Artículo
ANÁLISIS MORFOGEOMÉTRICO DE LAS ESPECIES PERUANAS DE Carollia (CHIROPTERA: PHYLLOSTOMIDAE)
Geomorphometric analyses of the Peruvian species of Carollia (Chiroptera: Phyllostomidae)
ANÁLISIS MORFOGEOMÉTRICO DE LAS ESPECIES PERUANAS DE Carollia (CHIROPTERA: PHYLLOSTOMIDAE)
Mastozoología Neotropical, vol. 25, núm. 2, pp. 419-438, 2018
Sociedad Argentina para el Estudio de los Mamíferos
Recepción: 11 Abril 2017
Aprobación: 29 Diciembre 2017
Resumen: El género de murcielagos Carollia está representado por ocho especies, y a pesar de tener una amplia distribución y abundancia, el conocimiento que se tiene sobre su morfología y diferenciación es aún incipiente, reconociéndose una compleja variabilidad interespecífica e intraespecífica. El objetivo de este estudio fue analizar mediante morfometría geométrica la variación de la forma del cráneo y hemimandíbula de Carollia y probar, con las especies de Perú, si los principales clados recuperados por Velazco (2013) son también recuperados morfológicamente. Para ello, analizamos 826 especímenes empleando métodos morfogeométricos sobre tres vistas craneales y una hemimandibular. La superposición se realizó mediante el Análisis Generalizado de Procrustes, y la variación interespecífica y de grupos morfológicos se probó mediante análisis estadísticos. Nuestros resultados encuentran una extensa superposición morfoespacial entre las especies, pero aun así las diferencias son estadísticamente soportadas. También encontramos que la vista ventral del cráneo fue la más importante para la discriminación de las especies y que los morfoespacios de las variables canónicas recuperan dos grupos morfológicos congruentes con los principales clados del género (C. brevicauda-C. manu-C. perspicillata versus C. benkeithi-Carollia sp.). Carollia manu se muestra intermedia entre C. perspicillata y C. brevicauda, mientras que C. benkeithi y Carollia sp. se superponen ampliamente en los morfoespacios analizados. Coincidimos con otros autores en que el tamaño es la principal variable que permite discriminar a las especies.
Palabras clave: diferenciación, grupos, manu, morfoespacios, variación.
Abstract: The genus Carollia comprises eight species, and in spite of their wide distribution and abundance, the knowledge about their morphology and differentiation is still incipient, and several studies have revealed complex intra- and interspecific morphological variation. The objective of this study was to analyze the skull and hemimandible variation of the species of Carollia using a morphogeometric approach and to test, in the Peruvian species, if the main reported clades recovered by Velazco (2013) are distinguished morphologically. We analyzed 826 specimens using geometric morphometric approaches on three cranial and one hemimandibular views. The overlapping was performed using Generalized Procrustes Analysis and interspecific variation and morphological groups were tested by statistical analyses. Our results found a wide overlap among the species, but the differences are statistically supported. We found that the ventral view of the skull was the most important view to discriminate between species and that the canonical discriminant analysis recovered two statistically supported morphological groups, congruent with the main clades of the genus (C. brevicauda-C. manu-C. perspicillata versus C. benkeithi-Carollia sp.). Carollia manu is morphologically intermediate between C. perspicillata and C. brevicauda, whereas C. benkeithi and Carollia sp. are almost completely overlapped in the analyzed morphospace. We agree with other authors in that size is the main variable that allows to discriminate species.
Keywords: differentiation, groups, manu, morphospaces, variation.
INTRODUCCIÓN
Los murciélagos del género Carollia Gray 1838 son uno de los mamíferos más comunes del Neotrópico, con una distribución geográfica amplia que va desde el centro de México hasta el sur de Brasil y un rango altitudinal que va desde el nivel del mar hasta los 2500 m aproximadamente. Se les puede encontrar en diferentes tipos de hábitat, excepto en regiones muy áridas o frías (Pine 1972; McLellan 1984; McLellan & Koopman 2008). Son considerados elementos clave en la dinámica y regeneración de los bosques, principalmente en áreas perturbadas, ya que debido a su dieta dispersan una gran variedad de semillas de plantas pioneras (Fleming & Sosa 1994; Lim & Engstrom 1998; Giannini & Kalko 2004; Thies & Kalko 2004). Actualmente se reconocen ocho especies: Carollia benkeithiSolari & Baker 2006; C. brevicauda (Schinz 1821); C. castaneaAllen 1890; C. manuPacheco, Solari & Velazco 2004; C. monohernandezi Muñoz, Cuartas & Gonzales 2004; C. perspicillata (Linnaeus 1758); C. sowelli Baker, Solari & Hoffmann 2002 y C. subrufa (Hahn 1905).
Diversos estudios moleculares sugieren que se pueden diferenciar dos clados principales, uno conformado por las especies del complejo C. castanea, el cual incluye a C. benkeithi, C. castanea sensu stricto y dos especies candidatas (Hoffmann & Baker 2003; Solari & Baker 2006; Velazco 2013), y el otro clado conformado por el resto de las especies (C. brevicauda, C. manu, C. perspicillata, C. sowelli y C. subrufa), excepto Carollia monohernandezi, la cual aún no ha sido incluida en ningún estudio filogenético (Velazco 2013). Especies de ambos clados co-ocurren en la mayor parte de su distribución.
Carollia castanea sensu lato fue considerada durante muchos años como monotípica y la más diferenciable morfológicamente entre sus congéneres (Allen 1890; Hahn 1907; Pine 1972). Sin embargo, distintos estudios cariotípicos, morfológicos y moleculares demostraron que C. castanea era un complejo de especies que en conjunto conforman un linaje diferente al de las demás especies de Carollia (Baker & Bleier 1971; Patton & Gardner 1971; Stock 1975; McLellan 1984; Hoffmann & Baker 2003; Solari & Baker 2006). En base a estos antecedentes y análisis moleculares, Solari & Baker (2006) restringieron el epíteto “castanea” a las poblaciones distribuidas desde Honduras hasta el occidente de Ecuador, nombraron como C. benkeithi a las poblaciones que ocurren al sur del río Amazonas y sugirieron que las poblaciones asignadas a C. castanea del nororiente del Perú y oriente de Ecuador correspondían a una especie candidata (Carollia sp.). Sin embargo, no dieron mayor detalle sobre esta y sus diferencias morfológicas respecto a C. benkeithi.
Las especies incluidas en el segundo clado son morfológicamente complejas; aunque los estudios de Pine (1972) y McLellan (1984) permitieron comprender mejor la amplia variación interespecífica, aún existe mucha ambigüedad sobre la delimitación morfológica de algunas de las especies, a pesar de ser un género relativamente bien estudiado. Así por ejemplo, las especies recientemente descritas como C. sowelli y C. benkeithi fueron diferenciadas a partir de análisis moleculares, ya que anteriormente en estudios morfológicos eran incluidas en C. brevicauda y C. castanea respectivamente (Pine 1972; McLellan 1984), mientras que C. manu determinada inicialmente como Carollia sp. (3) por Pine (1972) fue incluida en C. brevicauda por McLellan (1984). Owen et al. (1984), York & Papes (2007), Zurc & Velazco (2010), Jarrín et al. (2010), Murillo-García (2014) y López-Aguirre et al. (2015) abordaron este problema de delimitación empleando morfometría en diferentes poblaciones y concluyeron que el tamaño es el principal factor de diferenciación a nivel interespecífico; sin embargo, se reconoce que existe superposición en los rangos mínimos y máximos, que la variación debida al sexo es poco significativa, y que C. castanea sensu lato es el más fácilmente reconocible.
Pacheco et al. (2009) listaron cinco especies de Carollia para Perú: C. benkeithi, C. brevicauda, C. castanea (= Carollia sp.), C. manu y C. perspicillata. Aunque diversos estudios realizados en diferentes regiones sobre la morfología, morfogeometría y ecología de Carollia sugieren que las especies denominadas comúnmente grandes (C. perspicillata) y medianas (C. brevicauda) difieren en distintos patrones morfológicos y ecológicos de las especies pequeñas (C. castanea) con las cuales ocurren en simpatría (Fleming 1991; York & Papes 2007; York & Billings 2009; López-Aguirre et al. 2015), poco o nada de esto se conoce para las poblaciones peruanas, a pesar de ser el género más abundante y de mayor distribución en Perú. Ascorra et al. (1993) y Arias et al. (2016) resaltaron algunos aspectos ecológicos como abundancia y distribución en dos localidades amazónicas, mientras que Koopman (1978) observó que las poblaciones peruanas de C. brevicauda y C. perspicillata eran difícilmente diferenciables entre sí.
El objetivo de este trabajo fue explorar la variabilidad interespecífica de poblaciones peruanas de Carollia empleando métodos morfogeométricos. Además, evaluamos si las especies pequeñas del complejo C. castanea (longitud del antebrazo: 34-38 mm) como Carollia sp. (sensu Solari & Baker 2006) y C. benkeithi difieren de las especies medianas y grandes (longitud del antebrazo: 38-46 mm) C. brevicauda, C. manu y C. perspicillata.
MATERIALES Y MÉTODOS
Material analizado
Analizamos un total de 826 especímenes de Carollia, entre hembras y machos adultos de las cinco especies peruanas: C. benkeithi (n = 122), C. brevicauda (n = 300), C. manu (n = 19), C. perspicillata (n = 366) y Carollia sp. (n = 19); procedentes de 13 departamentos de Perú (Fig. 1). Los especímenes analizados se listan en el Apéndice 1 y se encuentran depositados en las siguientes colecciones científicas: Museo de Historia Natural de la Universidad Nacional de San Agustín (MUSA), Museo de Historia Natural de la Universidad Nacional Mayor de San Marcos (MUSM) y Centro de Ornitología y Biodiversidad (CORBIDI). Carollia sp. en este estudio corresponde a las poblaciones del taxón anteriormente llamado C. castanea (Pacheco et al. 2009) con distribución al oriente de los Andes y al norte del río Amazonas en Perú (Solari & Baker 2006).
Para determinar la edad seguimos a Brunet-Rossinni & Wilkinson (2009), quienes se basan principalmente en el desarrollo de la dentadura y el grado de fusión de la epífisis de los huesos.

Obtención de imágenes
Empleamos una cámara digital Canon EOS Rebel SL1 en opción macro colocada sobre un trípode para obtener imágenes fotográficas en formato jpg del cráneo en vistas dorsal, ventral y lateral izquierda y de la hemimandíbula izquierda en vista labial. Luego, generamos un archivo TPS con el programa tpsUtil 1.58 (Rohlf 2013a).
Digitalización de landmarks
Empleamos landmarks 2D de tipo I, tipo II y tipo III (Bookstein 1990). En el cráneo colocamos nueve landmarks sobre la vista dorsal en el lado izquierdo (Fig. 2A), 12 sobre la ventral (Fig. 2B) y 13 sobre la lateral izquierda (Fig. 2C). En la vista labial de la hemimandíbula izquierda colocamos 11 landmarks (Fig. 2D). La ubicación de los landmarks se encuentra detallada en el Apéndice 2. La digitalización de los landmarks se realizó con el programa tpsDig 2.17 (Rohlf 2013b).

Variables de la forma
Obtuvimos una matriz de coordenadas (x, y) para cada una de las vistas, luego las alineamos independientemente mediante un Análisis Generalizado de Procrustes (AGP). Este método permite eliminar efectos de tamaño, escala y posición, siguiendo el criterio de mínimos cuadrados (Rohlf & Slice 1990). Las coordenadas obtenidas del AGP de cada una de las vistas fueron las de procrustes (Xn, Yn) las cuales se utilizaron en los análisis de la forma. El tamaño del centroide también se obtuvo a partir del AGP. Los análisis fueron realizados en R 3.2 (R Core Team 2015) con el paquete Geomorph (Adams & Otarola-Castillo 2013; Adams et al. 2015).
Análisis de datos
Para probar si existen diferencias significativas en el morfoespacio de las especies analizadas del género Carollia, realizamos Análisis Multivariado de Varianza (MANOVA) entre las especies y entre los grupos, y como prueba de contraste se empleó la Traza de Pillai. El tamaño del centroide se analizó a través de Análisis de Varianza (ANOVA). Los grupos morfológicos se establecieron de acuerdo con los clados recuperados en la filogenia (Velazco 2013), donde el “Grupo 1” incluyó a C. brevicauda, C. manu y C. perspicillata y el “Grupo 2” incluyó a Carollia benkeithi y Carollia sp. Estos análisis fueron realizados en R 3.2 (R Core Team 2015). El nivel de significancia fue de p < 0.05.
Posteriormente, realizamos un Análisis de Componentes Principales (ACP) sobre las variables de la forma para explorar los principales ejes de variación morfológica y observar las tendencias de variación entre y dentro de las muestras y reducir la dimensionalidad de los datos. Luego, realizamos un Análisis de Variables Canónicas (AVC) sobre estos mismos datos, este procedimiento maximiza la diferencia entre los centroides de los grupos relativo a la varianza dentro de los grupos (Albrecht 1980). Finalmente, determinamos las distancias entre los centroides de los datos de las especies recuperados en el AVC mediante las distancias cuadradas de Mahalanobis. Estos análisis fueron realizados en R v.3.2 y los gráficos en el programa PAST 3.14 (Hammer et al. 2001).
RESULTADOS
Se analizaron 826 imágenes tanto para las vistas dorsal y lateral del cráneo como para la vista labial de la hemimandíbula, que incluyó 122 especímenes de C. benkeithi, 300 de C. brevicauda, 19 de C. manu, 366 de C. perspicillata y 19 de Carollia sp., y 814 de la vista ventral del cráneo que incluyó 116 especímenes de C. benkeithi, 299 de C. brevicauda, 19 de C. manu, 361 de C. perspicillata y 19 de Carollia sp.
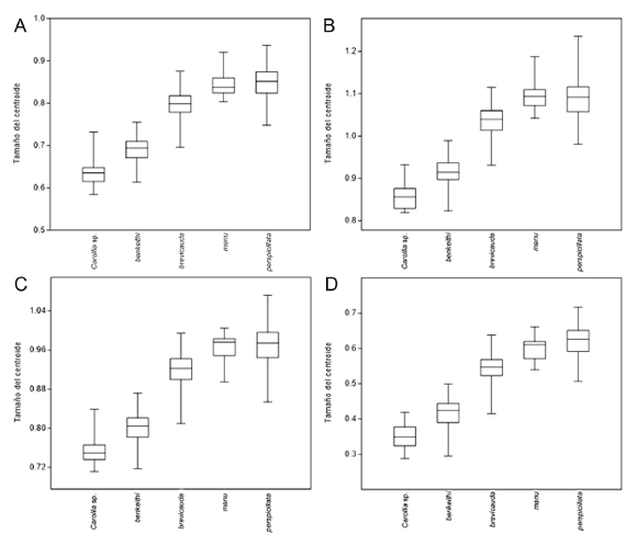
Las comparaciones entre pares de especies mostraron diferencias en la forma y en el tamaño del centroide en todas las vistas (Tablas 1 y 2), excepto en la forma del cráneo en vista dorsal entre Carollia benkeithi y Carollia sp. (Fdorsal = 0.91, Pillai = 0.13, p > 0.05) y en el tamaño del centroide del cráneo y hemimandíbula entre C. perspicillata y C. manu (p > 0.05; Fdorsal = 0.54, Fventral = 0.70, Flateral = 0.56, Fmandibular = 5.21). Con respecto a la comparación entre grupos de especies, los resultados sugieren que son estadísticamente significativos (p < 0.05) en la forma (Fdorsal = 82.22, Pillai = 1.43; Fventral = 172.93, Pillai = 0.80; Flateral = 45.65, Pillai = 1.56; Fmandibular = 105.05, Pillai = 0.73) y tamaño del centroide (Fdorsal = 627.41, Fventral = 1174.15, Flateral = 607.24, Fmandibular = 1163.79) (Tablas 1 y 2). Los valores altos de F indican que la variación interespecífica es mayor a la variación intraespecífica. Las distribuciones de los tamaños de centroide de las cuatro vistas estudiadas mostraron a Carollia sp. y C. benkeithi como las más pequeñas, mientras que a C. perspicillata y C. manu como las más grandes, y a C. brevicauda como la especie de tamaño intermedio (Fig. 3).



Los resultados del ACP de los tres primeros componentes de la vista dorsal del cráneo explicaron el 60.33% de la varianza total, donde el primer componente (CP1) explicó el 29.45% de la varianza y estuvo influenciado principalmente por desplazamiento vertical de los landmarks asociados al ápice del proceso cigomático del maxilar (Y4), al proceso postorbital (Y5) y al borde posterior de proceso cigomático escamosal (Y6). El segundo componente (CP2) explicó el 19.29% de la varianza y estuvo influenciado principalmente por el desplazamiento vertical de los landmarks asociados al ápice del proceso cigomático del maxilar (Y4) y al margen externo de la sutura lambdoidea (Y7) y por el desplazamiento horizontal del landmark asociado al inión (X8). El tercer componente (CP3) explicó el 11.59% de la varianza y estuvo influenciado principalmente por desplazamiento vertical de los landmarks asociados al desplazamiento vertical de los landmarks asociados al borde externo de la sutura maxilo-lacrimal (Y3), al ápice del proceso cigomático del maxilar (Y4) y al proceso postorbital (Y5) (Fig. 4A, Tabla 3).


En la vista ventral del cráneo los tres primeros componentes representaron el 53.60% de la varianza total, donde el primer componente (CP1) explicó el 29.16% de la varianza y estuvo influenciado principalmente por el desplazamiento vertical de los landmarks asociados al margen anterior entre los incisivos (Y1), al margen posterior del foramen magnum (Y9) y al borde anterior del septum del basioccipital (Y11). El segundo componente (CP2) explicó el 14.40% de la varianza y estuvo influenciado principalmente por el desplazamiento vertical de los landmarks asociados al metastilo del tercer molar (Y4) y al margen anterior del esfenoides (Y12) y por el desplazamiento horizontal del borde de la extensión anterior del tubérculo articular del temporal (X6), mientras que el tercer componente (CP3) explicó el 10.05% y estuvo influenciado principalmente por el desplazamiento vertical de los landmarks asociados al margen posterior del foramen magnum (Y9) y al margen anterior del esfenoides (Y12) y por el desplazamiento horizontal del landmark asociado al borde de la extensión anterior del tubérculo articular del temporal (X6) (Fig. 4B, Tabla 3).
En la vista lateral del cráneo los tres primeros componentes explicaron el 55.35% de la varianza total, donde el primer componente (CP1) representó el 22.72% de la varianza y estuvo influenciado principalmente por el desplazamiento horizontal de los landmarks asociados al ápice del escamoso (X8) y al inión (X11) y por el desplazamiento vertical del landmark asociado al borde superior de la caja craneal (Y13), mientras que el segundo componente (CP2) explicó el 18.30% de la varianza y estuvo influenciado principalmente por el desplazamiento horizontal de los landmarks asociados al ápice del proceso cigomático maxilar (X6), al ápice del escamoso (X8) y al margen anterior de la sutura internasal (X12). El tercer componente (CP3) explicó el 14.33% de la varianza y estuvo influenciado principalmente por el desplazamiento horizontal y vertical del landmark asociado al ápice del escamoso (X8, Y8) y por el desplazamiento vertical del landmark asociado al inión Y11 (Fig. 4C, Tabla 3).
En la vista de la hemimandíbula los tres primeros componentes explicaron el 49.19% de la varianza total, donde el primer componente (CP1) representó el 19.56% de la varianza y estuvo influenciado principalmente por el desplazamiento vertical del landmark asociado al borde anterior del alveolo del primer incisivo (Y1) y por el desplazamiento horizontal y vertical del landmark asociado al ápice del proceso coronoides (X5, Y5), mientras que el segundo componente (CP2) explicó el 16.26% de la varianza y estuvo influenciado principalmente por el desplazamiento horizontal de los landmarks asociados al ápice del proceso coronoides (X5), al punto de mayor inflexión de la base del proceso angular (X9) y al punto perpendicular al landmark 4 en el margen ventral de la mandíbula (X10). El tercer componente (CP3) explicó el 13.37% de la varianza y estuvo influenciado principalmente por el desplazamiento horizontal y vertical del landmark asociado al ápice del proceso coronoides (X5, Y5) y por el desplazamiento vertical del landmark asociado al ápice del proceso angular Y8 (Fig. 4D, Tabla 3).
La distribución de los datos de la forma del cráneo en vista dorsal y ventral a lo largo del CP1 sugirió el reconocimiento de dos grupos ligeramente definidos, uno de mayor tamaño conformado por C. brevicauda, C. manu y C. perspicillata y el otro de menor tamaño, conformado por C. benkeithi y Carollia sp. El CP2 no mostró agrupaciones claramente definidas en ninguno de los análisis.
Los resultados del AVC de la vista dorsal del cráneo sugirieron que el 91.99% de la varianza total fue explicado por las dos primeras variables canónicas, donde la primera variable canónica (VC1) representó el 76.28% de la varianza y estuvo influenciado principalmente por el desplazamiento vertical de los landmarks asociados al borde anterior entre la premaxila y la maxila (Y2) y al borde posterior de proceso cigomático escamosal (Y6), y por el desplazamiento horizontal del landmark asociado al inión (X8). La segunda variable canónica (VC2) representó el 15.71% y estuvo influenciado principalmente por el desplazamiento horizontal y vertical del landmark asociados al borde anterior entre la premaxila y la maxila (X2, Y2) y por el desplazamiento horizontal del landmark asociado al ápice del proceso cigomático del maxilar (X4) (Fig. 5A, Tabla 4). El 83.54% de los especímenes fueron correctamente clasificados en función a las variables canónicas, donde C. perspicillata fue el más distintivo con 88.25% de especímenes correctamente clasificados, seguido por C. brevicauda (84.33%), C. manu (78.95%), Carollia sp. (73.68%) y C. benkeithi (69.67%).


En la vista ventral del cráneo las dos primeras variables canónicas explicaron el 84.54% de la varianza total, la primera variable canónica (VC1) representó el 65.47% de la varianza y estuvo influenciado principalmente por el desplazamiento horizontal y vertical del landmak asociado al borde anterolateral del vómer (X3, Y3) y por el desplazamiento horizontal de la sutura occipitomastoidea (X8), mientras que la segunda variable canónica representó el 19.07% de la varianza y estuvo influenciado principalmente por el desplazamiento vertical de los landmarks asociados al punto entre el canino y el primer premolar (Y2) y al metastilo del tercer molar (Y4) y por el desplazamiento horizontal del landmark asociado al borde anterolateral del vómer (X3) (Fig. 5B, Tabla 4). El 92.63% de los especímenes fueron correctamente clasificados en función a las variables canónicas, donde C. perspicillata fue el más distintivo con 93.35% de especímenes correctamente clasificados, seguido por C. brevicauda (90.97%), C. benkeithi (87.07%), C. manu (84.21%) y Carollia sp. (84.21%).
En la vista lateral del cráneo las dos primeras variables canónicas explicaron el 95.97%, la primera variable canónica (VC1) representó el 68.77% y estuvo influenciado principalmente por el desplazamiento vertical de los landmarks asociados al punto entre el primer y segundo premolar (Y3) y al foramen infraorbital (Y7) y por el desplazamiento horizontal del landmark asociado al punto entre el segundo premolar y primer molar superior (X4). La segunda variable canónica (VC2) representó el 27.20% de la varianza y estuvo influenciado principalmente por el desplazamiento horizontal de los landmarks asociados al punto entre el canino y el primer premolar superior (X2) y a la parte final de la hilera dental superior (X5) y por el desplazamiento vertical del landmark entre el segundo premolar y primer molar superior (Y4) (Fig. 5C, Tabla 4). El 85.87% de los especímenes fueron correctamente clasificados en función a las variables canónicas, donde C. perspicillata fue el más distintivo con 88.25% de especímenes correctamente clasificados, seguido por C. brevicauda (87.33%), C. manu (84.21%), C. benkeithi (79.51%) y Carollia sp. (79.51%).
En la vista labial de la hemimandíbula, las dos primeras variables canónicas explicaron el 88.52% de la varianza total, donde la primera variable canónica (VC1) explicó el 69.75% y estuvo influenciado principalmente por el desplazamiento vertical de los landmarks asociados al borde anterior del alveolo del primer incisivo (Y1), al borde posterior del alveolo del segundo premolar (Y3) y al ápice del proceso coronoides (Y5), mientras que la segunda variable canónica (VC2) representó el 18.77% y estuvo influenciada principalmente por el desplazamiento horizontal de los landmarks asociados al borde posterior del alveolo del segundo premolar (X3), al borde posterior del alveolo del tercer molar (X4) y al ápice del cóndilo mandibular (X7) (Fig. 5D, Tabla 4). El 85.75% de los especímenes fueron correctamente clasificados en función a las variables canónicas, donde Carollia sp. fue la más distintiva con 94.74% de especímenes correctamente clasificados, seguida por C. manu (89.47%), C. benkeithi (88.52%), C. perspicillata (87.70%) y C. brevicauda (82.00%).
La distribución de los datos respecto a las dos primeras variables canónicas de las cuatro vistas estudiadas sugirió el reconocimiento de dos grupos morfológicos (Fig. 4), donde el eje de la VC1 de todas las vistas mostró a Carollia manu como intermedia entre C. brevicauda y C. perspicillata, mientras que Carollia sp. se mostró incluida casi completamente en el morfoespacio de C. benkeithi. Las distancias Mahalanobis entre los centroides de los grupos a partir del AVC fueron soportados estadísticamente (p < 0.05) y mostraron que la distancia entre C. benkeithi y Carollia sp. fue la menor en las cuatro vistas analizadas, mientras que la distancia entre C. benkeithi y C. perspicillata fue la mayor en la vista dorsal, la distancia entre Carollia sp. y C. perspicillata fue la mayor en las vistas ventral y lateral, mientras que la mayor distancia en vista labial de la hemimandíbula se dio entre C. benkeithi y C. manu (Tabla 5).

DISCUSION
Complejidad morfológica de las especies de Carollia
Nuestro estudio demostró que las diferencias entre las especies peruanas de Carollia son soportadas estadísticamente; sin embargo, también mostró la complejidad morfológica interespecífica ya advertida previamente por Pine (1972) y McLellan (1984) para este género. Entre estas, Carollia benkeithi y Carollia sp., incluidas por estos autores en C. castanea, fueron morfológicamente más diferenciables del resto de especies que entre sí.
La varianza explicada por los componentes principales para las tres vistas (menos del 60% del total) estuvo relacionada principalmente al ensanchamiento de la caja craneal, acortamiento del hocico, alargamiento del proceso cigomático del maxilar, engrosamiento de la mandíbula y alargamiento del proceso coronoides. Estos resultados son comparables con lo reportado por McLellan (1984) quien encontró que la varianza interespecífica estaba explicada por la longitud basilar, la longitud de la hilera maxilar, la longitud rostral ventral, la distancia coronoides-angular, la longitud mandibular y la altura del coronoides. Por otro lado, ambas metodologías, tanto lineal como morfométrica, coinciden en que las variaciones interespecíficas están relacionadas principalmente al tamaño, siendo congruentes además, con otros estudios (York & Papes 2007; Jarrín-V. et al. 2010). Además, se evidencia que la forma del cráneo tiende a hacerse más estrecha a medida que el tamaño incrementa, coincidiendo así con York & Papes (2007) y Jarrín-V et al. (2010).
En base a los análisis discriminantes, la vista lateral del cráneo fue la que explicó la mayor varianza (95.97%), seguida por las vistas dorsal (91.99%), ventral (84.54%) y la vista labial de la hemimandíbula (88.52%); sin embargo, las variables canónicas de la vista ventral del cráneo clasificaron correctamente a más especímenes (92.63%) que las variables canónicas de las vistas lateral (85.87%) y dorsal (83.54%) del cráneo y vista labial de la hemimandíbula (85.75%). Además, Carollia perspicillata se presentó como la más diferenciable a nivel craneal, mientras que a nivel hemimandibular lo fue Carollia sp. Estos análisis también sugieren que los landmarks que más tienen influencia sobre las variables discriminantes son la orientación y posición del proceso cigomático del maxilar (Lm4 de la vista dorsal y Lm6 de la lateral), la curvatura del maxilar a nivel del primer y segundo premolar superior (Lm3 de la vista lateral), la posición del cíngulo posterior del segundo premolar (Lm3 de la vista ventral), las longitudes de las hileras dentales superiores (Lm2, Lm3 y Lm4 de la vista ventral) e inferiores (Lm1, Lm3 y Lm4 de la vista mandibular) y la altura del proceso coronoides (Lm5 de la vista mandibular) y pueden usarse como caracteres en la discriminación de las especies de Carollia estudiadas. Previamente, estos caracteres fueron sugeridos en otros estudios (Pine 1972; McLellan 1984), excepto la posición del cíngulo posterior del segundo premolar y la orientación y posición del proceso cigomático del maxilar.
Las especies pequeñas de Carollia
Nuestro estudio compara por primera vez a C. benkeithi y Carollia sp. encontrando diferencias estadísticas significativas en cuanto a la forma del cráneo (en vistas ventral y lateral) y hemimandíbula (Tablas 1 y 2), hallándolas indistinguibles en los morfoespacios de los análisis multivariados. En cuanto al tamaño del centroide, nuestros resultados sugieren que C. benkeithi es más pequeña que Carollia sp. (Fig. 3).
Previamente, Jarrín-V et al. (2010), Jarrín-V & Menendez-Guerrero (2011) y López-Aguirre et al. (2015) encontraron, tanto en poblaciones ecuatorianas como colombianas, que C. castanea era morfogeométricamente diferente de C. brevicauda y C. perspicillata. Sin embargo, estos autores analizaron a C. castanea sensu stricto y Carollia sp. bajo el nombre de C. castanea y sus resultados fueron contradictorios. Jarrín-V & Menendez-Guerrero (2011) encontraron que las poblaciones de C. castanea del occidente y del oriente (Carollia sp.) de los Andes en Ecuador eran diferenciables; sin embargo, López-Aguirre et al. (2015) refutaron esta afirmación para las poblaciones colombianas.
Los límites entre las especies del complejo C. castanea aún son ambiguos. Si bien Solari & Baker (2006) describieron a C. benkeithi y la diferenciaron de C. castanea sensu stricto sugiriendo que esta es más pequeña que C. castanea en algunas variables craneales, no la delimitaron morfológicamente respecto de las poblaciones distribuidas al norte del río Amazonas y al oriente de los Andes, las cuales fueron consideradas como una especie candidata (Carollia sp.). De ser este el caso, en base a nuestros resultados Carollia sp. también sería más pequeña que C. castanea sensu stricto. No obstante, es necesaria una revisión a nivel morfológico que detalle más diferencias entre las especies que conforman este grupo que las dadas por Solari & Baker (2006).
Carollia manu como forma intermedia
Nuestro estudio incluye por primera vez a C. manu en un análisis morfogeométrico y los resultados sugieren que es intermedia entre C. brevicauda y C. perspicillata en la forma del cráneo y hemimandíbula. Pacheco et al. (2004) mencionaron que esta era la más grande entre sus congéneres y más similar a C. brevicauda que a C. perspicillata. No obstante, en nuestro estudio C. manu es diferente de C. brevicauda y comparada con C. perspicillata las diferencias son poco significativas (Tablas 1 y 2). Contrariamente, en cuanto a caracteres morfológicos discretos, C. manu es notablemente diferente a ambas especies (Pacheco et al. 2004).
Grupos morfológicos
Nuestro estudio demuestra que las especies peruanas de Carollia están representadas por dos grupos morfológicos soportados estadísticamente y recuperados en los morfoespacios de AVC: el Grupo 1 que incluyó a las especies medianas y grandes (C. brevicauda, C. manu y C. perspicillata) y el Grupo 2 a las pequeñas (C. benkeithi y Carollia sp.) que a su vez corresponden al complejo de C. castanea.
Nuestros resultados muestran también que las relaciones fenéticas observadas en los AVC presentan un patrón comparable con las relaciones filogenéticas al soportar estadísticamente estos dos grupos (Solari & Baker 2006; Velazco 2013), además de ser congruentes con otros estudios morfológicos (Pine 1972), morfométricos (McLellan 1984; Zurc & Velazco 2010) y morfogeométricos (Jarrín-V et al. 2010; López-Aguirre et al. 2015). También los resultados sugieren que las especies del complejo C. castanea acumularon más cambios y siguieron una vía evolutiva diferente al resto de especies, viéndose evidenciado en las diferencias que presentan respecto al resto de especies. No obstante, si bien ambos grupos son diferenciables estadísticamente y en el morfoespacio de los AVC, la variación interna de cada grupo es amplia, notándose en la superposición de los datos de las especies que los conforman. La divergencia de ambos grupos a nivel filogenético durante el Pleistoceno, en cuanto a citocromo b, da cuenta de que las especies de este género son recientes (Hoffmann & Baker 2003). Debido a esto, la poca diferenciación encontrada en este estudio entre las especies de ambos grupos fue un patrón esperado.
Distintos estudios ecológicos suelen considerar grupos por tamaño corporal, craneal o de antebrazo, donde la especie pequeña frecuentemente es C. castanea, las medianas son C. brevicauda, C. sowelli y C. subrufa y la grande es C. perspicillata (Fleming 1991; York & Papes 2007; York & Billings 2009). Al igual que Jarrín-V et al. (2010) nosotros encontramos que en base al tamaño del cráneo estas especies podrían separarse en dos grupos soportados estadísticamente, donde las especies medianas y grandes (Grupo 1) presentan mandíbulas con procesos coronoides más altos, hocico más anchos y caja craneal poco hinchada siendo además menos especialistas, mientras que las especies pequeñas (Grupo 2) corresponden a los más especialistas, especies con mandíbulas más bajas y delgadas, hocico ligeramente estrecho y caja craneal más hinchada (Giannini & Kalko 2004; York & Papes 2007; York & Billings 2009).
Por otro lado, la introducción de elementos únicos o preferencias en la dieta, como el mayor consumo de Piper en C. castanea comparado con C. brevicauda o C. perspicillata, la segregación temporal y espacial, y la diferenciación de los patrones morfológicos probablemente hayan reducido la competencia entre ambos grupos, ya que se encuentran ampliamente distribuidos y en simpatría en los bosques de Centro América y Sudamérica (MacArthur & Levins 1967; Fleming 1991; Kraker 2008; Lopez & Vaughan 2007). Además, las especies del complejo C. castanea o Grupo 2 no han sido halladas en simpatría, a diferencia de algunas especies del Grupo 1 que son más generalistas, como C. brevicauda y C. perspicillata que co-habitan en la mayor parte de su distribución (McLellan & Koopman 2008). Sin embargo, esto aún es muy ambiguo ya que no se tiene información de todas las especies, aunque Solari & Baker (2006) sugirieron para C. benkeithi patrones ecológicos similares a C. castanea, y probablemente Carollia sp. tenga también patrones similares a esta.
Finalmente, la variación reportada en la forma y tamaño del cráneo y hemimandíbula de las especies y grupos morfológicos de Carollia son un medio para comprender mejor las vías de diferenciación morfológica y adaptación, las cuales se manifiestan como respuestas fenotípicas a diferentes roles funcionales y presiones selectivas, así como a distintos factores ambientales (Lauder 1981; Zelditch et al. 2004; Jarrin-V & Menendez-Guerrero 2011).
Agradecimientos
Agradecemos a H. Zeballos (Museo de Historia Natural de la Universidad Nacional de San Agustín), V. Pacheco (Museo de Historia Natural de la Universidad Nacional Mayor de San Marcos) y J. Barrio (Centro de Ornitología y Biodiversidad) por facilitarnos el acceso a las muestras analizadas. También agradecemos muy profundamente a V. Pacheco, N. Hurtado, E. Arias, N. P. Giannini y a J. Priotto por sus sugerencias y recomendaciones durante la redacción y edición de este manuscrito.
Referencias
Adams, D. C., & E. Otarola-Castillo. 2013. Geomorph: an R package for the collection and analysis of geometric morphometric shape data. Methods in Ecology and Evolution 4:393-399.
Adams, D. C., M. L. Collyer, & E. Sherratt. 2015. Geomorph: Software for geometric morphometric analyses. R package version 2.1.4. http://cran.r-project.org/web/ packages/geomorph/index.html.
Albrecht, G. 1980. Multivariate analysis and the study of form, with special reference to canonical variate analysis. American Zoologist 20:679-693.
Allen, H. 1890. Description of a new species of bat of the genus Carollia and remarks on Carollia brevicauda. Proceedings of the United States National Museum 13:291-298.
Arias, E., V. Pacheco, K. Cervantes, A. Aguilar, & J. Álvarez. 2016. Diversidad y composición de murciélagos en los bosques montanos del Santuario Nacional Pampa Hermosa, Junín, Perú. Revista Peruana de Biología 23:103-116.
Ascorra, C. F., D. L. Gorchov, & F. Cornejo. 1993. The bats from Jenaro Herrera, Loreto, Perú. Mammalia 57:533-552.
Baker, R. J., & W. J. Bleier. 1971. Karyotypes of bats of the subfamily Carolliinae (Mammalia: Phyllostomidae) and their evolutionary implications. Experientia 27:220-222.
Bookstein, F. L. 1990. Introduction to methods for landmark data. Proceedings of the Michigan Morphometrics Workshop (F. J. Rohlf & F. L. Bookstein, eds.). The University of Michigan Museum of Zoology, Michigan.
Brunet-Rossinni, A. K., & G. S. Wilkinson. 2009. Methods for age estimation and the study of senescence in bats. Ecological and behavioral methods for the study of bats (T. H. Kunz & S. Parsons, eds.). Johns Hopkins University Press, Maryland.
Fleming, T. H. 1991. The relationship between body size, diet, and habitat use in frugivorous bats, genus Carollia (Phyllostomidae). Journal of Mammalogy 72:493-501.
Fleming, T. H., & V. J. Sosa. 1994. Effects of nectarivorous and frugivorous mammals on the reproductive success of plants. Journal of Mammalogy 75:845-851.
Giannini, N., & E. K. V. Kalko. 2004. Trophic structure in a large assemblage of phyllostomid bats in Panama. Oikos 105:209-220.
Hahn, W. L. 1907. A review of the bats of genus Hemiderma. Proceedings of the United States National Museum 32:103-118.
Hammer, Ø., D. A. T. Harper, & P. D. Ryan. 2001. PAST: Paleontological statistics software package for education and data analysis. Paleontologia Electronica 4:9. http://palaeo-electronica.org/2001_1/past/issue1_01.htm.
Hoffmann, F. G., & R. J. Baker. 2003. Comparative phylogeography of short-tailed fruit bats (Carollia: Phyllostomidae). Molecular Ecology 12:3403-3414.
Jarrín-V, P., & P. A. Menendez-Guerrero. 2011. Environmental components and boundaries of morphological variation in the short-tailed fruit bat (Carollia spp.) in Ecuador. Acta Chiropterologica 13:319-340.
Jarrín-V, P., C. Flores, & J. Salcedo. 2010. Morphological variation in the short-tailed fruit bat (Carollia) in Ecuador, with comments on the practical and philosophical aspects of boundaries among species. Integrative Zoology 5:226-240.
Kraker, C. 2008. Comparación de nicho entre dos especies simpátricas de murciélagos del género Carollia (Mammalia: Chiroptera) en Guatemala. Tesis de licenciatura, Facultad de Biología, Universidad de San Carlos de Guatemala, Guatemala.
Koopman, K. F. 1978. Zoogeography of Peruvian bats with special emphasis on the role of the Andes. American Museum Novitates 2651:1-33.
Lauder, G. 1981. Form and function: structural analysis in evolutionary morphology. Paleobiology 7:430-442.
Lim, B. K., & M. D. Engstrom. 1998. Phylogeny of Neotropical short-tailed fruit bats, Carollia spp.: phylogenetic analysis of restriction site variation in mtDNA. Bat biology and conservation (T. H. Kunz, & P. A. Racey, eds.). Smithsonian Institution Press, Washington.
Lopez, J. E., & C. Vaughan. 2007. Food niche overlap among Neotropical frugivorous bats in Costa Rica. Revista de Biología Tropical 55:301-313.
López-Aguirre, C., J. Pérez-Torres, & L. A. B. Wilson. 2015. Cranial and mandibular shape variation in the genus Carollia (Mammalia: Chiroptera) from Colombia: Biogeographic patterns and morphological modularity. PeerJ 3:e1197.
MacArthur, R., & R. Levins. 1967. The limiting similarity, convergence and divergence of coexisting species. American Naturalist 101:377-385.
McLellan, L. J., & K. F. Koopman. 2008. Subfamily Carolliinae. Mammals of South America, vol. 1, marsupials, xenarthrans, shrews, and bats (A. L. Gardner, ed.). The University of Chicago Press, Chicago.
McLellan, L. J. 1984. A morphometric analysis of Carollia (Mammalia, Chiroptera). American Museum Novitates 2791:1-35.
Murillo-García, O. E. 2014. Murciélagos de cola corta (Carollia: Phyllostomidae) del Parque Nacional Natural Gorgona (Colombia) y sus implicaciones biogeográficas. Revista de Biología Tropical 62:435-445.
Owen, J. G., D. J. Schmidly, & W.B. Davis. 1984. A morphometric analysis of three species of Carollia (Chiroptera, Glossophaginae) from Middle America. Mammalia 48:85-93.
Pacheco, V., R. Cadenillas, E. Salas, C. Tello, & H. Zeballos. 2009. Diversidad y endemismo de los mamíferos del Perú. Revista Peruana de Biología 16:5-32.
Pacheco, V., S. Solari, & P. M. Velazco. 2004. A new species of Carollia (Chiroptera: Phyllostomidae) from the Andes of Peru and Bolivia. Occasional Papers, Museum of Texas Tech University 236:1-15.
Patton, J. L., & A. L. Gardner. 1971. Parallel evolution of multiple sex-chromosome systems in phyllostomatid bats, Carollia and Choeroniscus. Experientia 27:105-106.
Pine, R. 1972. The bats of the genus Carollia. Technical Monographs, Texas Agricultural Experiment Station, Texas A & M University 8:1-125.
R Core Team. 2015. R: A language and environment for statistical computing. r foundation for statistical computing, Vienna, Austria. URL https://www.r-project.org/.
Rohlf, J., & D. Slice. 1990. Extensions of the procrustes method for the optimal superimposition of landmarks. Systematic Zoology 39:40-59.
Rohlf, F. J. 2013a. TpsUtil, version 1.58. Department of Ecology and Evolution, State University of New York at Stony Brook, Nueva York.
Rohlf, F. J. 2013b. TpsDig, version 2.17. Department of Ecology and Evolution, State University of New York at Stony Brook, Nueva York.
Solari, S., & R. J. Baker. 2006. Mitochondrial DNA sequence, karyotypic and morphological variation in the Carollia castanea species complex (Chiroptera: Phyllostomidae) with description of a new species. Occasional Papers, The Museum of Texas Tech University 254:1-16.
Stock, A. D. 1975. Chromosome banding pattern homology and its phylogenetic implications in bat genera Carollia and Choeroniscus. Cytogenetics and Cell Genetics 14:34-41.
Thies, W., & E. K. V. Kalko. 2004. Phenology of Neotropical pepper plants and their association with their main dispersers, two short-tailed fruit-bats, Carollia perspicillata and C. castanea, Phyllostomidae. Oikos 104:362-376.
Velazco, P. M. 2013. On the phylogenetic position of Carollia manu Pacheco et al., 2004 (Chiroptera: Phyllostomidae: Carolliinae). Zootaxa 3718:267-276.
York, H., & M. Papes. 2007. Limiting similarity and species assemblages in the short-tailed fruit bats. Journal of Zoology 273:249-256.
York, H., & S. Billings. 2009. Stable-isotope analysis of diets of short-tailed fruit bats (Chiroptera: Phyllostomidae: Carollia). Journal of Mammalogy 90:1469-1477.
Zelditch, M. L., D. L. Swiderski, H. D. Sheets, & W. L. Fink. 2004. Geometric morphometrics for biologists: a primer. Elsevier Academic Press, New York.
Zurc, D., & P. M. Velazco. 2010. Análisis morfológico y morfométrico de Carollia colombiana Cuartas et al. 2001 y C. monohernandezi Muñoz et al. 2004 (Phyllostomidae: Carollinae) en Colombia. Chiroptera Neotropical 16:549-567.
APÉNDICE 1
Especímenes revisados y mapeados en este estudio (Fig. 1).
Carollia benkeithi (n=122): PERÚ: CUSCO: Paucartambo, Consuelo, 15.9 km SW Pilcopata, 1♂ (MUSM 19648); La Convención, Camisea, Pagoreni, 1♀ (MUSM 13573), Camisea, Pagoreni A, 2♀ 1♂ (MUSA 8463, 8472, 8491), Camisea, Pagoreni B, 1♀ 2♂ (MUSA 8435, 8440, 8460), Cashiriari, Reserva Comunal Machiguenga, 1♀ 2♂ (MUSA 767, 769, 771), Reserva Comunal Machiguenga, 1♂ (MUSA 3150), Kiñancaroni, Río Ayeni, Reserva Comunal Machiguenga, 2♀ 3♂ (MUSA 2864, 2865, 2910, 2940, 2958), Nueva Convención, 2♀ (MUSA 9005, 9010), Pongo de Mainique, 2♀ 2♂ (MUSA 9228, 9240, 9241, 9405), Quebrada Etariato, Poyentimari, 1♀ 1♂ (MUSA 10865, 10866), Quebrada Toteroato, 1♂ (MUSA 6968), Río Manitiari. Reserva Comunal Machiguenga, 1♀ 1♂ (MUSA 3118, 3120), Toteroato, Santuario Nacional Megantoni, 1♀ 1♂ (MUSA 6967, 9026). HUÁNUCO: Huánuco: Quebrada Jaupar, 1♂ (MUSA 13748), Nueva América, 1♂ (MUSA 1784), Tres de Mayo, Parque Nacional Tingo María, 2♀ 2♂ (MUSA 3310, 3336, 3349, 3380), Pachitea: Agua Caliente, 1♀ (MUSA 6008); Puerto Inca: Estación Biológica Panguana, 1♂ (MUSM 24583). JUNÍN: Chanchamayo: La Génova, 1♀ (CORBIDI 345), Fundo Genova (UNALM), 3♂ (MUSA 8761, 8774, 8781). LORETO; Requena: Centro de Investigación Jenaro Herrera, 1♀ 2♂ (MUSM 852, 853, 5552). MADRE DE DIOS: Manu, Hacienda Amazonia, Río Alto Madre de Dios, frente a Atalaya, 1♂ (MUSM 8797), Parque Nacional Manu, Estación Biológica Pakitza, 2♀ 2♂ (MUSM 2016, 6840, 6841, 12312), Reserva Comunal Amarakaeri, 3♀ 3♂ (MUSA 11714, 11718, 11762, 11777, 11793, 11844); Rio Azul, 1♂ (MUSA 9041), Salvación, 1♀ 1♂ (MUSA 3186, 6793), Santa Cruz, 1♂ (MUSA 6730); Tambopata: Madama, 1♀ (MUSA 7841), Puesto de Control Malinowski, Reserva Nacional Tambopata, 1♀ 1♂ (MUSA 13267, 13278), Quebrada las Piedras, 1♀ 1♂ (MUSA 6794, 9045), Reserva Ecológica Taricaya, 1♀ (MUSA 10403), Quebrada Aucayacu, 1♀ (MUSA 6757), Quebrada Pavayacu, 1♂ (MUSA 6768), Quebrada Petróleo, 1♀ (MUSA 6783), Reserva Cusco Amazónico, 15 km NE Puerto Maldonado, 2♀ 1♂ (MUSM 6160-6162), Santuario Nacional Pampas del Heath, Refugio Juliaca, 1♂ (MUSM 11660); Río Serjali, 1♀ (MUSA 6756), Madre de Dios, 2♀ (MUSA 11027, 11028). PASCO: Parque Nacional Yanachaga Chemillen/Sector Huampal, 1♂ (CORBIDI 067), Oxapampa: Hacienda Roca-Lux, Lontananza, Río Mucñis, afluente del Río Iscosazin, 2♂ (MUSM 10219, 10220), Huancabamba, Comunidad Nativa Castillo, 1♀ 1♂ (MUSM 424, 492), Palmira, 1♂ (MUSM 10844), 24 de junio, Río Lorencillo, entre Constitución e Iscosazin, 3♂ (MUSA 11336-11338), San José de Santarián, 2♀ 1♂ (MUSA 10111, 10132, 10134). PUNO: Sandia: Putina Punco, 1♂ (MUSA 3657), Alto Azata, 1♀ 1♂ (MUSA 9600, 9609), Centro Azata, 1♀ 4♂ (MUSA 9616, 9623, 9653, 9654, 9655), Quebrada Tunquimayo, 1♀ (MUSA 11210). SAN MARTÍN: Huimbayoc, Miraflores, 1♀ 4♂ (MUSA 10771, 10772, 10773, 10775, 10797). UCAYALI: Atalaya: Parantari, 1♀ (MUSA 15713), Coronel Portillo: 28 de Julio, Río Abujao - Lote 138, 2♀ 1♂ (MUSA 12486, 12493, 12507), Neshuya, 2♀ 1♂ (MUSA 8208, 8213, 8214), Quebrada Runcuyo, 1♀ (MUSA 14190), Río Shesha - Lote 138, 1♂ (MUSA 12642), Sheshea, 3♂ (MUSA 15741-15743), Ucayali, campamento Lupunayco (afluente de Río Inaguaillo), 1♂ (MUSM 622), Ucayali, Río Sarayaquillo, campamento Piasaquero ca. Lagartuya, 1♀ (MUSM 623); Padre Abad, Padre Abad, Bosque Nacional Von Humboldt, 2♂ (MUSM 8602, 8608).
Carollia brevicauda (n=300). PERÚ: AMAZONAS: Bongará, Río Utcubamba, entre Churuja y Pedro Ruíz, 1♂ (MUSM 4852); Condorcanqui, Condorcanqui, Puesto de Vigilancia 22 (Falso Paquisha) Cordillera del Cóndor, 3♀ 5♂ (MUSM 309, 319, 331, 342, 352, 353, 364, 366), Quebrada Cucuasa, Cordillera del Cóndor (PNIM), 2♀ 7♂ (MUSA 8016, 8017, 8029, 8032, 8049, 8050, 8056, 8057, 8085); Luya, Río Utcubamba, 11 km N by road Pedro Ruíz, 1♂ (MUSM 4853). CAJAMARCA: Jaén, Quebrada el Páramo-Las juntas, 1♂ (MUSA 12185); San Ignacio, Chirinos, Nuevo Chalaquito, «El Chaupe», 3♀ (MUSM 12633-12635), Estación Biológica Chichilapa, 5♀ 1♂ (MUSA 12219,12267, 12275, 12970, 12975, 13005), Quebrada Agua de vino, Miraflores, S.N. Tabaconas Namballe, 1♀ 4♂ (MUSA 7573-7576, 7578), San Ignacio, El Sauce, 1♂ (MUSM 18216). CUSCO: Acomayo, Lacco, 1♂ (MUSA 3225); La Convención, Alfamayo, 1♀ 3♂ (MUSA 8944, 9197, 9199, 9208), Camisea, Pagoreni B, 1♀ 4♂ (MUSA 8420, 8427, 8431, 8437, 8454), Cashiriari, Reserva Comunal Machiguenga, 1♀ (MUSA 753), Kimbiri, Campamento Llactahuaman, 1♀ (MUSM 14525), Kiñancaroni, Río Ayeni, Reserva Comunal Machiguenga, 3♀ 3♂ (MUSA 2805, 2826, 2896, 2917, 2951, 2960), Kirajateni, Quillabamba, 3♀ 1♂ (MUSA 9111, 9179, 9180, 9882), La Calzada, Siete Tinajas, 1♂ (MUSA 9262), Nueva Convención, 6♀ 4♂ (MUSA 8978, 8979, 8986, 8996-8998, 9007, 9008, 9013, 9017), Pongo de Mainique, 6♀ 3♂ (MUSA 9229, 9235, 9236, 9238, 9239, 9248, 9252, 9403, 9404), Quebrada Toteroato, 1♀ 1♂ (MUSA 9215, 9221), Río Manitiari. Reserva Comunal Machiguenga, 2♂ (MUSA 3015, 3085), Santuario Nacional Megantoni, 5♂ (MUSA 11381, 11382, 11384, 11385, 11390), Santa Teresa, 1♀ 5♂ (MUSA 14435, 14436, 14439, 14447, 14448, 14456), Toteroato, Santuario Nacional Megantoni, 1♀ (MUSA 6969); Paucartambo, Alto Tono, Parque Nacional Manu, 1♀ (MUSA 10916), Consuelo, 15.9 km SW Pilcopata, 1♀ 1♂ (MUSM 19639, 19644), Estación Biológica Bosque Nublado, San Pedro, 1♂ (MUSM 11776), San Pedro, 1♂ (MUSM 19427), San Pedro, carretera Paucartambo-Pillcopata, km 154, 1♂ (MUSM 8793), San Pedro, Kosñipata, 4♀ 4♂ (MUSA 3727, 3730-3734, 3773, 3774); Quispicanchi, San Lorenzo, 1♂ (MUSA 6180); Urubamba, Central Hidroeléctrica Machu Picchu, 18♀ 4♂ (MUSA 5470, 5472-5474, 5476-5480, 5482-5485, 5487, 5488, 10000, 10001, 10003, 10005, 10006, 10016, 10017). HUÁNUCO: Huánuco: Puerto Guadalupe, 1♀ 2♂ (MUSA 13682, 13686, 13688), Quebrada Jaupar, 1♀ 1♂ (MUSA 13744, 13758), Santa Rita Alta, 2♀ (MUSA 13708, 13709), Nueva América, 3♂ (MUSA 1750, 1779, 1780), San Andrés, Parque Nacional Tingo María, 1♂ (MUSA 1692), Tres de Mayo, Parque Nacional Tingo María, 6♀ 2♂ (MUSA 3313, 3314, 3334, 3335, 3355, 3381, 3395, 3407); Huánuco, Caserío de San Pedro de Carpish, 1♀ (MUSM 18900), Pachitea: Agua Caliente, 1♀ 1♂ (MUSA 5973, 5974). JUNÍN: Chanchamayo, Centro Poblado Nueva Italia, 1♀ (MUSM 41311), Santuario Nacional Pampa Hermosa, Los Cedros, 2♀ 1♂ (MUSM 41157, 41312, 41313), Santuario Nacional Pampa Hermosa, Podocarpus, 2♀ 1♂ (MUSM 41166, 41167, 41316). LORETO: Acho Norte, 1♂ (MUSA 14101), Alto Amazonas: C.N. de Santa Martha, 1♀ (MUSA 14062), Comunidad Nativa Huáscar, 1♂ (MUSA 14112), Comunidad Nativa Nayumpin, 1♀ (MUSA 14103), Comunidad Nativa Wawajin, 1♀ 1♂ (MUSA 14105, 14106), Mariscal Ramón Castilla: San Pablo, 1♂ (MUSA 10466), Maynas: 25 km S de Iquitos, Estación Biológica Allpahuayo, 1♂ (MUSM 16467), Estación Biológica Quebrada Blanco 2, 1♀ (MUSM 21095), Puesto de Vigilancia Arcadia, Río Napo, 1♀ 1♂ (MUSM 21097, 21098), Bélgica km 62 carretera Iquitos-Nauta E del camino, 1♀ (MUSM 31304), Puesto de Vigilancia Castaña, Río Aguarico, 1♀ (MUSM 21099), Quebrada Agua Negra, 1♀ (MUSM 24418), Río Lagartococha, Campamento Catalino, 1♀ 2♂ (MUSM 21104, 21108, 21109); Requena: Centro de Investigación Jenaro Herrera, 1♀ 3♂ (MUSM 849-851, 5543), Maquia, 1♀ (MUSA 6022), Ucayali: Cashiboya, 1♀ (MUSA 6056), Santa Rosa, 1♀ 1♂ (MUSA 10470, 10499), Santa Rosa 2, 1♂ (MUSA 6037). MADRE DE DIOS: Manu, Parque Nacional Manu, Estación Biológica Pakitza, 1♀ 2♂ (MUSM 6844, 12279, 12292), Maskoitania, 13.4 NNW Atalaya, 1♀ (MUSM 19635); Cupodnoe, 1♂ 1♂ (MUSA 6817, 9919); Reserva Comunal Amarakaeri, 6♀ 2♂ (MUSA 11706, 11707, 11749, 11794, 11830, 11833, 11834, 11838), Río Azul, 1♀ (MUSA 6814), Rio Blanco, 1♀ 2♂ (MUSA 8916, 8919, 8920), Salvación, 2♀ 3♂ (MUSA 6804, 6805, 6812, 6813, 6816), Santa Cruz, 4♀ 4♂ (MUSA 6715, 6729, 6732, 6734, 6735, 6751, 6753, 6848), Rio Serjali, 4♀ 1♂ (MUSA 6810, 6811, 6828, 6830, 6834); Tambopata: Albergue Wasaí, Río Tambopata, 3♂ (MUSA 1677-1679), Camp. Chullachaqui, Lote 113, 1♂ (MUSA 5493), Las Palmas, 1♂ (MUSA 7821), Madama, 1♀ (MUSA 7840), Pampa Juliaca, Pampas del Heath, 1♀ 1♂ (MUSA 12848, 12850), Playa Alta, Tres islas, 1♀(MUSA 14428), Puesto de Control Malinowski, Reserva Nacional Tambopata, 1♂ (MUSA 13265), Quebrada Las Piedras, 2♀ 2♂ (MUSA 6767, 6802, 6807, 6815), Reserva Ecológica Taricaya, 3♀ 2♂ (MUSA 10352, 10375, 10387, 11582, 11583), Río Loboyoc, 1♀ 5♂ (MUSA 6938, 6941, 6942, 6945, 6955, 6961), Sudadero. Línea Sísmica SAP07-10, Lote Petrolero 111, 1♀ 2♂ (MUSA 5489, 5492, 5494). PASCO: Oxapampa: Camp. R. Lobo (Parque Nacional Yanachaga-Chemillen), 1♂ (MUSM 10206), Cerro Chontiya, 5 km Oeste Shiringamazu, carretera a Iscosazin, 2♂ (MUSM 10194, 10195), Cerro Chontilla, 1♀ (MUSA 10236), Iscozacin, 1♂ (MUSM 719), Huampal, Quebrada Honda, Parque Nacional Yanachaga Chemillén, 1♀ (MUSA 6784), Huampal, Río Huancabamba, Parque Nacional Yanachaga Chemillén, 1♀ (MUSA 3530), Parque Nacional Yanachaga Chemillen/Sector Huampal, 3♂ (CORBIDI 50, 68, 73), San Francisco de Chuchurras, 3♀ (MUSA 10191, 10199, 10256), San José de Santarian, 1♀ 1♂ (MUSA 10126, 10130), Río Pescado, 1♂ (MUSM 24185). PUNO: Carabaya: Chacaneque, pueblo, 1♀ (MUSA 9927), La Nube, Candamo, Parque Nacional Bahuaja Sonene, 1♀ (MUSA 794), Quebrada Casahuiri, San Gabán, 1♀ (MUSA 9928), San Gabán, 1♂ (MUSA 10944); Sandia: Alto Azata, 1♂ (MUSA 9596), Centro Azata, 1♀ 1♂ (MUSA 9610, 9615), Putina Punco, 3♂ (MUSA 3627, 3648, 3651), Quebrada Tunquimayo, 2♀ 3♂ (MUSA 9565, 9566, 9567, 9569, 9581), Yanacocha, 1♀ 1♂ (MUSM 34963, 34967), Yanamayo, 1♀ (MUSA 3597). SAN MARTÍN: Mariscal Cáceres, La Meseta, 1♀ 1♂ (MUSM 24366, 24367); Tarapoto: Leche, 1♂ (MUSA 10767), Miraflores, 1♂ (MUSA 10843). TUMBES: Zarumilla, Campo Verde, 1♂ (MUSM 19271), Quebrada Naranjos, 1♂ (MUSM 19282), Naranjal, 1♀ (MUSM 22098). UCAYALI: Atalaya: C.B.L. Sheshea, 1♂ (MUSA 15689), Fabricio 138-2x», 1♂ (MUSA 14233), «Cerca de la Quebrada Añuje 1», 1♀ 1♂ (MUSA 14217, 14221), «Cerca de la Quebrada Añuje 2», 1♀ (MUSA 14196), 28 de Julio, Río Abujao - Lote 138, 1♀ 1♂ (MUSA 12498, 12536), Puerto Purín, 1♀ (MUSA 6283), Río Shesha, Lote 138, 1♂ (MUSA 12619), Padre Abad, Padre Abad, Bosque Nacional Von Humboldt, 1♀ (MUSM 8601).
Carollia manu (n=19). PERÚ: CUSCO: La Convención: Cashiriari, Reserva Comunal Machiguenga, 1♂ (MUSA 724), Kimbiri, Campamento Llactahuaman, 1♀ (MUSM 14535), Paucartambo, Bosque de las Nubes, carretera Paucartambo-Pillcopata, km 150, puente Unión, 1♀ 2♂ (MUSM 8799-8801), Estación Biológica Bosque Nublado, San Pedro, 2♀ 1♂ (MUSM 11784-11786), San Pedro, 1♂ (MUSM 19431), San Pedro, Kosñipata, 1♀ 1♂ (MUSA 3766, 3776). PUNO: Carabaya: La Nube, Candamo, Parque Nacional Bahuaja Sonene, 1♂ (MUSA 792); Sandia, 3 km N. Yanahuaya, 1♀ 1♂ (MUSM 34968, 34970), Yanacocha, 1♀ 2♂ (MUSM 34971, 34973, 34977), Yanamayo, 2♀ (MUSA 3545, 3553).
Carollia perspicillata (n=366). PERÚ: AMAZONAS: Bongará, Río Utcubamba, entre Churuja y Pedro Ruíz, 1♂ (MUSM 4858), Chachapoyas, Balsas, 3 km E, 2♂ (MUSM 4849, 4856), Balsas, 19 km by road E, 1♀ (MUSM 4857); Condorcanqui, Condorcanqui, Puesto de Vigilancia 22 (Falso Paquisha) Cordillera del Cóndor, 3♂ 3♀ (MUSM 312, 316-318, 332, 339); Luya, Río Utcubamba, 11 km N by road Pedro Ruíz, 1♀ (MUSM 4859). AYACUCHO: La Mar, Ccentabamba, 2♂ (MUSM 21369, 21371). CAJAMARCA: San Ignacio, caserío de San Juan, 1♂ (MUSM 8719). CUSCO: La Convención: Alfamayo, 5♀ 1♂ (MUSA 9198, 9200, 9202, 9203, 9205, 9206), Camisea, Armihuari [Cashiriari 2], 1♀ (MUSM 13591), Camisea, Pagoreni A, 1♀ 1♂ (MUSA 8468, 8474), Camisea, Pagoreni B, 1♀ (MUSA 8433), Cashiriari, Reserva Comunal Machiguenga, 3♂ (MUSM 704, 737, 742), Kiñancaroni, Río Ayeni, Reserva Comunal Machiguenga, 11♀ 4♂ (MUSA 2806, 2809, 2811, 2812, 2874, 2880, 2882-2884, 2900, 2908, 2938, 2959, 2961, 2972), Kirajateni, 1♀ (MUSA 10048), Nueva Convención, 13♀ 12♂ (MUSA 8967, 8968, 8972, 8974-8976, 8980-8983, 8985, 8987-8993, 8995, 9009, 9012, 9014, 9015, 9019, 9021), Pongo de Mainique, 4♀ 3♂ (MUSA 9230, 9232, 9237, 9242, 9399, 9400, 9402), Quebrada Toteroato, 1♀ (MUSA 6934), Río Manitiari. Reserva Comunal Machiguenga, 3♀ 1♂ (MUSA 3014, 3083, 3119, 3124), Santa Teresa, 1♀ (MUSA 14449), Toteroato, 1♀ (MUSA 9027), Camisea, Segakiato, 1♂ (MUSM 14734), Kimbiri, Camp. Llactahuaman, 2♂ (MUSM 14533, 14534); Paucartambo: Sabaluyo (Pillcopata), 1♀ (MUSM 8561); Quispicanchi: San Lorenzo, 1♀ (MUSA 10535). HUÁNUCO: Huánuco, Caserío de San Pedro de Carpish, 1♀ (MUSM 18901), Puerto Guadalupe, 2♀ 1♂ (MUSA 13681, 13690, 13691), Santa Rita Alta, 2♂ (MUSA 13701, 13725); Leoncio Prado: Cueva de las lechuzas, Parque Nacional Tingo María, 2♀ 5♂ (MUSA 1695, 1732, 1733, 1735, 1736, 2665, 2666), Nueva América, 1♂ (MUSA 1748), San Andrés, Parque Nacional Tingo María, 2♀ 2♂ (MUSA 1691, 1775, 1777, 1778), Tres de Mayo, Parque Nacional Tingo María, 2♀ (MUSA 3360, 3405), Pachitea: Agua Caliente, 4♀ 1♂ (MUSA 5967, 5970, 5983, 6005, 6010), Agua Caliente, Puerto Inca, 2♀ (MUSA 7705, 7706), Puerto Inca: Est. Biológica Panguana, 1♀ 1♂ (MUSM 24584, 36691), Panguana am Río Yuyapichis (= Llullapichis), 1♂ (MUSM 1470). JUNÍN: Chanchamayo, Centro poblado Nueva Italia, 3♂ (MUSM 41169, 41171, 41317), La Génova, 2♀ 3♂ (CORBIDI 335,336, 338, 343, 348), Fundo Genova (UNALM), 5♀ 3♂ (MUSA 8757, 8762, 8763, 8776, 10405, 10406, 10408, 10409), Santuario Nacional Pampa Hermosa, Podocarpus, 1♀ (MUSM 41177), Yurinaqui Alto, 1♀ (MUSM 1474), Santo Domingo de Acobamba, 1♀ 1♂ (MUSM 23137, 23139). LORETO: Alto Amazonas: Belice, 1♂ (MUSA 14078), Trueno, aprox. 2 km al NO de la boca del Río Pastaza, 1♀ (MUSM 16357); Loreto: Pacaya, 2♀ 2♂ (MUSA 10478, 10534, 10554, 10559); Maynas: 12 km S Puesto de vigilancia Arcadia, 1♂ (MUSM 21096), 25 km S de Iquitos, Estación Biológica Allpahuayo, 3♀ 2♂ (MUSM 16468, 16469, 16471, 16473, 16475), Bélgica km 62 carretera Iquitos-Nauta, 2♀ 1♂ (MUSM 31270, 31275), El Triunfo km 48.8 carretera Iquitos-Nauta O del camino, 2♂ (MUSM 31392, 31398), Mishana km 25 carretera Iquitos-Nauta, Reserva Allpahuayo-Mishana, senda a Frutales, 1♀ (MUSM 31511), Mishana Río arriba desde pueblo en banco sur, Río Nanay, senda de la izquierda, 1♀ (MUSM 31515), Mishana, Río Nanay, banco sur, 1♀ (MUSM 31517), Mishana, Río Nanay, banco sur, chacra de Manuel, 1♂ (MUSM 31523), Río Lagartococha, Campamento Catalino, 1♀ 1♂ (MUSM 21118, 21125); Mariscal Ramón Castilla: San Pablo, 2♀ (MUSA 10467, 10484), Requena, Centro de Investigación Jenaro Herrera, 2♀ 3♂ (MUSM 855, 857, 1054, 5548, 5920), Maquia, 3♀ 1♂ (MUSA 6016, 6018, 6021, 6027); Ucayali: Cashiboya, 1♀ 2♂ (MUSA 10460, 10462, 10463), Santa Rosa, 1♀ 1♂ (MUSA 10487, 10498), Santa Rosa 2, 1♂ (MUSA 6041), Sierra de Contamana, Cerros de Canchaguaya, Aguas Calientes, 1♀ (MUSM 17958), Rio Yarapa, Albergue Yacumama, SE Iquitos (MUSM 9418). MADRE DE DIOS: Manu, Estación Biológica Cocha Cashu, 1♂ (MUSM 5107), Hacienda Erika, Río Alto Madre de Dios opposite Salvación, 1♀ 1♂ (MUSM 1479, 1483), Manu, Cocha Juárez, 1♀ (MUSM 445), Parque Nacional Manu, Estación Biológica Pakitza, 3♀ 2♂ (MUSM 488, 6850, 6851, 6852, 12392), Manu, Yanamayo (Shintuya), 1♀ (MUSM 8555), Maskoitania, 13.4 km NNW Atalaya, 2♂ (MUSM 19654, 19643), Quebrada Aguas Calientes a 2,75 km al Este de Shintuya, 1♀ 1♂ (MUSM 16628, 16646), Rio Blanco, 1♀ (MUSA 6690), Tambopata: Río Serjali, 1♀ 2♂ (MUSA 3237; 6754, 6833), Sudadero. Línea Sísmica SAP07-10, Lote Petrolero 111, 5♀ 5♂ (MUSA 5497, 5499, 5501-5508), Línea Sísmica SAP07-03, Lote 113, 1♀ (MUSA 5500), Quebrada Petróleo, 1♀ (MUSA 6717), Santa Cruz, 1♂ (MUSA 6719), Quebrada Las Piedras, 1♂ (MUSA 6781, 6782), Río Azul, 3♀ 1♂ (MUSA 6788, 9149, 10065, 10066), Salvación, 1♀ 2♂ (MUSA 6789, 6790, 9053), Río Loboyoc, 12♀ 9♂ (MUSA 6935, 6937, 6939, 6943, 6944, 6946-6949, 6952-6954, 6956-6958, 6960, 6962-6966), Las Palmas, 6♀ 1♂ (MUSA 7780, 7817, 7819, 7820, 7863-7865), El Triunfo, 2♀ 4♂ (MUSA 7853-7855, 7858, 10429, 10430), Reserva Ecológica Taricaya, 1♂ (MUSA 10388), Comunidad Isla Rolin, Bajo Madre de Dios, 2♂ (MUSA 11331, 11332), Reserva Comunal Amarakaeri, 3♀ (MUSA 11698, 11699, 11889), Pampa Juliaca, Pampas del Heath, 1♀ 1♂ (MUSA 12851, 12852), Cocha Paujil, Pampas del Heath, 1♀ 1♂ (MUSA 12855, 12856), Puesto de Control Malinowski, Reserva Nacional Tambopata, 1♂ (MUSA 13268), Playa Alta, Tres islas, 1♀ (MUSA14431). PASCO: Oxapampa, Estación Biológica Paujil, 1♂ (MUSM 24192), Iscozacin, 3♂ (MUSM 447, 458, 717), Palmira, 1♂ (MUSM 10850), Pozuzo, Rio Negro, 1♀ (MUSM 10826), Río Pescado, 1♀ 2♂ (MUSM 24193-24195), San Francisco de Chuchurras, 4♀ (MUSM 10192, 10193, 10206, 10261). PUNO: Carabaya, Carabaya, Coasa, Boca de Quebrada Ursulinda con Río Candamo, 1♀ (MUSM 15799); Sandia, 3 km N. Yanahuaya, 1♂ (MUSM 34978), Alto Azata, 1♂ (MUSA 9606); Putina Punco, 8♀ 9♂ (MUSA 3645-3647, 3649, 6314, 6315, 6327, 6336, 6342, 6343, 6346, 6347, 6351, 6352, 6353, 6356, 6403), Quebrada Tunquimayo, 4♀ 3♂ (MUSA 7007, 9573, 9590, 11099, 11201, 11203, 11205), San Gabán, 1♀ (MUSA 10945). SAN MARTÍN: Moyobamba: Moyobamba, 1♂ (MUSM 1452); Tarapoto: Miraflores, 4♀ 1♂ (MUSA 10765, 10766, 10768-10770). TUMBES: Tumbes, Angostura, Platanal, 2♂ (MUSM 22101, 22102), Quebrada Angostura, 2♀ 1♂ (MUSM 19287, 19288, 22107), Quebrada Las Pavas, 1♀ (MUSM 24478), Quebrada Faical, 1♂ (MUSM 19169), Rica Playa, Río Tumbes, bocana Carillo, 1♂ (MUSM 22109); Zarumilla, Campo Verde, 2♀ 1♂ (MUSM 19284, 22110, 22111), Naranjal, 1♀ 1♂ (MUSM 22112, 22113), Quebrada Campo Verde, 1♀ (MUSM 22114), Quebrada Naranjos, 1♀ 3♂ (MUSM 19172-19174, 19292), Rio Zarumilla, Cabaña INRENA, 1♀ (MUSM 22115), Quebrada Angostura, 1♀ 1♂ (MUSA 19275, 19276). UCAYALI: Coronel Portillo: 28 de Julio, Río Abujao - Lote 138, 2♀ 3♂ (MUSM 12521, 12555, 12556, 12578, 12589), Cerca de la Quebrada Añuje 3, 2♂ (MUSA 14239, 14240), Yarinacocha, Río Ucayali, 1♀ 1♂ (MUSM 1471, 1497), C.B.L. Nueva Italia, 1♀ (MUSA 15681), C.B.L. Sheshea, 5♀ 4♂ (MUSA 15683-15688, 15693, 15701, 15706), Parantari, 1♀ (MUSA 15720), Neshuya, 2♀ 3♂ (MUSA 8205-8207, 8210, 8212), Puerto Alegre, 1♀1♂ (MUSA 6291, 6304), Río Tamaya, 1♀ 1♂ (MUSA 6246, 6251), Vinancuro, 1♂ (MUSA 5956), Padre Abad, Padre Abad, Bosque Nacional Von Humboldt, 2♂ (MUSM 8611, 8613).
Carollia sp. (n=19). PERÚ: AMAZONAS: Condorcanqui, Condorcanqui, Puesto de Vigilancia 22 (Falso Paquisha) Cordillera del Cóndor, 2♀ 1♂ (MUSM 291, 320, 359), Quebrada Cucuasa, Cordillera del Cóndor (PNIM), 1♂ (MUSA 8030). LORETO: Río Yarapa, Albergue Yacumama, SE Iquitos, 1♀ (MUSM 9420); Alto Amazonas: Maynas, aproximadamente 500 m E km 28.8 de la carretera Iquitos-Nauta, 1♂ (MUSM 27637), Bélgica km 62 carretera Iquitos-Nauta 2♂ (MUSM 31168, 31174), Camino a El Paujil, 1.8 km al W del km 35 de la carretera Iquitos-Nauta, 1♂ (MUSM 27592), Ex Petroleros, 300m W km 39.8 de la carretera Iquitos-Nauta, 2♀ (MUSM 27597, 27598), Mishana km 25 carretera Iquitos-Nauta, Reserva Allpahuayo-Mishana, 1♀ 1♂ (MUSM 31248, 31250), Paujil, W km 37.45 de la carretera Iquitos-Nauta, 3♀ 1♂ (MUSM 27591, 27592, 27612, 27613), Peña Negra, 200 m al E del km 10.7 de la carretera Iquitos-Nauta, 1♂ (MUSM 27614), Varillal, 1.8 km W del km 13.6 de la carretera Iquitos-Nauta, 1♀ (MUSM 27630).
APÉNDICE 2
Ubicación de los landmarks usados en cada vista (Lm= cantidad de landmarks).
Vista dorsal del cráneo (Lm= 9): (1) borde anterior de la premaxila entre los incisivos, (2) borde anterior entre la premaxila y la maxila, (3) borde anterior de la sutura maxilo-lacrimal, (4) ápice de la base anterior del proceso cigomático del maxilar, (5) proceso postorbital, (6) borde posterior de proceso cigomático escamosal, (7) margen externo de la sutura lambdoidea, (8) inión, (9) margen anterior de la sutura internasal.
Vista ventral del cráneo (Lm= 12): (1) margen anterior entre los incisivos, (2) entre el canino y el primer premolar, (3) borde anterolateral del vómer, (4) metastilo del tercer molar, (5) borde anterolateral del vomer, (6) borde de la extensión anterior del tubérculo articular del temporal, (7) borde posterior de proceso cigomático escamosal, (8) sutura occipitomastoidea, (9) margen posterior del foramen magnum, (10) margen anterior del foramen magnum, (11) borde anterior del septum del basioccipital, (12) margen anterior del esfenoides.
Vista lateral izquierda del cráneo (Lm= 13): (1) borde anterior de la premaxila a nivel del alvéolo, (2) entre el canino y el primer premolar superior, (3) entre el primer y segundo premolar superior, (4) entre el segundo premolar y primer molar superior, (5) al final de la hilera dental superior, (6) ápice del proceso cigomático maxilar, (7) foramen infraorbital, (8) ápice del escamoso, (9) extensión posterior del tubérculo articular del temporal, (10) borde entre el ectotímpano y el escamoso, (11) inión, (12) margen anterior de la sutura internasal, (13) punto perpendicular al landmark 9 respecto al 5 sobre el borde de la caja craneal.
Vista labial de la hemimandíbula izquierda (Lm= 11): (1) borde anterior del alveolo del primer incisivo (2) borde posterior de alveolo del canino (3) borde posterior del alveolo del segundo premolar, (4) borde posterior del alveolo del tercer molar, (5) ápice del proceso coronoides, (6) punto medio entre el proceso coronoides y el cóndilo, (7) ápice del cóndilo mandibular, (8) ápice del proceso angular, (9) mayor inflexión en la base del proceso angular, (10) punto perpendicular al landmark 4 en el margen ventral de la mandíbula, (11) foramen mentoniano.
Información adicional
Editor asociado: P. Velazco