracterizan por la exportación de commodities[6].La consecuencia natural de lo anterior, asegura Kuznets(1980), es la consolidación de una planta productiva incapazde impulsar crecimiento económico, innovación y mejoras tecnológicas que permitan la generación y generalización de conocimiento y por ende, economías sin posibilidades de reducir brechascientíficas y tecnológicas con mercados más desarrollados.
Onaran(2007) también cuestiona los supuestos beneficios del libre mercado, al estudiar los mercados de México, Corea y Turquía destaca la adopción de reformas liberales adoptadas en detrimento de indicadores clave para el crecimiento, entre ellos: empleo, salarios, tipo de cambioasí como la reducción importante en la influencia de instituciones protectoras de los derechos de los trabajadores; además hace notar que los efectos negativos impactanen mayor medida en los sectores de menor ingreso.
No obstante que la discusión sobre los efectos de la globalización financiera sigue abierta es importante considerar argumentos como los de Wade&Veneroso(1998) y Dufour&Orhangazi(2007) quienes sostienen que los capitales internacionales, seducidos por las posibilidades de especulación y arbitraje que las crisis que han azotado a los mercados emergentes, principalmente, pueden llegar a condicionar el flujo de las inversiones a la adquisición de activos y/o el sometimiento de lapolítica económica de las economías domésticas. Desafortunadamente la política económica, en la opinión de autores como D'Arista(2002), DuménilyLévy(2006) y DufouryOrhangazi(2007), en lugar de esforzarse en contrarrestar tales estrategias de “condicionamiento-sometimiento”, se ha preocupado por beneficiarlos intereses del capital financiero internacional.
Riesgo país y apertura comercial
El interés por la relación entre el riesgo y el rendimiento inherentes a una inversión se disparó con los planteamientos de Markowitz(1952), a partir de entonces la literatura documenta la constante búsqueda de alternativas de inversión que generen los mejoresbeneficios a partirde un nivel de riesgo tolerado. En tal esfuerzo, los mercados emergentes al presentar altas tasas de rendimiento, no obstante el comportamiento volátil de algunos de sus indicadores económicos, se han posicionado como alternativas atractivas versusla inversión en mercados desarrollados. Ahora bien, paraobtener rendimientos “diversificados” es importante considerar aspectos como el riesgo país, que además de representar la capacidad de pago de una economía, también sugiere que la existencia de imperfecciones de mercado evitaque los países se encuentren plenamente integrados[7].
El riesgo país es un indicador que pretende capturar las probabilidades de incumplimiento de la deuda con agentes extranjeros (Nagy,(1979); Zopounidis y Pardalos(1998).A partir de las crisis de las naciones emergentes, observadas a principios de la década de los 90s, la atención que la comunidad financiera otorgaba al concepto de riesgo país se vio incrementada(Wade & Veneroso, 1998). El Emerging Market Bond Index (EMBI), elaborado por JP Morgan, es el referente convencionalmente utilizado para referir el riesgo país; consiste en un spread o diferencial entre la tasa que pagan bonos emitidos por economías emergentes y la que ofrecen los bonos del Departamento del Tesoro de Estados Unidos. Ente los principales argumentos a favor de la importancia del EMBI para el desempeño de la economías, destacan los estudios de Zahler(1980); Rodríguez(1995); Beers(1997); Mogrovejo(2003); Özatay y Şahinbeyoğlu(2007); López, Venegas, y Gurrola(2013) y Mántey& Rosas(2014), por mencionar algunos. En primer lugar, Zahler(1980) asegura que en un escenario de libre mercado existe una estrecha relación entre las decisiones de política económica y la calificación del riesgo país. Rodríguez(1995) propone que el riesgo país tiene inflluencia en el dinamismo de los mercados financieros, en especial con la capacidad de la economía local para generar divisas. Beers(1997) encuentra evidencia significativa del impacto del EMBI sobre aspectos clave de la economía doméstica como el ingreso, la inflación, la relación de deuda a exportaciones, importaciones y el desempleo. Mogrovejo(2003) documenta, en mercados emergentes latinoamericanos, que el ingreso de IED[8] está determinado por la calificación de riesgo país. Rodríguez (1995) además de coincidir con la relación negativa entre el riesgo país y los flujos de capitales que ingresan a la economía doméstica, también lo vincula con variables fundamentales como el PIB, exportaciones e importaciones. Özatay y Şahinbeyoğlu(2007) destacan la importancia del monitoreo de aspectos macroeconómicos, entre ellos el EMBI, como una forma de valorar las decisiones de política pública. López, Venegas, y Gurrola(2013) además de sugerir que la calificación del riesgo país influye en las condiciones de financiamiento de la economía doméstica, señalan que la importancia de su estudio reside en el efectopotencial quetiene sobre la dinámica de la inversiónque recibe dicha economía desde el exterior. Por su parte, Mántey & Rosas(2014) complementan lo anterior al asegurar que la calificación del riesgo paísfunciona como referente para el establecimiento de las condiciones crediticiasde la economía local sobre las operaciones de endeudamiento con el exterior. Castillo (2017), en el contexto de la economía colombiana, también ofrece evidencia de la importancia de las exportaciones y las importaciones en la dinámica del riesgo país, bajo un enfoque de relaciones de largo plazo.
No obstante la amplia evidencia empírica que sostiene el impacto positivo entre el comercio internacional, capturado a través de los componentes de la balanza comercial y el riesgo país, vale la pena mencionar la existencia de otros indicadores que pretenden capturar la noción de apertura comercial, por ejemplo: López del Paso (2014) o Schettino (1995); sostienen que dicho concepto se puede aproximar mediante el coeficiente que resulta de la relación del comercio externo con la actividad económica global. Lo anterior resulta lógico pues asume que en la medida en que los componentes de la balanza, exportaciones e importaciones, sea mayor, tendrán un incremento relativo sobre la producción nacional. Sin embargo, y a diferencia de considerar aisladamente las exportaciones y las importaciones, dicho indicador no permite capturar el efecto positivo o negativo de la apertura al comercio exterior; por lo que en la presente investigación se aproxima la apertura comercial mediante las exportaciones y las importaciones.
Aspectos metodológicos y discusión de resultados
En la tarea de analizar la relación entre la apertura comercial y la calificación del riesgo país en México, particularmente se explora la velocidad en que van evolucionando las variables por lo que el estudio analiza el comportamiento de las primeras diferencias de las tasas de crecimiento de las importaciones y las exportaciones, como representantes de la apertura comercial y el EMBI+, como indicador del riesgo país, durante el periodo comprendido de enero de 2000 a diciembre de 2016, es decir, se analizan un total de 67 observaciones trimestrales. La información sobre las importaciones y exportaciones fue obtenida del Banco de Información Económica (BIE), del Instituto Nacional de Estadística, Geografía e Informática(INEGI, 2017), en tanto que el EMBI fue obtenido de las bases de datos de J.P. Morgan(2017). El análisis realizado contempla distintas pruebas entre las que destacan pruebas de raíz unitaria, relaciones de causalidad en el sentido de Granger, vectores auto regresivos (VAR),análisis de la descomposición de la varianza y funciones de respuesta al impulso.
Vectores autorregresivos
Según los planteamientos de Sims(1980) el método de Vectores autorregresivos (VAR) permite estudiar lasinterrelaciones dinámicaspresentes en un conjunto de variables, ofreciendo la posibilidad de extraer información derivada del sistema de ecuaciones, reducido y sin restricciones[9], construido a partir de losvalores rezagados de las variables bajo estudio. El modelo VAR, cuya estimación, que se realiza a partir del Método de Mínimos Cuadrados Ordinarios (MCO), adopta la siguiente forma:

Donde Yt es un vector columna de variables, es la matriz de coeficientes de las variables yV t son los términos de error de las variables. La ecuación (1) puede expresarse en términos del polinomio característico y resumiéndolo en forma matricial de la siguiente manera:

Donde A representa la matriz de coeficientes de las variables, Yt se refiere a un vector columna, C(L) es un polinomio en el operador de rezagos con los coeficientes que asocian cada variable del sistema con sus propios rezagos y con los de las demás y son los términos de error.
Especificación econométrica y evidencia empírica
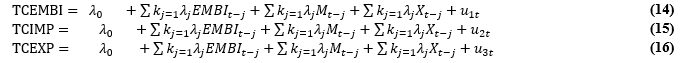
El sistema de ecuaciones que se desprende del modelo VAR tiene la estructura que aparece a continuación:

Donde:
TCEMBI= tasa de crecimiento del EMBI
TCIMP= tasa de crecimiento de las importaciones
TCEXP= tasa de crecimiento de las exportaciones
ui= Error estadístico
En la Figura 1 se presentael comportamiento de las series de tiempo bajo estudio: en la parte superior (paneles a, b y c), se pueden apreciar los niveles de dichas series, mientras que en la parte inferior (paneles d, e y f) se aprecian las respectivas tasas de crecimiento.El panel (a) correspondiente a los valores en niveles del EMBI, muestra una marcada tendencia descendente a partir del año 2000 (aunque con un repunte notable en 2001, potencialmente asociado a las crisisdel sector tecnológico en Estados Unidosy de Argentina), que se prolonga hasta finales del 2006 cuando llega a su mínimo histórico (98 pb),y a partir de ese momento revierte su tendenciaal presentar un incremento significativo hasta alcanzar nivelescercanosa los 400pb. Lo anterior se podría explicar, entre otras causas señaladas en la literatura, como consecuencia del impacto sobre la economía mexicana de la crisis en el sector inmobiliario de los Estados Unidos. No obstante, para inicios del 2010el indicador regresa a niveles que durante los próximos seis años no excedieron los 300 puntos.
Como consecuencia natural del grado de dependencia comercial de México hacia Estados Unidos, recurrentemente documentado en la literatura, la dinámica de las importaciones y las exportaciones mexicanas (paneles b y c), no obstante la clara tendencia ascendente, presentan importantes caídas en 2008; tal comportamiento también se podría explicar por la crisis financiera que causó estragos importantes en la economía de los Estados Unidos y cuyos efectos se transmitieron a la economía mexicana a través de canales económicos.
Por otro lado, la Figura 1 también ofrece el comportamiento de las respectivas primeras diferencias de las tasas de crecimiento del EMBI, las importaciones y las exportaciones mexicanas, siendo interpretadas como la aceleración o el aumento del crecimiento de cada una de estas variables. Como cabría esperar, la información contenida en los paneles (d, e y f) refleja razonablemente episodios de alta volatilidad que coinciden con la dinámica mencionada en el párrafo anterior. Vale la pena señalar que los componentes de la balanza comercial mexicana acusan un comportamiento más inestable que el indicador del riesgo país el cual, no obstante el salto importante que presenta a inicios del 2008, tiene un comportamiento más homogéneo y consistente en torno a su valor medio.

Un supuesto básico para la solución de un sistema de ecuaciones mediante la metodología VARrequiere que las series de tiempomodeladas respondan a un comportamiento estacionario o aleatorio, lo que implica que los valores de los dos primeros momentos de una distribución no sean una función del tiempo y que la covarianza entre dos periodos atienda a la distancia entre ellos y no al tiempo en que es determinada; lo anterior con la finalidad de evitar la obtención de relaciones espurias (Capistrán & Ramos-Francia, 2009). Lo anterior se expresa de la siguiente forma:

Una vez establecida la importancia de la condición de estacionariedad de las series bajo estudioes preciso señalar que existen diferentes procedimientos para comprobarla, entre los más utilizados destaca la prueba de raíz unitaria propuesta por Dickey y Fuller en 1979, la cual consiste en evaluar:

Donde Et~N(0,o2) y cov (Et,Et-k)=0 para todo k=0. Lo anterior representa un modelo auto regresivo de primer orden, o AR(1), en la que los valores de la variable y en el momento t son expresados con base a los valores de dicha variable en el periodo (t-1), Et , representa un término de error de ruido blanco. De acuerdo con el planteamiento anterior, se pueden ejecutar dos regresiones:

Donde

Cuando el valor de rho (p ) es igual a 1 se asume que la variable xt cuenta con raíz unitaria lo que implica que la serie no es estacionaria(Pateiro-Rodríguez & Pedreira-Freire, 2003).No obstante que las anteriores expresiones son iguales, ambas comparten la hipótesis nula:

de tal forma que:

A partir de esto cuando a una serie de tiempo no estacionaria se le aplican primeras diferencias, se convierte en una variable estacionaria y se dice que la serie original o en niveles es integrada de orden 1(Gujarati & Porter, 2010).El método de Mínimos Cuadrados Ordinarios (MCO) es el medio utilizado para demostrar la estacionariedad de una serie que puede ser de tres formas:

Donde B1 es el intercepto yt es la variable de tendencia. Para cualquiera de los tres casos, la hipótesis nula asume que s=0 , es decir, que p=1 o en otras palabras, que la serie no es estacionaria.La Tabla 1 muestra los resultados de la pruebas de raíz unitaria de las variables bajo estudio, como se puede apreciar los valores sugieren que la totalidad de las variables del modelo son estacionarias. La información presentada se obtiene mediante el paquete econométrico Eviews versión 6.0.
| Variable | t estadístico | Valor p | Contraste según significancia | ||
| 1% | 5% | 10% | |||
| TCEMBI * | -7.9260 | 0.0000 | -3.5401 | -2.9092 | -2.5922 |
| TCIMP * | -4.1897 | 0.0016 | -3.5526 | -2.9145 | -2.5950 |
| TCEXP * | -5.9145 | 0.0000 | -3.5482 | -2.9126 | -2.5940 |
| TCEMBI ** | -7.8551 | 0.0000 | -4.1130 | -3.4839 | -3.1700 |
| TCIMP ** | -4.1552 | 0.0093 | -4.1305 | -3.4921 | -3.1748 |
| TCEXP ** | -5.8726 | 0.0000 | -4.1242 | -3.4892 | -3.1731 |
** Con Intercepto y Tendencia
Nota: Primeras diferencias de las tasas de crecimiento de cada una de las variables
La metodología de VAR asume que las variablesdel sistemason endógenas por lo que cada una de ellas funge como variable dependiente de una ecuación que contiene k valores rezagados de ella misma así como del resto de las variables. La estimación de los parámetros se realiza a partir del método MCO; las ecuaciones se expresan de la siguiente manera.

En el lenguaje VAR los términos de error, representados por , son conocidos como impulsos, shocks o innovaciones (Gujarati & Porter, 2010). Cabe destacar que en función del objetivo del estudio, la ecuación más importante es aquella en donde el EMBI es la variable dependiente, la número (14).
Selección del número de rezagos
Otroaspecto importante a considerar antes de proceder a la estimación del VAR es la decisión en la selección del número de rezagos. Incluir demasiados rezagos sobreparametriza el modelo lo que consume grados de libertad y ocasiona problemas de multicolinealidad; por otro lado, introducir pocos rezagos puede ocasionar errores en la especificación del modelo(Runkle, 1987). Los criterios más comunes para seleccionar el número de rezagos óptimos para el VAR son el criterio de Akaike (AIC), criterio bayesiano de Schwarz (BIC) y el criterio de Hannan-Quinn (HQ), los cuales se calculan de la siguiente manera:

El siguiente paso es identificar el número de rezagos del VAR, obteniendo los resultados mostrados en la Tabla 2.
| Rezago | AIC | SC | HQ |
| 0 | -4.3372 | -4.2343 | -4.2968 |
| 1 | -5.7117 | -5.2900 | -5.5401 |
| 2 | -6.1098 | -5.3894 | -5.8270 |
| 3 | -7.3826* | -6.3534* | -6.9785* |
AIC: Criterio Akaike
SC: Criterio de Schwarz
HQ: Criterio de Hannan-Quinn
Según se muestra en la Tabla 2 los criterios de AIC, SC y HQ sugieren que el número de rezagos ideales es de tres, por lo tanto la modelación se realizará considerando la utilización de tres rezagos.
Raíces inversas del VAR
Una forma de comprobar que el sistema propuesto por la metodología VAR satisfaga la condición de estabilidad, que el comportamiento de las variables no sea explosivo antes los shocks, y sea estacionario es preciso que los eigenvalores de las matrices de los coeficientes sean menores a uno, esto equivale a las raíces invertidas, reales e imaginarias del polinomio característico autorregresivo presenten valoresmenores a uno (Patterson, 1997). Los resultados de la Figura 2 muestran que efectivamente, las raíces características son menores a uno, por lo que se considera que el modelo es estable y cabría esperar que cualquier innovación que distorsione la dinámica de corto plazo sea compensada y regrese a la variable correspondiente a su trayectoria de largo plazo.

Como complemento a la información de la Figura 2, los valores de dichas raíces se aprecian en la Tabla 3, corroborando efectivamente la estabilidad del modelo.
| Raíz | Real + Imaginaria | Módulo |
| 1 | -.976735 | 0.9767 |
| 2 | -0.057547-0.887315i | 0.8891 |
| 3 | -0.57547+0.887315i | 0.8891 |
| 4 | -0.883176 | 0.8831 |
| 5 | 0.132371-0.871760i | 0.8817 |
| 6 | 0.132371+0.871760i | 0.88.17 |
| 7 | -0.097998-0.646705i | 0.6540 |
| 8 | -0.097998+0.646705i | 0.6540 |
| 9 | -0.477829 | 0.4778 |
Una vez asegurada la ausencia de raíces unitarias y la estabilidad del sistema de ecuaciones sólo resta validar los supuestos del modelo clásico, pues como se ha venido mencionando la metodología VAR realiza la estimación de los parámetros mediante el proceso de MCO; la Tabla 4 ofrece los resultados de las pruebas de normalidad y autocorrelación.
| Normalidad | Skewness | Prob. | Kurtosis | Prob. | JarqueBera | Prob. | |
| Exportaciones | 0.034851 | .9108 | 2.3256 | .2785 | 1.187187 | .5523 | |
| Importaciones | -0.339587 | .2750 | 4.8516 | .0029 | 10.04853 | .0066 | |
| EMBI | -0.126677 | .6839 | 2.5476 | .4672 | .694530 | .7066 | |
| Joint | .7126 | .0144 | 11.93025 | .0635 | |||
| Lags LM-Stat Prob 1 13.6520 0.1453 2 11.7423 0.2282 3 9.2159 0.4185 Fuente: Elaboración propia, salida Eviews | |||||||
Como se puede observar en el lado superior de la Tabla 4, el resultado de la prueba Jarque-Bera sugiere que no es posible rechazar la hipótesis nula que supone normalidad multivariante en los residuales; de la misma manera, los resultados de la prueba de correlación serial de Breusch–Godfrey LM presentados del lado inferior de la Tabla 4 evalúan la hipótesis nula de ausencia de correlación serial, misma que no se puede rechazar. Adicionalmente, para evaluar si la varianza es constante se aplica la prueba de White que evalúa la hipótesis nula de ausencia de heterocedasticidad; la prueba arroja un estadístico χ² de 131.70con su correspondiente nivel de significancia del orden de 0.06034, por lo cual podemos asumir que el modelo es homocedastico.
Resumiendo lo anteriormente expuesto, la ecuación (1) representa un modelo VAR estable a partir del número de rezagos óptimo (tres rezagos) sobre la base de los criterios de Akaike y Hannan Quinn, las variables que conforman el VAR son I(0) tal y como pudo comprobarse en el apartado de pruebas de raíz unitaria. Las pruebas de diagnóstico de regresión del VAR no muestran evidencia de autocorrelación o heterocedasticidad, de igual manera no rechazan la hipótesis nula de una distribución normal en los residuos. En la Tabla 5 se presenta la estimación de los coeficientes de las ecuaciones del VAR.
| Variables Dependiente | EMBI | M | X |
| Coeficiente | Coeficiente | Coeficiente | |
| TCEMBI (i) -1 | -0.523712 | -0.125126 | -0.079270 |
| TCEMBI (i) -2 | -0.445297 | -0.109110 | -0.079614 |
| TCEMBI (i) -3 | -0.185947 | -0.085816 | -0.058122 |
| TCIMP (i) -1 | 0.281470 | -0.962232 | 0.064860 |
| TCIMP (i) -2 | 0.085264 | -1.095122 | -0.116691 |
| TCIMP (i) -3 | 0.025793 | -0.980132 | -0.221495 |
| TCEXPOR (i) -1 | 0.366834 | 0.210514 | -0.898185 |
| TCEXPOR (i) -2 | 0.827990 | 0.666531 | -0.366302 |
| TCEXPOR (i) -3 | 0.482886 | 0.334268 | -0.410941 |
| C | -0.000380 | 0.000357 | -0.410941 |
| R- cuad. aj. | 0.345496 | 0.859066 | 0.000525 |
Descomposición de la Varianza
El procedimiento de descomposición de la varianza muestra la contribución marginal de las innovaciones sobre la varianza total, en otras palabras, ofrece la posibilidad de identificar de qué forma contribuye cada shock sobre el error de predicción del sistema VAR(Santander, 2009); lo anterior se puede apreciar a continuación en la Tabla 6:
| Periodo | Error Estándar | TCEMBI | TCIMPOR | TCEXPOR | |
| TCEMBI | 3 | 0.2191 | 98.01 | 1.56 | 0.41 |
| 6 | 0.2257 | 94.70 | 4.21 | 1.07 | |
| 10 | 0.2292 | 92.88 | 5.68 | 1.42 | |
| TCIMPOR | 3 | 0.0765 | 12.75 | 86.04 | 1.20 |
| 6 | 0.1035 | 17.03 | 77.24 | 5.72 | |
| 10 | 0.1179 | 17.89 | 72.15 | 9.95 | |
| TCEXPOR | 3 | 0.0574 | 8.09 | 46.74 | 45.15 |
| 6 | 0.0773 | 13.72 | 50.56 | 35.70 | |
| 10 | 0.0889 | 14.63 | 50.63 | 34.73 |
Como se puede apreciar en la Tabla 6, las innovaciones del EMBI contribuyen a explicar un 92.88% de su respectivo error de predicción en el último periodo considerado, las importaciones y exportaciones son explicadas por éste, en un 5.68% y 1.42%, siendo esta última la variable más exógena del modelo. Para el caso de las importaciones, la variable más endógena resulta ser el EMBI. En el caso de las exportaciones, el análisis revela que dicha variable se explica por sí misma en un 34.73%, mientras que el EMBI y las importaciones, explican un 14.63% y 50.63%, es decir, la variable más exógena es el EMBI. Lo anterior demuestra que las innovaciones que va sufriendo el EMBI si contribuyen a explicar la dinámica de las exportaciones, con mayor impacto, y las importaciones; y de igual manera, el análisis sugiere que el EMBI es afectado por los shocks que sufren las importaciones, principalmente.
Causalidad
La prueba de causalidad en el sentido de Granger se emplea para examinar las relaciones de causalidad, en particular la dirección, existente entre variables, la prueba asume que, para cuestiones de predicción, la información relevante de las variables está contenida en las series de tiempo (Gujarati & Porter, 2010). Los estadísticos obtenidos mediante esta prueba permiten determinar la medida en que los valores pasados de una variable ayudan a predecir el comportamiento de otra. Los resultados de la prueba de Wald, presentados en la Tabla 7, sugieren que las exportaciones reaccionan de manera bidireccional al EMBI y, como es de esperarse, a las importaciones. Por otro lado, los resultados de la Tabla 7 sugieren que el EMBI presenta causalidad bidireccional en el sentido de Granger con las exportaciones, y una relación unidireccional con las importaciones.
| Variable | Probabilidad | |
| TCEXPOR | TCIMPOR | 0.0034* |
| TCEMBI | 0.0338* | |
| TCIMPOR | TCEXPOR | 0.0045* |
| TCEMBI | 0.0738 | |
| TCEMBI | TCEXPOR | 0.0002* |
| TCIMPOR | 0.0015* |
Función impulso-respuesta
Debido a la dificultad de interpretar los coeficientes estimados en un modelo VAR, se utiliza el procedimiento de Función Impulso Respuesta (FIR): análisis gráfico que, mediante el procedimiento de descomposición de Cholesky, muestra la reacción de las variables endógenas ante shocks en el sistema (Novales, 2014). Así, el análisis de las respuestas a los impulsos ilustra los valores actuales y futuros de cada variable del sistema VAR ante la reacción de 10 periodos, considerando bandas de confianza de ± 2 errores estándar; los resultados se ofrecen en la Figura 3. Entre los resultados que valen la pena destacar encontramos la reacción que presenta el EMBI ante shocks inesperados en los componentes de la balanza comercial. Si bien es cierto que en algunos periodos se puede apreciar una reacción positiva, la respuesta del EMBI ante las innovaciones de las exportaciones y las importaciones es negativa, siendo exportaciones la variable que genera una mayor reacción del EMBI.
En cuanto a la forma en que las perturbaciones de corto plazo en el riesgo país afectan la dinámica del comercio con el exterior de México, los resultados ofrecidos en la Figura 3 sugieren que, al igual que en caso anterior, los shocks inesperados ocasionan reacciones positivas, pero siendo las reacciones más intensas en sentido inverso. El panel (b) muestra como las exportaciones responden a perturbaciones causadas por el EMBI, siendo estas considerables en los periodos 2, 5, 6, y 9, con desviaciones estándar de -0.015652, 0.012587, -0.018336 y 0.001431. El panel (d) muestra la reacción de las importaciones ante perturbaciones ocasionadas por el EMBI, como se puede observar, la reacción es similar a la que presentan las exportaciones.

Nota: Primeras diferencias de las tasas de crecimiento de cada una de las variables
Lo anteriormente expuesto sugiere, además de confirmar la relación eminentemente inversa entre la actividad comercial con el exterior y la prima de riesgo país, las expectativas asociadas al EMBI afectan a la balanza comercial primordialmente a través de las importaciones mientras que las exportaciones son el componente que tienen mayor impacto sobre la prima de riesgo país. Finalmente es preciso destacar que la bondad de ajuste del modelo representado por la ecuación (1) muestra un R-cuadrado corregido de 0.8308, lo cual sumado a la significancia estadística de los coeficientes, permite sugerir que las exportaciones y las importaciones son variables significativas para explicar el comportamiento de la prima de riesgo país en México.
Conclusiones
A la luz de las reformas estructurales, adoptadas por gobiernos principalmente de economías emergentes, entre las que destacan apertura comercial, la privatización de empresas nacionales, la integración y desregulación financiera, manifestaciones todas ellas de la llamada globalización,se ha incrementado el interés por estudiar el impacto de las decisiones de política económica así como los mecanismos y la velocidad de transmisión de efectos económicos y financieros.
Las aportaciones del presente estudio se podrían clasificar en tres categorías. En primer lugar y hasta donde tenemos conocimiento, el análisis ofrecido es de los primeros que aborda la relación entre la apertura comercial, aproximada mediante las exportaciones y las importaciones, y el riesgo país, capturado mediante el EMBI+, en la economía mexicana, mediante una metodología VAR[10].
En segundo lugar, la modelación econométrica utilizada permite detectar relaciones significativas subyacentes entre los componentes de la balanza comercial y la prima del riesgo país, en México, confirmando, en términos generales, la hipótesis de que un mayor nivel de comercio con el exterior está asociado con expectativas positivas sobre el crecimiento de la economía doméstica, capturadas a través de la evolución de la prima de riesgo país. En cuanto a la forma en que las variaciones en la dinámica del sistema son explicadas por cambios inesperados, los resultados del análisis sugieren que las innovaciones del EMBI son significativas en las variaciones observadas en exportaciones e importaciones y que la dinámica en la varianza del indicador del riesgo país es explicada principalmente por las importaciones. Por otro lado, el estudio revela relaciones de causalidad bidireccional entre las exportaciones y el EMBI, y relaciones unidireccionales desde el EMBI hacia importaciones. En cuanto a la respuesta a los estímulos inesperados el estudio revela relaciones inversas: el riesgo país afecta principalmente al comportamiento de las importaciones, mientras que las perturbaciones de corto plazo en las exportaciones generan el mayor efecto sobre el EMBI. En tercer lugar, se ofrece evidencia empírica que refuerza hallazgos de estudios previos que señalan que la dinámica de variables domésticas influye en la percepción de agentes externos sobre la capacidad de pago de la economía, a través de la calificación del riesgo país; particularmente el estudio documenta la presencia de vínculos estadísticamente significativos entre la dinámica de las exportaciones, importaciones y el EMBI.
Lo anterior pudiera coadyuvar en el diseño de estrategias de política pública orientadas a mejorar la percepción de las condiciones de seguridad -vs riesgo- que ofrece el mercado mexicano frente a las garantías requeridas por agentes internacionales, así como influir, mediante la consideración de efectos externos sobre la rentabilidad y el costo de capital, en las decisiones de inversión y financiamiento de procesos productivos.
Por otro lado, es preciso destacar que entre las potenciales limitaciones del estudio destacan la falta de acceso a un mayor número de observaciones longitudinales junto a la presencia de rupturas estructurales en las series modeladas.
Finalmente, y ante la humilde pretensión de que los resultados del presente estudio pudieran coadyuvar en las decisiones de agentes interesados en la forma en que la economía mexicana responde a la evolución del riesgo país, es preciso señalar la necesidad de más estudios que contribuyan a ampliar el panorama de las consecuencias asociadas a la apertura comercial, incluyendo además de aspectos como el tipo de bienes comerciados, el destino de los mismos y condiciones comerciales, el diseño de estrategias encaminadas a reducir las brechas tecnológicas y científicas, respecto a economías más desarrolladas. Asimismo, considerar variables como el tipo de cambio y la inversión, mismas que han sido señaladas como aspectos influyentes para el crecimiento y desarrollo económico. Adicionalmente valdría la pena explorar el fenómeno desde la perspectiva de las relaciones potenciales de largo plazo –cointegración-, entre las variables.
Referencias
Beers, T. D. (1997). Standard & Poors Sovereing Rating Criteria. The Handbook of Fixed Income Securities.
Bernardi, C. B. (2005). El contagio financiero en países emergentes. Pensamiento & Gestión, 19, 43-77.
Capistrán, C., & Ramos-Francia, M. (2009). Uso de Modelos Estacionales para Pronosticar la Inflación a Corto Plazo en México. BANXICO.
Ciarrapico, A. M. (1992). Country Risk: A theoretical framework of analysis.Dartmounth: Aldershot.
Cimoli, M., & Correa, N. (2005). La apertura comercial y la brecha tecnológica en América Latina: una trampa de bajo crecimiento. Más allá de las reformas: dinámica estructural y vulnerabilidad macroeconómica-Bogotá: Alfaomega/CEPAL, 51-78.
D'Arista, J. (2002). Financial Regulation in a Liberalized Global Environment . International capital markets : systems in transition, 75-97.
Darvis, K. (2012). Convergencia, interdependencia y divergencia. Economía mundial.
Dufour, M., & Orhangazi, Ö. (2007). International financial crises; scourge or blessing in disguise. Review fo Radical Political Economics, 342-350.
Dufour, M., & Orhangazi, Ö. (2016). Growth and distribution after the 2007–2008 US financial crisis: who shouldered the burden of the crisis? . Review of Keynesian Economics, 4(2), 151-174., 151-174.
Duménil, G., & Lévy, D. (2006). Imperialism in the neoliberal era; Argentina´s reprieve and crisis. Review of Radical Political Economics, 388-396.
Eaton, J., & M., G. (1981). Debt with potential repudation; Theoretical and empirical analysis. Review fo Economic Studies , 289-309
Emir, O. Y., Özatay, F., & Şahinbeyoğlu, G. (2007). Effects of US interest rrates and news on the daily interest rates of a highly indebted emerging economy: evidence from Turkey. Applied Economics, 329-342.
Erb, C., Harvey, & Viskanta, T. (1996). Political risk, economic risk and financial risk. Financial Analysts Journal.
Ffrench-Davis, R. (2001). Crisis Financieras en paises Exitosos. Revista de la CEPAL.
Freeman, R. (1979). Optimal international borrowing with default. International Finance Discussion Paper.
Grossman, G. M., & Helpman, E. (1991). Innovation and Growth in the Global Economic. The Massachusetts Institute of Technology Press.
Gujarati, D., & Porter, D. C. (2010). Econometría. Quinta edición: McGraw Hill.
Hefferman, S. (1986). Sovereing Risk Analysis. London: Unwin Hyman.
Hernández, J. L. (2011). Política macroeconómica y crecimiento económico: la experiencia mexicana. Economía Informa
Herring, R. J. (1983). Managing International Risk. Cambridge University Press.
Iglesias, E. (1992). Reflections on Economic Development; Toward a New Latin American Consensus.Washington, D .C: Inter-American Development Bank.
INEGI. (2017, abril 17). Banco de Información Económica. Retrieved from Instituto Nacional de Estadística, Geografía e Informática: http://www.inegi.org.mx/sistemas/bie/
Kristjanpoller, W., & Salazar, R. (2016). Inversión extranjera directa y desigualdad en el ingreso en Latinoamerica: e videncia de la cointegración de datos de panel. 433-455.
Kruger, A. (1980). Trade Policy as an input to Development. American Economic Review, 188-292.
Kuznets, S. (1966). Modern Economic Growth. Yale University Press: New Haven, Conn.
Londoño, W. (2005). Modelos de Ecuaciones Multiples, Modelos VAR y Cointegración. Universidad EAFIT, 25-30
López del Paso, R. (2014). Medición del grado de Apertura de una economía. Extoikos, No. 14.
López, F. L., Venegas, F., & Gurrola, C. (2013). EMBI+ Mexico y su relación dinámica con otros factores de riesgo sistemático: 1997-2011. Estudios Económicos, 193-216
López, Herrera, Francisco, Mendoza, Velázquez, Alfonso, et al. (2011). Reflexiones sobre las crisis financieras.
Lucas, R. J. (1988). On the Mechanics of Economic Developments. Journal of Monetary Economics, 3-42.
Madura, J. (2010). Administración Financiera Internacional. México, D. F.: Cengage Learning.
Mántey, G., & Rosas, E. (2014). EMBI spreads: Sentimientos del Mercado y Fundamentos Económicos. Investigación Económica UNAM, 25-50.
Markowitz, H. (1952). Portfolio selection. The Journal of finance, 77(1), 77-91.
Mendoza, J. E. (2011). Impacto de la Inversión Extranjera Directa en el crecimiento manufacturero en México. Problemas de Desarrollo, 26. Mogrovejo, J. (2003). Factores determinantes de l
Morgan, J. (2017, Abril 17). Data Market. Retrieved from J.P. Morgan: https://datamarket.com/data/set/1dme/jp-morgan-emerging-markets-bond-index-embi
Nagy, P. J. (1979). "Country Risk; How to assess", quantify and monitor it.Euromoney.
Novales, A. (2014). Modelos vectoriales autoregresivos (VAR). Universidad Complutense, 2-41
Ocampo, J. A. (2005). La búsqueda de la eficiencia dinámica; dinamica estructural y crecimiento económico en los países en desarrollo. Mas allá de las reformas; dinamica estructural y vulnerabilidad macroeconómica-Bogotá; Alfaomega/ CEPAL, 3-50
Oliva, R., & Suarez, F. F. (2007). Economic reforms and the competitive environment of firms. Inudstrial and Corporate Change, 131-154.
Onaran, O. (2007). Wage share, globalization, and crisis; the case of the manufacturing industry in Korea, Mexico, and Turkey. 113-134.
Pateiro-Rodríguez, C., & Pedreira-Freire, L. (2003). Adaptacion de las tasa de interes de intervencion a la regla de Taylor, un análisis econometrico. Investigación Operacional.
Patterson, P. (1997). An Introduction to Applied Econometrics; a time series Approach.USA: Martín Press.
Rodríguez, C. A. (1995). Ensayo sobre el Plan de Convertibilidad.
Romer, P. (1986). Increasing Returns and Long Run Growth. Journal of Political Economy, 1002-1037.
Romer, P. (1990). Endogenous Technological Change. Journal of Political Economy, 71-102.
Ros, J. (2004). La teoría del desarrollo y la Economía del crecimiento. FCE, México.
Runkle, D. (1987). Vector Autoregressions and Reality. Journal of Business and Economic Statistics, 437-442.
Santander, R. (2009). Ortagonalización. Departamento de Matemáticas y Ciencia de la Computación.
Santillán, R. J. (2015). Lecciones y oportunidades para México. México, D. F.: Fundación de Investigación IMEF.
Schettino, M. (1995). Economía Internacional. México: Iberoamérica
Sims, C. (1980). Macroeconomics and Reality Econometria. Vol. 48
Solow, R. M. (1956). A Contribution to the Theory of Economic Growth. The Quarterly Journal of Economics, 65-94.
Te Velde, D. W. (2003). Foreing direct investment and income inequality in Latin America: Experiences and policy implications. Instituto de Investigaciones Socioeconómicas, Universidad Católica Boliviana
Thirlwall, A. P. (2000). The Nature of Economic Growth: An Alternative Framework for Understanding the Performance of Nations. Inglaterra: Edward Elgar.
Wade, R., & Veneroso, F. (1998). The Asian crisis: The high debt model versus the Wall Street-Treasury-IMF complex. New Left Review, 3-23
Zahler, R. (1980). Repercusiones monetarias y reales de la apertura financiera al exterior. CEPAL, 137-164.
Zopounidis, C., & Pardalos, P. (1998). Managing in uncertainly. Theory and practice, Papers from the 6th International Conference of the European Association of Management and Business Economics. Kluwer Academic Publishers: Dordrecht
Notas
Información adicional
JELClassification: F62, G10, G23