ARTÍCULO
DIVERSIDAD DE UN ENSAMBLE DE MICROMAMÍFEROS EN LA PUNA DESÉRTICA DE SAN JUAN (ARGENTINA)
Diversity of a small-mammal assemblage in the Puna Desert of San Juan (Argentina)
DIVERSIDAD DE UN ENSAMBLE DE MICROMAMÍFEROS EN LA PUNA DESÉRTICA DE SAN JUAN (ARGENTINA)
Mastozoología Neotropical, vol. 26, núm. 1, pp. 31-48, 2019
Sociedad Argentina para el Estudio de los Mamíferos
Recepción: 22 Mayo 2018
Aprobación: 05 Noviembre 2018
Resumen: En Sudamérica los desiertos ocupan una importante extensión, llegando a cubrir en Argentina el 69% de su superficie. Si bien los micromamíferos del desierto del Monte han sido objeto de numerosos estudios, no ha ocurrido lo mismo con los micromamíferos de los desiertos de altura. Por este motivo, los objetivos de este trabajo fueron analizar la abundancia y diversidad de micromamíferos en los tres principales ambientes de Puna Desértica en su extremo austral. El estudio fue realizado en un área protegida privada, la Reserva de Usos Múltiples Don Carmelo. El trabajo se llevó a cabo en ambientes de roquedal, ladera y planicie, en un rango altitudinal entre los 3000 y 3800 m s.n.m. Se emplearon trampas tipo Sherman en nueve grillas de 36 trampas. Se obtuvo un total de 756 capturas (310 individuos distintos), con un esfuerzo de 12 312 noches/trampa. La riqueza de especies fue de cuatro micromamíferos (tres roedores y un marsupial): Phyllotis xanthopygus, Abrothrix andina, Eligmodontia sp. y Thylamys pallidior. El ambiente más diverso y equitativo fue la planicie, pero también el que presentó la menor abundancia, mientras que el ambiente con la mayor abundancia de micromamíferos, pero menor diversidad y equitatividad fue el roquedal. Phyllotis xanthopygus fue más abundante en el roquedal, mientras que Eligmodontia sp. lo fue en la planicie. La riqueza de micromamíferos encontrados en Puna Desértica es similar a la encontrada en otros ecosistemas de altura de Argentina. Nuestro trabajo contribuye al conocimiento de la biota de ésta área protegida, aportando información de base sobre ambientes montañosos, de difícil acceso y poco explorados de la región.
Palabras clave: afloramientos rocosos, ambientes montañosos, puna, riqueza, roedores sigmodontinos.
Abstract: In South America, deserts occupy an important extension, covering 69% of its surface in Argentina. Most research on small mammals has been conducted on Monte Desert but it is not the same for micromammals of high deserts. The objectives of this research were to assess small mammal abundance and diversity at three main environments at southern Puna Desert. The study was conducted in the multiple-use private reserve “Don Carmelo”, on rocky outcrops, hills and plains, with altitudes ranging from 3000 to 3800 m a.s.l. We used Sherman-like traps and established nine trapping grids of 36 traps per environment type. We recorded 756 captures (310 different individuals) of three rodents and one marsupial species (Phyllotis xanthopygus, Abrothrix andina, Eligmodontia sp. and Thylamys pallidior) in 12 312 trap nights. Plain was the most diverse and evenness environment, but at the same time it had the lowest small mammals abundance. The environment with the highest small mammals abundance, although the least diversity and evenness, was the rocky outcrop. Phyllotis xanthopygus was the most abundant species on rocky outcrop, while Eligmodontia sp. was on plain. Small mammals richness registered in Puna Desert is similar to other high environments of Argentina. Our study contributes to the knowledge of the biota of this protected area, providing basic information about mountainous environments that represent areas of difficult access and poorly explored in the region.
Keywords: mountainous environments, puna, richness, rocky outcrops, sigmodontine rodents.
INTRODUCCIÓN
Los desiertos son ambientes rigurosos caracterizados por escasez de humedad, alta insolación, fuertes vientos, temperaturas extremas con altos contrastes térmicos y cortas temporadas de crecimiento vegetativo (Whitford 2002). Estas características representan fuertes presiones de selección para la biota, por lo que su biodiversidad, aunque comparativamente baja en relación a biomas mésicos, es altamente especializada con rasgos únicos que en muchos casos representan novedades evolutivas (Cosacov et al. 2009; Ibarguchi 2014).
En Sudamérica las tierras áridas ocupan una importante extensión; específicamente, en Argentina, los desiertos y semidesiertos ocupan el 69% de la superficie territorial (Verbist et al. 2010). Argentina posee una amplia variedad de tierras áridas continentales, representadas por las ecorregiones del Monte de Llanuras y Mesetas, Monte de Sierras y Bolsones, Estepa Patagónica, Altos Andes y Puna y las semiáridas Chaco Seco y Espinal (Brown et al. 2006). Esta diversidad y complejidad de las ecorregiones conduce a que alberguen una alta riqueza de especies y endemismos (Ojeda et al. 2000).
Considerando la información existente sobre la composición, riqueza y diversidad del ensamble de pequeños mamíferos de las ecorregiones áridas de Argentina, el Monte de Llanuras y Mesetas es el más estudiado (Gonnet & Ojeda 1998; Ojeda et al. 2000; Rodríguez & Ojeda 2014; Novillo et al. 2017; entre otros) donde se encontró una riqueza de seis especies, cinco roedores sigmodontinos y una de marsupial. Por otro lado, Jayat et al. (2011), en una revisión sobre ocurrencia de sigmodontinos en las ecorregiones áridas del noroeste argentino, incluyendo el Monte de Sierras y Bolsones, Puna y Altos Andes, resaltan que la mayoría de la información proviene del Monte, existiendo un vacío de información para los desiertos de altura. En relación a la información sobre los ensambles de especies de roedores de la Puna de argentina, los estudios se han centrado principalmente en el sector norte de la misma, habiendo abordado aspectos de sus hábitos de vida y distribución (Mares et al. 1997; Bonaventura et al. 1998; Jayat et al. 2011; Ferro 2013), han encontrado entre tres y siete especies de roedores por localidad. En los estudios sobre patrones de diversidad, se han encontrado entre cinco y siete especies de pequeños mamíferos, incluyendo normalmente una especie de marsupial (Novillo & Ojeda 2012, 2014; Ferro & Barquez 2014).
Con respecto a la provincia de San Juan, un 75% de su superficie está ocupada por áreas montañosas y planicies de altura desérticas (Márquez et al. 2014). Sin embargo, a pesar de su amplia extensión, es escasa la información sobre los pequeños mamíferos que allí habitan. Solo se cuenta con información para la Reserva de Biósfera de San Guillermo en la Puna Árida (Borghi & Giannoni 2007), donde se encontró a Phyllotis xantophygus, Neotomys ebriosus, Eligmodontia sp. y Ctenomys sp. como las especies de pequeños mamíferos dominantes del sistema.
Con respecto a los desiertos de altura, los mismos contienen ecosistemas ricos y diversos, siendo elementos clave del sistema global geósfera-biosfera y altamente vulnerables a riesgos naturales y antrópicos (Diaz et al. 2003). Además, proveen una amplia diversidad de bienes y servicios ecosistémicos (Beniston 2000; Grêt-Regamey et al. 2011), en muchos casos son puntos calientes de biodiversidad y se los considera sensibles a los cambios climáticos a escala global (Diaz et al. 2003). Es por esta razón que existe un compromiso mundial para la conservación de estos ambientes (National Research Council 1999). Sin embargo, a pesar de la relevancia de las tierras desérticas de altura, existe escasa información sobre la biodiversidad que albergan en la Puna Argentina.
Cambios en la biodiversidad pueden afectar las funciones del ecosistema, como la productividad y ciclado de nutrientes (Loreau et al. 2002; Cardinale et al. 2006), cambios que, en última instancia, afectan los bienes y servicios ecosistémicos que contribuyen al bienestar humano (Chapin et al. 2000; Millennium Ecosystem Assessment 2005). En este sentido, conocer la biodiversidad de áreas relativamente prístinas como las de algunas áreas protegidas, representa el primer paso para evaluar luego los posibles efectos de las perturbaciones antrópicas, naturales y los efectos del cambio climático. En este marco, los objetivos de este trabajo son analizar la abundancia y diversidad de micromamíferos en los tres principales ambientes del extremo austral de la Puna Desértica, en un área protegida del centro de San Juan.
MATERIALES Y MÉTODOS
Área de estudio
El estudio se llevó a cabo en la Reserva de Usos Múltiples Don Carmelo, en el extremo austral de la Puna Desértica. La reserva está situada en la parte occidental y austral de la Puna, caracterizándose por una precipitación anual menor a 100 mm y escasez de agua libre debido a la ausencia de ríos y lagunas (Martínez-Carretero 1995). En general sus suelos son inmaduros, pedregosos o arenosos, con muy bajo contenido de materia orgánica por la escasa cobertura vegetal y lenta descomposición (Martínez-Carretero 1995).
El área protegida se encuentra ubicada en el centro-oeste del departamento de Ullum, en la provincia de San Juan-Argentina (31° 10¢ S, 69° 46¢ W; Fig. 1), con una superficie de 44 000 ha y un rango altitudinal entre los 3000 y 3800 m s.n.m. Presenta una temperatura media anual de 8.15 °C, una temperatura máxima absoluta de 26 °C, y una temperatura mínima absoluta de -22°C (Andino & Borghi 2017). Las precipitaciones níveas se concentran entre los meses de mayo a octubre y alcanzan profundidades máximas de hasta 50 cm (C. E. Borghi, obs. pers.), las que generalmente no permanecen sobre el suelo más de 15 días. La vegetación está constituida por arbustos xerófilos bajos y gramíneas, con gran parte del suelo desnudo.

Los muestreos se realizaron en tres ambientes presentes en la Puna: roquedal, ladera y planicie. Los roquedales están constituidos por afloramientos rocosos basálticos, donde hay poco o nulo desarrollo de suelo con una pendiente media de 17.96º. La vegetación está representada por herbáceas como Caiophora coronata, arbustos característicos como Adesmia triyuga y Ephedra sp., gramíneas como Stipa speciosa y cactáceas de gran porte como Lobivia formosa. La ladera está caracterizada por rocas de menor tamaño, con menor pendiente comparado con el roquedal (12.30º), presenta un mayor desarrollo de suelo y la vegetación se encuentra dispersa, representada principalmente por arbustos como Senecio sp., gramíneas como Stipa speciosa y cactáceas como Maihueniopsis glomerata. La planicie presenta una escasa pendiente (4º), alto porcentaje de suelo desnudo y vegetación achaparrada dominada por arbustos como Lycium chanar, Fabiana denudata y Artemisia mendozana, y gramíneas del género Stipa.
Diseño del estudio, capturas y caracterización del hábitat
En los ambientes dominantes de la Puna de la Reserva de Usos Múltiples Don Carmelo (roquedal, ladera y planicie) se establecieron nueve grillas fijas (tres réplicas por cada ambiente, separadas al menos por 800 m), de 36 trampas tipo Sherman cada una (6 x 6 trampas distanciadas 15 m). Las capturas se llevaron a cabo en otoño, invierno, primavera y verano, durante 2013 y 2014. En total se establecieron 324 estaciones de muestreo en cada estación del año. Las trampas fueron cebadas con una mezcla de avena arrollada y atún, y estuvieron activas por cinco noches consecutivas, siendo revisadas una vez al día por la mañana. A los individuos capturados se les registraron las medidas corporales (largo cabeza-cuerpo y de la cola, en mm), edad, sexo y condición reproductiva según Tabeni et al. (2007).
Para la descripción del hábitat se muestreó un área de 1 m2 alrededor de cada trampa Sherman, utilizando el método de cobertura, y se midieron las siguientes variables bióticas y abióticas: vegetación (porcentaje de cobertura y altura en cm), roca y suelo desnudo (porcentaje de cobertura), dureza del suelo (resistencia a la compresión del suelo) usando un penetrómetro (S-170 Pocket Penetrometer, Brainard-Kilman) y tipo de sustrato (roca madre, rocas y suelo desnudo). Las rocas se categorizaron según el tamaño en las siguientes categorías: 0-25 cm2; 26-75 cm2; 76 a más 100 cm2.
Análisis de datos y estadísticos
Las variables bióticas y abióticas que describen el hábitat de los tres ambientes estudiados se compararon mediante la prueba de Kruskal–Wallis. Para las variables en las que se determinaron diferencias significativas en al menos un ambiente (p < 0,05), se realizaron pruebas de comparaciones múltiples de a pares (Siegel & Castellan 1988). Los datos de abundancia de los micromamíferos se estandarizaron a número de individuos*1000/noches trampa, debido a que en otoño de 2014 el esfuerzo fue menor por una intensa nevada (864 noches/trampa vs 1080 noches/trampa en el resto de las estaciones). El éxito de captura se calculó como el número de individuos capturados/total de noches trampa y la capturabilidad se calculó como la frecuencia de captura por especie por ambiente/total de noches trampa*100 (Adam et al. 2015).
Para estimar la riqueza específica, medida rápida y sencilla de la diversidad (Gotelli & Colwell 2011), se elaboraron curvas de acumulación y rarefacción basadas en las muestras. Estas permiten estimar la efectividad de los esfuerzos de captura a partir del número de noches trampa (Gotelli & Collwel 2011). Además, también para la riqueza de las especies, se utilizó el estimador no paramétrico Chao 1, que tiene en cuenta las abundancias de las especies.
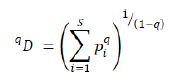
Para estimar la diversidad se calcularon los tres números de Hill (Hill 1973), como una medida de los componentes de la misma (Tuomisto 2010; Moreno et al. 2011). Los números de Hill se obtienen con la fórmula:

donde qD es la diversidad verdadera (Jost 2006), pi es la abundancia relativa de la especie i (abundancia proporcional), S se refiere al número de especies que integran la comunidad y q es el orden de la diversidad (Jost 2006, Tuomisto 2010; Moreno et al. 2011). El exponente q modula la sensibilidad del índice a las abundancias relativas de las especies (Jost 2006). En cierta forma q determina cuántas especies son consideradas dentro de la muestra analizada, de acuerdo a su rareza (Hill 1973), dando, en la medida que aumenta de 0 a 2, cada vez menos peso a las especies raras y más peso a las más abundantes. Por ejemplo, la diversidad de orden cero (q = 0) es insensible a las abundancias de las especies; por lo que equivale simplemente a la riqueza de especies (0D) (Hill 1973; Moreno et al. 2011). En nuestro trabajo corresponde al estimador Chao 1, estimador de la riqueza específica. Cuando q = 1, se comporta como el índice exponencial de Shannon (1D), ponderando la frecuencia de las especies, sin desfavorecer a las especies raras o poco comunes. Finalmente, cuando q = 2, se comporta como el inverso del índice de Simpson (2D), ponderando a las especies con mayor abundancia relativa (Hill 1973; Tuomisto 2010; Moreno et al. 2011; véase Jost 2006 para más detalles en la conversión de los índices de Shannon o Simpson). Los números de Hill qD fueron estimados con el software Estimate S 9.1.0 (Colwell 2018). Además se calculó la equitatividad mediante el índice de uniformidad de Pielou (J) (Magurran 2004), el cual es matemáticamente una buena medida de la misma (Jost 2010). Este índice fue calculado con el paquete “vegan” (Oksanen et al. 2012) del entorno estadístico R 3.2.4 (R Develpoment Core Team 2018) corregido según Jost (2010).
Para evaluar el efecto del ambiente y la estación del año sobre la abundancia de las especies se utilizaron Modelos Lineales Generalizados (GLM) para datos con distribución de errores Poisson (datos de conteo; Crawley 2007), debido a que los datos exhibieron sobredispersión se ajustaron modelos con distribución Binomial Negativa. Se aplicó un enfoque de selección de modelos basado en evaluaciones de máxima verosimilitud para comparar múltiples hipótesis competitivas en busca del mejor modelo. Mediante el paquete MuMIn (Barton 2018) del software R 3.2.4 se seleccionaron los modelos más parsimoniosos según el criterio de información Akaike más bajo (AIC, Burnham & Anderson 2002) y sus probabilidades de ser los mejores modelos aproximados que se midieron con el peso de la evidencia de Akaike (weight AIC). Los modelos que presentaron una diferencia AIC en relación al mejor modelo (Δi) menor a dos fueron igualmente compatibles y seleccionados para hacer inferencias (Burnham & Anderson 2002; Burnham et al. 2011). Los modelos fueron ajustados considerando como variable respuesta la abundancia estandarizada a cinco noches trampas en cada sitio y como factores el ambiente (con tres niveles: roquedal, ladera y planicie) y la estación del año (cuatro niveles: otoño, invierno, primavera y verano). Las relaciones entre los factores y las variables respuestas encontradas en los distintos modelos ajustados fueron graficadas con el paquete “effects” (Fox 2003) del software R. Para modelar la diversidad se ajustaron modelos considerando como respuesta 1D y como variables explicativas el ambiente (con tres niveles: roquedal, ladera y planicie) y la estación (cuatro niveles: otoño, invierno, primavera y verano).
RESULTADOS
Las variables abióticas en general no presentaron diferencias significativas entre los ambientes, salvo la cobertura de suelo desnudo y su dureza. El suelo desnudo fue diferente en los tres ambientes, destacándose su mayor cobertura en la planicie. Con respecto a la dureza del suelo, fue levemente más blando en la ladera con respecto a los otros ambientes. En cuanto a las variables bióticas, la cobertura de gramíneas, cobertura de herbáceas y altura de gramíneas presentaron diferencias en los tres ambientes. La cobertura de cactáceas y arbustivas, así como la altura de arbustivas fueron similares entre la planicie y la ladera, pero diferentes del roquedal. La cobertura total de vegetación no presentó diferencias en los tres ambientes, mientras que para las variables altura de cactáceas y herbáceas no se realizó la prueba estadística por no contar con suficientes datos (Tabla 1).

Con respecto a los micromamíferos, se realizaron un total de 756 capturas, habiéndose registrado un total de 310 individuos distintos, con un esfuerzo de captura de 12 312 noches/trampa (Tabla 2). El éxito de captura fue del 2.5% y el éxito de captura y recaptura de 6.14%. Se capturaron tres especies de roedores (< 100 gr) de la familia Cricetidae: Phyllotis xanthopygus (63.2%; n = 196), Abrothrix andina (30.0%; n = 93) y Eligmodontia sp. (6.5%; n = 20) y una única captura de un marsupial de la familia Didelphidae, Thylamys pallidior (0.3%; n = 1).

La riqueza total de micromamíferos en el área de estudio fue de cuatro especies, encontrándose tres en cada ambiente (Tabla 3). La curva de acumulación de especies se hizo asíntota al llegar a tres especies, mostrando que la cantidad de muestras fue suficiente para capturar las especies presentes en cada ensamble (Fig. 2). Las curvas de rarefacción basadas en noches trampa mostraron que a pesar de tener un esfuerzo diferente en el muestreo, fue suficiente para evaluar la riqueza de los ambientes (Chao 1 = 3 especies para cada ambiente) (Fig. 2).


Con respecto a la diversidad (Números de Hill 1D y 2D), esta fue decreciendo desde la planicie hacia el roquedal (Tabla 3), reflejando el efecto de la dominancia de P. xanthopygus en roquedal y ladera (ver Apéndice 1), patrón reflejado también inversamente por el índice de equitatividad de Pielou, siendo el ambiente más equitativo la planicie. Se modeló el efecto de la diversidad 1D sobre el ambiente y la estación, resultando como mejor modelo el Nulo (Tabla 4) con una importancia relativa para el ambiente de IR = 0.30 y la estación de IR = 0.02.

Con respecto al efecto del ambiente sobre la abundancia de las especies de roedores, para Phyllotis xanthopygus se explicó por el ambiente, ya que este fue el modelo que presentó el menor valor de ΔAICc (Tabla 5) y constituyó la variable que se destacó con una alta importancia relativa (IR = 1). En cuanto a la estación y la interacción del ambiente con la estación, no explicaron ningún efecto y presentaron valores de importancia relativa bajos (IR = 0.09 y IR = < 0.01 respectivamente). La abundancia media de P. xanthopygus fue mayor en el roquedal (16.29 ± 1.76), seguido de la ladera (3.08 ± 0.67) y la planicie (0.87 ± 0.32; Tabla 5, Fig. 3).


La abundancia de A. andina se comportó de manera similar a la de P. xanthopygus siendo el ambiente la variable que mejor explicó la abundancia de esta especie (Tabla 5). El ambiente presentó la importancia relativa más alta (RI = 1); sin embargo, las demás variables fueron insignificantes en cuanto a la importancia relativa (estación IR = 0.03 y la interacción entre el ambiente y la estación IR = < 0.01). Al igual que P. xanthopygus, el roquedal fue el ambiente donde A. andina presentó la mayor abundancia media (7.41 ± 1.01); no existen diferencias en la abundancia en la planicie y ladera (1.46 ± 0.39 y 1.12 ± 0.34 respectivamente). Con respecto a su variación estacional, la misma fue menor en primavera en planicie y ladera (Fig. 4).

Eligmodontia sp. fue la especie menos abundante, solo presente en los ensambles de la planicie y la ladera. Las variables que mejor explicaron el efecto sobre su abundancia fueron el ambiente y la estación (Tabla 5, Fig. 5). El ambiente presentó la mayor importancia relativa (IR = 0.99) seguida de la estación (IR = 0.69). La escasa abundancia de Eligmodonita sp. probablemente afectó la potencia de los análisis estadísticos, por lo que no fue posible graficar la interacción de las variables con el paquete “effects”.

DISCUSIÓN
En total, se registró la presencia de cuatro micromamíferos, tres roedores: Phyllotis xanthopygus, Abrothrix andina y Eligmodontia sp. y un marsupial, Thylamys pallidior. Con respecto a la composición del ensamble, P. xanthopygus, es una especie que se encuentra ampliamente distribuida en la Argentina y en la región andina hasta 5500 m s.n.m. (Barquez et al. 2006; Jayat et al. 2007; Novillo & Ojeda 2014). En la provincia de San Juan presenta ocho registros, distribuidos en la ecorregión de Altos Andes, al sur del departamento de Iglesia (Global Biodiversity Information Facility 2011). En el departamento de Calingasta, en el Parque Nacional El Leoncito, se encuentra en el Monte de Sierras y Bolsones y en los Altos Andes (Global Biodiversity Information Facility 2011). En cuanto a A. andina, se confirma el registro para la Puna en la provincia de San Juan a los 3000 m s.n.m. Su distribución conocida hasta el momento en Argentina incluía áreas altoandinas por encima de 3500 m s.n.m. (Díaz & Barquez 2007; Ferro & Barquez 2009; Jayat et al. 2008, 2011) en las provincias de Jujuy, Salta, Tucumán, Catamarca, La Rioja y Mendoza. Para la provincia de San Juan solo existían dos registros en el noroeste, en la ecorregión de Altos Andes en el sur del departamento de Iglesia y en la Reserva Provincial San Guillermo (Global Biodiversity Information Facility 2011). En este trabajo se registró por primera vez la presencia de individuos pertenecientes al género Eligmodontia para la Puna de San Juan. Existen registros de Eligmodontia moreni en el departamento de Calingasta en el Monte de Sierras y Bolsones y en los Altos Andes (Parque Nacional El Leoncito; Global Biodiversity Information Facility 2011) y en Valle Fértil en la ecorregión de Monte de Sierras y Bolsones, en el Parque Provincial Ischigualasto (Traba et al. 2010). No pudimos determinar la especie de Eligmodontia a través de caracteres morfológicos, por lo que será necesario realizar estudios genéticos para su identificación. El único ejemplar de T. pallidior capturado en este trabajo fue hallado en una zona de arbustos altos asociada a grandes bloques de rocas basálticas. Este marsupial se distribuye ampliamente en Argentina y suroeste de Bolivia (Palma et al. 2002). La presencia de la especie también fue documentada en el área de muestreo con trampas cámara (V. Beninato, obs. pers.). Para la provincia se tienen varios registros, en la ecorregión de Altos Andes, al sur del departamento de Iglesia, en el Parque Nacional El Leoncito, en la ecorregión del Monte de Sierras y Bolsones en los departamentos de Calingasta, Caucete y 25 de Mayo (Global Biodiversity Information Facility 2011) y en roquedales del Parque Provincial Ischigualasto (S. M. Giannoni, obs. pers.).
El número de especies detectadas se encuentra dentro del rango encontrado en otros desiertos del mundo como los de Norteamérica, Asia y África, donde se registraron dos a cuatro especies de micromamíferos (ver revisión Kelt et al. 1996). En general, en los desiertos del hemisferio sur, los ensambles de micromamíferos coinciden con el patrón encontrado en nuestro trabajo, compuesto por pocas especies de roedores y una sola especie de marsupial (Kelt et al. 1996; Ojeda et al. 2000; Albanese & Ojeda 2012). Los estudios realizados en otras zonas desérticas de Argentina muestran valores variables de riqueza. Ortiz et al. (2000) en la Puna y Altos Andes en la región Noroeste; Ferro & Barquez (2009) en la ecorregión Altoandina en el norte-centro del país y Novillo & Ojeda (2014) en la zona central de los Altos Andes encontraron una riqueza similar a la registrada en nuestro trabajo. En el Monte de Llanuras y Mesetas, Rodríguez & Ojeda (2013) encontraron un mayor número de especies. En relación a trabajos donde se hacen comparaciones en rangos altitudinales, incluyendo una mayor diversidad de ecorregiones desérticas, la riqueza total de los ambientes (riqueza beta) fue mayor que la encontrada en nuestro trabajo. Por ejemplo, en el noroeste argentino en Prepuna y Altos Andes la riqueza es bastante superior, variando entre 15 y 18 especies en los pastizales altoandinos y la estepa puneña (Jayat et al. 2008, 2011); en las ecorregiones del Monte, Prepuna y Puna la riqueza es menor, entre siete y nueve especies (Ortiz et al. 2010; Ferro & Barquez 2014) y al sur de Argentina en las ecorregiones del Monte, Espinal, Patagónica y Subantártica la riqueza nuevamente aumenta a 21 especies (Formoso et al. 2016).
En numerosos estudios se encontró una relación positiva entre la diversidad de micromamíferos y la heterogeneidad del ambiente (Rosenzweig & Winakur 1969; Simonetti 1989; Bos et al. 2002). Contrariamente, nosotros encontramos que el roquedal fue el menos diverso, y la planicie resultó ser el ambiente más diverso y equitativo. La menor diversidad del roquedal es explicada por el predominio de P. xanthopypus, una especie asociada a roquedales y que escasamente habita zonas abiertas (Simonetti et al. 1985), tal como se encontró en el presente trabajo. El hábitat puede describirse según su estructura (McCoy & Bell 1991), la que puede ser definida por dos variables: la heterogeneidad y la complejidad (August 1983; Ojeda & Tabeni 2009). En los roquedales se generan microambientes únicos, con una alta riqueza de flora y fauna, estabilidad térmica y refugio contra depredadores (Mares 1997; Fredericksen et al. 2003; ver revisión Nutt 2007; Campos & Giannoni 2013), cualidades que se encuentran explicadas por los bloques de rocas medianos y grandes (rocas de 26 a 75 y 76 a más de 100 cm2) que les proporcionan cavidades entre las mismas como refugio. Además, la vegetación es más abundante en este ambiente que en los demás (ladera y planicie). Todas estas características hacen del roquedal un sitio con condiciones que resultan altamente favorables en las extremas condiciones climáticas de la Puna Desértica. Sin embargo, el mejor modelo que incluyó la diversidad 1D como variable respuesta y el ambiente y la estación como variables explicativas fue el nulo, lo que indica que las variables consideradas no tienen efecto sobre la diversidad de micromamíferos; futuros estudios deben ser desarrollados para profundizar sobre las variables que afectan la misma.
Con respecto a la mayor abundancia de micromamíferos en el roquedal, se puede atribuir a la mayor complejidad y productividad comparada a la de los ambientes de ladera y planicie. La alta abundancia de P. xanthopypus frente a A. andina en el roquedal podría indicar que la primera excluye a la segunda del mejor ambiente, al igual que P. xanthopypus excluyó a A. andina en el experimento llevado a cabo por Simonetti et al. (1985). Sin embargo, son necesarios estudios específicos para poner a prueba esta hipótesis en la Puna Desértica. La ladera presenta una heterogeneidad y complejidad intermedia, al igual que valores intermedios de abundancia. La planicie es el ambiente más simple con una baja heterogeneidad y complejidad que conduce a que sea un ambiente con escaso desarrollo en la estructura de la vegetación (arbustos, gramíneas, herbáceas y cactáceas). Además de la ausencia de los bloques de roca de gran tamaño (76 a más de 100 cm2) y solamente con rocas de pequeño tamaño (0 a 25 cm2), lo que no ofrecería refugio de los depredadores ni de las adversas condiciones climáticas del área de estudio. Esto mismo se traduce en una pobre disponibilidad de alimento y refugio, lo que no explica la mayor diversidad y equitatividad, por albergar tres de las cuatro especies registradas pero en abundancias igualmente bajas. Sin embargo este ambiente estaría proporcionando otros atributos, como por ejemplo el alto porcentaje de suelo desnudo y ausencia de roca madre, condiciones aptas para una especie como Eligmodontia sp. La mayor abundancia de Eligmodontia sp. en la planicie frente a la ladera y la ausencia en los roquedales está en consonancia con lo esperado para el género, que se asocia a ambientes abiertos con escasa cobertura vegetal e importante cobertura de suelo desnudo. Al mismo tiempo la planicie alberga individuos de las demás especies que pueden estar siendo desplazados a este ambiente.
Si bien no fuimos capaces de determinar la especie de Eligmodontia, los ejemplares capturados, al igual que las otras especies de este género, poseen las patas traseras alargadas y con las almohadillas de las plantas de los pies peludas y fusionadas (V. Beninato, obs. pers.), atributos que le permiten explotar los ambientes abiertos (Giannoni et al. 2001). Comparativamente con las otras especies registradas en este trabajo, Eligmodontia sp. se encontró en baja abundancia, tanto en la planicie como en ladera, probablemente explicado por la baja disponibilidad de alimento y la dureza del suelo, lo que representaría restricciones energéticas dadas las rigurosas condiciones climáticas del área de estudio. Se registró solamente un ejemplar de T. pallidior asociado al roquedal en una zona de arbustos altos y espinosos con grandes bloques de rocas. Según Braun et al. (2005), es la especie con mayor rango altitudinal (hasta los 3900 m s.n.m.) y geográfico del género, asociada a ambientes áridos y semiáridos, incluyendo la Puna Seca. Por otro lado, la baja abundancia registrada para este marsupial en este trabajo coincide con lo encontrado por Gonnet & Ojeda (1998) y Albanese & Ojeda (2012) en el Monte Central.
Con relación a la abundancia de los micromamíferos en los distintos ambientes y estaciones, la alta y estable abundancia de P. xanthopypus y A. andina en el roquedal a lo largo de las estaciones sugiere que se trata de un ambiente con alta complejidad y heterogeneidad y abundancia de recursos como alimento y refugio, los que parecen mantenerse estables estacionalmente. Los desiertos son sistemas regulados principalmente por el agua, lo que determina la distribución y disponibilidad de alimentos (Kelt et al. 1996). Si bien es esperable que el área en donde se realizó este estudio presente una productividad baja al estar en una ecorregión desértica, los roquedales presentan una productividad mayor y son más estables que la planicie y ladera. Los roquedales ofrecen alimento y refugios frente a las rigurosas condiciones imperantes en el área, al igual que lo argumentando en otros trabajos (Mares 1997; Fredericksen et al. 2003; ver revisión Nutt 2007; Campos & Giannoni 2013). Los roquedales representan puntos calientes de biodiversidad, ya que albergan comunidades bióticas únicas y altos niveles de endemismo, al poseer una singular riqueza de flora y fauna (Porembski 2000; Fredericksen et al. 2003). Por estos mismos motivos, los roquedales han sido considerados importantes a nivel mundial (Porembski 2000). Sin embargo, estos ambientes han recibido escasa atención y se encuentran entre los ecosistemas menos estudiados del mundo, probablemente por su relativa inaccesibilidad (Porembski 2000). Según los resultados del presente trabajo, si bien el valor de los roquedales no se destaca por la diversidad que albergan, sí son importantes como reservorio de la abundancia de micromamíferos del área protegida.
CONCLUSIÓN
Se registró la composición, riqueza y diversidad de los pequeños mamíferos en los tres ambientes presentes en la Puna Desértica de un área protegida de la provincia de San Juan. La dominancia de P. xanthopygus, una especie asociada a roquedales, explica la menor diversidad y equitatividad del roquedal, el ambiente más heterogéneo y complejo. En la planicie, el ambiente más simple, alberga la mayor diversidad, explicada por la riqueza de especies presentes y su alta equitatividad. Además, la baja abundancia de micromamíferos en este ambiente se explica por la escasa cobertura vegetal y la falta de refugios, al no presentar rocas de mediano y gran tamaño. Eligmodontia sp., una especie asociada a ambientes abiertos, fue la más abundante en este ambiente y nunca fue registrada en el roquedal. En la ladera, de heterogeneidad y complejidad intermedia, se encontraron abundancias medias de las tres especies de roedores. En el roquedal, la alta y estable abundancia de P. xanthopypus y A. andina en las cuatro estaciones, indicaría que este es un ambiente con alta disponibilidad y estabilidad de recursos. El roquedal es el ambiente que ofrecería mayores recursos alimenticios y refugio para afrontar las rigurosas condiciones imperantes del área de estudio, por lo que es el ambiente que soporta la mayor abundancia de micromamíferos de la Puna Desértica. Destacamos, la importancia de este estudio porque aporta al conocimiento de una provincia escasamente estudiada en cuanto a los micromamíferos que se distribuyen en ella.
Agradecimientos
Agradecemos al señor Arturo Curatola por su hospitalidad y permitirnos utilizar las instalaciones de la Reserva de Uso Múltiple Don Carmelo. Queremos agradecer a Natalia Andino, Viviana Fernández y Valeria Campos por sus comentarios y sugerencias sobre el primer borrador del manuscrito. Al grupo INTERBIODES por sus comentarios y a Gustavo Rivero, Cynthia González Rivas y Mauricio Pérez por su asistencia en las tareas de campo. Los autores también desean agradecer a los revisores anónimos por sus útiles comentarios. Esta investigación fue parcialmente financiada mediante el subsidio CICITCA E/920 (UNSJ, Argentina).
Referencias
Adam, M., K. Welwgerima, & Y. Meheretu. 2015. Abundance and community composition of small mammals in different habitats in Hugumburda forest, northern Ethiopia. International Journal of Biodiversity & Conservation 7:119-125. https://doi.org/10.5897/ijbc2014.0787
Albanese, S., & R. A. Ojeda. 2012. Habitat use by a Neotropical desert marsupial (Thylamys pallidior): a multi-scale approach. Mammalian Biology 77:237-243. https://doi.org/10.1016/j.mambio.2011.12.005
Andino, N., & C. E. Borghi. 2017. Occurrence of Ctenomys mendocinus in a high-altitude cold desert: effect on density, biomass, and fitness of sagebrush plants. Arctic, Antarctic & Alpine Research 49:53-60. https://doi.org/10.1657/aaar0015-061
August, P. V. 1983. The role of habitat complexity and heterogeneity in structuring tropical mammal communities. Ecology 64:1495-1507. https://doi.org/10.2307/1937504
Barquez, R. M., M. Díaz, & R. A. Ojeda. 2006. Mamíferos de Argentina: sistemática y distribución. Sociedad Argentina para el Estudio de los Mamíferos, Tucumán.
Barton, K. 2018. Package ‘MuMIn’: Multi-model Inference. R Package, version 1.42.1 https://cran.r-project.org/web/packages/MuMIn/MuMIn.pdf
Beniston, M. 2000. Environmental change in mountains and uplands. Arnold/Hodder and Stoughton/Chapman and Hall Publishers, London, UK.
Bonaventura, s. m., r. Tecchi, V. Cueto, & M. I. Sánchez-López. 1998. Patrón de uso de hábitat en roedores cricetidos en la Reserva de Biosfera Laguna de Pozuelos. Bases para la conservación y manejo de la puna y cordillera frontal de Argentina (J. L. Cajal, J. García-Fernández & R. Tecchi, eds.). El rol de las Reservas de Biosfera. Montevideo, Uruguay.
Borghi, C. E., & S. M. Giannoni. 2007. Mamíferos. Diversidad biológica y cultural de los Altos Andes Centrales de Argentina (E. Martinez-Carretero, ed.). Línea de Base de la Reserva de Biosfera San Guillermo, San Juan.
Bos, D. G., S. M. Carthew, & M. F. Lormer. 2002. Habitat selection by the small dasyurid Ningaui yvonneae (Marsupialia: Dasyuridae) in South Australia. Austral Ecology 27:103-109. https://doi.org/10.1046/j.1442-9993.2002.01163.x
Braun, J. K, R. A Van den Bussche, P. K. Morton, & M. A. Mares. 2005. Phylogenetic and biogeographic relationships of mouse opossums Thylamys (Didelphimorphia, Didelphidae) in southern South America. Journal of Mammalogy 86:147-159. https://doi.org/10.1644/1545-1542(2005)086 < 0147:pabrom > 2.0.co;2
Brown, A., U. Martinez Ortiz, M. Acerbi, & J. F. Corcuera. 2006. La situación ambiental argentina 2005. Buenos Aires. Fundación Vida Silvestre Argentina.
Burnham, K. P. & D. R. Anderson. 2002. Model selection and multimodel inference. A practical information – Theoretic approach. Springer, New York.
Burnham, K. P., D. R. Anderson, & K. P. Huyvaert. 2011. AIC model selection and multimodel inference in behavioral ecology: some background, observations, and comparisons. Behavioral Ecology and Sociobiology 65:23-35. https://doi.org/10.1007/s00265-010-1029-6
Campos, V. E., & S. M. Giannoni. 2013. Habitat selection by the viscacha rat (Octomys mimax, Rodentia: Octodontidae) in a spatially heterogeneous landscape. Mammalia 78:223-227. https://doi.org/10.1515/mammalia-2013-0078
Cardinale, B. J. et. al. 2006. Effects of biodiversity on the functioning of trophic groups and ecosystems. Nature 443:989-992.
Chapin F. S. et al. 2000. Consequences of changing biodiversity. Nature 405:234-242.
Colwell, R. K. 2018. Estimate S 9.1.0. 2016. http://viceroy.eeb.uconn.edu/estimates/.
Crawley, M. J. 2007. The R book. John Wiley and Sons Ltd., Chichester, UK.
Cosacov, A., A. N. Sersic, V. Sosa, J. A. De-Nova, S. Nylinder, & A. A. Cocucci. 2009. New insights into the phylogenetic relationships, character evolution, and phytogeographic patterns of Calceolaria (Calceolariaceae). American Journal of Botany 96:2240-2255. https://doi.org/10.3732/ajb.0900165
Diaz, H. F., M. Grosjean, & L. Graumlich. 2003. Climate variability and change in high elevation regions: past, present and future. Climatic Change 59:1-4. https://doi.org/10.3732/ajb.0900165
Díaz, M. M., & R. M. Barquez. 2007. The wild mammals of Jujuy province, Argentina: systematics and distribution. The quintessential naturalist, honoring the life and legacy of Oliver P. Pearson (D. A. Kelt, E. P. Lessa, J. Salazar-Bravo & J. L. Patton, eds.). University of California Publications in Zoology, Berkeley. https://doi.org/10.1525/california/9780520098596.003.0001
Ferro, I. 2013. Rodent endemism, turnover and biogeographical transitions on elevation gradients in the northwestern Argentinian Andes. Mammalian Biology 78:322-331. https://doi.org/10.1016/j.mambio.2013.02.005
Ferro, I., & R. M. Barquez. 2009. Species richness of nonvolant small mammals along elevational gradients in northwestern Argentina. Biotropica 41:759-767. https://doi.org/10.1111/j.1744-7429.2009.00522.x
Ferro, I., & R. M. Barquez. 2014. Patrones de distribución de micromamíferos en gradientes altitudinales del noroeste Argentino. Revista Mexicana de Biodiversidad 85:472-490. https://doi.org/10.7550/rmb.38029
Formoso, A. E., P. Teta, A. E. Carbajo, & U. F. Pardiñas. 2016. Unraveling the patterns of small mammal species richness in the southernmost aridlands of South America. Journal of Arid Environments 134:136-144. https://doi.org/10.1016/j.jaridenv.2016.07.007
Fox, J. 2003. Effect Displays in R for Generalised Linear Models. Journal of Statistical Software 8:1-27.
Fredericksen, N. J., T. S. Fredericksen, B. Flores, E. McDonald, & D. Rumiz. 2003. Importance of granitic rock outcrops to vertebrate species in a Bolivian tropical forest. Tropical Ecology 44:185-196.
Giannoni, S., M. Dacar, P. Taraborelli, & C. Borghi. 2001. Seed hoarding by rodents of the Monte Desert, Argentina. Austral Ecology 26:259-263. https://doi.org/10.1046/j.1442-9993.2001.01112.x
Global Biodiversity Information Facility. 2011. Free and open access to biodiversity data. www.gbif.org. Acceso Mayo 2017.
Gonnet, J. M., & R. A. Ojeda. 1998. Habitat use by small mammals in the arid Andean foothills of the Monte Desert of Mendoza, Argentina. Journal of Arid Environments 38:349-357. https://doi.org/10.1046/j.1442-9993.2001.01112.x
Gotelli, N. J., & R. K. Colwell. 2011. Estimating species richness. Frontiers in Measuring Biodiversity (A. E. Magurran & B. J. McGill, eds.). Oxford University Press, Oxford.
Grêt-Regamey, A. et al. 2011. Securing hydrological ecosystem services through catchment-wide land use management. Managing alpine future II: Inspire and drive sustainable mountain regions. Proceedings of the Innsbruck Conference (A. Borsdorf, J. Stötter & E. Veulliet, eds.). Verlag der Österreichischen Akademie der Wissenschaften.
Hill, M. 1973. Diversity and evenness: A unifying notation and its consequences. Ecology 54:427-432. https://doi.org/10.2307/1934352
Ibarguchi, G. 2014. From Southern Cone arid lands, across Atacama, to the Altiplano: biodiversity and conservation at the ends of the world. Biodiversity 15:255-264. https://doi.org/10.1080/14888386.2014.973446
Jayat, J. P., G. D’Elia, U. F. J. Pardiñas, & J. G. Namen. 2007. A new species of Phyllotis (Rodentia, Cricetidae, Sigmodontine) from the upper montane forest of the Yungas of northwestern Argentina. The quintessential naturalist: honoring the life and legacy of Oliver P. Pearson (D. A. Kelt, E. P. Lessa, J. Salazar-Bravo & J. L. Patton, eds.). University of California Publications in Zoology. https://doi.org/10.1525/california/9780520098596.003.0022
Jayat, J. P., P. E. Ortiz, & M. D. Miotti. 2008. Distribución de sigmodontinos (Rodentia: Cricetidae) en pastizales de neblina del noroeste argentino. Acta Zoológica Mexicana 24:137-177. https://doi.org/10.21829/azm.2008.243913
Jayat, P. J., P. E. Ortiz, S. Pacheco, & R. Gonzalez. 2011. Distribution of sigmodontine rodents in Northwestern Argentina: main gaps in information and new records. Mammalia 75:53-68. https://doi.org/10.1515/mamm.2010.067
Jost, L. 2006. Entropy and diversity. Oikos 113:363-375.
Jost, L. 2010. The relation between evenness and diversity. Diversity 2:207-232. https://doi.org/10.3390/d2020207
Kelt, D. A. et al. 1996. Community structure of desert small mammals: comparison across four continents. Ecology 77:746-761.
Loreau, M. et al. 2002. A new look at the relationship between diversity and stability. Biodiversity and ecosystem functioning: synthesis and perspectives. (M. Lorea, M., Naeem & S. Inchaustieds.). Oxford University Press, Oxford.
Magurran, A. E. 2004. Measuring biological diversity. Blackwell Publishing, Oxford.
Mares, M. A. 1997. The geobiological interface: Granitic outcrops as a selective force in mammalian evolution. Journal of the Royal Society of Western Australia 80:131-139.
Mares, M. A, R. A. Ojeda, J. K. Braun, & R. M. Barquez. 1997. Systematics, distribution, and ecology of the mammals of Catamarca Province, Argentina. Life among the muses: papers in honor of James S. Findley (T. L. Yates, W. L. Gannon & D. E. Wilson, eds.). The Museum of Southwestern Biology, University of New Mexico, Albuquerque.
Márquez, J., Y. Ripoll, A. Dalmasso, M. Ariza, & M. Jordan. 2014. Árboles nativos de la provincia de San Juan. Universidad Nacional de San Juan. San Juan. https://doi.org/10.22201/fi.25940732e.2012.13n1.011
Martínez-Carretero, E. 1995. La Puna argentina: delimitación general y división en distritos florísticos. Boletín de la Sociedad Argentina de Botánica 31:27-40. https://doi.org/10.31055/1851.2372.v52.n1.16904
McCoy, E. D., & S. S. Bell. 1991. Habitat structure: the evolution and diversification of a complex topic. Habitat structure: the physical arrangement of objects in space (S. S. Bell, E. D. McCoy & H. R. Mushinsky, eds.). Chapman and Hall, New York. https://doi.org/10.1007/978-94-011-3076-9_1
Millenium Ecosystem Assessment. 2005. Ecosystems and human well-being: current state and trends. Findings of the condition and trends working group. Millenium ecosystem, assessment series (R. Hassan & Ash. N. Scholes, eds.) Island Press, Washington.
Moreno, C. E., F. Barragán, E. Pineda, & N. P. Pavón. 2011. Reanálisis de la diversidad alfa: alternativas para interpretar y comparar información sobre comunidades ecológicas. Revista Mexicana de Biodiversidad 82:1249-1261.
National Research Council. 1999. Our Common Journey: a transition toward sustainability. National Academy Press, Washington, D.C. USA. https://doi.org/10.5751/es-00153-040117
Novillo, A., & R. A. Ojeda. 2012. Diversity and distribution of small mammals in the South American dry Andes. Austral Ecology 37:758-766. https://doi.org/10.1111/j.1442-9993.2011.02336.x
Novillo, A., & R. A. Ojeda. 2014. Elevation patterns in rodent diversity in the dry Andes: disentangling the role of environmental factors. Journal of Mammalogy 95:99-107. https://doi.org/10.1644/13-mamm-a-086.1
Novillo, A. et al. 2017. Habitat selection and coexistence in small mammals of the southern Andean foothills (Argentina). Mammal Research. https://doi.org/10.1007/s13364-017-0309-1
Nutt, K. J. 2007. Socioecology of rock-dwelling rodents. Rodent societies: an ecological and evolutionary perspective. (J. O. Wolf & P. W. Sherman, eds.). University of Chicago Press, Chicago.
Ojeda, R. A., P. G. Blendinger, & R. Brandl. 2000. Mammals in South American drylands: faunal similarity and trophic structure. Global Ecology & Biogeography 9:115-23. https://doi.org/10.1644/13-mamm-a-086.1
Ojeda, R. A., & S. Tabeni. 2009. The mammals of the Monte desert revisited. Journal of Arid Environments 73:173-181. https://doi.org/10.1016/j.jaridenv.2007.09.008
Oksanen, J. et al. 2012. Vegan: community Ecology Package. R Package 2.0.3. http://CRAN.R-project.org/package = vegan.
Ortiz, P. E., S. Cirignoli, D. H. Podesta, & U. F. J. Pardiñas. 2000. New records of sigmodontine rodents (Mammalia: Muridae) from high-andean localities of northwestern Argentina. Biogeographica 76:133-140.
Ortiz P. E., F. R. González, J. P. Jayat, U. F. Pardiñas, S. Ciringoli, & P. Teta. 2010. Dieta del búho magallánico (Bubo magellanicus) en los Andes del noroeste argentino. Ornitología Neotropical 21:591-598.
Palma, R. E., E. Rivera-Milla, T. L. Yates, P. A. Marquet, & A. Meynard. 2002. Phylogenetic and biogeographic relationships of the mouse opossum Thylamys (Didelphimorphia, Didelphidae) in southern South America. Molecular Phylogenetics & Evolution 25:245-253. https://doi.org/10.1016/s1055-7903(02)00242-7
Porembski, S. 2000. The invasibility of tropical granite outcrops (‘inselbergs’) by exotic weeds. Journal of the Royal Society of Western Australia 83:131-137.
R Development Core Team. 2018. R: A Language and environment for statistical computing. R Foundation for Statistical Computing, Vienna, Austria.
Rodríguez, D., & R. A. Ojeda. 2013. Scaling coexistence and assemblage patterns of desert small mammals. Mammalian Biology 78:313–321. https://doi.org/10.1016/j.mambio.2013.04.003
Rodríguez, D., & R. A. Ojeda. 2014. Scaling functional diversity of small mammals in desert systems. Journal of Zoology 293:262-270. https://doi.org/10.1111/jzo.12142
Roserzweig, M. L., & J. Winakur. 1969. Population ecology of desert rodent communities: habitats and environmental complexity. Ecology 50:558-572. https://doi.org/10.1111/jzo.12142
Siegel, S., & N. J. Castellan. 1988. Nonparametric statistics for the behavioural sciences. McGraw-Hill, New York.
Simonetti, J. A., E. R. Fuentes, & R. D. Otaiz. 1985. Habitat use by two rodent species in the high Andes of central Chile. Mammalia 49:19-25. https://doi.org/10.1111/jzo.12142
Simonetti, J. A. 1989. Microhabitat use by mammals in central Chile. Oikos 56:309-318. https://doi.org/10.1111/jzo.12142
Tabeni, S., L. Mastrantonio, & R. A. Ojeda. 2007. Linking small desert mammal distribution to habitat structure in a protected and grazed landscape of the Monte, Argentina. Acta Oecologica 31:259-269. https://doi.org/10.1016/j.actao.2006.11.002
Traba, J., P. Acebes, V. E. Campos, & S. M. Giannoni. 2010. Habitat selection by two sympatric rodent species in the Monte Desert, Argentina. First data for Eligmodontia moreni and Octomys mimax. Journal of Arid Environments 74:179-185. https://doi.org/10.1016/j.jaridenv.2009.06.017
Toumisto, H. 2010. A diversity of beta diversities: straightening up a concept gone awry. Part 1. Defining beta diversity as a function of alpha and gamma diversity. Ecography 33:2-22. https://doi.org/10.1111/j.1600-0587.2009.05880.x
Venables, W. N., & B. D. Ripley. 2002. Modern Applied Statistics with S. Paquete R, New York. URL http://www.stats.ox.ac.uk/pub/MASS4
Verbist, K., F., Santibañez, D. Gabriels, & G. Soto. 2010. Atlas de Zonas Áridas de América Latina y el Caribe. Documento Técnico 25 del PHI-LAC, UNESCO.
Whitford, W. 2002. Ecology of desert systems. Academic Press. London.
Apéndice 1
Abundancias de micromamíferos totales para la reserva de Don Carmelo entre los ambientes Roquedal, Ladera y Planicie. Los parámetros calculados fueron, Ind/ha: Individuos por hectárea, (Var) Varianza, A: Abundancia, ♀: hembras, ♂: machos, NI: sexo no identificado Fr: frecuencia de captura, (c): capturabilidad (frecuencia de captura por especie por ambiente/total de noches trampa *100).

Información adicional
Editor asociado: C. Lanzone