Resumen: En las Yungas de Argentina, las selvas pedemontanas representan el piso altitudinal más amena-zado. La cercanía a centros poblados y rutas de comunicación ha potenciado su degradación y transformación, y es donde los mamíferos inevitablemente han perdido más hábitat. En este contexto, el establecimiento de líneas de base de diversidad y el conocimiento detallado de su biología e historia natural constituye un paso importante para la implementación de políticas de conservación. En este estudio, se utilizaron cámaras trampa para caracterizar los patrones de actividad de los mamíferos de mediano y gran porte en tres localidades a lo largo de todo el gradiente latitudinal del pedemonte de Yungas en Argentina. Se obtuvieron 2757 fotografías correspondientes a 28 especies de mamíferos pero solo 18 pudieron ser adecuadamente caracterizadas (n > 10 registros fotográficos). En general predominaron los patrones de actividad nocturna (seis especies, incluyendo a Didelphis albiventris, Procyon cancrivorus, Euphractus sexcinctus, Tamandua tetradactyla, Tapirus terrestris. Sylvilagus brasiliensis), con dos picos de actividad observados tanto en la estación húmeda como en la seca, y con algunos casos de comportamiento lunarfóbico (T. tetradactyla, D. albiventris. T. terrestris). Solo tres especies fueron de actividad diurna (Nasua nasua, Dasyprocta punctata . Eira barbara) y una de actividad diurna- crepuscular (Puma yagouaroundi). De las ocho especies clasificadas como de actividad catemeral (Cerdocyon thous, Leopardus geoffroyi, L. pardalis, L. wiedii, Lycalopex gymnocercus, Mazama gouazoubira, Pecari tajacu. Puma concolor), tres significativamente fueron más activas durante horas de la noche. Estos patrones se comparan y discuten en el contexto de lo conocido para estas especies en otras áreas.
Palabras clave:Bosques subtropicalesBosques subtropicales,Ciclos diariosCiclos diarios,Ciclos lunaresCiclos lunares,Historia naturalHistoria natural,Meso y macro mamíferosMeso y macro mamíferos.
Abstract: Activity patterns of medium and large sized mammals in piedmont forests of the Yungas of northwestern Argentina. In the Yungas of Argentina, the piedmont forest is the most threatened altitudinal belt. The proximity to population centers and communication routes has facilitated its degradation and transformation, and mammals of this area have inevitably lost more habitat than those of other regions in the Yungas. In this context, the establishment of baselines of mammal diversity and the improvement of the knowledge of its biology and natural history constitute an important step in conservation policy implementations. In this study, we used camera traps to characterize the activity patterns of medium to large species mammals at three locations spanning the latitudinal distribution of the Yungas piedmont in Argentina. We obtained 2757 photographs for 28 species of mammals but only 18 could be properly characterized (10 or more photos each). In general, nocturnal activity patterns predominated (six species, including Didelphis albiventris, Procyon cancrivorus, Euphractus sexcinctus, Tamandua tetradactyla, Tapirus terrestris, and Sylvilagus brasiliensis), with two peaks of activity observed in both wet and dry season, and some cases of lunarphobic behavior (T. tetradactyla, D. albiventris, and T. terrestris). Only three species were diurnal (Nasua nasua, Dasyprocta punctata and Eira barbara), and one had diurnal-crepuscular activity (Puma yagouaroundi). Of the eight species classified as catemeral in activity (Cerdocyon thous, Leopardus geoffroyi, L. pardalis, L. wiedii, Lycalopex gymnocercus, Mazama gouazoubira, Pecari tajacu, and Puma concolor), three were significantly more active during evening hours. These patterns are compared and discussed in the context of the knowledge for these species in other areas.
Keywords: Daily cycles, Lunar cycles, Medium and large mammals, Natural history, Subtropical forests.
Artículos
PATRONES DE ACTIVIDAD DE MAMÍFEROS DE MEDIO Y GRAN PORTE EN EL PEDEMONTE DE YUNGAS DEL NOROESTE ARGENTINO
Recepción: 27 Octubre 2015
Aprobación: 18 Abril 2016
La región noroeste de Argentina (NOA) es una de las regiones de mayor heterogeneidad ambiental del territorio nacional. En esta área, caracterizada por los fuertes contrastes geomorfológicos y climáticos, están presentes 5 de las 15 ecorregiones continentales del país (Burkart et al., 1999). Dentro de esta complejidad ambiental, las Yungas constituyen una unidad de particular interés, ya que, aunque está representada por una estrecha franja de hábitat que ocupa el 1% del territorio de Argentina, alberga una diversidad que, sumada a la de la Selva Paranaense, incluye más del 50% de la diversidad biológica nacional (Brown et al., 2001).
En Argentina, las Yungas ocupan una superficie estimada en 5.2 millones de hectáreas, extendiéndose desde la frontera con Bolivia hasta el norte de la provincia de Catamarca. Esta ecorregión se caracteriza por un fuerte gradiente altitudinal y climático que tiene por correspondencia una importante variación en la composición especifica de la vegetación. De este modo, en las Yungas pueden reconocerse pisos o franjas de vegetación de características fisonómicas y florísticas bien diferenciables (Brown et al., 2001).
La comunidad de mamíferos de mediano y gran porte de las Yungas del NOA incluye una diversidad importante de taxones, con aproximadamente 37 especies agrupadas en 9 órdenes (Artiodactyla, Carnivora, Cingulata, Didelphimorphia, Lagomorpha, Perissodactyla, Pilosa, Primates y Rodentia). Gran parte de estas especies (en particular aquellas de mayor tamaño corporal) han sufrido retracciones notables de su distribución histórica y tienen como su último refugio a esta estrecha masa boscosa. La causa principal de estas retracciones es la pérdida de hábitat, lo que ha derivado en un estatus de conservación de riesgo para numerosas especies, por lo menos a nivel nacional (Ojeda et al., 2012). Esta situación es particularmente marcada en el piso altitudinal inferior de las Yungas, las selvas pedemontanas, en las que se han llevado a cabo las mayores modificaciones del ambiente natural (Jayat et al., 2009).
En años recientes, los estudios sobre los mamíferos de Yungas del NOA se multiplicaron para abarcar diversas temáticas y a la mayoría de los grupos taxonómicos (Barquez et al., 2006). A pesar de estos avances, numerosas especies de esta región continúan siendo poco conocidas desde perspectivas elementales. Un ejemplo de ello es el desconocimiento práctica- mente total sobre su historia natural, incluyendo los patrones temporales de actividad. El conocimiento de este aspecto del comportamiento de los mamíferos es importante para abordar preguntas ecológicas y evolutivas, así como problemas relacionados con su conservación. En este estudio, se utilizaron cámaras trampa para caracterizar los patrones de actividad diario, mensual y estacional de 28 especies de mamíferos de mediano y gran porte en tres localidades del pedemonte de Yungas que abarcan gran parte del gradiente latitudinal de este ambiente en la región del NOA.
Los estudios se llevaron a cabo en tres sectores latitudinales del pedemonte de Yungas del NOA, incluyendo el extremo norte, en la Sierra de Tartagal, límite con Bolivia; el sector central, en áreas de la Serranía de Calilegua; y el extremo sur, en la localidad de La Florida, al pie de la Sierra del Aconquija, sector considerado el último relicto de selva pedemontana de la provincia de Tucumán (Fig. 1 [Material Suplementario 1]).
El pedemonte de Acambuco se encuentra aislado de la cordillera Oriental por los ríos Itaú, Grande de Tarija y Bermejo, y está vinculado más estrechamente a zonas chaqueñas que a otros pisos altitudinales de Yungas. Al norte limita con áreas de transición entre Yungas y Chaco de Bolivia. El pedemonte alcanza 900 m de altitud en esta área y muestra particularidades, con algunas especies arbóreas (e. g., Caesalpinea floribunda, Capparis sp., Tartagalia roseorum) no registradas en otros sectores. La selva montana se distribuye aquí como pequeños parches aislados, ubicados en quebradas húmedas por encima de 900 m en áreas cumbrales de la sierra de Tartagal (Jayat y Ortiz, 2010).
En el sector central, en Calilegua, el pedemonte constituye un área de amortiguamiento del PN Cali-legua, ubicándose en la transición con el sector plano donde predominan plantaciones de caña de azúcar y cítricos surcadas por corredores de bosques riparios. Esta selva posee un alto valor de conservación y las especies arbóreas que predominan son: palo blanco (Calycophylum multiflorum), palo amarillo (Phyllostylon rhamnoides), cebil (Anadenanthera colubrina), cedro (Cedrela angustifolia) y urundel (Astronium urundeuva) (Saravia et al., 2008).
En el extremo sur, límite más austral de las Yungas en el NOA, el pedemonte de La Florida constituye el último remanente de este piso altitudinal en el NOA (Ayarde, 1995). En esta zona, largamente modificada para el cultivo de caña de azúcar y citrus (entre otras actividades), y también denominada selva de tipa (Tipuana tipu) y pacará (Enterolobium contorticiliquum) dominan, además de estas dos especies, el laurel (Cinnamomun porphyrium), el nogal (Juglans australis), el horco cebil (Parapiptadenia excelsa) y la lanza amarilla (Terminalia triflora) (Brown et al., 2009).
La actividad de los mamíferos se registró mediante cámaras trampa marca Moultrie M40 y Bushnell HD programadas para disparar una y tres fotografías cada 5 minutos, respectivamente. Las cámaras trampas fueron ubicadas en sectores boscosos evitando caminos y sendas, distanciadas unas de otras entre 1 y 1.5 km. Todas las cámaras fueron cebadas con una lata de conserva de atún fijada al suelo o a un árbol. Las estaciones de muestreo se dispusieron en zonas de bosques continuos y en corredores de bosque ripario entre ambientes modificados (principalmente cultivos de caña de azúcar). El esfuerzo de muestreo en cada localidad fue desigual y determinado por las condiciones del entorno ambiental particular (Tabla 1 [Material Suplementario 2]). Las especies registradas en las fotografías fueron identificadas con la ayuda de guías de campo, literatura sobre el tema y consulta a profesionales. Para cada una de las fotografías se obtuvieron la fecha, hora, y período lunar.
Como el éxito de captura fue dispar para el conjunto de especies registradas, se llevaron a cabo diferentes análisis y comparaciones en función del número de registros obtenidos para cada especie. Para aquellas especies con diez registros fotográficos o menos, solo se ofrecen los datos de campo relacionados con el horario y período lunar de las capturas. Para las especies con 11 a 30, se realizó una categorización (ver detalles más abajo) del patrón de actividad lunar y el ciclo diario. Para las especies con más de 30 registros se evaluaron, además, la variación estacional y latitudinal de los patrones de actividad. Debido a la escasez de registros en alguna de las situaciones en particular, dos de las especies con más de 30 registros no pudieron ser evaluadas en cuanto a su patrón estacional y latitudinal.
El ciclo lunar se representó siguiendo un esquema de 8 fases (ver manual Moultrie M40, pág. 8) y para la descripción del ciclo diario se dividió el día en períodos de una hora. Se consideraron como diurnas aquellas especies con el 70% o más de sus registros obtenidos entre las 08:00 y las 17:59 hs; de actividad nocturna a aquellas con el 70% o más de sus registros obtenidos entre las 20:00 y las 05:59 hs; de actividad crepuscular a aquellas con el 70% o más de sus registro entre los intervalos de las 06:00 y las 07:59 hs, y las 18:00 y 19:59 hs; y como catemerales a aquellas cuyos registros no cumplieron con las categorías anteriores y estuvieron activos durante la noche, el crepúsculo y en horas del día. También se definieron categorías conjuntas, considerando como diurnas/crepusculares y nocturnas/crepusculares a las especies con el 95% de sus registros en cualquiera de esas dos categorías. Para el ciclo lunar se definieron tres categorías de actividad. Las especies lunarfóbicas fueron aquellas en las que el número de registros obtenidos en las fases 1, 2 y 8 fue al menos tres veces mayor que en las fases 4, 5 y 6; las lunarfílicas aquellas con el patrón inverso; y las indiferentes, aquellas con cualquier patrón no coincidente con los anteriores. Solo se analizaron los patrones de actividad en relación al ciclo lunar para las especies que resultaron nocturnas o catemerales. Las desviaciones respecto de las proporciones esperadas para una sola categoría de período de actividad diaria (nocturna = 10/24, diurna = 10/24, crepuscular = 4/24) o lunar (lunarfóbica = 3/8, lunarfílica = 3/8) fueron evaluadas con un test binomial (para un p ≤ 0.05). Adicionalmente se caracterizaron los patrones de actividad diaria de los mamíferos mediante estadísticas circulares, incluyendo el ángulo promedio (μ, que indica la dirección del vector promedio, y por lo tanto, la hora pico de actividad) y la longitud (r, que representa la dispersión de las observaciones) del vector promedio, y el parámetro de concentración (k) para una distribución von Mises (el cual mide el apartamiento de la distribución es- tudiada respecto de una distribución uniforme en un círculo). El ajuste de los datos observados respecto de la distribución von Mises se evaluó mediante el test de Watson (U2). Los análisis estadísticos se llevaron a cabo en R versión 3.2.1 (R Core Team, 2013) y con la ayuda del programa Oriana versión 4 (versión demo, Kovach Computing Services, 1994-2011).
Para la comparación estacional, se dividieron los registros provenientes de la estación seca (agosto a diciembre) de aquellos correspondientes a la estación húmeda (enero a julio), mientras que la comparación latitudinal se llevó a cabo entre los tres sectores relevados.
Para evitar sobreestimar el número de registros en determinados horarios del ciclo diario se eliminaron todos los registros, menos uno, de los producidos en una misma fecha, para una misma trampa y dentro de un mismo intervalo horario.
Se obtuvieron un total de 2757 fotografías correspondientes a 28 especies de mamíferos de mediano y gran porte de áreas boscosas del pedemonte de Yungas del NOA (Tabla 2). Para diez de estas especies (Conepatus chinga, Dasypus novemcinctus, D. yepesi, Sapajus cay, Galictis cuja, Hydrochoeris hydrochaeris, Leopardus tigrinus, Lutreolina massoia, Mazama americana . Panthera onca) solo se obtuvieron 10 o menos registros; para seis especies (Leopardus geoffroyi, L. wiedii, Lycalopex gymnocercus, Tamandua tetradactyla, Puma concolor . P. yagouaroundi) se obtuvieron entre 11 y 30 registros; y para 12 especies (Cerdocyon thous, Dasyprocta punctata, Didelphis albiventris, Eira barbara, Euphractus sexcinctus, Leopardus pardalis, Mazama gouazoubira, Nasua nasua, Pecari tajacu, Procyon cancrivorus, Tapirus terrestris. Sylvilagus brasiliensis) se obtuvieron más de 30 registros (Tabla 2).


Dentro de las especies con más de 30 regis- tros, para D. albiventris . P. cancrivorus solo fue posible una descripción general de los patrones de actividad para el pedemonte; para E. sexcinctus, L. pardalis, N. nasua, P. tajacu . T. terrestris se logró una comparación estacional; para C. thous, D. punctata . S. brasiliensis se realizaron comparaciones estacionales y entre localidades dentro de la alta cuenca del río Bermejo (ACRB); y para las restantes (E. barbara . M. gouazoubira) se lograron comparaciones completas, incluyendo las dos estaciones y todo el gradiente latitudinal.
Tres especies (N. nasua, D. punctata . E. barbara) fueron clasificadas como de actividad diurna, y una (P. yagouaroundi) como diurna-crepuscular (Tabla 2).
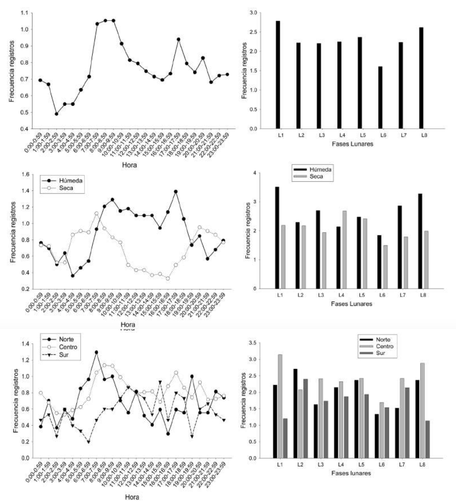
El coatí (N. nasua) presentó 83% de sus registros concentrados en horas de plena luz del día, pero también mostró algo de actividad crepuscular (11.3% de registros). El patrón diurno fue levemente más marcado durante la estación húmeda (84.4% de los registros vs. 9.4% crepuscular), mientras que durante la estación seca esta especie superó levemente el número de registros como para ser considera- da de actividad diurna-crepuscular (95.2% de registros) (Fig. 2).

El agutí rojizo (D. punctata) fue la especie mejor documentada, presentando un comporta- miento similar entre estaciones y localidades de la ACRB, pero con leves diferencias. Dasyprocta punctata es una especie diurna (75.6% de registros obtenidos entre las 8:00 y las 17:59 hs) en el pedemonte, pero con una actividad crepuscular apreciable (casi 18% de los registros). La actividad diurna de D. punctata fue más marcada durante la estación húmeda (casi 88% de sus registros), mientras que en la estación seca se acercó más a un comportamiento diurno-crepuscular (94.4% de registros). Los patrones de actividad diaria reflejan básicamente lo observado en la región centro de la ACRB, mientras que en el sector norte, esta especie fue decididamente diurna-crepuscular (Fig. 3).

El hurón mayor (E. barbara) fue predominantemente diurno (74% de los registros), pero con actividad crepuscular apreciable (18.3% de registros) y levemente inactivo hacia el medio- día. El patrón diurno fue más marcado durante la estación húmeda (82.2% de registros), con una disminución apreciable de los registros crepusculares (7.5%). En la estación seca la actividad diurna-crepuscular fue más intensa (casi 93% de los registros). El patrón de actividad en el sector norte apenas alcanzó la categoría de diurno-crepuscular (95.2% en esta categoría, casi 30% de ellos en horas del crepúsculo), en el central fue claramente diurno (pero con períodos de actividad importantes tanto en horarios crepusculares [13.8%] como nocturnos [11. 2%]), y en el sur fue claramente diurna- crepuscular (96.6% de sus registros) (Fig. 4).

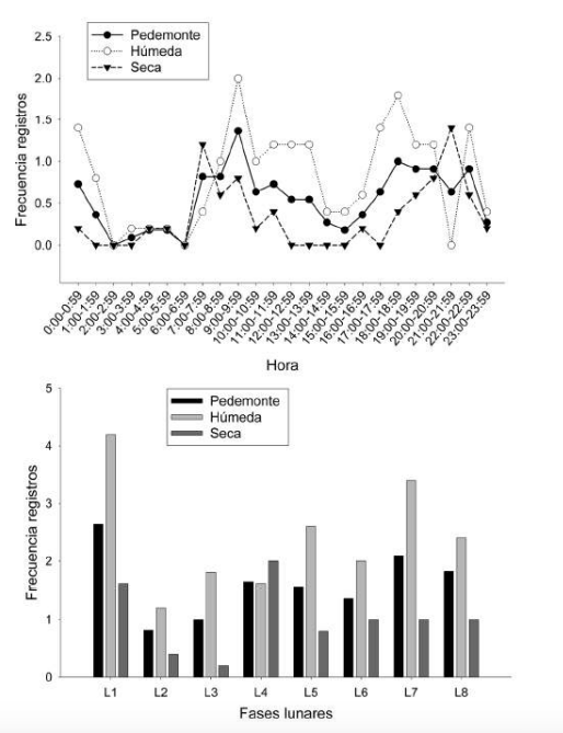
Seis especies de mamíferos del pedemonte (D. albiventris, P. cancrivorus, E. sexcinctus, T. tetradactyla, T. terrestris . S. brasiliensis) fueron clasificadas como de actividad nocturna; tres de ellas (T. tetradactyla, D. albiventris . T. terrestris) pertenecen a la categoría de lunar- fóbicas y las tres restantes fueron indiferentes a la fase lunar (Tabla 2).
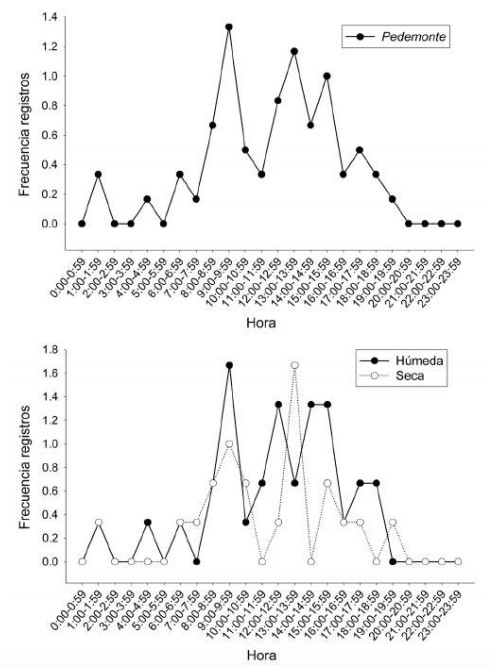
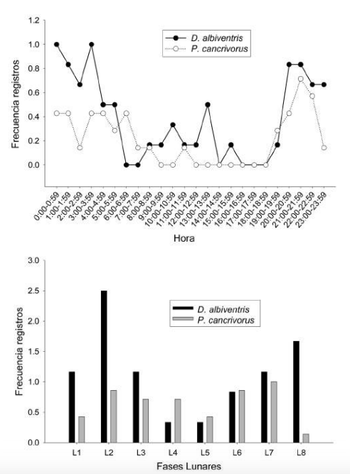
Didelphis albiventris . P. cancrivorus son especies preferentemente nocturnas (82% y 78% de los registros, respectivamente), pero mientras la comadreja overa presentó una ac- tividad diurna importante (18.2% de registros), el mayuato mostró mayor actividad crepuscular (16.7% de registros). Didelphis albiventris fue claramente lunarfóbica (32 de 41 registros en las fases lunares 1, 2 y 8), mientras que el mayuato (P. cancrivorus) se mostró indiferente (Fig. 5).

Euphractus sexcinctus acumuló el 71.3% de sus capturas fotográficas en horas de la noche, pero tuvo alguna actividad crepuscular (14.9%) y diurna (13.8%). Fue más fuertemente nocturna en la estación húmeda (79.4% de registros contra menos del 6% en horas del día) mientras que en la seca se comportó como catemeral (menos de 70% de registros en todas las franjas horarias), básicamente por un aumento en su actividad diurna (17.3%). Los registros indican que es una especie indiferente respecto de la fase lunar. Sin embargo, el mayor número de fotografías (37 de un total de 87) se obtuvo durante las fases de menos luminosidad; tendencia que fue más notoria durante la estación húmeda (Fig. 6).

El tapir (T. terrestris) obtuvo el mínimo de registros para ser considerado de actividad nocturna (con 19% diurnos y 11% crepusculares). La actividad diurna aumentó a 27% durante la estación húmeda, temporada en la que se comportó como catemeral. Durante la estación seca, por el contrario, fue casi exclusivamente nocturna (con 14 de los 15 registros obtenidos en esta categoría y solo uno en horario crepuscular). Presentó, además, un comportamiento predominantemente lunarfóbico (aunque con el mínimo de registros necesarios y un número de registros importantes en fases lunares intermedias [L3 y L7]), en ambas estaciones del año (Fig. 7).

Con uno de los mejores registros, el tapití (S. brasiliensis) mostró actividad preponderantemente nocturna (76% de las fotografías), pero con numerosos registros en horarios crepusculares (17%). Este patrón se mantuvo cuando consideramos las distintas localidades de la ACRB pero fue algo diferente entre estaciones. El patrón de actividad nocturna fue extremo en la estación seca (90% de los registros) pero en la húmeda se comportó como catemeral (aunque con menos del 10% de sus registros en horas del día). El patrón de actividad respecto de las fases lunares fue siempre indiferente. Sin embargo, en todos los casos, salvo la estación húmeda, el número de registros fue mayor en las fases lunares de mayor luminosidad (Fig. 8).

Los datos obtenidos indican que C. thous, Leopardus geoffroyi, L. pardalis, L. wiedii, Lycalopex gymnocercus, M. gouazoubira, Pecari tajacu . Puma concolor pueden ser incluidas dentro de la categoría catemeral (Tabla 2). Cinco de estas especies (C. thous, L. gymnocercus, L. geoffroyi, L. pardalis. L. wiedii) presentaron la mayoría de sus registros en horas de la noche, dos (M. gouazoubira. P. tajacu) fueron más activas durante el día, y una (P. concolor) acumuló más capturas durante el crepúsculo (Tabla 3. Material Suplementario 2]).
La actividad catemeral del gato onza (L. pardalis) en el pedemonte estuvo fuertemente sesgada hacia horas de la noche (65.9% de los registros) y fue el resultado de lo observado en la estación húmeda, en donde mostró un pico de actividad en horas del amanecer. Por el contrario, en la estación seca este félido fue predominantemente nocturno (78.9% de sus registros) y con un pico de actividad al anochecer. De acuerdo a nuestros registros, esta especie es indiferente respecto del período lunar durante todo el año (Fig. 9).

De acuerdo a la información obtenida, la actividad catemeral del pecarí de collar (P. tajacu) tiene picos en las primeras horas de la mañana y al atardecer. Este patrón se mantuvo entre estaciones, pero fue predominantemente diurno en la estación húmeda (54.2% de registros) y predominantemente nocturno durante la seca (45% de registros). La actividad de esta especie fue indiferente respecto de la fase lunar para las dos estaciones del año (Fig. 10).

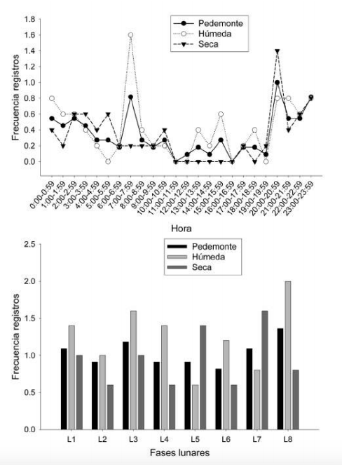
Los patrones de actividad para el zorro de monte (C. thous) pudieron ser analizados sobre la base de un número apreciable de registros. Su comportamiento catemeral muestra picos notorios durante el amanecer (entre las 5:00 y las 7:00 hs) y el anochecer (entre las 19:00 y 21:00 hs). Este esquema se mantuvo, con leves variaciones, si se compara la actividad estacional o lo ocurrido entre localidades de la ACRB.
Durante la estación seca, y en la región central, esta especie fue levemente más nocturna. La actividad parece indiferente respecto de las distintas fases lunares cuando consideramos los datos agrupados para el pedemonte, pero con un número de registros mayor para las fases lunares de menor luminosidad. Este patrón se mantuvo en la estación húmeda y en ambas localidades de la ACRB, pero fue diferente en la estación seca (en la que hubo unos pocos registros más durante las fases lunares de mayor luminosidad) (Fig. 11).

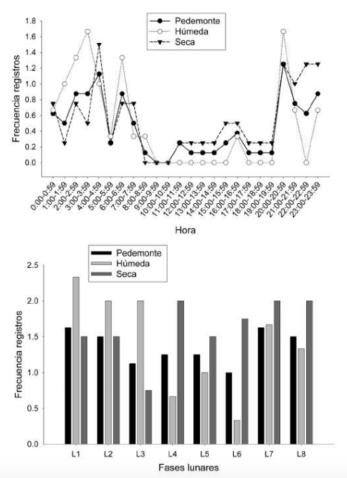
La corzuela parda (M.gouazoubira) no presentó un horario de actividad claramente preferencial, aunque se observó un pico notable durante las primeras horas de la mañana (Tabla 3 .Material Suplementario 2]). Fue indiferente, además, a las fases lunares, pero en la estación húmeda se observó una tendencia a evitar las fases lunares de mayor luminosidad (sin llegar a nuestra categoría de lunarfóbica). No se observaron desviaciones importantes respecto del patrón catemeral e indiferente a las fases lunares cuando se comparó la actividad a lo largo del rango latitudinal, pero el número de registros durante fases lunares de menor luminosidad fue siempre menor y la actividad diurna en la región norte levemente mayor (Fig. 12).

Las selvas pedemontanas representen el ambiente más amenazado de las Yungas y uno de los sistemas forestales más comprometidos a nivel nacional (Brown y Malizia, 2004; Brown et al., 2006). Sin embargo, persiste una importante superficie de pedemonte en Argentina (aproximadamente 900 000 ha), gran parte de la cual se encuentra en buen estado de conservación. Estas áreas constituyen un refugio clave para numerosas especies de mamíferos (Jayat et al., 2009; Jayat y Ortiz, 2010), algunas de las cuales actualmente se encuentran bajo alguna categoría de riesgo de conservación (Ojeda et al., 2012). En este contexto, el establecimiento de líneas de base de diversidad y el conocimiento detallado de su biología e historia natural constituye un paso importante para la implementación de políticas de conservación.
Los relevamientos con cámaras trampa se han transformado en una herramienta valiosa para investigar el comportamiento y muchos aspectos de la historia natural de especies crípticas; proveyendo información sobre área de acción, abundancia, densidad y uso de hábitat (Maffei et al., 2005; Vilas Boas Goulart et al., 2009; Di Bitetti et al., 2010). También pueden ser utilizadas para estudiar los patrones de actividad diaria, mensual y estacional de esas poblaciones (Di Bitetti et al., 2006, 2010; Grassman Jr. et al., 2006; González-Maya et al., 2009; Gray y Phan, 2011). La eficacia de esta aproximación para el estudio de mamíferos de medio y gran porte, sobre todo de aquellas especies más elusivas, ha sido demostrada en investigaciones llevadas a cabo en zonas boscosas húmedas (Van Schaik y Griffiths, 1996; Gómez et al., 2005; Tobler et al., 2008; Blake et al., 2012; Rovero et al., 2014) incluyendo ambientes de Yungas (Jiménez et al., 2010; Di Bitteti et al., 2013). Mediante este método obtuvimos información sobre aproximadamente el 75% de las especies de mamíferos de mediano y gran porte citadas para el pedemonte de Yungas (Jayat et al., 2009; Jayat y Ortiz, 2010), muchas de ellas de difícil observación mediante otros métodos.
Es poco lo que se sabe sobre patrones de actividad para la mayor parte de los mamíferos neotropicales en general (Blake et al., 2012) y los que habitan los bosques subtropicales de América del Sur en particular. Los estudios han estado además fuertemente sesgados hacia algunos grupos en general, como los carnívoros (Maffei et al., 2005; Di Bitetti et al., 2006, 2010); o especies en particular, como el tapir (Cruz et al., 2014 y referencias allí) y el ocelote (Di Bitteti et al., 2006 y referencias allí). En el caso de las Yungas, la literatura al respecto es muy escasa (Jiménez et al., 2010). Sin embargo, existen publicaciones centradas en otras áreas que permiten comparar algunos de nuestros resultados.
Entre los mamíferos de mediano y gran porte del pedemonte de Yungas predominan los patrones de actividad nocturna. Seis especies pudieron ser claramente clasificadas dentro de esta categoría, y aunque las especies catemerales fueron las más numerosas, tres de ellas significativamente prefirieron las horas de la noche (Tabla 3 [Material Suplementario 2]). Además, la mayor parte de las especies con menos de 10 capturas presentaron todos o la mayoría de sus registros en esta franja horaria (Tabla 2). La actividad estrictamente diurna es infrecuente entre los mamíferos en general (Gerkema et al., 2013) y entre aquellos de bosques lluviosos en particular (Van Schaik y Griffiths, 1996). En este trabajo clasificamos apenas tres especies como predominantemente diurnas y una como diurna crepuscular, y ninguna de las especies catemerales evidenció una preferencia significativa por los horarios diurnos (Tabla 3 [Material Suplementario 2]).
El mayor contraste en los patrones de actividad para los datos agrupados de mamíferos se observó entre estaciones diferentes. Mientras en la estación húmeda predominó la actividad diurna y el pico de mayor actividad se produjo al atardecer, durante la seca la mayoría de los registros se agruparon en horarios nocturnos y el pico más importante se ubicó al amanecer (Fig. 13).

Esto no fue consecuencia del comportamiento de una o unas pocas especies con numerosos registros, sino de un conjunto importante de especies que variaron su comportamiento en una misma dirección durante una estación. En la húmeda, por ejemplo, N. nasua, D. punctata, E. barbara, T. terrestris, S. brasiliensis, L. pardalis, P. tajacu y C. thous fueron más activas durante el día; algunas incluso pasaron de una actividad predominantemente nocturna a una catemeral, o de una catemeral a predominantemente diurna. Solo E. sexcinctus y M. gouazoubira presentaron un patrón de actividad diurna menos marcado durante esta estación.
La influencia de la intensidad de la luz durante las fases del ciclo lunar ha sido bien documentada para numerosos taxones y en distintos ambientes. Cambios sutiles en luminosidad pueden afectar de diversas formas, no mutuamente excluyentes, los ritmos de actividad de los organismos, incluyendo la reproducción, la comunicación visual y el éxito (o riesgo) de predación (Kronfeld-Schor et al., 2013). El análisis de los datos agrupados para todos los mamíferos del pedemonte indica que la actividad fue predominantemente lunarfóbica (Fig. 13).
Sin embargo, entre las especies clasificadas como nocturnas o catemerales en el pedemonte del NOA, la actividad de la mayoría fue indiferente respecto de la fase lunar. Solo D. albiventris, T. tetradactyla. T. terrestris fueron clasificadas como lunarfóbicas, y únicamente en dos casos (D. albiventris. T. terrestris) esta actividad estuvo significativamente asociada con los momentos de menor luminosidad.
El patrón de actividad estrictamente diurno de N. nasua está ampliamente documentado (Gompper y Decker, 1998; Eisenberg y Redford, 1999; Emmons y Feer, 1990; Gómez et al., 2005). Sin embargo, algunos autores han mencionado también actividad nocturna en el caso de los machos (fide Wallace et al., 2010). Esta es la especie con el mayor porcentaje de registros de actividad diurna en el pedemonte de Yungas, presentando una concentración de registros alrededor del mediodía (μ = 12:01 hs;Tabla 2), aunque se observó una actividad diurna-crepuscular en la estación seca (Fig. 2).
El género Dasyprocta fue caracterizado como principalmente diurno-crepuscular, aunque se ha sugerido que su actividad puede adecuarse a la presencia de predadores y a la actividad humana (Wallace et al., 2010). Gómez et al. (2005) y Norris et al. (2010) registraron actividad diurna para D. variegata y D. leporina respectivamente, con picos de actividad en las primeras horas del amanecer y el atardecer. Resultados similares fueron obtenidos por Lambert et al. (2009) para D. punctata en bosques húmedos de la isla de Barro Colorado y durante nuestro estudio (Fig. 3). Los registros de esta especie se distribuyeron alrededor de un vector promedio coincidente con el mediodía (μ=12:01 hs; Tabla 2). La actividad predominantemente diurna de esta especie ha sido relacionada con una disminución del riesgo de predación (Lambert et al., 2009). Nuestro estudio indicó un comportamiento de actividad nocturna consistentemente bajo para esta especie (siempre menos del 7% de los registros), incluso nulo en el caso del sector norte.
Eira barbara es una especie descripta como esencialmente diurna-crepuscular, pero con actividad ocasional hasta la medianoche (Presley, 2000). También fueron documentadas modificaciones hacia una actividad predominantemente crepuscular en situaciones de disturbio antrópico (Emmons y Feer, 1990). Delgado-V et al. (2011) registraron tres picos de actividad diurnos para esta especie en Colombia: uno corto en horas de la mañana (7:00 a 9:00hs) y dos más pronunciados, al mediodía (13:00 a 15:00 hs) y al atardecer (17:00 a 18:00 hs). Estos resultados coinciden a grandes rasgos con lo documentado para esta especie en la cordillera de Talamanca, sudeste de Costa Rica (González-Maya et al., 2009). Nuestros resultados para el pedemonte confirman la actividad predominantemente diurna y con una actividad apreciable en horas del crepúsculo para esta especie (Tabla 2 y Fig. 4). Sin embargo, solo se observaron dos picos de actividad, en las primeras horas de la mañana y el atardecer, con una disminución en la frecuencia de registros durante el mediodía. También se observaron algunas desviaciones de este patrón en distintas estaciones del año y a lo largo del gradiente latitudinal, lo cual podría indicar una plasticidad importante en el comportamiento de esta especie. Inventarios realizados con trampas cámara en bosques montanos húmedos de Perú (yungas) y Ecuador (bosques nublados y páramos), aunque a mucha mayor altitud que nuestro estudio, también dan cuenta de la actividad predominantemente diurna de esta especie (Jiménez et al., 2010; Hodge y Arbogast, en prensa).
Los registros obtenidos para el gato moro (P. yagouaroundi) no fueron muy numerosos (n = 20). Sin embargo, el patrón observado parece indicar una actividad principalmente diurna-crepuscular en el pedemonte (Tabla 2). Los horarios de mayor y menor actividad elegidos por esta especie en el pedemonte de Yungas fueron similares a aquellos reportados por Di Bitteti et al. (2010) en el Bosque Atlántico de la provincia de Misiones, aunque en este último caso la actividad estuvo algo más restringida a horas de plena luz del día. Esta especie también fue de actividad algo más diurna en ambientes chaqueños del departamento Santa Cruz, Bolivia (Maffei et al., 2007).
Didelphis albiventris ha sido reportada como predominantemente nocturna (Emmons y Feer, 1990; Wallace et al., 2010). Estudios realizados con trampas cámara en el sur de Brasil han documentado un patrón unimodal para esta especie, con los registros concentrados entre las 18:00 y las 3:00 hs y con un pico de actividad luego del atardecer (Oliveira-Santos et al., 2008). En el pedemonte de Yungas del NOA la comadreja overa también mostró una actividad fuertemente nocturna, con el porcentaje de registros más alto en esta categoría entre las especies estudiadas y un valor de μ casi exactamente coincidente con la medianoche (Tabla 2); sin embargo, en este trabajo hemos documentado más de un pico de actividad nocturna (uno pronunciado a medianoche y otros dos más pequeños), muy pocos registros crepusculares (menos del 2%), y una frecuencia importante de registros fotográficos en horas de plena luz (casi un 20%). En nuestro estudio, los registros de esta especie muestran también una tendencia, estadísticamente significativa, a evitar fases lunares de mayor luminosidad. Este patrón lunarfóbico ya fue documentado para otras especies de Didelphis. Barrera-Niño y Sánchez (2014) observaron que la luna influye negativamente sobre la actividad de forrajeo de Didelphis pernigra en áreas suburbanas de Bogotá, Colombia; mientras que Norris et al. (2010) documentaron períodos de actividad más tardíos en fases lunares de mayor luminosidad para Didelphis marsupialis en el Mato Grosso, Brasil.
Investigaciones realizadas en bosques chiquitanos y bosques amazónicos pre-andinos de Bolivia indican que el mayuato (P. cancrivorus) es una especie principalmente nocturna (Gómez et al., 2005; Arispe et al., 2008). Los registros para el pedemonte mostraron un patrón similar al de otras áreas, principalmente nocturno, pero con una actividad crepuscular algo más extendida (casi 17% de los registros obtenidos), y un pico ubicado en las primeras horas de la noche (Tabla 2 y Fig. 5).
A diferencia de lo reportado en la literatura, que indica que E. sexcinctus es una especie fuertemente diurna y con registros nocturnos ocasionales (Redford y Wetzel, 1985), en el pedemonte de Yungas fue principalmente nocturna (Tabla 2). Esta tendencia fue más marcada durante la estación seca. No hemos encontrado trabajos que den cuenta de los patrones de actividad de esta especie respecto de las fases lunares, pero nuestros resultados parecen indicar que, aunque puede preferir noches menos iluminadas (sobre todo en la estación húmeda), no es una especie que se vea particularmente afectada por dichas fases.
De acuerdo a la literatura T. tetradactyla tiene actividad catemeral. Emmons y Feer (1990) la consideraron como de actividad diurna y nocturna, mientras que para Hayssen (2011) esta especie puede ser nocturna a diurnacrepuscular. En este trabajo no se obtuvieron registros suficientes (n=11) para caracterizarla adecuadamente, probablemente debido a su modo de vida fuertemente arborícola; sin embargo, la mayoría de los registros (8 fotografías) fueron obtenidas durante la noche y no se obtuvieron registros crepusculares.
Pocas especies han sido tan bien estudiadas a lo largo de su distribución en cuanto a sus patrones de actividad como el tapir (Tapirus terrestris). Padilla y Dowler (1994) indican que en estado salvaje puede ser activa en todo momento, excepto en las horas de mayor temperatura ambiente, pero la mayoría de los trabajos la caracterizan como fuertemente nocturna (Emmons y Feer, 1990; Noss et al., 2003; Gómez et al., 2005; De Souza Martins et al., 2007; Tobler et al., 2009; Cruz et al., 2014) y algunos antecedentes indican que su actividad no guarda relación con la termorregulación (Cruz et al., 2014). Los datos para el pedemonte indican también un comportamiento principalmente nocturno para esta especie (μ=22:17 hs), pero con numerosos registros diurnos y crepusculares, y diferencias estacionales importantes. Al igual que lo observado para otras especies de tapir (Foerster y Vaughan, 2002), registramos una actividad diurna más marcada para T. terrestris durante la estación húmeda. Las especies de tapires parecen comportarse de modo diferente respecto de las fases lunares en distintas partes de su distribución. Mientras algunos trabajos han reportado una mayor actividad del tapir de montaña (T. picunche) en fases lunares más intensas (Lizcano y Cavelier, 2000), otros registraron el patrón opuesto para tapires de tierras bajas (Medici, 2010 fide Cruz et al., 2014), y algunos no observaron influencia alguna (Link et al., 2012; Cruz et al., 2014). El comportamiento lunarfóbico de las especies de tapir, como el observado en este estudio para T. terrestris, podría ser una consecuencia de altos niveles de predación en el área (Medici, 2010 fide Cruz et al., 2014).
Sylvilagus brasiliensis es una especie caracterizada como de actividad nocturna (Emmons y Feer, 1990; Gómez et al., 2005) o nocturna crepuscular (Blake et al., 2012). Este es el patrón observado en las localidades del norte y centro del pedemonte de Yungas del NOA (Tabla 2). No obstante, nuestros registros indican que en la estación húmeda esta especie puede ser considerada dentro de nuestra categoría de catemeral. Esta especie no parece evitar las fases lunares de mayor luminosidad (casi siempre presentó un número de registros mayor en fases lunares más intensas) pero en ningún caso pudo ser clasificada como lunarfílica.
Ximenez (1975) consideró al gato montés (L. geoffroyi) como una especie de hábitos nocturnos e, infrecuentemente, crepusculares. De acuerdo a Cuellar et al. (2006) esta es una especie principalmente nocturna en bosques secos de Bolivia, pero con alguna actividad diurna, tanto en invierno como en verano. Resultados similares fueron obtenidos por Manfredi et al. (2011) en la región pampeana de Argentina, pero estos autores observaron algunas diferencias estacionales. Pereira et al. (2012) documentaron una gran plasticidad respecto del horario de actividad para esta especie y el cambio hacia un patrón predominantemente diurno durante un período de escasez de recursos alimenticios. Aunque nuestras observaciones no fueron muy numerosas (n=11), el gato del monte parece ser una especie catemeral en el pedemonte de Yungas, con 55% de sus registros en horarios nocturnos, 36% en el crepúsculo, y un 9% en horas de plena luz del día. Se han observado también variaciones en cuanto a los patrones de actividad de esta especie con relación a las fases lunares, pudiendo ser mayor o menor en noches de máxima luminosidad en distintas áreas (Manfredi et al., 2011). Aunque limitadas, y por lo tanto preliminares, nuestras observaciones constituyen las primeras descripciones del patrón de actividad para esta especie en áreas boscosas de Yungas.
Los patrones de actividad del ocelote (L. pardalis) han sido largamente estudiados en diferentes localidades de su extensa área de distribución (Murray y Gardner, 1997). Estos estudios en general indican que, aunque puede ser activa durante todo el día, prefiere los horarios crepusculares y nocturnos (ver también Maffei et al., 2005 y Di Bitteti et al., 2006, 2010). Este también es el patrón reportado en ambientes de Yungas de Perú (Jiménez et al., 2010) y lo que observamos cuando consideramos los datos agrupados para el pedemonte de Yungas del NOA (actividad catemeral, pero fuertemente sesgada hacia la noche, con un valor de μ similar al obtenido por Di Bitteti et al. [2010]). No obstante, debe notarse que las variaciones diarias y estacionales de este patrón a lo largo de su distribución son comunes (Murray y Gardner, 1997). En el pedemonte la especie se muestra como más marcadamente catemeral (50% de registros nocturnos, 22% crepusculares y 22% diurnos) en la estación húmeda y predominantemente nocturna en la seca (78.9% de registros). La indiferencia de esta especie respecto de las fases lunares ha sido también documentada en otras partes de su distribución (Murray y Gardner, 1997; Maffei et al., 2005), pero este comportamiento parece variable y probablemente ligado a las condiciones del microhábitat local (Emmons et al., 1989; Di Bitteti et al., 2006).
Las investigaciones realizadas sobre los patrones de actividad del margay (L. wiedii) a lo largo de su rango de distribución indican que es una especie fuertemente nocturna (De Oliveira, 1998; Di Bitteti et al., 2010; Vanderhoff et al., 2011; Carvajal-Villarreal et al., 2012). Sin embargo, no se registraron diferencias de actividad entre el día y la noche, o entre estaciones, en ciertas áreas de su distribución (De Oliveira, 1998). De acuerdo a nuestros registros del pedemonte esta es una especie catemeral, pero la mayoría de sus registros estuvieron significativamente agrupados en horarios nocturnos (Tabla 3 [Material Suplementario 2]) y el vector promedio μ se ubicó alrededor de la medianoche (Tabla 2). Esta especie presentaría dos picos de actividad en el pedemonte de Yungas, y en horarios similares a los observados por Vanderhoff et al. (2011) en Ecuador. Al igual que en otras áreas de su distribución (De Oliveira, 1998), el margay tuvo un comportamiento de actividad independiente respecto de las fases lunares en el pedemonte.
Lycalopex gymnocercus es una especie con patrones de actividad variables a lo largo de su distribución (Lucherini y Luengos Vidal, 2008; Di Bitteti et al., 2009). Estudios realizados por Vieira y Port (2007) y Di Bitteti et al. (2009) en el sur de Brasil y el noreste de Argentina han registrado una segregación temporal entre esta especie y el zorro de monte (C. thous); cuando ambas especies coexisten, L. gymnocercus tiende a ser notablemente menos nocturna. Sin embargo, otros autores no registraron dicha segregación (Faria-Correa et al., 2009). Nuestro estudio indica que en el pedemonte L. gymnocercus tiene actividad catemeral (Tabla 2; Tabla 3 [Material Suplementario 2]). A diferencia de lo observado por otros autores, la segregación entre esta especie y C. thous en el pedemonte de Yungas pareciera ser espacial y no temporal (Tabla 2). Observaciones preliminares (Albanesi y Di Bitteti, datos no publicados) indican que C. thous prefiere ambiente boscosos y L. gymnocercus es más frecuente en zonas abiertas transformadas (como cultivos de caña y citrus). Nuestro estudio también indica que esta es una especie indiferente a las fases lunares (Tabla 2).
A diferencia de lo registrado para el zorro de monte (C. thous) en otras áreas de su distribución, donde tiene una actividad fuertemente nocturna (Macdonalad y Courtenay, 1996; Vieira y Port, 2007; Di Bitteti et al., 2009), el patrón de actividad registrado en el pedemonte fue catemeral (Tabla 2; Tabla 3 [Material Suplementario 2]). Sin embargo, la mayoría de los registros fueron nocturnos (Tabla 2). Esta especie mostró dos picos muy marcados de actividad en horas del amanecer y el atardecer, como fuera descripto en otros trabajos (Macdonalad y Courtenay, 1996; Di Bitteti et al., 2009). La indiferencia de esta especie respecto de las fases lunares ya fue documentada en otros estudios (Faria-Correa et al., 2009).
Existen numerosos trabajos que han registrado una actividad principalmente diurna y con un pico de actividad en las primeras horas de la mañana para el pecarí de collar (P. tajacu) (Gómez et al., 2005; Tobler et al., 2009; Kuroiwa, 2009 fide Wallace et al., 2010; Blake et al., 2012). Los datos para el pedemonte indican un pico de actividad en horas del día para esta especie (μ=15:31 hs), pero una actividad predominantemente catemeral (Tabla 2; Tabla 3 [Material Suplementario 2]) con dos picos de actividad y leves diferencias estacionales.
El patrón de actividad preponderantemente diurno de la corzuela parda (M. gouazoubira) ha sido documentado en diversos trabajos (De Souza Martins et al., 2007; Tobler et al., 2009; Blake et al., 2012). Rivero et al. (2005) obtuvieron registros de esta especie a toda hora en el bosque Chiquitano de Bolivia, pero observaron un pico de actividad entre las 5:00 y las 10:00 hs. Este patrón es similar al observado por De Souza Martins et al. (2007) en el norte de Brasil y a lo documentado en este trabajo (dirección del vector promedio μ=10:15 hs), pero no es lo que se observa en otras áreas de su distribución. Por ejemplo, Tobler et al. (2009) no registraron un pico de actividad discernible para esta especie, y Blake et al. (2012) registraron tres picos, uno a primera hora de la mañana, otro al mediodía y uno al atardecer. Los resultados de nuestro trabajo indican un patrón de actividad que tiende a ser bimodal en esta especie (Tabla 2).
Los registros de actividad del puma (P. concolor) obtenidos en numerosos trabajos indican que es una especie con algún grado de actividad a lo largo de todo el día (Scognamillo et al., 2003; Gómez et al., 2005; Paviolo et al., 2009; Blake et al., 2012). No obstante, se han registrado distintos patrones en distintas áreas y bajo diferentes circunstancias. Scognamillo et al. (2003) registraron una mayor actividad durante la noche en los llanos venezolanos, pero no observaron picos notables. Gómez et al. (2005) clasificaron a esta especie como catemeral, con al menos tres picos de actividad; y aunque la mayoría de sus registros estuvieron agrupados en horas de la noche, uno de estos picos se produjo en las primeras horas de la mañana. Paviolo et al. (2009) registraron horarios de actividad diferentes en áreas con distinto grado de protección, con un pico de actividad en las primeras horas de la mañana en las áreas mejor protegidas y una actividad crepuscular y nocturna más marcada en zonas con menor protección. Por otra parte, Blake et al. (2012) registraron un pico de actividad a media noche. Los datos obtenidos para el pedemonte, aunque no fueron muy numerosos (N=11), indican un comportamiento catemeral, pero fuertemente crepuscular para esta especie (Tabla 2; Tabla 3 [Material Suplementario 2]), y con un pico de actividad muy marcado entre las 5:00 y 7:00 hs (μ=06:26 hs).
Este estudio contribuye con información importante sobre los patrones temporales de actividad para 28 de las 37 especies de mamíferos de mediano y gran porte actualmente presentes en el pedemonte de Yungas del NOA, incluyendo especies raras y de difícil observación (e. g., Lutreolina massoia, Leopardus wiedii). Y aunque el tamaño de muestra es pequeño para muchas de ellas, los datos obtenidos pueden ser vistos como una contribución a una línea de base sobre la historia natural de estas especies. Claramente, esfuerzos de muestreo adicionales permitirán una mejor cuantificación de los resultados aquí obtenidos. La necesidad de aumentar el esfuerzo es evidente en el caso de especies con densidades poblacionales bajas, como los carnívoros. Para este grupo encontramos especies con muy pocas capturas fotográficas (como P. onca, L. tigrinus, G. cuja, C. chinga) o incluso que no pudieron ser registradas (L. longicaudis). Pero también hay otros grupos mal documentados, como Dasypodidae (con muy pocos registros para Dasypus novemcinctus y D. yepesi, y sin registros para Chaetophractus vellerosus) y Rodentia (con apenas un registro para Hydrochoeris hydrochaeris y sin registros para Myocastor coypus y las especies de Coendou). El comportamiento altamente asociado a ciertos microhábitats de estas especies (algunas de las cuales frecuentemente utilizan sendas y caminos, o están predominantemente adaptadas a los ambientes acuáticos o arborícolas) explica, al menos en parte, el poco éxito de captura de las mismas; e indica la necesidad de diseños de muestreos alternativos y orientados a estas especies en particular. El sector sur también merece mayor atención; en esta área el esfuerzo fue sensiblemente menor, y en consecuencia los patrones fueron más difíciles de caracterizar. La utilización de otros diseños de muestreo (trampas fotográficas duplicadas por estación, períodos de muestreos más largos en una misma área, etc.) permitirán también estudiar con mejor detalle aquellos factores (clima, actividad de predadores y presas, disturbios, etc.) que probablemente influencien estos patrones de actividad.
https://www.sarem.org.ar/wp-content/uploads/2016/09/SAREM_MastNeotrop_23-2_Albanesi-sup1.pdf
Fig. 1. Mapa de localización de las áreas en donde se llevaron a cabo los relevamientos en el pedemonte de las Yungas del NOA, Argentina.
https://www.sarem.org.ar/wp-content/uploads/2016/09/SAREM_MastNeotrop_23-2_Albanesi-sup2.docx
Tabla 1: Resumen del esfuerzo de muestreo realizado.
Tabla 3: Proporción de registros nocturnos, crepusculares y diurnos para las especies de mamíferos de mediano y gran porte.
Este trabajo no hubiera sido posible sin la ayuda de M. Di Bitteti, P. Fierro, A. Cazón, B. Cáceres, E. Cuyckens, B. Ve- lasquez, M. Lepez, N. Politi y J. Baechli, quienes colaboraron activamente en las tareas de campo. La mayor parte de los relevamientos fue solventada con fondos aportados por Pan American Energy (PAE), Ledesma SAAI, el Ingenio La Providencia (Arcor), y la Dirección de Bosques de la Nación (Ley Nº 26.331 de Presupuestos Mínimos de Protección Ambiental de los Bosques Nativos). Agradecemos la colaboración de Karina Buzza del SIGA ProYungas, quien confeccionó el mapa de los relevamientos. Enrique Lessa y un revisor anónimo, significativamente mejoraron la versión original de este manuscrito. Este trabajo fue realizado con el apoyo institucional de la Fundación ProYungas (FPY), el Laboratorio de Investigaciones Ecológicas de las Yungas del Instituto de Ecología Regional (LIEY-IER) y el Consejo Nacional de Investigaciones Científicas y Tecnológicas (CONICET).
sebastianalbanesi@gmail.com













