Calidad en el servicio y su incidencia en la satisfacción del comensal en restaurantes de La Paz, México
Service Quality incidence on commensal´s satisfaction in restaurants La Paz, Mexico.
Calidad en el servicio y su incidencia en la satisfacción del comensal en restaurantes de La Paz, México
Investigación Administrativa, vol. 48, núm. 123, 2019
Instituto Politécnico Nacional
Recepción: 13 Octubre 2018
Aprobación: 18 Diciembre 2018
Resumen: El objetivo es determinar la percepción promedio de la calidad en el servicio (CS) y su incidencia en las medias de la satisfacción del cliente (SC) en 54 restaurantes adscritos a la Cámara Nacional de Restaurantes y Alimentos Condimentados, A.C. de La Paz, Baja California Sur. El método se realizó mediante encuestas a comensales valorando cinco dimensiones (instalaciones, accesibilidad, capital humano, atmósfera y la comida) y una serie de análisis de varianza donde los factores fueron los tipos de especialidades de restaurantes. Los resultados revelan que los dimensiones de la CS y SC no presentaron diferencias significativas, excepto en el factor atmósfera y comida. Este hallazgo revela que es necesario realizar un análisis estratégico del servicio para los empresarios. La originalidad consistió en medir la SC en relación a la CS la cual presentó una r=0.9 global. Una limitación fue que solo se segmenta a la población por sexo.
Palabras clave: Calidad, servicio, satisfacción, restaurantes.
Abstract: The goal[LAR2] is to determine the average perception of quality in the service (CS) and its incidence in the means of customer satisfaction (CS) in 54 restaurants attached to the National Chamber of Restaurants and Seasoned Foods Civil Association of La Paz, Baja California Sur. The method was implemented by surveys to diners valuing five dimensions (facilities, accessibility, human capital, atmosphere and food) and a series of analysis of variance where the factors were the types of specialties of Restaurants. The results reveal that the CS and SC dimensions did not have significant differences except in the atmosphere and food dimensions. This finding reveals that it is necessary to carry out a strategic analysis of the service for the Entrepreneurs. The originality consisted in measuring the SC in relation to the CS which presented a global r =0.81. One limitation was that only the population was segmented by sex.
Keywords: Quality, services, satisfaction, restaurants.
Introducción
En el contexto mercadotécnico, es común mencionar que la calidad es uno de los principales pilares de la mejora organizacional y partícipe de la construcción de un futuro direccionado en gran medida en las capacidades ejercidas para poder ofrecer productos y servicios a un mercado cada vez más demandante y altamente competitivo. De ahí el interés legítimo de los empresarios (tomadores de decisiones) por encontrar mecanismos o indicadores de valoración de la calidad de sus productos y servicios ofertados. El concepto “calidad” ha adquirido sin duda alguna un fuerte protagonismo sea cual sea su enfoque, tanto desde la perspectiva académica como aquella que se origina desde el sector productivo o aspecto práctico. La calidad en el servicio (CS) y la satisfacción del cliente (SC) han sido ampliamente utilizadas en diferentes sectores industriales para fortalecer las relaciones existentes entre el consumidor y la empresa (Morgan & Hunt, 1994, Woodruff, 1997). Lo anterior permite que las organizaciones en su estrategia de mercado vinculen sus recursos orgnizacionales de manera que propicien satisfactores que coadyuven en el posionamiento de la empresa. Ambos constructos, son considerados por las empresas como una herramienta estratégica para sobrevivir en el mercado y particularmente, en entornos sumamente competitivos (Spreng & Mackoy, 1996) como ocurre en la industria restaurantera en México (Vera & Trujillo, 2017) dentro del sector turístico.
En este sentido, es importante señalar que tan solo dentro del sector de servicios en México, la industria de restaurantes concentra más de la cuarta parte de las unidades económicas dedicadas a la prestación de servicios privados no financieros; casi una quinta parte del empleo; más de la décima parte de la producción bruta total y del consumo intermedio y el 7.9% del valor agregado censal bruto (INEGI, 2014) . De acuerdo con los Censos Económicos 2014 a nivel nacional, se captaron 4,230,745 unidades económicas de las cuales 10.7% pertenecen al subsector de preparación de alimentos y bebidas en donde se dio empleo al 6.8% del personal total, generando el 1.8% de la producción bruta total y con el 1.9% del consumo intermedio. Particularmente, en el estado de Baja California Sur, la industria restaurantera tiene una enorme importancia debido a sus destinos turísticos (Angeles, Gámez, Ivanova, 2012). Tan sólo al citar el aspecto relacionado al personal ocupado en este segmento, el cual cuenta con 13,280 personas, representando al 23% en el sector servicios de las Californias (INEGI, 2014).
Aunado a lo anteriormente expuesto, en una entrevista clave con la presidenta de la Cámara Nacional de la Industria Restaurantera y Alimentos Condimentados A. C. (CANIRAC) en Baja California Sur (Hinojosa Oliva, 2016) reveló que la calidad en el servicio en el segmento restaurantero, es uno de los factores de mayor relevancia y reconoce de manera empírica, tanto ella como los empresarios del gremio, el impacto de ésta no sólo en la satisfacción de sus comensales, sino también, en sus ventas y en su nivel de posicionamiento dentro del mercado. Lo anterior, revela lo importante que es para este sector realizar una valoración continua de manera sistematizada de su oferta de servicios para seguir siendo competitivos dentro del mercado. Por otro lado, la CANIRAC reconoce hasta el 2017, cinco tipos de especialidades de restaurantes: la italiana, la mexicana, la japonesa, la internacional y la de mariscos, los cuales, compiten en el mercado pero carecen de mecanismos de valoración de la calidad en el servicio y de la satisfacción del cliente. Los estudios de calidad documentados en la literatura de índole académico son efímeros para este importante mercado (Monroy Ceseña, 2016).
Con base en estos antecedentes, el propósito de esta investigación es evaluar la Calidad en el Servicio (CS) y Satisfacción del Cliente (SC) en las cinco diferentes especialidades de restaurantes, tomando como caso de estudio el destino turístico de La Paz en Baja California Sur, mediante la percepción promedio de los comensales bajo múltiples dimensiones; de tal manera que se identifiquen las dimensiones que impacten con efectos positivos o negativos, generando una primera línea base de indicadores de calidad. Así mismo, con la información recabada se contribuirá tanto en la documentación académica como en la generación de un instrumento pragmático para la toma de decisiones en las empresas de éstas diferentes especialidades.
Revisión de la literatura
Calidad en el servicio
En relación a la medición del constructo de la calidad en el servicio, el instrumento más utilizado es el SERVQUAL (Parasuraman, Zeithaml, & Berry, 1985; 1988) de acuerdo con Vera & Trujillo (2017). Este instrumento evalúa la percepción en la calidad en el servicio con escalas multi-ítems en milti-dimensiones. La percepción de la calidad es el juicio de los comensales acerca de la excelencia o superioridad general de una entidad, como una forma de actitud relacionada pero no equivalente a la satisfacción (Parasuraman, Zeithaml, Berry, 1988). De acuerdo con Oliver (1981), la satisfacción es la suma del estado psicológico que resulta cuando la emoción que rodea las expectativas no confirmadas se combina con los sentimientos previos del consumidor sobre la experiencia del consumo. El mismo autor resume la naturaleza de la satisfacción como una transacción específica, por lo cual, una actitud es una orientación afectiva duradera de los consumidores hacia un producto, tienda o proceso (servicio al cliente), mientras que la satisfacción es una reacción emocional después de una experiencia no confirmada que actúa en el nivel de actitud base y es específica del consumo. En este sentido, tal como lo menciona Parasuraman, Zeithaml, Berry, (1988), la percepción de la calidad en el servicio es un juicio global o actitud, donde la satisfacción está relacionada con una transacción especifica. Bitner (1990), sustenta la importancia del modelo SERVQUAL, debido al término disconformidad positiva/negativa, en el que las expectativas y las percepciones no son similares, lo cual lleva a suponer que el modelo manifiesta que la satisfacción del cliente es un input en la percepción del cliente, lo cual se refleja en el comportamiento de compra. Rust & Oliver (1994), afirman que los juicios posteriores de satisfacción son el resultado de la diferencia percibida por el consumidor entre sus expectativas y la percepción del resultado.
El diseño SERVQUAL ha sido ampliamente utilizado como base para el diseño de instrumentos de medición de la calidad en el servicio (Seth, Deshmukh, Vrat, 2005). El instrumento valora la calidad en el servicio en diez dimensiones en 97 ítems basado en una escala de Likert, donde cada atributo de calidad en el servicio se contemplan dos reactivos: uno sobre expectativa con respecto al atributo y otro sobre el desempeño del mismo, donde la diferencia (gap o brecha) se refiere a la calidad en el servicio. No obstante, Cronin & Taylor (1992) proponen una adaptación llamada SERVPERF (Service Performance) que mide únicamente el desempeño, demostrando ser una forma más válida de medir la calidad en el servicio (Brandy, Cronin & Brand, 2002).
Jain & Gupta (2004) mencionan que el modelo SERVPERF tiene la principal ventaja de que sólo se aplica una vez, a diferencia del modelo SERVQUAL, tomando como principal resultado, no la diferencia entre las expectativas y las percepciones; sino que, únicamente considera a las segundas, haciendo una operatividad mucho más sencilla. Si bien SERVPERF presenta ventajas logísticas en la implementación de encuestas, la utilización de forma genérica en las diferentes industrias resultaría limitada, debido a que la calidad como proceso, depende en gran medida de dos aspectos: del tipo de industria y del contexto cultural, de acuerdo con Guzmán López & Cácamo Solís (2013). En este sentido, Bolton & Drew (1994) y Heung, Wong, & Qu (2000) comentan que cada industria posee sus particularidades, puesto que las características de los clientes, cambian de una industria a otra; esto, se debe a que cada industria está conformada por diferentes dimensiones que le dan forma a la calidad en el servicio, y que llegan a requerir adiciones conforme se especifique en mayor medida el servicio de cada sector (Dabholkar, Thorpe, & Rentz, 1996). Las empresas dedicadas a los servicios tienen que ir no sólo en constante crecimiento y adaptabilidad conforme a las exigencias de los consumidores; sino que también, éstas deben comprender que los competidores están cada vez más preparados y capacitados para ofrecer sus servicios. Duque Oliva & Palacios Palacios (2017), comentan que, la industria actualmente dirigida a la gastronomía es el resultado de una evolución social y cultural de muchos siglos. Lo anterior, debe asimilarse de forma tal que, al analizar la calidad, ésta debe comprenderse como un elemento vivo, en constante evolución y construcción, que ha ido adquiriendo nuevos significados a lo largo del tiempo y de forma paralela en los ámbitos de su aplicación: producción y servicios (Araujo, G. & Borrego, P., 2017).
Por otro lado, en el entorno de los restaurantes es de suma importancia considerar que cuando se cita la propuesta de valoración en la calidad, existe tanto un estado tangible de atributos relacionados con un restaurante, como al mismo tiempo, una serie de factores intangibles, que se encuentran relacionados en los juicios de valor percibido y posteriormente emitido por los comensales al tomar en consideración diversos dimensiones alrededor de la oferta y que se refleja en su toma de decisión de consumo o no consumo a futuro. Por lo anterior, resulta necesario la adaptación de los instrumentos de medición de la calidad en el servicio y satisfacción del cliente hacia el tipo de industria y sobre todo a la identificación de las dimensiones de estudio para la industria restaurantera. En este contexto, resalta el estudio propuesto por Vera & Trujillo (2017) donde se especifican tanto las dimensiones como los atributos tangibles (productos) e intangibles (servicios) que ofrece el sector restaurantero en México.
La medición de la calidad en el servicio, no solo se limita a los instrumentos como SERVQUAL o SERVPERF (Ladhari, 2008; Ramezani Ghotbavadi et al. 2014), también han sido utilizados el DINESERV (Stevens, Knutson, & Patton, 1995), Retail Service Quality Scale (Dabholkar, Thorpe & Rentz, 1996), Service Quality model (Grönroos, 1984), SERVQUAL NQ & EP (Teas, 1993); los anteriores basados encuestas estructuradas. También es utilizado las de opinión directa por parte de los comensales (Oh, 2000). No obstante, este estudio se basa en percepciones como una adaptación al modelo SERVPERF de acuerdo con las dimensiones y atributos de Trujillo & Vera (2017) enfocadas a la industria restaurantera en México.
La satisfacción del cliente
Para el constructo de la satisfacción del cliente en el área turística, muy relacionado con la industria restaurantera, se han realizado varios trabajos de investigación, como los de Valls Figueroa (2011), Moliner Velázquez & Berenguer Contrí (2011), Correia Loureiro & Miranda González (2006) y Yepes Piqueras (2015). En tales estudios, se afirma que la satisfacción del cliente es un componente básico para el buen funcionamiento de las empresas, y que es una tarea complicada evaluar la calidad en el servicio sin la consideración de la voz y percepción del cliente. Kotler & Armstrong (2012), definen la satisfacción del cliente como el nivel de estado de ánimo de una persona que resulta de comparar el rendimiento percibido de un producto o servicio con sus expectativas. Bajo la perspectiva de Zeithaml, Bitner, & Gremler (2009), las emociones de los clientes también pueden afectar a sus percpeciones hacia los productos y servicios, ya que se basan en la experiencia del servicio, emociones positivas como felicidad, placer, euforia y una sensación de corazón cálido mejora la satisfacción de los clientes.
Los primeros conceptos de la satisfacción del cliente estaban dirigidos a través de una mercadotecnia transeccional, en el que los productos era el punto central de la oferta al cliente, y por tanto, tenía un mayor peso específico. La evolución del pensamiento mercadológico ha obligado a las empresas a pensar en un enfoque relacional y otorgarle un mayor peso a la opinión del cliente al momento de establecer su estrategia promocional; es decir, lo que ahora tiene una mayor importancia es la percepción del cliente y las relaciones que pueden surgir con éste (Castejón Jiménez, 2016). Romero Fernández (2015), menciona que en el caso de las empresas que brindan servicios, resulta aún más importante trazar una estrategia en la que la calidad presente un papel primordial; sin embargo, es complicado debido a que la oferta del servicio depende prácticamente del momento de la prestación. Lo anterior, expresa lo importante que es el proceso de gestión, ya que en esa atención prestada al cliente se derivará un estado psicológico positivo o negativo que se le denominará satisfacción o insatisfacción. En este mismo orden de ideas, Blank (2018), menciona que la percepción del consumidor aplica al concepto de percepción sensorial del marketing y se refiere a cómo los seres humanos perciben y procesan estímulos sensoriales a través de sus cinco sentidos y se van formando una opinión sobre las empresas, productos y servicios.
La satisfacción del cliente se encuentra influida de una manera significativa por la evaluación que se hace del producto o servicio. Para un servicio como el que presta un restaurante, las características más relevantes podrían ser: el personal que atiende, los horarios, las instalaciones, el mobiliario, la variedad de los platillos, la sazón de los platillos, el ambiente del restaurante, el tiempo en el que prestan el servicio (Zárraga Cano, Molina Morejón & Corona Sandoval, 2018).
Tomando en cuenta lo relatado, la industria restaurantera debe evaluar tanto la satisfacción del cliente, como la calidad en el servicio para generar un factor de diferenciación con sus comensales, y de esta forma, definir una imagen de mercado que le permita desarrollar una ventaja competitiva. Rust, Moorman, & Dickson (2002), sugieren que las estrategias enfocadas a la satisfacción del cliente, generación de ingresos y calidad en el servicio pueden ser más rentables que las estrategias enfocadas a la reducción de costos, ya que un cliente satisfecho deja de lado a la competencia, y por lo general, vuelve a adquirir el servicio comunicando a otros posibles clientes las experiencias positivas percibidas en el proceso (Kotler & Lane, 2006).
Ibarra Morales y Casas Medina (2014), señalan que el modelo SERVPERF (donde se valora la percepción) presenta ventajas sobre el SERVQUAL (donde adicionalmente se valora las expectativas) cuando se evalúa la satisfacción. Una ventaja es que el entrevistado ocupa menos tiempo en responder el cuestionario dado a que se implementa sólo una pregunta una vez por cada ítem; los trabajos de interpretación y de análisis son más sencillos. Además, menciona el autor que, con el análisis de las percepciones, aunque se agregue una pregunta sobre satisfacción relacionada con el servicio o producto, éste permite analizar la contribución de los restantes ítems al nivel de satisfacción global alcanzado.
Para el desarrollo de este trabajo de investigación, se utilizó la metodología SERVPERF con una adaptación donde se evalúa únicamente las percepciones como una buena aproximación a la satisfacción del cliente, definida ésta como “el nivel del estado de ánimo de una persona que resulta de comparar el rendimiento percibido de un producto o servicio con sus expectativas” (Kotler, 2006).
En lo que concierne a la relación entre la CS y SC, en la esfera de los restaurantes, se ha demostrado que la CS tiene un impacto positivo en la SC, sin embargo la relación entre éstas ha sido poco estudiada (Murad, Muhammad, 2015; Almohaimmeed, 2017). Sureshchandar, Rajendran, Anatharaman (2002) demuestran que la calidad en el servicio es independiente en efecto de la satisfacción del cliente, sin embargo, al igual que muchos autores, ambos constructos presentan una correlación positiva considerable, que puede ser no causal. En este estudio se explora dichas relaciones entre los diferentes atributos de las dimensiones selecionadas.
Propósito del estudio
En términos de competitividad, en las últimas décadas, los estudios de mercadotecnia han resaltado la importancia que tiene fortalecer las relaciones entre la empresa y sus clientes; esto, en el contexto en el que los clientes son cada vez más exigentes y menos fieles, los clientes que mantienen vínculos duraderos con su proveedor representan un activo valioso, debido a que compran con mayor frecuencia y están dispuestos a pagar un precio mayor, por consiguiente, cuestan menos a la empresa (Rigby, Reichheld, & Schefter, 2002). La comunicación es un factor fundamental para la administración de toda empresa, pues a través de esta, es posible conocer todo aquello que le agrada o desagrada a los clientes; en este sentido, el estudio de la calidad en el servicio proporciona en gran medida la identificación de factores que inciden en mayor o menor medida en los gustos de consumo de los clientes.
Un aspecto relevante dentro de esta investigación es que, la calidad en el servicio es importante para todos aquellos hombres y mujeres de negocios que están inmiscuidos en el entorno de los restaurantes; sin embargo, una de las principales falencias es que, no existe evidencia en la base de datos de la CANIRAC acerca del comportamiento de este factor, y mucho menos de cómo influye en la satisfacción de los comensales en la localidad. Tomando como base la importancia del destino turístico de Baja California Sur, en relación a la industria restaurantera de interés para el desarrollo regional, y las demandas en el requerimiento de la medición de la calidad por parte de la organización CANIRAC en el estado, este estudio propone evaluar la calidad en el servicio y satisfacción del cliente mediante la percepción promedio de los comensales segmentados por los cinco tipos de especialidades de restaurantes, incluyendo además las adaptaciones propuestas por Vera & Trujillo (2017) para el sector restaurantero en México, entorno a las dimensiones favorables para este mercado en particular.
Objetivos, preguntas de investigación e hipótesis
El objetivo general de esta investigación es: Valorar la percepción de la CS y SC, así como determinar el grado de incidencia de las medias de la CS en las medias de la SC (en términos correlativos) en los restaurantes en el destino turístico de La Paz, México. Los objetivos particulares que aborda ese trabajo son: 1) Determinar si existe diferencia significativa entre la media de la CS en las diferentes especialidades restauranteras, 2) Determinar si existe diferencia significativa entre la media de los dimensiones de la SC en las diferentes especialidades restauranteras.
De los anteriores, se desprende tres preguntas: 1) ¿Cuál es el grado de incidencia de las medias de la CS en las medias de la SC (en términos de correlación) en restaurantes del destino turístico de La Paz?, 2) ¿Existe diferencia significativa entre las medias de la percepción de los dimensiones de la CS en las diferentes especialidades restauranteras? y 3) ¿Existe diferencia significativa entre la media de los dimensiones de la SC en las diferentes especialidades restauranteras?
Como complemento a los objetivos y preguntas, nosotros partimos a la vez de las siguiente hipótesis: 1) El grado de incidencia (correlativa) de la media de la CS en las medias de la SC es positiva, tal como ha ocurrido en la literatura revisada, 2) Dada la competencia teórica que presenta un mercado en la actualidad, se esperaría que los valores de la CS sean similares en magnitud, de tal manera que no presentarían diferencias significativas en las diferentes especialidades restauranteras, y 3) de manera similar se esperaría el que la media de los dimensiones de la SC no presenten diferencias significativas en las diferentes especialidades.
Metodología
Diseño de la investigación y la encuesta
Sobre el destino turístico de la Ciudad de La Paz, se consideraron a los restaurantes especializados en comida italiana, mexicana, japonesa, internacional y de mariscos, según la clasificación de la CANIRAC en Baja California Sur. La población de estudio corresponde a los comensales mayores de 18 años clasificados dentro de las especialidades anteriormente descritas. Se desconoce la cantidad y la variación de personas de esta población, empero, mediante un focus group por parte del personal y gerencia se estimó una fluctuación de 10,570 personas por semana (ver tabla 1 para la segmentación por especialidad).
Debe tomarse en cuenta, que la investigación en esta etapa es de tipo transversal, debido a que se recolecta información en un momento dado, en esta caso, durante noviembre a abril de 2017. De esta población se tomó una muestra aleatoria de 207 comensales para caracterizar el promedio de la percepción de la Calidad en el Servicio (CS), como el de la Satisfacción del Cliente (SC) basadas en la dimensiones y atributos propuestos por Trujillo & Vera (2017). A las personas se les aplicó una encuesta como instrumento para valorar la percepción de CS y SC. El instrumento, es un método de medición de actitudes basado en la Escala de Likert (Hernández Baeza et al., 2013; Hernández Sampieri, Fernández Collado y Bapstista, 2014), el cual consiste en un número determindo de ítems (o preguntas) donde cada ítem es valorado en una misma escala cuantitativa que relaciona las categorías ordinales que mejor defina el encuestado.
En esta investigación en particular, se utilizó una adaptación al cuestionario previamente validado por Vera & Trujillo (2009, 2017) donde se valora la CS (variable) incluyendo cinco dimensiones de estudio: Las instalaciones, la accesibilidad, el capital humano, la atmósfera y la comida. Cada una de las dimensiones, es medida a partir de la media obtenida de 3 a 5 ítems. En la misma encuesta, se adaptó una pregunta adicional (un ítem por dimensión) para valorar la Satisfacción del Cliente (SC) inovada en este trabajo de investigación.
Por lo anterior expuesto, la encuesta (anexo 1) consistió en medir la SC a partir de 21 ítems con la siguiente escala: el valor 5 representa TOTALMENTE DE ACUERDO, el 4 representa DE ACUERDO, el 3 representa NI DE ACUERDO NI EN DESACUERDO, el 2 representa EN DESACUERDO, y el valor de 1 representa TOTALMENTE EN DESACUERDO. Para la SC, se incorporó cinco ítems, bajo la siguiente escala: con valor 5 interpretado como TOTALMENTE SATISFECHO, para el valor de 4 SATISFECHO, para el valor de 3 NI SATISFECHO NI INSATISFECHO, para el valor de 2 INSATISFECHO, y por último el valor de 1 como TOTALMENTE SATISFECHO.
Cabe señalar, que el número de ítems propuesto (26 ítems) fue el mínimo bajo la consideración de los gerentes de restaurantes, que si bien, el 93% accedió a la implementación de las encuestas, siempre indicaron utilizar el mínimo de tiempo (no mas de 15 minutos) y evitar preguntas como lugar de origen, edad, entre otras que por experiencia, podrían “incomodar” al cliente. Esta falta de información general no permitió una segmentación sociocultural a detalle, no obstante, este estudio se centra en el promedio de la percepción de la CS y SC, así como su relación a nivel especialidad dadas las dimensiones de estudio. Por lo anterior, solo se logró segmentar a los encuestos por su sexo. La CS y SC, por tratarse de una variable cuantitativa como aproximador de una categoría ordinal en la escala de Likert (1 al 5, Hernández Sampieri, Fernández Collado y Bapstista, 2014;Anderson et al., 2018), el tamaño de la muestra para la estimación de la media es suficiente con al menos 30 datos para justificar el teorema de límite central (Anderson et al., 2018), por lo tanto, con 207 encuestas (>30 por especialidad) cumple con este importante supuesto estadístico para una adecuada inferencia del parámetro población (media).
Encuesta piloto, confiabilidad y adquisición de datos
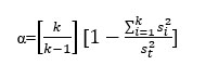
Una vez diseñada la encuesta y las escalas de valoración para la CS y SC, el siguiente paso fue explorar la consistencia interna de la encuesta (Hernández Baeza et al., 2013; Hernández Sampieri, Fernández Collado y Bapstista, 2014). Por consiguiente, se realizó un muestro piloto de 15 encuestas (tres por especialidad) para establecer la consistencia interna mediante la estimación del alfa de Cronbach (Bonnet, 2002):
Donde α=alfa de Cronbach, k=número de ítems, =varianza del ítem i, =varianza de la suma de todos los ítems. Este estadístico se utiliza para evidenciar la validez y confiabilidad de las encuestas en estudios basados, por ejemplo, en la escala de Likert. Un alfa de Cronbach se valora entre 0 y 1, donde los valores por arriba de 0.7 (o 70%) se interpreta como un instrumento de medición aceptable (Hernández Sampieri, Fernández Collado y Bapstista, 2014). No obstante, en este estudio se realizó una estimación basada en la inferencia del alfa se Cronbach con intervalos de confianza, que de acuerdo con Dominguez Lara & Merino Soto (2015) es poco utilizado en los estudios en ciencias de la humanidad, pero la estimación permite garantizar estadísticamente la validez del instumento utilizado y sobre todo, la validación de la adaptación en los ítems respecto a la SC. Por lo cual se utilizó un intervalo de confianza del 95% mediante el soporte estadístico IBM SPSS Statistics versión 23 de acuerdo con Bonnet (2002).
Una vez evaluada la confiabilidad del instrumento, se ejecutó la muestra aleatoria de 207 encuestas en 53 restaurantes de las cinco especialidades con la siguiente distribución:
| Especialidad | Restaurantes totales | Restaurantes evaluados | Tamaño de la población* | Tamaño de muestra (encuestas) |
| Italiana | 23 | 9 | 4025 | 35 |
| Mexicana | 10 | 6 | 1750 | 53 |
| Japonesa | 5 | 4 | 1400 | 74 |
| Internacional | 5 | 4 | 700 | 35 |
| Mariscos | 11 | 8 | 2695 | 53 |
| Total | 54 | 31 | 10,570 | 207 |
Análisis descriptivo, inferencial y correlacional
En esta etapa, la investigación se plantéa como tipo transeccional correlacional (Hernández Sampieri, Fernández Collado y Bapstista, 2014). Al obtener las valoraciones de la CS y SC por especialidad y por dimensión, los datos colectados (5,382 valores) se procesaron a través del software Minitab versión 17. En el programa se obtuvo la media muestral, así como las gráficas de intervalos de conafianza para las medias (nivel de confianza del 95%) y y las gráficas de cajas para evidenciar la distribución. La media muestral permite describir el comportamiento promedio de la CS y SC por especialidad.
Adicionalmente, con los datos anteriores se realizó una serie de análisis de varianza (ANOVA de un factor, Anderson, et al, 2018) mediante el software IBM SPSS Statistics versión 23 bajo la siguiente hipótesis genérica de investigación: las medias en cada uno de las dimensiones tanto de la CS como de la SC no son significativamente diferentes en los cinco tipos de especialidades en los restaurantes, considerando como supuesto que los restaurantes enfrentan una alta competencia (discutida en el capítulo anterior). Esto permite evaluar sí una especialidad de restaurante difiere significativamente (es mayor o menor a la media percibida por los clientes) dada la dimensión de interés.
Para el análisis correlacional entre la CS y del SC, se utilizó el coeficiente de correlación lineal de Pearson (Anderson et al., 2018) considerando como variable independiente a la CS, mientras que, se tomó como variable dependiente a la SC. Las correlaciones fueron desarrolladas por especialidad. Finalmente de manera global, se realizó una correlación tomando en cuenta las cinco especialidades (n=5) con el mismo arreglo bivariado (x, y) anterior.
Resultados y discusiones
Confiabilidad del instrumento
La muestra piloto (15 encuestas) realizada para medir la consistencia interna de los ítem mediante el alfa de Cronbach, arrojó un valor mínimo en el límite inferior de 0.714 para un intervalo de confianza del 95% (tabla 2). Este valor mínimo le pertenece a la dimensión del capital humano e indica que cualquier valor de alfa de Cronbach será por lo menos superior a 0.714 el 95% de las veces para las encuestas realizadas. Este valor mínimo sugiere que la confiabilidad del instrumento es desde aceptable hasta elevadamente confiable de acuerdo con Hernández Sampieri, Fernández Collado y Bapstista (2014) para todos los ítems de la encuesta, por lo tanto, la percepción de la CS y de la SC cuentan con un instrumento confiable para la adquisición de datos entorno a la percepción por parte de los comensales.
| Instalaciones | Accesibilidad | Capital Humano | Atmósfera | Comida |
| (0.762, 0.959) | (0.717, 0.945) | (0.714, 0.946) | (0.796, 0.961) | (0.721, 0.948) |
Calidad en el servicio
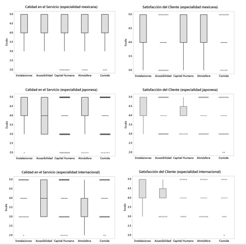
Los estadísticos de la media y desviación estándar de las valoraciones de la CS y SC se presentan en la tabla 3 y 4. Los promedios de la CS y SC por dimensión y especialidad se presentan mediante interavalos de confianza para la media poblacional en la figura 1. Por otra parte, la distribución de los valores por especialidad se muestran en el anexo 2.
Respecto a la CS percibida por los comensales, los restaurantes de la especialidad de mariscos obtuvieron tres valoraciones máximas de las cinco posibles, esto ocurre en las dimensiones referentes a las instalaciones, capital humano y atmósfera, con 4.26, 4.10 y 4.20 respectivamente (tabla 3). Las especialidades de comida mexicana y japonesa obtuvieron las otras dos puntuaciones máximas promedio, en la dimensión de comida y accesibilidad con 4.07 y 4.2 respectivamente. Respecto a las valoraciones mínimas promedio, resalta la especialidad de comida internacional, con puntuaciones de 4.08 en instalaciones y 3.96 en accesibilidad. Las otras puntuaciones mínimas promedio fueron de la especialidad italiana con 3.9 en la dimensión de atmósfera, la especialidad mexicana con 4.01 en la dimensión del capital humano y finalmente, la de mariscos con 3.79 en la dimensión de comida.


| Italiana | Mexicana | Japonesa | Internacional | Mariscos | ||||||
| s | s | s | s | s | ||||||
| Instalaciones | 4.18 | 0.63 | 4.16 | 0.58 | 4.14 | 0.60 | 4.08 | 0.61 | 4.26 | 0.59 |
| Accesibilidad | 4.04 | 0.70 | 4.13 | 0.76 | 4.2 | 0.73 | 3.96 | 0.73 | 4.15 | 0.74 |
| Capital Humano | 4.05 | 0.74 | 4.01 | 0.75 | 4.00 | 0.74 | 4.02 | 0.73 | 4.10 | 0.72 |
| Atmósfera | 3.90 | 0.73 | 4.12 | 0.75 | 4.02 | 0.74 | 3.94 | 0.74 | 4.20 | 0.74 |
| Comida | 4.05 | 0.68 | 4.07 | 0.67 | 4.05 | 0.67 | 3.97 | 0.63 | 3.79 | 0.75 |
| Global | 4.04 | 4.09 | 4.08 | 3.99 | 4.1 | |||||
En la puntuación global, la especialidad de mariscos es la de mayor margnitud en la CS dada la percepción de los comensales. Sin embargo, esta especialidad obtiene el valor mínimo mas bajo con 3.79 en la dimensión de la comida. Tomando en consideración que la Ciudad de La Paz está en una zona turística costera, con relativamente mayor acceso a la materia prima (mariscos frescos) resulta controvertido el hecho de que en promedio, los comensales valoren a dicha dimensión con 3.79. La razón de esta puntuación, es que la percepción de que los alimentos tenían un “sabor y olor agradable” (ítem 21) y estaban “limpios desinfectados” (ítem 23) fueron los mas bajos en valoración. No obstante, los mariscos son productos sumamente difíciles de conservar en buen estado, y los restaurantes generalmente mantienen congelados la mayor parte de sus productos, pudiendo ser un elemento de influencia en la CS.
La puntuación global indica que la especialidad restaurantera internacional fue la de menor valoración en la CS. Específicamente en la dimensión de instalaciones, el confort del mobiliario percibido por los comensales fue valorado relativamente bajo, mientras que en la dimensión de accesibilidad, la “buena ubicación del restaurant (ítem 5) y las “diversas opociones de pago” (ítem 6) fueron percibidades relativamente con valor bajo. Esta información es muy importante, puesto genera una opoturnidad de mejora para los restaurantes de esta especialidad.
Satisfacción del cliente
En el constructo de la SC, de acuerdo a la percepción de los comensales, los restaurantes de comida italiana obtuvieron tres promedios máximos en las dimensiones de accesibilidad con 4.13, el capital humano con 4.20 y la comida con 4.17. La satisfacción en las instalaciones y atmósfera de la especialidad de mariscos fueron también valoradas con los maximos promedios en las instalaciones con 4.31 y en la atmósfera con 4.19 (tabla 4). En contraparte, tres de los promedios mínimos fueron valorados en los restautantes de la especialidad internacional, en las dimensiones de instalaciones, accesibilidad y amtósfera con 4.14, 4.03 y 3.97 respectivamente. Los otros dos valores promedios mínimos se percibieron en la dimensión de accesibilidad en la especialidad japonesa con 4.03 y en la atmósfera de la comida italiana con puntación de 3.97.
En la puntuación global, respecto a la satisfacción del cliente, la especialidad italiana obtuvo el valor máximo, mientras que el mínimo fue de la comida internacional, al igual como ocurrió en la percepción de la calidad en el servicio.
| Italiana | Mexicana | Japonesa | Internacional | Mariscos | ||||||
| s | s | s | s | s | ||||||
| Instalaciones | 4.23 | 0.63 | 4.20 | 0.63 | 4.18 | 0.62 | 4.14 | 0.63 | 4.31 | 0.64 |
| Accesibilidad | 4.13 | 0.68 | 4.00 | 0.64 | 4.03 | 0.66 | 4.03 | 0.68 | 4.14 | 0.65 |
| Capital Humano | 4.20 | 0.61 | 4.18 | 0.57 | 4.14 | 0.57 | 4.03 | 0.57 | 4.00 | 0.79 |
| Atmósfera | 3.97 | 0.61 | 4.13 | 0.62 | 4.05 | 0.62 | 3.97 | 0.63 | 4.19 | 0.59 |
| Comida | 4.17 | 0.53 | 4.09 | 0.55 | 3.93 | 0.68 | 3.97 | 0.63 | 3.90 | 0.69 |
| Global | 4.14 | 4.12 | 4.06 | 4.02 | 4.1 | |||||
Diferencias de la CS y SC entre las especialidades En términos generales, los promedios de la CS no varían tanto, com
En términos generales, los promedios de la CS no varían tanto, como para identificar una diferencia evidente ente las especialidades. Pero de acuerdo al análsis de varianza implementado (tablas 5 y 6) y con relación a las hipótesis #2 y #3, el valor p apoya a la conclusión de que existen diferencias significativas entre las medias. Particularmente, las dimensiones de atmósfera y comida presentaron diferencias significativas (α=0.05) entre los tipos de especialidades. Resalta en este análisis que la dimensión atmósfera dentro de la calidad en el servicio en la especialidad de comida italiana presentó el valor promedio más bajo que en el resto de las especialidades, en el que el item 15 (La iluminación del restaurante es adecuada y confortable) presenta una calificación de 3.87 y en la dimensión de comida, con una evaluación global de 3.87 en el item 25 (Los alimentos presentan una temperatura adecuada para su consumo). Por otra parte, en la especialidad de mariscos, los comensales han manifestado el juicio de valor más bajo en promedio, ya que en esta investigación, se ha podido identificar los principales dimensiones concernientes a la comida, con los que es posible establecer una mejora continua, de manera tal, que los comensales empiecen a percibir mejoras tanto en el servicio como en su satisfacción; tales comentarios, se sustentan al analizar los item 21 (Los alimentos y bebidas del restaurante tienen un sabor y olor agradable) con un juicio de valor promedio de 3.62; el item 22 (La presentación de los alimentos es muy atractiva) con 3.76; y, el item 23 (Los alimentos ofertados por el restaurante se perciben limpios desinfectados) con 3.69. Al hacer el análisi de manera global, esta investigación demuestra que en el ítem relacionado a la los Alimentos y bebidas del restaurante tienen un sabor y olor agradable (item 21), la calificación global fue la más baja con un 3.93, mientras que en el item 25 que se relaciona a que los alimentos presentan una temperatura adecuada para su consumo presentaron una calificación global de 3.88.
| Hipótesis nula (Ho) | F | Valor p |
| Las medias de la CS de las “Instalaciones” son iguales entre las especialidades | 1.46 | 0.214 |
| Las medias de la CS de la “Accesibilidad” son iguales entre las especialidades | 1.36 | 0.245 |
| Las medias de la CS del “Capital humano” son iguales entre las especialidades | 0.47 | 0.758 |
| Las medias de la CS de la “Atmósfera” son iguales entre las especialidades | 4.99 | 0.00* |
| Las medias de la CS de la “Comida” son iguales entre las especialidades | 5.98 | 0.00* |
| Hipótesis nula (Ho) | F | Valor p |
| Las medias de la SC de las “Instalaciones” son iguales entre las especialidades | 1.46 | 0.214 |
| Las medias de la SC de la “Accesibilidad” son iguales entre las especialidades | 1.85 | 0.118 |
| Las medias de la SC del “Capital humano” son iguales entre las especialidades | 0.47 | 0.758 |
| Las medias de la SC de la “Atmósfera” son iguales entre las especialidades | 4.99 | 0.00* |
| Las medias de la SC de la “Comida” son iguales entre las especialidades | 5.98 | 0.00* |
De forma particular, la CS y SC en las dimensiones instalaciones, accesibilidad y capital humano existe suficiente evidencia para sostener que no hay diferencia significativa (α=0.05) respecto al promedio entre los diferentes tipos de especialidades. Una probable explicación de que estas dimensiones presenten valoraciones similares, se puede explicar a la alta competencia del mercado, tal como lo mencionan Spreng & Mackoy (1996), que si bien se entiende al sector restaurantero como una industria en evolución, y por consiguiente, cada vez mas compentente de acuerdo también con Duque Olivia & Palacios Palacios (2017). Por lo anterior, es congruente esperarar valoraciones muy próximas. Este fenómeno también es posible identificarlo en otros trabajos del sector restauratero en México. Por ejemplo, Guzmán López & Cárcamo Solís (2013) quienes aplicaron los métodos SERVQUAL y DINESERV, presenta valores promedios de las percepciones de la CS entre 6.06 y 6.52 con un coeficiente de variación de 2.64, mientras que este estudio varió (por ejemplo para la comida italiana) entre 3.97 y 4.23 con un coeficiente de variación de 2.61. El coeficiente de variación ( /s) permite comparar de manera estandarizada dos poblaciones diferentes, en este caso, los valores muy cercanos entre los coeficientes son evidencia de una similitud de la dispersión de valores entre ambos estudios.
El estudio de la CS y de la SC nunca será un tema de la mercadotecnia sencillo de gestionar a nivel empresarial, sobre todo, por la tonalidad subjetiva a la que puede interpretarse por parte del mercado de consumo, al respecto, Reeves & Bednard (1994) mencionan que no hay una definición de calidad única en consenso, dado que cada definición tene sus propias fortalezas y debilidades con relación a criterios como la medición y la generalización, la utilidad de gestión, y la pertinencia de los consumidores.
Correlación de la calidad en el servicio y satisfacción del cliente
Los resultados de cada una de las dimensiones, indican que la eficiencia de la CS y de la SC del cliente se encuentran por encima del 80% con relación a la percepión de los comensales. Con relación a la hipótesis #1, fue posible demostrar una considerable correlación positiva entre la CS y la SC según la dimensión percibidas en los restaurantes de La Paz. El coeficiente r por arriba de 0.8 indica que existe una fuerte correlación las dimensiones “instalaciones, accesibilidad, capital humano y atmósfera”. Se interpreta que la CS en los restaurante del destino turístico de La Paz tiene una incidencia positiva sobre la SC, debido que, al aumentar su calidad, la satisfacción incrementa linealmente (tabla 7). La excepción a este hallazgo, se presentó en el componente “comida”, donde r = 0.178. En este rubro, la CS no tiene una correlación con la SC. El valor bajo del coeficiente se debe a que los comensales valoraron heterogéneamente dicha dimensión tanto la CS y la SC, de manera que no se encontró un patrón lineal ni positivo ni negativo. En casos particulares, un cliente puede valorar como “totalmente de acuerdo” que los alimentos y bebidas tienen un sabor y olor agradeble, pero que en la satisfación de los alimentos esté en “desacuerdo”. Es interesante que no se presente un patrón positivo lineal (en contradicción a la hipótesis #1), pues a su vez, se puede interpretar que los comensales están diferenciando entre la percepción de la CS y la SC, tal que puede darse la nula correlación. En otras palabras, solo en la dimensión de la comida, el hecho que la CS sea alta, no implica que se llegue a una SC alta de manera lineal.
Es importante destacar, que muchos autores que han investigado la calidad en restaurantes, como Murad, Muhammad (2015); Almohaimmeed (2017) y Sureshchandar, Rajendran, Anatharaman (2002); reportan una correlación positiva entre la calidad en el servicio (variable independiente) y la satisfacción del cliente (variable dependiente). No obstante, Sureshchandar, Rajendran, Anatharaman (2002) sostiene que a pesar de haber dicha correlación matemática, no puede asociarse de manera causal, sino como una coicidencia, debido a que por concepto son idenpendientes. Nosotros reportamos una muy buena correlación entre la CS y la SC, tanto a nivel dimensional como a nivel global (r=0.9, figura 7), indicando que sin distinción de restaurantes, al aumentar la CS, aumenta la SC. En términos prácticos y puramente matemáticos, ambos constructos mantienen una fuerte correlación, pero esta relación en términos conceptuales debería plantearse como una investigación mas profunda mas allá de los alcances del presente estudio.
| Dimensión | r | Valor p |
| Instalaciones | 0.928 | 0.0 |
| Accesibilidad | 0.808 | 0.0 |
| Capital Humano | 0.843 | 0.0 |
| Atmósfera | 0.836 | 0.0 |
| Comida | 0.178 | 0.01 |

Análisis por segmento
Por otra parte, al hacer un análisis segmentado en término de género por parte de las personas que fueron encuestadas en cada una de las diferentes especialidades adscritas a CANIRAC fue posible encontrar resultados con ligeras diferencias tomando como factor al género. Los resultados se citan a continuación:
Especialidad Italiana: De las 35 personas que se encuestaron en esta especialidad, el 60% fueron mujeres (21), y registraron una evaluación hacia la calidad en el servicio de 3.99, mientras que para su satisfacción percibida fue de 4.06. En el caso de los hombres, fueron 14 personas los que respondieron a la encuesta, lo que representó un 40% del total. La evaluación del segmento masculino fue de 4.11 hacia la calidad en el servicio, y de 4.27 hacia el grado de satisfacción percibido.
Especialidad Mexicana: De las 53 personas encuestadas en esta especialidad, el 59% fueron mujeres (31), de las que su evaluación hacia la calidad en el servicio fue de 4.06, mientras que para la satisfacción del cliente fue de 4.10. En el caso de los hombres, fueron 22 personas los que respondieron la encuesta, lo que representó el 41% del total de las personas que participaron. La evaluación que los hombres en promedio otorgaron hacia la calidad en el servicio percibido fue de 4.14, mientras que su grado de satisfacción fue de 4.16.
Especialidad Japonesa: De las 74 personas que se encuestaron en esta especialidad restaurantera, 51 mujeres (69%) respondieron percibir una calidad en el servicio de 3.98, mientras que, con respecto a la satisfacción percibida en el servicio manifestaron una calificación de 4.00. Con respecto al estrato masculino, los 23 hombres (31%) que fueron encuestados, éstos evaluaron la calidad en el servicio con una calificación de 4.18, mientras que su apreciación acerca de la satisfacción percibida fue de 4.23.
Especialidad Internacional: De las 35 personas encuestadas en esta especialidad 13 fueron mujeres (37%), con una calificación hacia la calidad en el servicio de 3.89; y, una evaluación hacia la satisfacción percibida en el servicio de 3.93. En el segmento masculino, las 22 personas encuestadas (63%) manifestaron una evaluación de la calidad en el servicio percibido de 3.86, mientras que, para el rubro de la satisfacción percibida, éstos evaluaron este constructo con una calificación de 3.92.
Especialidad de Mariscos: De las 53 personas encuestadas en esta especialidad de restaurantes, 20 mujeres (38%), declaró una calificación hacia la calidad en el servicio percibido de 4.08, mientras que, para la satisfacción percibida, ellas evaluaron con un 4.14. En el estrato masculino, las 33 personas encuestadas (62%) manifestó una calificación hacia la calidad en el servicio de 4.09, y un grado de satisfacción percibido de 4.09.
Los datos indican que la evaluación hacia la calidad en el servicio por parte de las mujeres, es ligeramente mayor a la realizada por los hombres. Autores como Ross, Fabes, & Frankel (1999), mencionan que los juicios de valor hecho por las mujeres hacia el servicio suelen ser superiores a las hechas por los hombres, siendo principalmente relevantes para las mismas que cubran sus necesidades. Por otra parte, Stafford (1996), argumenta que la percepción de la calidad del servicio durante la transacción es superior en el caso de las mujeres al momento de hacer un juicio, lo que afirma al mismo tiempo lo comentado por Buller & Buller (1987), donde mencionan que las mujeres suelen mostrar niveles de satisfacción más elevados, y además, suelen depositar su interés en los elementos físicos del servicio. Por lo tanto, nuestros resultados son concordantes con los resultados realizados por los autores antes citados.
Limitaciones
Una limitación importante en este estudio, es que sólo fue posible incluir las cinco especialidades restauranteras adscritas a CANIRAC, si bien, son las mas importantes en el mercado, en realidad existen más unidades económicas con el giro comercial la ciudad de La Paz, México; sin embargo, esta limitación, invita a seguir generando investigación que permita realizar estudios comparativos que coadyuven a la mejora continua del sector restaurantero del destino turístico. Por otra parte, otra dificultad en el desarrollo del trabajo fueron las restricciones solicitadas por parte de los gerentes y dueños de los restaurantes, debido al limitado tiempo que se permitía en la aplicación del instrumento de medición, bajo una explicación que concernía exclusivamente hacia la comodidad de los comensales; esto, debido principalmente a que el enfoque del empresario está totalmente dirigido hacia el concepto de venta, lo que no es dañino para los intereses de su negocio; sin embargo, conocer las percepciones del cliente siempre será una medida adicional que se encuentra relacionada a la calidad en el servicio, y al mismo tiempo, está íntimamnte vinculada con el mantenimiento de procesos de fidelidad del consumidor dentro del mercado (Aguirre, Caro, & Mariel, 2005).
En el mismo sentido, el poco tiempo no permite la aplicación de modelos típicos como el SERVQUAL con mediciones de expectativas, por su extenso número de ítems. Por esta misma razón, la limitación de la segmentación en el sentido socio cultural queda inconcluso para la identificación específica de influencias sobre la percepción tanto de la calidad en el servicio como la satisfacción del cliente. Al no segmentar socioculturalmente a los encuestados, queda limitada la información sobre las influencias específicas como la nacionalidad, edad, la ocupación laboral, entre otras. Por lo cual, las futuras investigaciones podrían direccionarse a solventar dichas limitantes e investigar su posible influencia tanto en la calidad del servicio como en la satisfacción del cliente.
Conclusiones
Los resultados de este trabajo arrojan una serie de valoraciones inéditas tanto para la calidad del servicio como para la satisfacción del cliente en el destino turístico de La Paz, los cuales, son una línea base como indicadores medibles de calidad y de la mejora para la industria empresarial restaurantera, contribuyendo a la vez con la demanda especificada por la Cámara Nacional de la Industria Restaurantera A. C. en Baja California Sur.
En esta investigación es posible concluir que en la industria restaurantera del destino turístico de la ciudad de La Paz, la calidad en el servicio es bien evaluada, ya que al momento de hacer un análisis inferencial de las percepciones generadas por los comensales, se pudo encontrar que la variable relacionada calidad en el servicio, la media global fue de 4.06, lo que representa para la CANIRAC una efectividad del 81.30% del servicio; mientras que, en la variable relacionada en la satisfacción del cliente, ésta fue del 81.90% (4.09 de 5).
Por otra parte, al hacer el análisis con respecto a las dimensiones de la industria restaurantera a nivel general, el promedio global arrojó una calificación de 4.07, lo que representa una eficiencia global de servicio de 81.60%. La dimensión que no alcanza de forma global el 80% de eficiencia en el servicio es el de comida, no obstante está prácticamente en el límite con 79.90%.
El estudio determina que hay diferencias significativas entre los promedios percibidos por los comensales tanto para la CS como para la SC entre las diferentes especialidades de restaurantes. En términos de mejora organizacional, los restaurantes adscritos a CANIRAC de la especialidad de comida internacional, deberán poner una gran atención en dimensiones como las instalaciones, accesibilidad y atmósfera dada las valoraciones mínimas, lo que al mismo tiempo expresa un área de oportunidad y desarrollo para consolidar el concepto de negocio en restaurantes, y al mismo tiempo, satisfacer en mayor medida y de forma continua a los comensales. Así mismo, los restautantes de la especialidad de mariscos, pese a sus máximas valoraciones, la comida es un aspecto que pueden mejorar en el mercado.
Un aspecto a considerar en el análisis de la segmentación de este trabajo de investigación es que al realizar una evaluación final con respecto a la calidad en el servicio y satisfacción del cliente en términos de género, resulta que una mujer comensal, en promedio, evalúa la calidad en el servicio percibido con una calificación de 4.00 y en satisfacción percibida del servicio de 4.08, lo que, representa un poco más del 80% de efectividad en el servicio, y al mismo tiempo, lo hace ser tasado como aceptable. En el segmento masculino, las evaluaciones de la calidad en el servicio en promedio fueron de 4.08 y en satisfacción percibida por el servicio recibido fue de 4.13, que igualmente, hacen aceptable el juicio de valor hecho hacia el servicio de los restaurantes.
Finalmente, se concluye que la CS tiene una correlación positiva considerable con la SC, sin embargo, un estudio detallado de la causalidad entre estos constructos debe dirigirse en futuros diseños de investigación.
Ejemplo Contribuciones de los autores: Conceptualización, Eduardo Martínez, Ramón Fernández; Curación de datos, Eduardo Martínez - Gregorio Perez ; Análisis formal, Ramón Fernández, Gregorio Perez; Investigación, Ramón Fernández; Metodología, Gregorio Perez; Administración de proyectos, recursos, software, Gregorio Perez; Validación, Ramón Fernández, Eduardo Martínez; Visualización, Eduardo Martínez; Redacción del borrador original, Eduardo Martinez; Redacción de revisión y edición, Eduardo Martínez, Ramón Fernández
Referencias
Aguirre, K. F., Caro, C. L., & Mariel, P. (2005). La satisfacción del consumidor: una aplicación del análisis factorial confirmatorio a la industria automovilística española, Estadística Española 47(158), 117-141.
Almohaimmeedd, B. M. A. 2017. Restaurant Quality and Customer Satisfaction. International Review of Management and Marketing, 7(3):42-49.
Anderson, D. R., Sweeney, D. J., Williams, T. A., Camm, J. F., & Cochran, J. J. (2018). Statistics for business & economics. Cengage Learning.
Angeles, M., Gámez, A. E. & Ivanova A. 2012. Baja California Sur: Crecimiento Turístico y Desarrollo Humano. Revista de Economía, Sociedad, Turismo y Medioambiente, 14: 103-125.
Araujo, G. J., & Borrego, P. A. (2017). Gestión de la calidad en la empresa turística de un restaurante de la ciudad de Chachapoyas. Revista Ciencia y Tecnología, 13(2), 61-76.
Bitner, M. J. 1990. Evaluating Service Encounters The Effects of Physical Surroundings and Employee Responses. American Markeing Association, 54(2)69-82. DOI: 10.2307/1251871
Bitner, M. J., & Oliver, R. L. 1994. Encounter Satisfaction versus Overall satisfaction versus Quality: The customer´s voice. En: Rust, R. T., & Oliver R. L. Services Quality: New Directions in Theory and Pracice. Sage knowledge.
Blank, C. (16 de Agosto de 2018). https://pyme.lavoztx.com/teoria-de-la-percepcion-del.consumidor-6443.html.
Bolton, R. N., & Drew, J. H. (1994). Linking customer satisfaction to service operations and outcomes. En: Rust R. T, & Oliver R. L. (editors) Service Quality: New directions in theory and practice. Sage Knowledge.
Bonnet, D. G. (2002). Sample size requirements for testing and estimating coefficient alpha. Journal of Education and Behavioral Statistics, 27:335 - 340. DOI: 10.3102/10769986027004335
Brady, M. K., Cronin, J. J., & Brand, R. R. (2002). Performance only measurement of service quality: A replication and extension. Journal of Business Research 55(1): 17 - 31. DOI: https://doi.org/10.1016/S0148-2963(00)00171-5
Buller, M. K., & Buller, D. B. (1987). Physicians´ Communication style and patient satisfaction. Journal of Health and Social Behavior, 28(4):375-388. DOI: 10.2307/2136791
Castejón Jiménez, P. (2016). La satisfacción del viajero 2.0: análisis de los comentarios para los hoteles de lujo. Tesis doctoral, Universidad de Sevilla, España.
Cronin, J. J., & Taylor, S. A. (1992). Measuring service quality: a reexamination and extension. Journal of Marketing, 56(3):125-131. DOI: 10.2307/1252296
Dabholkar, P. A., Thorpe, D. I., & Rentz, J. O. (1996). A measure of service quality for retail stores:scale development and validation. Journal of the Academy of Marketing Science, 24(3):3-16.
Domínguez Lara, S.A. & Merino Soto, C. 2015. ¿Por qué es importante reportar los intervalos de confianza del coeficiente alfa de Cronbach? Revista Latinoamericana de Ciencias Sociales, Niñez y Juventud, 13(2):1326-1328.
Duque Oliva, E. J., & Palacios Palacios, D. (2017). Evaluación de la calidad de servicio percibida en los establecimientos hoteleros de Quibdó. Criterio Libre, 15(26):195-213. DOI: https://doi.org/10.18041/1900-0642/criteriolibre.2017v15n26.1047
Grönroos, C. (1984). A service quality model and its marketing implications. European Journal of marketing, 18(4), 36-44. DOI: https://doi.org/10.1108/EUM0000000004784
Guzmán López, A., & Cárcamo Solís, M. L. (2014). La evaluación de la calidad en el servicio: caso de estudio "Restaurant Familiar Los Fresnos". Acta Universitaria, 24(3):35-49.
Hernández Baeza, A., Espejo Tort, B., González Roma, V., & Gómez, B. (2013). Escalas de respuesta tipo Likert: ¿Es relevante la alternativa "indiferente"? Metodología de Encuestas, 3(2):135 - 150.
Hernández Sampieri, R., Fernández Collado, C., & Baptista, L. (2014). Metodología de la Investigación. McGraw Hill Education.
Heung, V. C. S., Wong, M. Y., & Qu, H. (2000). Airport-restaurant service quality in Hong Kong: An application of SERVQUAL. Cornell Hotel and Restaurant Administration Quartely, 41(3):86-96. https://doi.org/10.1016/S0010-8804(00)80020-8
Hinojosa Oliva, L. (15 de abril de 2016). Calidad en el Servicio. (M. A. Monroy Ceseña, Entrevistador)
Ibarra Morales, L. E., & Casas Medina E. V. 2014. Aplicación del modelo Servperf en los centros de atención Telcel, Hermosillo: una medición de la calidad en el servicio. Contaduría y Administración, 60 (1):229-260.
INEGI. (2014). http://www.canirac.org.mx/images/notas/files/Mono_Restaurantera(1).pdf.
Jain, S. K., & Gupta, G. 2004. Measuring Services Quality: Servqual vs. Servperf Scales. Vikalpa, 29 (2):25-38. DOI: https://doi.org/10.1177/0256090920040203
Kotler, P. (2006). Dirección de Mercadotecnia. Londres: Prentice - Hall.
Kotler, P., & Armstrong, G. (2012). Principles of Marketing. Pearson.
Kotler, P., & Lane Keller, K. (2012). Dirección de Marketing. Pearson.
Ladhari, R. (2008). Alternative measures of service quality: a review. Managing Service Quality: An International Journal 18(1):65-86. DOI: https://doi.org/10.1108/09604520810842849
Moliner Velázquez, B., & Berenguer Contrí, G. (2011). El efecto de la satisfacción del cliente en la lealtad: aplicación en establecimientos minoristas. Cuadernos de Administración, 24(42):101-124.
Monroy Ceseña, M. A. (2016). Calidad en el Servicio y Satisfacción del cliente en restaurantes de La Paz, BCS. Tesis doctoral, Instituto de Estudios Universitarios de Puebla, México.
Morgan, R. M., & Hunt S. D. (1994). The commitment - trust theory of relationships marketing. Jourrnal of marketing, 58(3):20-38. DOI:http://dx.doi.org/10.16967/rpe.v4n1a3
Murad, S., & Muhammad, Ali. 2015. Impact of service quality on customer satisfaction in restaurant industry. Singaporean Journal of Business Economics, and management studies, 4(6):71-81.
Oh, H. (2000). Diners´ perceptions of quality, value, and satisfaction: a practical viewpoint. Cornell Hotel and Restaurant Administration Quarterly, 4(3):58-66. DOI: https://doi.org/10.1016/S0010-8804(00)80017-8
Oliver, R., 1981. Measurment and evaluation of satisfaction process in retail. An intergrated theoretical perspective. En: Jacoby & Olson (editors), Peceived Quality. Lexigton Books.
Parasuraman, A., Zeithaml, V. A., & Berry, L. L. (1988). SERVQUAL - A multiple item scale for measuring consumer perceptions of service quality. Journal of Retailing, 64(1):12-40.
Parasuraman, A., Zeithaml, V., & Berry, L. L. (1985). A conceptual model of service quality and its implications for future research. Journal of Marketing, 49(4), 41-50. DOI 10.2307/1251430
Ramezani Ghotbabadi, A., Feiz, S., & Baharun R. 2015. Services Quality Measurements: A review. International Journal of Academic Research in Business and Social Sciences, 5(2):267-286. DOI: 10.6007/IJARBSS/v5-i2/1484
Reeves, C.A., & Bednard, D. A. (1994). Defining Quality: Alternatives and Implications. The Academy of Management Review, 19(3):419 - 445. DOI: 10.2307/258934
Rigby, D., Reichheld, F., & Schefter, P. (2002). Avoid the four perils of CRM. Harvard Business Review, 101 - 109
Romero Fernández, A., & Chávez Yépez H. F. (2015). Evaluación de la satisfacción del cliente y de los costos de la calidad del proceso de restauración en la hotelería. Retos Turísticos, 14(3):5-10.
Ross, L. W., Fleming R. S., Fabes, K. J., & Frankl R. (1999). Gender effects on customer satisfaction with employment services. Career Development International, 4(5):270-276. DOI: https://doi.org/10.1108/13620439910279752
Rust, R. T., & Oliver R. L. 1994. Services Quality: New Directions in Theory and Pracice. Sage knowledge.
Rust, R. T., Moorman, C., & Dickson, P. R. (2002). Getting return on quality: revenue expansion, cost reduction, or both? Journal of Marketing, 66(44): 7-24. DOI: https://doi.org/10.1509/jmkg.66. 4.7.18515
Seth, N., Deshmukh, S. G., & Vrat, P. (2005). Service Quality models: a review. Internationa Journa of Reliability Management, 22(9): 913-949. DOI: 10.1108/02656710510625211
Spreng, R.A., & Mackoy R. D. 1996. “An empirical examination of a model of perceived service quality and satisfaction”. Journal of Retailing, 72:201-14.
Stafford M. R. (1996). Demographic discriminators of service quality in the banking industry. Journal of Services Marketing, 10(4):6-22. https://doi.org/10.1108/08876049610124554
Stevens, P., Knutson, B. & Patton, M. (1995). DINESERV: a tool for measuring service quality in restaurants. The Cornell Hotel and Restaurant Administration Quartely. Journal of Retailing, 36 (2), 55-60. DOI: 10.1016/0010-8804(95)93844-K.
Sureshchandar, G. S., Rajendran, C., & Anatharaman R. N. 2002. The relationship between service quality and customer satisfaction – a factor specific approach. Journal of Services Marketing, 16(4):363-379. DOI: https://doi.org/10.1108/08876040210433248
Teas, R. K. (1993). Expectations, performance evaluation, and consumers' perceptions of quality. The Journal of Marketing, 57(4):18-34.
Valls Figueroa, W. (2011). Eficiencia de la calidad de la gestión en instituciones de servicio. Guía para la mejora. Revista Avanzada Científica, 101-124.
Vera, J. M, & Trujillo, L. A. (2009). El papel de la calidad en el servicio del restaurante como antecedente de la lealtad del cliente. Panorama Socioeconómico, 27(38):16-30.
Vera, J., & Trujillo, A. (2017). Escala Mexicana de calidad en el servicio en restaurants (EMCASER). Innovar, Revista de Ciencias Administrativas y Sociales, 27(63):43-59. DOI: https://doi.org/10.15446/ innovar.v26n63.60665
Woodruff, R. B. (1997). Customer value: the next source for competitive advantage. Journal of the academy of marketing science, 25:139-153. http://dx.doi.org/10.1177/0092070397253006.
Zárraga Cano, L., Molina Morejón , V., & Corona Sandoval, E. (2018). La satisfacción del cliente basada en la calidad del servicio a través de la eficiencia del personal y eficiencia del servicio: un estudio empírico de la industria restaurantera. Revista de Estudios en Contaduría, Administración e Informática, 7(18):46-65.
Zeithaml, V., Bitner, M., & Gremler, D. (2009). Mercadotecnia de Servicios. Mc Graw Hill.
Correia Loureiro, S. M., & Miranda González, F. J. (2006). Calidad, satisfacción y fidelidad en el turismo rural: un análisis hispano-portugués. Papers de turisme, 40:49-66.
Yepes Piqueras, V. (2015). Calidad de diseño y efectividad de un sistema hotelero. Papers de turisme, 20:136-155.
ANEXO 1
Instrumento de valoración de la calidad en el servicio y la satisfacción del cliente *
| 1 | Las características físicas del restaurante son idóneas para mi comodidad |
| 2 | El confort en el mobiliario y espacios propician mi comodidad |
| 3 | La limpieza de las instalaciones es de mi total agrado |
| 4 | ¿Cuál es el nivel de satisfacción con respecto a las INSTALACIONES del restaurante?* |
| 5 | El restaurante se encuentra en un sitio bien ubicado de la ciudad |
| 6 | En el restaurante existen opciones diversas de pago (tarjeta y efectivo) |
| 7 | En el restaurante hay facilidades de estacionamiento |
| 8 | ¿Cuál es el nivel de satisfacción con respecto a la ACCESIBILIDAD del restaurante?* |
| 9 | Al llegar al restaurante me ofrecen un trato cordial en la bienvenida |
| 10 | El aspecto físico del personal que brinda el servicio es agradable a la vista. |
| 11 | El personal cuenta con un alto grado de conocimientos sobre los alimentos ofertados en el restaurante |
| 12 | El personal atiende de manera eficiente mis demandas de servicio solicitado al restaurante |
| 13 | El personal me trata con familiaridad y entendimiento de mis necesidades |
| 14 | ¿Cuál es el nivel de satisfacción percibido por el CAPITAL HUMANO del restaurante?* |
| 15 | La iluminación del restaurante es adecuada y confortable |
| 16 | La música de fondo, así como los monitores de televisión son acorde al tipo de restaurante |
| 17 | Me siento cómo con el tipo de clientes que asisten al restaurante |
| 18 | Al entrar al restaurante la percepción de los olores es agradable a mi persona |
| 19 | El clima del restaurante es propicio para mi total comodidad |
| 20 | ¿Cuál es el nivel de satisfacción percibido por la ATMÓSFERA del restaurante?* |
| 21 | Los Alimentos y bebidas del restaurante tienen un sabor y olor agradable |
| 22 | La presentación de los alimentos es muy atractiva |
| 23 | Los alimentos ofertados por el restaurante se perciben limpios desinfectados |
| 24 | Los alimentos y bebidas cuentan con un aroma agradable al olfato |
| 25 | Los alimentos presentan una temperatura adecuada para su consumo |
| 26 | ¿Cuál es el nivel de satisfacción percibido por la COMIDA en el restaurante?* |
ANEXO 2
Diagrama de cajas de la Calidad en el servicio y Satisfacción del Cliente por especialidad.


Notas de autor
monroym@itlp.edu.mx
Información adicional
Clasificación
JEL: M31, M32