Recepción: 07 Abril 2023
Aprobación: 02 Diciembre 2023
Resumen: La calidad en las instituciones de educación superior es un tema que ha cobrado fuerza desde la década de los años 80 del siglo pasado. El objetivo consiste en construir y validar un modelo útil para el mejoramiento de la calidad de las Instituciones de Educación Superior. El método de Mínimos Cuadrados Parciales (SEM-PLS), es aplicado a una muestra de 258 estudiantes de nuevo ingreso del Instituto Tecnológico de Hermosillo. Resultados, se establece que las variables: ámbito familiar o de amistad; ubicación; costos; infraestructura; y prestigio académico, influyen significativamente sobre la elección de carrera. Relevancia, proporcionar una herramienta que permita incrementar la demanda de ingreso y disminuir la tasa de deserción. Originalidad, relacionar, a través de un modelo lineal, los factores extrínsecos que influyen sobre la variable elección de carrera. Limitación, el análisis de la relación entre las variables elección y deserción, requiere del egreso de esta generación de alumnos encuestados.
Palabras clave: Calidad Educación Superior, Elección de Carrera, Deserción Escolar.
Abstract: Quality in higher education institutions is an issue that has gained strength since the 80s of the last century. The objective is to build and validate a useful model for improving the quality of Higher Education Institutions. The Partial Least Squares (SEM-PLS) method is applied to a sample of 258 new students of the Technological Institute of Hermosillo. Findings, it is established that the variables: family or friendship environment; location; costs; infrastructure; and academic prestige, significantly influence career choice. Relevance provides a tool to increase their demand for income and reduce the dropout rate originality, constructing a model by considering all the extrinsic factors that influence the career choice variable. Limitation, the analysis of the relationship between the variables choice and dropout, requires the graduation of this generation of students surveyed.
Keywords: quality of higher education, choice of career, Dropout.
Introducción
Las Instituciones de Educación Superior (IES) que adoptan la filosofía del mejoramiento continuo y establecen como unos de sus objetivos mejorar la calidad de esta institución, además de incrementar el prestigio de la IES, al alcanzar este objetivo, contribuyen a lograr los objetivos para el Desarrollo Sostenible hasta el año 2030 que se adoptan en la Asamblea General de las Naciones Unidas del año 2015, en la que se considera que la calidad de las IES es uno de los elementos necesarios para cumplir con estos objetivos y con ello enfrentar, solucionar o minimizar los problemas actuales de carácter irresolubles (Almuiñas y Galarza, 2021). La calidad, no siempre ha sido un aspecto fundamental o de importancia para las IES, Paredes (2008) señala que en el caso de las escuelas de medicina, es a partir del año 1904 cuando, al realizar una evaluación en 155 de estas escuelas en Estados Unidos y Canadá encuentran situaciones como por ejemplo, la entrega de título de médicos para personas que estudiaron por correspondencia, entre otros aspectos que no permiten garantizar el ejercicio de esta profesión con la calidad adecuada, y a partir de entonces se crea la necesidad de certificar o acreditar estos estudios. Por otro lado, Cabrera (2005) menciona que el concepto de calidad empieza a permear a partir de la sexta década del siglo XX, y que actualmente, la mayoría de las IES en América Latina y el Caribe consideran la evaluación de la calidad en un primer plano. Fernández y Muñiz (2019); Tiana (2018) establecen que la calidad en las IES toma importancia a partir de los años 80 del siglo XX, cuando la evaluación y acreditación de las instituciones de educación empieza a tomar fuerza como consecuencia de la globalización de la economía y la movilidad de los profesionistas. Los autores anteriores, señalan que se hace necesario: primero definir el concepto calidad en las IES, segundo, medir la calidad como un concepto intangible; tercero, mejorar la calidad.
El concepto de calidad de las IES, es un concepto dinámico que ha estado y seguirá evolucionando, por lo que resulta inapropiado tratar de establecer una definición única para este concepto, y para definirla en cada contexto de interés, se consideran los aspectos que resultan fundamentales para la IES. La UNESCO, considera la pertinencia, la calidad y la internalización de las IES como los tres aspectos básicos a considerar en la calidad, mientras Cabrera (2005) contempla dos aspectos para definir la calidad de las IES: el primero, refiere a la síntesis de las propiedades o características de la IES, y los propone como las propiedades que permiten definir las variables a utilizar para su evaluación; segundo, el grado en que los valores de estas propiedades o características de las IES se aproximan los valores ideales u óptimos establecidos en los organismos evaluadores y acreditadores para estas características o propiedades.
El someter una IES a un proceso de acreditación, consiste en medir o evaluar su calidad (Almuiñas y Galarza, 2021; Cabrera, 2005; Guzmán, et al., 2022; Paredes, 2008; Torres, et al., 2018), y el obtener esta acreditación, le proporciona a esta institución la certeza de cumplir con los estándares mínimos o parámetros establecidos para cada uno de los indicadores de calidad empleados por los organismos evaluadores y acreditadores para evaluar, precisamente, los aspectos, características o propiedades que se considera deben poseer las universidades clasificadas como de calidad. Otras dos formas de evaluar la calidad de las IES es: primera, a través de la autoevaluación, con la que se obtiene información de las diferencias entre los valores de sus variables de calidad con respecto a parámetros que establezcan como referencia de calidad; segunda, someter los procesos educativos de las IES a evaluación ante algún organismo acreditador del sistema ISO 9000, lo que le permite asegurar que sus procesos están operando dentro de los estándares de calidad establecidos.
Un esquema que se emplea en la administración de las IES, es adoptar la Planeación Estratégica (PE) como una herramienta para mejorar la calidad de estas instituciones. Almuiñas y Galarza (2020) consideran a la PE como una dimensión que forma parte del conjunto de las metodologías y gestión del proceso; Freire, et al. (2019) establecen que la PE es una herramienta de la gestión de la calidad de las IES, que permite verificar que las acciones de planeación, ejecución, evaluación y retroalimentación se desarrollan de manera efectiva para lograr el (los) objetivo(s) planteado(s); Rivero y López (2012), presentan los elementos conceptuales y teóricos sobre la dirección estratégica y la planeación estratégica, de esta última, se describe el proceso que lo sustenta en su aplicación para el mejoramiento de la calidad en las IES, para lo anterior establecen como requisito necesario evaluar su calidad.
Las IES que optan por mejorar su calidad, deben establecer las estrategias apropiadas para lograr este objetivo. Una de las estrategias por la que pueden optar, es construir los modelos de regresión lineal multivariada en el que se establecen las relaciones causales entre los factores que influyen en cada indicador de calidad y/o entre estos indicadores. Para construir este tipo de modelos, cuando los indicadores y factores son de naturaleza intangibles o latentes, los Modelos de Ecuaciones Estructurales (SEM, por sus siglas en inglés), constituyen una herramienta adecuada para lograr esta meta.
Una de las aplicaciones de los SEM en la IES, es en la construcción de modelos para representar diversos procesos educativos de las IES, con los cuales: Brígido, et al. (2021) determinan el nivel de impacto con los que los factores o dimensiones personal, institución, e incentivo aplicado a la investigación influyen sobre el puntaje de rendimiento académico; López y Álvarez (2021) relacionan la intención de deserción escolar en las IES como consecuencia de la pandemia debida al virus covid-19; Binsawad (2020) en combinación con redes neuronales determina que factor de la responsabilidad social tiene mayor impacto favorable en la competitividad de la IES. Ghasemy et al. (2020) presentan recomendaciones sobre el uso de los SEM, mismas que se generan como consecuencia de las inconsistencias observadas en la revisión de artículos publicados en los que se modelan procesos educativos de las IES desde el año 1999 al año 2018; Mondaca, et al. (2019) consideran a la investigación y a la enseñanza como los indicadores del nivel de desarrollo de las universidades; Ayala y Atencio (2018) relacionan la variable retención de una IES con las dimensiones familia, ingreso familiar, beneficio económico, clasificación de la IES, sexo del estudiante y edad; Cabrero, et al. (2022) desarrollan un modelo causal para las competencias digitales de los alumnos.
El objetivo de este trabajo consiste en mostrar, a través del análisis de un caso, que los SEM, con los que es posible construir modelos lineales en los que se describen las relaciones causales, cuantificando sus efectos directos, indirectos y totales, entre los indicadores de calidad (tangibles o intangibles) y sus factores (tangibles o intangibles), donde los factores o variables independientes son de naturaleza aleatoria representan una herramienta útil para las IES que pretenden mejorar la calidad de sus programas educativos. Los SEM, además de dar respuesta a la pregunta de si estas relaciones causales son significativas desde el punto vista estadístico, también presentan el valor del efecto directo, indirecto y total que tienen estas relaciones causales, y con ello discriminar cuáles de esos indicadores o factores se han de priorizar para establecer las estrategias para mejorar al (los) indicador(es) de una manera eficiente al asignar los recursos a los factores que tengan mayor impacto sobre el mejoramiento de los niveles de cada indicador de calidad a fin de al menos igualar el valor del parámetro correspondiente a cada indicador.
La deserción estudiantil es un indicador o variable de calidad que es considerada por los órganos evaluadores y acreditadores de las IES (Consejo para la Acreditación de la Educación Superior, COPAES. En México), y es considerado como la finalización del vínculo de permanencia que existe entre el estudiante y la universidad. Semimari y Aparicio (2019), señalan que el porcentaje promedio que este indicador corresponde a las universidades latinoamericanas es del 55%, y que representa una pérdida económica entre dos y 145 millones de dólares por año para cada país de América Latina y el Caribe. Aparte de estas implicaciones económicas, también conlleva afectaciones sociales negativas que, como consecuencia de este fenómeno, generan baja en las expectativas de movilidad social y laboral, y es debido a lo anterior que los países buscan reducir estos porcentajes. También plantean, que la eficiencia con la que puede lograr este objetivo depende del concepto que se tenga de esta variable y de las dimensiones utilizadas para cuantificarla.
La variable elección de carrera e IES, por parte de los estudiantes que egresan de las escuelas preparatorias (E), es una dimensión o factor que influye en la variable dependiente deserción universitaria, (Bobadilla, et al., 2022; Calderón, et al., 2020; Casadiego, et al., 2022; Chaparro, 2018; Cortés, et al., 2019; Giménez, et al., 2022; Henao y Londoño, 2018; Jiménez, et al. 2019; Mejia, et al., 2021; Ruiz, et al, 2022; Sanzana y Secul, 2021; Smulders, 2018; Torres, 2019). De los trabajos de investigación referentes a los causales de la deserción universitaria, Casanova, et al. (2021); Muñoz y Hernández (2011) obtienen, que el porcentaje de los desertores universitarios que cambian de carrera o universidad, varía desde el 80% hasta el 41%. Cabe mencionar que otros trabajos de investigación no consideran a la variable E como variable independiente o predictora sobre la variable deserción (Behr, et al., 2021; Araque, et al., 2009). Por otro lado, Connie, et al. (2022) establecen que los factores que tienen un efecto positivo sobre la variable E, representan un elemento a considerar en las estrategias que se establezcan para mejorar tanto la calidad de la IES como la mercadotecnia.
La variable elección de carrera e IES, depende de dos factores causales, decisión o motivación: intrínseca, que se refiere a la vocación e interés del estudiante; y la extrínseca que corresponde a todos los elementos contextuales que interfieren en su decisión personal, como lo es, la familia, las amistades, la oferta educativa, duración de la carrera, seguridad, costos, los mitos profesionales y salida laboral.
Derkach, et al. (2021) presentan un estudio descriptivo, en el que al menos el 30% de los encuestados responde que las variables: prestigio de la universidad; posibilidad de trabajar en áreas relacionadas con su profesión; el tamaño de la población donde se ubica la universidad; facilidad para obtener empleo; consejos de padres, amigos y adultos mayores, son las que influyeron sobre su decisión de elegir la universidad a cursar la carrera elegida.
En los estudios sobre los factores que influyen sobre la elección de carrera en la áreas de Ciencia-Tecnología, Ingeniería y Matemáticas (STEM, por sus siglas en inglés): Sasson (2021) presenta una análisis descriptivo, el cual valida estadísticamente, y establece que la preferencia por estas áreas son causadas por los factores edad del alumno y la oferta laboral son significativas, mientras que la variable ámbito familiar no es estadísticamente significativa; Rodríguez, et al. (2020) realizan un análisis de la variable latente ámbito familiar y su impacto en la elección de carrera en las áreas del conocimiento correspondientes a STEM, describen y validan estadísticamente tanto los resultados que obtienen, y además, validan el instrumento de medición con el método Análisis Factorial Confirmatorio (AFC), y concluyen que el efecto que tiene la madre sobre el estudiante en el momento de elegir su carrera, es mayor que el efecto del padre, y que el nivel educativo de los padres tiene un efecto mínimo. De igual forma, en la tesis doctoral de Enciso (2022) analiza el efecto que tiene el nivel educativo de los padres sobre la elección de carrera en STEM en sus hijos, estableciendo, a través de un Modelo Probit Binomial, que a mayor nivel educativo mayor influencia de los padres en la elección de carrera de los hijos en estas áreas del conocimiento.
Trujillo, et al. (2020) presentan un análisis descriptivo, en el que establecen que la ubicación, la acreditación académica y los apoyos económicos o becas que brinda la universidad son los principales motivos extrínsecos que influyen sobre la elección de carrera. Mientras el factor emocional, es decir consejos u opiniones de padres, amigos, pareja, maestros, etcétera no tienen un efecto significativo sobre la variable E.
Rodríguez, et al. (2019) establece un modelo en el que la variable elección de carrera está en función de las variables latentes o dimensiones: motivaciones intrínsecas y motivaciones extrínsecas, a las que asigna, respectivamente cuatro y doce ítems, y los resultados que obtienen mediante el método SEM, indican que las motivaciones intrínsecas son más importantes o influyentes que las motivaciones extrínsecas, y que de esta última, los ítems tradición familiar y dificultad de la carrera son los de menor influencia o efecto sobre la decisión de elección de carrera.
Doña y Luque (2019) presentan un análisis descriptivo en el que la vocación es el ítem, que pertenece a la dimensión motivos intrínsecos, es la de mayor efecto sobre la variable E, seguido por el ítem salida profesional, dimensión motivos extrínsecos, mientras el ítem tradición familiar es el que más bajo efecto tiene.
López y Hernández (2018) presentan un estudio descriptivo sobre factores que influyen sobre la variable elección de carrera, y determinan que la familia no influye sobre esta decisión cuando el alumno está definido sobre la carrera a cursar, y en caso contrario la mamá es la persona que mayor influencia tiene sobre la elección de carrera.
Ngan y Khoi (2021) presentan un modelo estadístico, el cual es analizado como un modelo de primer orden con el método SEM-PLS, donde la variable elección universitaria representa a la variable endógena, y las variables: expectativa de carrera futura; reputación universitaria; oportunidad de inscripción; capacidad individual; referencias de grupo; características de la universidad y comunicación representan a las variables exógenas de este modelo. Los resultados establecen que solo las primeras cinco variables exógenas tienen un efecto significativo sobre la variable E, y dentro de estas cinco variables, las dos primeras son las que mayor efecto presentan.
La motivación intrínseca, es la que lleva al alumno por elegir una carrera y universidad, sin embargo, esta motivación se ve afectada por la interacción con las motivaciones extrínsecas (Trujillo, et al., 2020), por lo que en este trabajo se analiza el efecto que tienen las motivaciones extrínsecas sobre la variable E, a fin de cuantificar el efecto que tienen las motivaciones extrínsecas sobre la variable latente E.
Arribas, et al. (2022) presentan un trabajo de revisión de literatura sobre las publicaciones que se realizan en Iberoamérica, durante el periodo 2011-2021, respecto al tema elección de carrera, y que encuentran que las investigaciones que se llevan a cabo sobre esta variable, son de naturaleza exploratoria y descriptiva, y que, en la mayoría de estas investigaciones, concluyen que las motivaciones intrínsecas tienen un mayor efecto o peso sobre las variables extrínsecas.
En esta investigación, las motivaciones extrínsecas que llevan a los alumnos a elegir una carrera y universidad son agrupadas en las seis variables latentes o constructos: Prestigio o Imagen (IM); Costos (EC); Ubicación (UB); Servicios (SE) Infraestructura (IN) de la IES; y Emocionales (EM), mismas que son consideradas como las variables exógenas o dimensiones del modelo multivariante, y la variable E, es la variable endógena, el modelo estructural correspondiente a este modelo multivariante se muestra en la figura 1. En este trabajo, se plantea la hipótesis de que los efectos de cada una de estas seis variables latentes son estadísticamente significativos.

Modelo Estructural Propuesto para la Variable Exógena E, y las Variables Exógenas IM, UB, EC, SE, IN, y EM
Elaboración propiadel modelo de regresión lineal multivariante propuesto, que es representado en esta figura 1, tiene su forma su forma analítica:

Los parámetros

representan valores de números reales, mismos que son estimados a través de los Modelos de Ecuaciones Estructurales de segundo orden, con el Método de Mínimos Cuadrados Parciales (SEM-PLS, por sus siglas en inglés). Es necesario analizar este modelo, como de segundo orden, puesto que no es posible obtener mediciones de la variable elección de carrera y universidad, dado que la medición se lleva a cabo con alumnos recién egresados y no tienen una percepción madura sobre los resultados de su elección.
Las hipótesis a verificar en este trabajo, se presentan en la siguiente ecuación

Para estimar y validar estadísticamente los valores de los parámetros de este modelo lineal, se utiliza el método SEM-PLS, con el que es posible analizar y validar estadísticamente, una relación lineal entre este variable de naturaleza intangible, además de en su caso, una relación de mediación o interacción entre estas variables, lo que lleva a considerar, a este método, como una herramienta apropiada para las administraciones de IES que establecen como objetivo mejorar la calidad de su institución.
Método
La metodología de investigación, que se sigue en este trabajo para validar las hipótesis planteadas en la ecuación (1), su enfoque es de naturaleza cuantitativa, su alcance es correlacional, su diseño es no experimental, es transversal de tipo correlacional. Los datos a utilizar en este trabajo, corresponden a una muestra de 258 estudiantes de nuevo ingreso del Instituto Tecnológico de Hermosillo del periodo 2021-2022.
El instrumento de medición que se utiliza para para la obtención de datos en este trabajo se muestra en la tabla 1, en la que se exponen los ítems utilizado como indicadores de cada variable latente, su respectiva codificación y a la variable latente que pertenecen. Este instrumento es una adaptación del instrumento de medición presentado por García, et al., (2021),

Ítems y su Codificación del Instrumento de Medición
Fuente: Elaboración propiaLa estimación y validación de los valores numéricos de los seis parámetros establecidos en la ecuación (1), y las respectivas pruebas de las hipótesis, se llevan a cabo con el método establecido en el Método de Ecuaciones Estructurales de Mínimos Cuadrados Parciales (SEM-PLS, por sus siglas en inglés) con constructos de orden dos, del tipo molar, con el procedimiento de Indicadores repetidos, se utiliza el método del centroide, con un ‘bootstrapping” de 200 remuestreos para la validación estadística con un nivel de significancia del 5%, para lo cual se emplea función plspm del software de libre acceso R-Studio (Sánchez, 2013; Wetzels, et al. 2009). Con este método: primero, se verifica que el instrumento de medición sea confiable; segundo, se analiza el modelo estructural, que consisten en estimar y validar estadísticamente las estimaciones de los parámetros que corresponden al modelo representado en la figura 1; tercero, se obtiene la estimación de su capacidad predictiva del modelo estructural; cuarto, se estima la colinealidad de cada variable exógena en relación con la variable endógena correspondiente; quinto, se analiza la heterogeneidad de la muestra.
Resultados
De la muestra original de tamaño n=258 datos, al calcular la distancia de Mahalanobis de cada uno de estos datos y compararlos contra el valor del percentil 0.975 de la distribución Chi-cuadrada con 14 grados de libertad, se identifican 30 de ellos que exceden este percentil, lo que lleva a considerarlos como datos atípicos y son eliminados del análisis, por lo que, en el análisis estadístico en este trabajo, se considera una muestra de tamaño n=228 datos.
De la prueba de esfericidad de Bartlett, de acuerdo con la función cortes.bartlett {psych} del software R-estudio, que para estos 228 datos y de acuerdo con los valores que se muestran en la tabla 2, se rechaza la hipótesis nula en la que se establece la afirmación de que la matriz de varianza covarianza de las variables consideradas en esta muestra, es la matriz nula. Mientras que el valor correspondiente, que se obtiene con la función KMO {psych} del mismo software antes mencionado, para la medida de adecuación de muestreo Kaiser-Meyer-Olkin (KMO), para esta muestra es igual 0.88 que excede el valor límite cuyo valor es 0.70 para considerar que es viable una correlación entre estas variables. De acuerdo con los resultados de las pruebas de Bartlett y KMO, se establece que para los valores de las variables en esta muestra es razonable suponer una correlación entre estas variables y proceder a construir un modelo donde se cuantifique el efecto de las variables dependientes con la(s) variable(s) independiente(s).

Valores de la Prueba de Esfericidad de Bartlett
Fuente: Elaboración propiaLa confiabilidad del instrumento de medición, se evalúa con los indicadores para cada constructo: valores alfa de Cronbach , valores rho Dillon-Goldstein . Los valores observados de estos indicadores en la tabla 3, presentan evidencia suficiente para afirmar el cumplimiento de la fiabilidad del instrumento de medición, ya que en cada variable latente o factor se cumple que los valores de y α exceden el valor crítico igual 0.70 (Sánchez, 2013).

Valores de Confiabilidad del IM
Fuente: Elaboración propiaLa validez convergente del instrumento de medición, se evalúa utilizando los indicadores los valores del promedio de la Varianza Extraída Promedio (AVE, por sus siglas en inglés) y las cargas factoriales de cada ítem. En la tabla 3, se presentan los valores del AVE para cada variable latente, y se observa que exceden el valor crítico igual a 0.50 que se establece para este indicador (Aldás y Uriel, 2017). Mientras que en la tabla 4, se presentan los valores de la carga factorial original estimadas, las cargas medias factoriales y sus intervalos del 95% de confianza, para cada ítem, que son estimados con el procedimiento de re muestreo o “bootstrap”, en los que 15 de los 16 indicadores o ítems tienen un valor, con un valor de significancia del 5%, mayor que 0.80; mientras el indicador IM-IM01 tiene un valor igual a 0.683, Este ítem no es eliminado del análisis, dado que el resto de los indicadores AVE, y α superan los valores críticos para estos indicadores (Aldas y Uriel 2017), por lo que se decide sostenerlo en el análisis SEM-PLS. Por lo anterior, se concluye que el instrumento de medición, tiene validez convergente.

Valores de las Cargas Factoriales Originales y Estimadas.
Fuente Elaboración propiaLa validez discriminante del instrumento de medición, se evalúa con el criterio de Fornell y Lacker, y el criterio Heterotrait y Monotrait radio (HTMT). Los valores del criterio de Fornell y Lacker, que corresponden a los valores de las correlaciones entre los factores independientes o constructos, valores fuera de la diagonales principal, y las raíces cuadradas del valor del AVE para cada constructo, valores en la diagonal principal en negritas, se presentan en la tabla 5, y se observa que los valores fuera de la diagonal principal, son menores que el valor de correspondiente a cada uno de estos factores, es decir, se cumple, bajo este criterio, que el instrumento de medición tiene validez discriminante.

Criterio de Fornell y Lacker
Fuente: Elaboración propiaEn la tabla 6, se muestran los valores del HTMT correspondientes para el instrumento de medición, sonde se observa que todos los valores son menores que 0.90, que es el valor critico establecido para este criterio (Aldás y Uriel, 2017), por lo que bajo este otro criterio, ocurre que el instrumento de medición tiene validez discriminante. Dado que se cumplen con los criterios establecidos en Fornell-Larcker y el criterio HTMT, se tiene que el instrumento de validación tiene validez discriminante.

Criterio Heterotrait Montrait Radio (HTMT)
Fuente: Elaboracion PropiaLa colinealidad, es un concepto con el cual se determina si en la muestra, está presente el sesgo común inherente a la persona que responde las preguntas establecidas en el instrumento de medición, ya sea este sesgo se genere debido a las propias preguntas del instrumento de medición que son interpretadas de manera diferentes entre las personas encuestadas; o también, se puede atribuir al deseo consciente o inconsciente de la persona encuestada, para responder los ítems de acuerdo a algún interés personal, no coincidente con su verdadera percepción. Para detectar la presencia de esta colinealidad, se utiliza el Factor de Inflación de la Varianza (VIF, por sus siglas en inglés), donde un valor del VIF mayor que 3.3 indica la presencia de colinealidad en la base de datos (Hair, et al., 2012; Kock y Lynn, 2012; Kock, 2015). En la tabla 7, se presentan los valores VIF para cada una de las variables exógenas considerada en el modelo correspondiente a la figura 1, donde se observa que la colinealidad no está presente en la base de datos utilizada para la estimación y validación de este modelo multivariante.

Valores del VIF por Constructo
Fuente: Elaboración propiaDado que el instrumento de medición, es confiable posee validez convergente y discriminante, y, además, está exento del sesgo común, se procede a realizar el análisis estructural del modelo propuesto.
Análisis
En la ecuación (2) se muestra el modelo de ecuaciones estructurales que relaciona la variable E con los seis constructos o variables latentes, donde los valores path de los parámetros que corresponden a los coeficientes de regresión del modelo propuesto, y son estimados con el método SEM-PLS, ejecutado con la función plspm de R-Studio, que corresponden a los coeficientes de regresión del modelo o valores “path” del modelo de ecuaciones estructurales. La prueba de significancia estadística de estos parámetros estimados se verifica construyendo los intervalos del 95% de confianza, mediante la técnica del remuestreo o “bootstrap”, para cada uno de estos parámetros, mismos que son mostrados en la tabla 8, en donde se observa que estos intervalos no contienen al cero. Por lo que se rechazan las seis hipótesis nulas establecidas en la ecuación (1) con una significancia estadística del 5%, lo que implica que cada uno de estos parámetros estimados es significativo.


Valores Path Estimados, y sus Intervalos de Confianza
Fuente: Elaboración propiaDe la Tabla 8, se observan dos grupos de valores de los parámetros estimados: altos={SE, EC} y bajos={IM, IN, UB, EM}, se destaca, de acuerdo a los intervalos del 95% de confianza dispuestos en esta misma tabla, que no existe diferencia significativa entre los valores correspondientes a los parámetros estimados de las variables latentes pertenecientes a cada uno de estos grupos, dado que los intervalos correspondientes a cada grupo no se intersectan o cruzan entre sí, lo cual no ocurre entre los dos grupos, lo que lleva a que existe diferencia significativa entre ellos.
Para el modelo presentado en la ecuación (2), no es posible llevar a cabo un análisis de su capacidad explicativa, dado que la única variable endógena que aparece en este modelo, es una variable jerárquica de segundo orden, y la estimación de los parámetros de este modelo, se lleva a cabo con modelo de tipo molar con el método de indicadores repetidos, lo que implica que los ítems de la variable latente de segundo orden E, se le asignen todos y cada uno de los ítems de cada variable latente que participa como variable exógena en este modelo: lo que implica que el valor del coeficiente de determinación ( ), es igual a 1. La capacidad de predicción, se mide con el indicador pseudo bondad de ajuste ( ), que para este modelo asume un valor igual a 0.7792, por lo cual se asume que el modelo tiene una buena capacidad predictiva ( Sánchez, 2013).
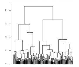
El análisis de heterogeneidad, es un análisis que se lleva a cabo posterior al análisis estructural del modelo, modelo global, y tiene como objetivo validar el supuesto de que los datos de la muestra son homogéneos, esto es, determinar si no existen categorías o conglomerados en la muestra que pudieran afectar los resultados que se obtienen bajo la hipótesis de que la muestra es homogénea. En este trabajo, el análisis de heterogeneidad se ejecuta con el método Respuesta Basado en Unidades de Segmentación en SEM-PLS (REBUS, por sus siglas en inglés), el cual es un algoritmo que detecta clases latentes dentro del SEM-PLS, este método, no requiere asumir distribuciones de probabilidad para las variables involucradas en el modelo, y una de sus utilidades, al descubrir estas clases, es mejorar la capacidad de predicción. En este trabajo de investigación, de acuerdo con el dendograma que se presenta en la figura 2, sugiere la presencia de dos posibles clases o categorías, denominadas grupos, de las cuales el valor del Índice de Calidad Grupal (GQI, por sus siglas en inglés) es igual a 0.7790, este valor, es ligeramente menor que el valor del del modelo global que es igual a 0.7792, lo cual es un indicador de que esta segmentación no mejora la capacidad predictiva del modelo global, lo cual lleva a sostener que los datos utilizados en este trabajo son homogéneos (Sánchez, 2013).

Dendograma de los Datos Residuales Outer E Inner
Fuente: Elaboración propiaEn la tabla 9, se presentan los valores estimados de los parámetros: del modelo global; de cada uno de los dos modelos para cada uno de estos dos grupos o estratos sugeridos por el dendograma de la figura 2, referidos como grupo A y grupo B; los valores de las diferencias, entre los parámetros, respectivos, estimados para cada grupo.

Valores Path para los Modelos: global; de los grupos A y B
Fuente: Elaboración propiaPara determinar si esta diferencia entre los parámetros de cada grupo, es significativa, se plantea las pruebas de hipótesis nulas, que establecen que no existe diferencia significativa entre los valores de estas diferencias entre cada grupo, las cuales se contrastan con sus respectivas hipótesis alternativa, que declaran que, estas diferencias son significativas, a un nivel de significancia del 0.01. Hipótesis que se representan en la ecuación (3)

donde representan la diferencia entre el valor del parámetro i del grupo A, menos el valor del parámetro i correspondiente al grupo B.
Para validar las hipótesis planteadas en la ecuación (3), se utiliza el método de comparación de grupos (grupo A y grupo B), con la prueba Bootstrap t-test, disponible en la función plspm.groups del paquete plspm del software de acceso libre RStudio. Los resultados que se obtienen, se muestran en la tabla 10, en donde se observa que ninguna de las seis diferencias entre los parámetros de estos dos grupos es significativa al 1.0%, lo que lleva a establecer que los datos utilizados para estimar el modelo global son homogéneos.

Resultados de la Prueba de Validación de las Hipótesis de la Ecuación (3)
Fuente: Elaboración propiaDiscusión
De acuerdo al análisis estadístico de los datos, los valores de las seis variables latentes IM, IN, SE, UB, EC y EM presentan efectos significativos sobre la variable E, lo que lleva a establecer que el modelo representado por la ecuación (2), es adecuado para representar la relación causal entre estas seis variables latentes y la variable elección de carrera universitaria e IES, con una adecuada capacidad predictiva.
Lo anterior, permite a la administración de la IES, identificar cuáles variables, y en qué grado, tienen impacto o influyen sobre la decisión que lleva al estudiante egresado de preparatoria a elegir la carrera profesional y el instituto o universidad en donde cursarla. Por lo que, al establecer estrategias para mejorar los valores percibidos de estas variables latentes, y con ello incrementar la preferencia de elección de esta IES por parte del egresado de bachillerato, de primera instancia debe considerar el incrementar el valor percibido de estas seis variables latentes, estableciendo prioridad en las variables SE y EC que son las que mayor efecto tienen sobre la variable E.
Al incrementar la demanda de ingreso en las IES, la administración de estas instituciones tiene elementos para establecer requisitos de ingreso acordes a los perfiles de ingreso establecidos en sus programas de estudios, de tal forma que se logre un mayor empate entre los intereses y aspiraciones de los estudiantes con la oferta de formación profesional que se ofrece en esta IES, de tal forma que, entre otros indicadores de calidad, se logre reducir la deserción en este nivel educativo.
Para efecto de predecir o pronosticar la deserción y/o rezago en las IES, se recomienda tomar como base el modelo representado por la ecuación (2), para construir, ya sea con el método de modelo lineales generalizados o con los arboles de decisión “machine learning”, el modelo de predicción del riesgo en la deserción y/o rezago, para caracterizar y asignar la probabilidad de este evento para los alumnos que ingresan a la IES. Para construir este modelo de predicción, es necesario a dar seguimiento a los alumnos considerados en la muestra, que se utiliza para estimar el modelo expresado en la figura 1, durante cuatro años y medio para contar con la información de quienes concluyeron su programa de estudios en tiempo y forma acorde al tiempo establecido para los programas de estudios correspondientes a los alumnos de esta cohorte.
En este trabajo y en los trabajos presentados por: (Al-Adwan, et al., 2021; Alenezi, 2022; Cabrero, et al., 2022; Del Arco, et al., 2021; Gaurav, et al., 2019; López y Álvarez, 2021; Machorro y Romero, 2021), se pone de manifiesto la utilidad de los modelos de ecuaciones estructurales para modelar indicadores de calidad de las IES, sean estos tangibles o intangibles. Sin embargo, en estos modelos construidos en estos trabajos, no se lleva a cabo un análisis de su capacidad explicativa y predictiva más allá de los valores del coeficiente de determinación y de la bondad de ajuste de Tenenhaus y el indicador , respectivamente. Valores que Chin, et al. (2020), muestran que no resultan apropiados para establecer de manera apropiada la capacidad explicativa y predictiva de los modelos evaluados con estos indicadores, y proponen sustituirlos la cuantificación de capacidad explicativa y predictiva con las herramientas, PLSpredict, validación cruzada (CVPAT, por sus siglas en inglés) y los criterios de selección de modelo ya que estos proporcionan una apropiada cuantificación de la capacidad explicativa y predictiva de los modelos SEM-PLS.
Por lo anterior, se recomienda llevar a cabo un análisis de la capacidad explicativa y predictiva de los modelo construidos con el método SEM-PLS, a través del PLSpredict y del CVPAT, de cada uno de los modelos que se generen al reducir o aumentar las variables latentes del modelo y/o los efectos mediadores entre estas variables latentes; además de aplicar los criterios de selección de: Criterio de Información de Akaike (AIC, por sus siglas en inglés); Criterio de Información de Bayes (BIC, por sus siglas en inglés), Criterio de Geweke-Meese (GM), o Criterio Ponderado Geweke-Meese (GMweight, por sus siglas en inglés).
La estimación y validación de los parámetros correspondientes al modelo representado en la ecuación (2), se lleva a cabo asumiendo homogeneidad en las observaciones para cada variable latente, esto es, se asume que cada alumno al elegir la carrera e IES, le asigna la misma importancia o peso a cada una de las seis variables latentes o constructos IM, IN, SE, UB, EC y EM. El utilizar modelos de ecuaciones estructurales para llevar a cabo predicciones, y que son construidos bajo el no cumplimento de este supuesto, puede generar resultados no apropiados (Sánchez, 2013).
Verificar el cumplimiento del supuesto de homogeneidad aplica para cualquier modelo de regresión lineal, y cobra relevancia llevar a cabo esta verificación, dado que, en caso de existir al menos dos clases con diferencia significativa, los efectos de las variables latentes del modelo en cada una de estas clases, pueden diferir de los efectos del modelo global, esto es, del modelo en el que se asume homogeneidad en el total de las observaciones. Por lo que, al plantear estrategias para mejorar las variables latentes o endógenas del modelo, basándose en los efectos observados en el modelo global, no es posible determinar, en este caso, si con estas acciones se está favoreciendo o no a la clase con mayor proporción dentro del total de observaciones, ya que, en caso de no ser así, se pierde eficiencia al tratar de mejorar la variable de respuesta.
Por ejemplo en este trabajo, el modelo que corresponde a la ecuación (2), se construye bajo el supuesto de homogeneidad en las observaciones de la muestra, las variables latentes son las que mayor efecto tienen sobre la variable , por lo cual la administración basándose en esta información debe canalizar los recursos, de manera prioritaria, a fortalecer estas dos variables latentes. Sin embargo, si este supuesto no es válido en este modelo, puede resultar que esta asignación de recursos no proporcione el resultado esperado, dado que existen al menos dos clases significativamente diferentes en los valores de los efectos de cada variable difieran del modelo global, es decir, del modelo en el que no se consideran la existencia de clases.
En la construcción del modelo representado en la ecuación (2), se soporta la suposición de que la muestra es homogénea, lo cual permite establecer que no existen categorías, segmentos o clases en la muestra utilizada para el análisis correspondiente, este resultado contraviene a las declaraciones de que el sexo del estudiante impacta en la elección de carrera (Mosteiro, 1997; Rodríguez y Padín, 2022; Sánchez, et al., 2023).
Contribución de Autores
Contribuciones de los autores: Idea original de la investigación, Rafael García Martínez, Eduardo Rafael Poblano Ojinaga; Marco teórico, Rafael García Martínez, Eduardo Rafael Poblano Ojinaga, Leonor García Gámez; Modelación de los datos recolectados, análisis de los resultados y desarrollo de discusión, Rafael García Martínez, Eduardo Rafael Poblano Ojinaga; Búsqueda de artículos en bases de datos, redacción de resultados y conclusiones, revisión de redacción, Rafael García Martínez, Eduardo Rafael Poblano Ojinaga; Revisión de redacción, Rafael García Martínez, Leonor García Gámez.
Un agradecimiento especial al Consejo Nacional de Ciencia y Tecnología (CONACYT) por el apoyo brindado a Rafael García Martínez (1) mediante el Programa de Estancias Posdoctorales en México 22.
Un agradecimiento especial al Consejo Nacional de Ciencia y Tecnología (CONACYT) por el apoyo brindado a Eduardo Rafael Poblano Ojinaga (2) mediante el Programa de Estancias Posdoctorales en México 22.
Referencias
Al-Adwan, A. S., Albelbisi, N. A., Hujran, O., Al-Rahmi, W. M., & Alkhalifah, A. (2021).
Aldás, J., & Uriel, E. (2017). Análisis Multivariante Aplicado con R. Madrid, España:
Alenezi, A. R. (2022). Modeling the Social Factors Affecting Student's Satisfaction with Online Learning: A Structural Equation Modeling Approach. Education Research International, ,Article ID 2594221, 1-13. https://doi.org/10.1155/2022/2594221.
Almuiñas, R. J., & Galarza, L. J. (2021). Acreditación Universitaria u Evaluación Institucional: Un Estudio Comparado Desde la Red de Dirección Estratégica en la Educación Superior.). Revista San Gregorio. 1(45), 130-145. https://doi.org/10.36097/rsan.v0i45.1717.
Araque, F., Roldán, C., & Salguero, A. (2009). Factors Influencing University Dropout Rates. Computers & Education. 563-574. https://dx.doi.org/10.1016/j.compedu.2009.03.013
Ayala, R. M., & Atencio, A. I. (2018). Retención en la Educación Universitaria en Chile. Aplicación de un Modelo de Ecuaciones Estructurales. Revista de la Educación Superior, 47(1869, 93-118. http://www.scielo.org.mx/scielo.php?script=sci_arttext&pid=S0185-27602018000200093&lng=es&nrm=iso.
Behr, A., Giese, M., Teguim, K. H., & Theune, K. (2021). Motives for Dropping Out from Higher Education—An Analysis of Bachelor's Degree Students in Germany. European Journal of Education, 56(2), 325-343. https://doi.org/10.1111/ejed.12433.
Binsawad, M. H. (2020). Corporate Social Responsibility in Higher Education: A PLS-SEM Neural Network Approach. IEEE Access, 8, 29125-29131. https://doi.org/10.1109/ACCESS.2020.2972225. Bobadilla, A. J., Villarreal, F. S., Miranda, N. E., Bodek, D. F., y Gutiérrez, R. R. (2022).
Bobadilla, A. J., Villarreal, F. S., Miranda, N. E., Bodek, D. F., y Gutiérrez, R. R. (2022). Diagnóstico de las Causas de Rezago y Deserción En Alumnos De La Facultad De Ciencias de la UNAM. RIDE Revista Iberoamericana para la Investigación y el Desarrollo Educativo, 12(24), https://doi.org/10.23913/ride.v12i24.1181.
Brígido, W. J., de Oliveira, J. F., de Sousa, P. E., y Souza, J. C. (2021). Using PLS Path Modelling in Education System: A Model to Measure the Academic Performance Score. European Journal of Teaching and Education, 3(1). 1-3. https://doi.org 10.33422/ejte.v3i3.643
Cabrera, V. A. (2005). El Concepto Calidad en la Educación Universitaria: Clave para el Logro de laCompetitividad Institucional. Revista Iberoamericana de Educación, 36(12). 1-7. https://doi.org/10.35362/rie36122886
abrero, A. J., Gutiérrez, C. J., Guillén, G. F., y Gaete, B. A. (2022). Competencias Digitales de Estudiantes Técnico-Profesionales: Creación de un Modelo Causal Desde un Enfoque PLS-SEM. Campus Virtuales, 11(1),, 167-179. https://doi.org/10.54988/cv.2022.1.1008
Casadiego, A. R., Sánchez, T. J., Arroyo, C. F., & Argila-Irurita, A. (2022). Determinants of University Student Dropout: The Case of The Politécnico Grancolombiano. International Journal of Management in Education, 16(3), 211-234. https://doi.org/10.1504/IJMIE.2022.122622.
Casanova, J. R., Vasconcelos, R., B. A., & Almeida, L. S. (2021). University Dropout in Engineering: Motives and Student Trajectories. Psicothema 2021, 33(04), 595-601. https://doi.org/ 10.7334/psicothema2020.363.
Chaparro, M. E. (2018). Factores que Influyen en la Deserción de los Estudiantes Universitarios. Academo Revista de Investigación en Ciencias Sociales y Humanidades (12), 73-79. https://doi.org/ 10.30545/academo.2018.jul-dic.5
Chin, W., Cheah, J. H., Liu, Y. T., Lim, X. J., & Cham, T. H. (2020). Demystifying the Role of Causal-Predictive Modeling Using Partial Least Squares Structural Equation Modeling in Information Systems Research. Industrial Management & Data Systems. https://doi.org/ 10.1108/IMDS-10-2019-0529.
Connie, G. b., Senathirajah, A. R., Subramanian, P., Ranom, R., & Osman, Z. (2022). Factors Influencing Students’ Choice of an Institution of Higher Education. Journal of Positive School Psychology, 10015-10043: https://www.journalppw.com/index.php/jpsp/article/view/6311/4159
Cortés, C. S., Álvarez, P., Llanos, M., y Castillo, L. (2019). Deserción Universitaria: La Epidemia que Aqueja a los Sistemas de Educación Superior. REV. PERSPECTIVA, 20 (1), 13-25. DOI: https://doi.org/10.33198/rp.v20i1.00017.
Del Arco, I., Flores, Ò., & Ramos, P. A. (2021). Structural Model to Determine the Factors that Affect the Quality of Emergency Teaching, According to the Perception of the Student of the First University Courses. Sustainability, 13(5), 2945, 1-14 .https://doi.org/10.3390/su13052945.
Derkach, T. M., Kolodyazhna, A., & Shuhailo, Y. V. (2021). Psychological Factors Motivating the Choice of University Entrants. In Second International Conference on History, Theory and Methodology of Learning (ICHTML 2021), https://doi.org/10.1051/shsconf/202110402001
Doña, T. L., y Luque, M. T. (2019). La Experiencia Universitaria. Análisis de Factores Motivacionales y Sociodemográficos. Revista de la Educación Superior, 48(191), 1-24. https://doi.org 10.36857/resu.2019.191.851
Enciso, A. E. (2022). Influencia de la Educación de los Padres en la Elección de una CarreraSTEM: El Caso Colombiano. Doctoral dissertation, Universidad Externado de Colombia.
Fernández, A., y R., M. J. (2019). Calidad de los Sistemas Educativos: Modelos de Evaluación. Propósitos y Representaciones, 7(spe), 347-347. https://dx.doi.org/10.20511/pyr2019.v7nSPE.347.
Freire, V., Rocha, J. C., Esquetini, C., y LLanes, E. A. (2019). Análisis de la Planificación Estratégica para la Gestión de las Universidades Particulares. Una alternativa exitosa. Revista Espacios, 40(02). https://www.revistaespacios.com/a19v40n02/19400225.html.
García, M. R., Poblano, O. E., Reyes, V. R., Cuamea, C. G., y Juárez, R. (2021). Elección de Carrera e Institución de Educación Superior: Validación de Instrumento de Medición Mediante ll Modelado de Ecuaciones Estructurales. RIDE Revista Iberoamericana Para la Investigación y El Desarrollo Educativo, 11(22). https://doi.org/10.23913/ride.v11i22.961.
Gaurav, C., Pankaj, M., Piyush, J., & Preeti, B. (2019). "Effectiveness of Elearning Portal from Students’ Perspective: A Structural Equation Model (SEM) approach". Interactive Technology and Smart Education. https://doi.org/10.1108/ITSE-05-2018-0027.
Ghasemy, M., Teeroovengadum, V., Becker, J. M., & Ringle, C. M. (2020). This Fast Car Can Move Faster: A Review of PLS-SEM Application in Higher Education Research. Higher education, 80(6), 1121-1152. https://doi.org/10.1007/s10734-020-00534-1.
Giménez, I. G., Vidal, C., Zeberio, M., y Gómez, R. W. (2022). Informe OAC, 15: Una Aproximación Cualitativa al Fenómeno de la Deserción Universitaria. Causas de Abandono de los Estudiantes de UNRN. RID-UNRN. https://rid.unrn.edu.ar/handle/20.500.12049/8558.
Guzmán, P. S., y Guevara, R. R. (2022). Configuración de la Acreditación de la Calidad Como Campo de Estudio. Una Revisión Sistemática de la Investigación Internacional (1998-2016).. Revista Iberoamericana de Educación Superior, 13(36), 160-180. https://doi.org/10.22201/iisue.20072872e.2022.36.1189.
Hair, J. F., Sarstedt, M., Ringle, C. M., & Mena, J. A. (2012). An Assessment of the Use of Partial Least Squares Structural Equation Modeling in Marketing Research. Journal of the Academy of Marketing Science, 40, 414-433. https://doi.org 10.1007/s11747-011-0261-6.
Henao, J. I., & Londoño, D. A. (2018). Deserción, Literacidad y Elección de Carrera: Una Revisión Desde la Mirada de los Estudiantes y los Profesores de la Facultad de Ciencias Empresariales de la IUE. Aglala, 9(1), 232-262. https://doi.org/ 10.22519/22157360.1189.
Jiménez, R. L., Medina-Vázquez, A. S., & Pérez-Torres, G. (2019). Proposal of a Computer System for Vocational Guidance with Data Mining. 2019 IEEE International Conference on Engineering Veracruz (ICEV), 1-5. https://doi.org/ 10.1109/ICEV.2019.8920523.
Kock, N. (2015). Common method bias in PLS-SEM: A Full Collinearity Assessment Approach. International Journal of e-Collaboration (ijec), 11(4), 1-10. https://doi.org 10.4018/ijec.2015100101
Kock, N., & Lynn, G. (2012). Lateral Collinearity and Misleading Results in Variance-Based SEM: An Illustration and Recommendations. Journal of the Association for Information Systems, 13(7), 1-40. https://doi.org 10.17705/1jais.00302
López, A. D., y Álvarez, P. P. (2021). Modelo Predictivo PLS-SEM Sobre Intención de Abandono Académico Universitario Durante la COVID-19. Revista Complutense de Educación. 32(3), 451-461. https://dx.doi.org/10.5209/rced.70507.
López, D. D., y Hernández Arias, A. (2018). Influencia Familiar y Personas Significativas en la Elección de Carrera Universitaria. Revista Electrónica de Psicología Iztacala, 21(3), 923-940. https://www.revistas.unam.mx/index.php/repi/article/view/67306
Machorro, F., y Romero, M. V. (2021). Influencia del Capital Humano en el Desempeño Organizacional de las Instituciones de Educación Superior Tecnológica en México. Formación Universitaria, 14(5), 3-10. https://dx.doi.org/10.4067/S0718-50062021000.
Mejia, M. S., Jimenez, C. C., & Martínez, S. J. (2021). Career Recommendation System for Validation of Multiple Intelligence to High School Students. In Applied Computer Sciences in Engineering: 8th Workshop on Engineering Applications, WEA 2021, Medellín, Colombia, October 6–8, 2021, Proceedings 8, 110-120. https://dx.doi.org/10.1007/978-3-030-86702-7_10
Mondaca, C., Lopatinsky, J., Montecinos, A., y Rojas, M. J. (2019). Medición del Nivel de Desarrollo de las Universidades Chilenas: Un Análisis con Modelos de Ecuaciones Estructurales. Calidad en la Educación, (50), 284-318. https://dx.doi.org/10.31619/caledu.n50.562.
Mosteiro, G. M. (1997). El Género Como Factor Condicionante de la Elección de Carrera: Hacia Una Orientación Para la Igualdad de Oportunidades Entre los Sexos. 305-315. https://hdl.handle.net/2183/6622
Muñoz, J. F., y Hernández, S. I. (2011).¿Desertores o Decepcionados? Distintas Causas para Abandonar los Estudios Universitarios. Revista de la Educación Superior, 40(160), 29-49. https://www.scielo.org.mx/scielo.php?script=sci_arttext&pid=S0185-27602011000400002&lng=es&tlng=es.
Ngan, N. T., & Khoi, B. H. (2021). Using PLS-SEM Algorithm for Choice of University in Vietnam. In Journal of Physics: Conference Series 1933(1), IOP Publishing. https://doi.org/ 10.1088/1742-6596/1933/1/012066.
Paredes, B. E. (2008). Acreditación Universitaria: Garantía de Calidad en la Educación Superior?. Revista Medica Herediana, 19(2), 43-45. https://doi.org/10.20453/rmh.v19i2.976
Rew, D., Cha, W., Kim, J. W., & Jung, J. Y. (2023). The Effects of Commitment and Trust on the Relationship Setween Service Quality and University Brand Loyalty in Time of Crisis. Journal of Marketing for Higher Education. 1-22. https://doi.org/10.1080/08841241.2023.2239723
Rivas-Tovar L. A. (2023). Normas Apa 7ª Edición: Estructura, Citas y Referencias. Instituto Politécnico Nacional. https://www.researchgate.net/publication/357046089_NORMAS_ APA_7_EDICION_ESTRUCTURA_CITAS_Y_REFERENCIAS
Rivero, J. L., y López, J. G. (2012. El Proceso de Planificación Estratégica en las Universidades: Desencuentros y Retos para el Mejoramiento de su calidad. Revista Gestão Universitária na América Latina-GUAL, 5(2), 72-97. https://doi.org/10.5007/1983-4535.2012v5n2p72
Rodríguez, E. A., y Padín, G. A. (2022). Diferencias Según el Género en los Intereses Académico-Profesionales: ¿Persisten los Estereotipos? Revista Española de Orientación y Psicopedagogía, 148-166. https://doi.org/10.5944/reop.vol.33.num.1.2022.33771
Rodríguez, K. C., Medina, D. E., y Crespo, P. F. (2020). Influencia Familiar en la Elección de Carreras STEM (Ciencia, Tecnología, Ingeniería y Matemáticas) en Estudiantes de Bachillerato. Revista de Investigación Educativa, 38(2), 515-531. https://dx.doi.org/10.6018/rie.366311.
Rodríguez, M. L., Areces, M. D., Suárez, Á. J., Cueli, M., y Muñiz, J. (2019). ¿ Qué Motivos Tienen los Estudiantes de Bachillerato para Elegir una Carrera Universitaria?. Revista de Psicología y Educación, 14(1), 1-5. https://doi.org /10.6018/rie.366311.
Ruiz, L. M., Valdiviezo, L. R., y Martínez, Q. R. (2022). Propuesta de Modelo de Gestión para Disminuir la Deserción de Estudiantes de un Instituto Técnico Superior de Comunicaciones en el Perú. INNOVA Research Journal, 7(1), 1-18. https://doi.org/10.33890/innova.v7.n1.2022.1941.
Sanchez, G. (2013). PLS Path Modeling with R. Berkeley: Trowchez Editions, 383(2013), 551. http://www.gastonsanchez.com/PLS Path Modeling with R.pdf.
Sánchez, M. M., Corral, R. S., Bastida, M. C., y González, G. G. (2023). Academic Determinants and Motivations According to the Gender of Vocational Training Students. Revista de Educación, 399, 11-36. https://doi.org/10.4438/1988-592X-RE-2023-399-560.
anzana, Á. G., y Secul, R. A. (2021). Factores Personales y de Acceso que Inciden Sobre la Permanencia y Deserción Universitaria en Estudiantes de Pedagogía en una Universidad Chilena de Zona Geográfica Extrema: Personal and Access Factors that Affect the Retention and Dropout of Pre-Ser. Revista Sophia Austral, 27(1). https://doi.org/10.22352/SAUSTRAL202127001.
asson, I. (2021). Becoming a Scientist Career Choice Characteristics. International Journal of Science and Mathematics Education, 483-497. https://doi.org/ 10.1007/s10763-020-10059-9.
Semimari, M. P., y Aparicio, M., (2019). La Deserción Universitaria ¿Un Concepto Equívoco? Revisión de Estudios Latinoamericanos Sobre Conceptos Alternativos. Revista de Orientación Educacional , 32(61, 44-72. https://www.roe.cl/index.php/roe/article/view/16.
Smulders, M. (2018). Factores que Influyen en la Deserción de los Estudiantes Universitarios. Academo Revista de Investigación en Ciencias Sociales y Humanidades, 129-130. https://dx.doi.org/10.30545/academo.2018.jul-dic.5
Tiana, F. A. (2018). Treinta Años de Evaluación de Centros Educativos en España. Educación XX1. Revista de la Facultad de Educación, 21(2), 17-36, https://doi.org/ 10.5944/educXX1.21419.
Torres Navarro, L. A. (2019). Factores Que Impactan en la Deserción Estudiantil en las Universidades de Latinoamérica del año 2009 al 2019: Una Revisión de la Literatura Científica. Universidad Privada del Norte, https://repositorio.upn.edu.pe/bitstream/handle/11537/22993/Torres%20Navarro%20Luis%20Abel.pdf?sequence=1.
Torres, S. M., García, R. A., y Alvarado, A. A. (2018). La Evaluación Externa: Un Mecanismo Para Garantizar la Calidad de la Educación Superior en Costa Rica. Revista Electrónica Educare, 286-301. https://doi.org/10.15359/ree.22-2.16.
Trujillo, F. K., Henríquez, F. S., yMills, N. I. (2020). Principales Factores que Influyen en la Selección de Estudios Superiores de los Estudiantes de la Universidad de Lagos, sede Chiloé. Conocimiento Educativo, 7, 11-19. http://dx.doi.org/10.5377/ce.v7i0.10027
Wetzels, M., Odekerken-Schröder, G., & Van Oppen, C. (2009). Using PLS Path Modeling for Assessing Hierarchical Construct Models: Guidelines and Empirical Illustration. MIS quarterly (33). 177-195. https://api.semanticscholar.org/CorpusID:15179816.