ARTÍCULO
LOCOMOTION IN THE FASTEST RODENT, THE MARA Dolichotis patagonum (CAVIOMORPHA; CAVIIDAE; DOLICHOTINAE)
Locomoción en el roedor más veloz, la mara Dolichotis patagonum (Caviomorpha; Caviidae; Dolichotinae)
LOCOMOTION IN THE FASTEST RODENT, THE MARA Dolichotis patagonum (CAVIOMORPHA; CAVIIDAE; DOLICHOTINAE)
Mastozoología Neotropical, vol. 26, no. 1, pp. 65-79, 2019
Sociedad Argentina para el Estudio de los Mamíferos
Received: 06 April 2018
Accepted: 19 September 2018
Abstract: Although rodents can move fast, they are in general considered non-cursorial mammals, with the notable exception of some species within the suborder Caviomorpha which are convergent with small-sized artiodactyls. The mara, Dolichotis patagonum (average body mass: 8 kg), is a member of the family Caviidae which occupies relatively open habitats in southern South America, and shows remarkable anatomical traits associated to fast locomotion. These include elongated limbs, especially their distal segments, a digitigrade foot posture, and muscles attached near limb joints. However, its locomotor behavior is not yet well understood. Here we focus on the mara’s locomotor kinematics, especially on the gaits performed at different speeds, and provide new data and analyses. By means of high-speed video-recordings, it was observed that maras use lateral walk at low speeds and pace at moderate speeds. By implementing half bound maras reached their maximum speed at 36 km/h, i.e. 14.3 body length/s. It was also confirmed that maras are able to perform pronking, a probable alarm or fitness signal. Kinematic parameters (e.g. duty factor; stride frequency), and comparisons of running speed with other caviomorph and artiodactyl species are also provided.
Keywords: evolutionary convergence, gait, kinematic parameters, mammal locomotion, running adaptation.
Resumen: Aunque relativamente veloces, los roedores en general son considerados mamíferos no cursoriales, con la notable excepción de algunas especies dentro del suborden Caviomorpha, las que son consideradas convergentes con artiodáctilos de pequeño tamaño. La mara Dolichotis patagonum, es una especie perteneciente a la Familia Caviidae que se distribuye en hábitats relativamente abiertos de la porción sur de Sudamérica. Las maras presentan una anatomía especialmente adecuada para alcanzar elevadas velocidades de desplazamiento, incluyendo extremidades alargadas (especialmente sus segmentos distales), una postura digitígrada, e inserciones musculares cercanas a las articulaciones de los miembros. En el presente trabajo nos enfocamos en la cinemática de la locomoción de la mara, especialmente en el tipo de paso (en inglés “gait”) utilizado a diferentes velocidades, aportando nuevos datos y análisis. Mediante el uso de video filmación de alta velocidad, se observó que las maras utilizan la caminata lateral a bajas velocidades, mientras que la marcha al paso (a veces denominada ambladura) se utiliza a velocidades moderadas. Mediante el medio salto las maras alcanzaron su velocidad máxima, la cual fue de 36 km/h, i.e. 14.3 longitud corporal/s. Se confirmó también que las maras son capaces de realizar pronking, probablemente una señal de alarma o de fortaleza física. Se calcularon parámetros cinemáticos tales como el factor de carga, la longitud y la frecuencia del paso. La velocidad y los tipos de paso utilizados por las maras fueron comparados con los de otras especies de roedores caviomorfos y de artiodáctilos de pequeño tamaño corporal.
Palabras clave: adaptaciones a la velocidad, convergencia evolutiva, locomoción en mamíferos, parámetros cinemáticos, tipo de paso.
INTRODUCTION
Locomotor behavior directly affects the animals’ performance regarding crucial activities such as food searching, escape from predators, and intraspecific interactions, among others. Terrestrial mammals have evolved a huge diversity of locomotor modes (Renous & Gasc 1982; Hildebrand 1989; Biewener 1990) which have been related to instances of climatic and geological evolution. For example, Cenozoic aridity and cooling cycles gave rise to open environments —typically grasslands and steppes—which, in turns, led to convergent anatomical changes associated to fast locomotion in certain mammalian taxa (Feldhamer et al. 2007). In addition to environmental influences on locomotion, it is well established that predator-prey relationships have promoted the coevolution of some lineages (e.g. carnivores and ungulate prey), resulting in the enhancement of running adaptations (Janis & Wilhelm 1993; Andersson & Werdelin 2003).
Those mammals that usually run, and carry anatomical modifications associated to increased speed or endurance, are called “cursorial”—a term which has been described ambiguously sometimes but that is commonly used in locomotion studies (Stein & Casinos 1997; see also Biewener 2003). Typical anatomical modifications that increase speed include limb lengthening—especially of its distal segments—, upright stance, unguligrade or digitigrade foot posture, and limb muscles attachments placed near the joints, among other features (Alexander 2003; Biewener 2003; Hildebrand & Goslow 2005). In contrast, non-cursorial mammals can reach high speeds only during short events because of the lack of the required postural and structural modifications. Rodents are typically considered non-cursorial mammals, with the notable exception of some species within Caviomorpha, a group which has inhabited South America since about 40 million years ago (Antoine et al. 2011; Vassallo & Antinuchi 2015). These rodents have radiated occupying different ecological niches, and show morphological and physiological features related to diverse locomotor modes, such as digging (e.g., tuco-tucos, coruros, and degus), swimming (e.g., coypus and capybaras), climbing (e.g., American porcupines and spiny rats), and fast locomotion both in open and closed habitats (e.g., maras and agoutis, respectively). Some of the fastest caviomorph rodents show evolutionary parallelism to small sized artiodactyls, as evidenced by the anatomy and biomechanics of their long bones (Rocha-Barbosa & Casinos 2011). Another convergent feature with artiodactyls is straighter upright limbs, which results in maras having a much elevated body position for a rodent (Pike & Alexander 2002; Elissamburu & Vizcaíno 2004). A change from a crouched to an upright limb posture in a relatively large rodent such as the mara is related to allometry issues and forces required to support body weight. An upright posture increases the mechanical advantage of limb muscles, reducing the force they must exert to counteract the ground reaction force (Biewener 1989). As a result, stresses experienced by limb bones during locomotion are significantly reduced.
The mara Dolichotis patagonum, Zimmermann, 1780 (body mass range: 7.73-8.33 kg, Campos et al. 2001) is the extant rodent with the most pronounced postcranial specializations for fast locomotion (Elissamburu & Vizcaíno 2004), most likely as an adaptation for predation avoidance. Maras inhabit open environments in southern South America co-occurring with fast predators such as pumas and culpeo foxes. The mara has a slender body and the relatively longest limbs amongst running caviomorph rodents (Elissamburu & Vizcaíno 2004). The radius and ulna, as well as the metatarsal, are particularly elongated (Fig. 1).

Mammals could change their gait (i.e. the relative timing of stance/suspension phase among the anterior and posterior limbs during stride) when they move at different speeds (e.g. Rubin & Lanyon 1982; Taylor 1985; Heglund & Taylor 1988). Although the mara is a fast runner (Rood 1972; for reviews on rodent speed see Garland 1983, Iriarte-Díaz 2002), able to use different gaits (Hildebrand 1977), most likely as a combination of behavioral and anatomical characteristics (Álvarez et al. 2013), its locomotor cycle, maximum speed, and the gaits performed at different speeds have not been analyzed in detail yet. We report a kinematic analysis of locomotion in the species using high-speed video recordings and compare running speed and locomotion in maras with those of other species of cursorial caviomorph rodents and small artiodactyls.
MATERIAL AND METHODS
Ten adult maras, housed in a ~1 ha enclosure at Batán Zoo (Batán, Buenos Aires province, Argentina), were used to assess the species locomotion mode. Animals were recorded in lateral view for two consecutive days (11-12 November 2012) using a Casio Exilim EX-F1 Digital (300-600 FPS) video camera fixed on a tripod. They were urged to move in front of the cameras at various speeds. Three adhesive tapes were stretched on the ground, perpendicular to the cameras and at 50 cm from each other as distance reference due to the enclosure’s width (Fig. 2).

Videos were analyzed frame by frame using the software Tracker Video Analysis and Modeling tool (Douglas Brown, retrieved from http://www.opensourcephysics.org/). Gait diagrams at different speeds, and stance and swing phases were described according to Hildebrand (1966; 1977). A total of 91 video sequences were analyzed for all animals totalizing 282 locomotor cycles. For each gait the following parameters were obtained: duration of both the stance (support) and the suspension (swing) phase (s); duration of locomotor cycle (s); speed (cm/s); frequency of the locomotor cycle (Hz); duty factor, i.e. the percentage of the total cycle at which a given foot is on the ground. A locomotor cycle is considered to start when one foot contacts the ground, and ends when the same contacts the ground again. Here, the right posterior limb was used as reference. Following Hildebrand (1989) gaits were classified as symmetrical when the left and right limbs of a pair alternate, and asymmetrical when the limbs move together.
The previous mentioned measurements were regressed on speed using simple least-squares regression Data obtained for different locomotor gaits were analyzed by means of ANOVA, and post-hoc Tukey tests.
RESULTS
Six locomotor patterns were identified in maras, which include two symmetrical (lateral walk: n = 108, 38%; and pace: n = 68, 24%) and four asymmetrical gaits (rotatory gallop: n = 39, 14%; transverse gallop: n = 34, 12%; half bound: n = 19, 7%; and pronk: n = 14, 5%). It was observed that maras perform a digitigrade locomotion.
Lateral walk consists of a sequence by which a posterior limb is followed by the anterior limb on the corresponding side. Thus, the pattern would be right posterior limb (PR) – right anterior limb (AR) – left posterior limb (PL) – left anterior limb (AL) (Fig. 3). In general, maras are supported by three limbs at a time when moving this way, or even by four limbs at lower speeds.

During pace, the stance and swing phases occur rhythmically, that is, the limbs of the same side touch the ground almost simultaneously, and alternately to the limbs of the other side, followed by a swing phase. The limb support sequence was PR – AR – PL – AL (Fig. 4). Only small vertical movements of the pelvis were observed that resulted in small changes in the center of gravity.

In gallop gaits, stance phases are very short and grouped but not simultaneous. During the long swing phase, the posterior limbs are brought forward until they contact the ground, which occurs immediately followed by the anterior limbs. Maras showed no noticeable flexion of the spine during this locomotion gait. During rotatory gallop, a characteristic circular movement was performed (PR - PL - AL - AR; Fig. 5), whereas during transverse gallop the limb support sequence was PR - PL - AR - AL (i.e., diagonal movement; Fig. 6). Cycles of transverse gallop have longer stance phases when compared to the rotatory gallop, which result in a greater duty factor (Table 1). As galloping maras were supported by no more than two limbs during most of the cycle, this gait is consequently characterized by short high frequency cycles, and long strides. In most cases, the gallop has only one suspension phase which occurs after the end of the contact of the anterior limbs and before the support by posterior limbs. Gallop suspension phase occurs with gathered limbs arranged in the so-called “flexed flight” (Hildebrand 1977) (Fig. 6). Hind- and forelimbs do not intersect at any stage of the cycle.



When performing half bound, maras reached the highest speeds in this study. Here, the posterior limbs contact the ground almost simultaneously, while the anterior limbs contact the ground after a relatively long suspended phase—right side before left side (Fig. 7). The anterior limbs showed relatively short support phases when compared to the posterior limbs. The suspension phase occurs with all limbs being fully extended (differing from gallop gaits).

Maras performed pronk, in which all limbs start either suspension or stance phase almost simultaneously (Fig. 8). During this gait, the animals display a long suspension phase while the stance phase is relatively short. Main body posture in maras is linked to this type of locomotion, as observed in artiodactyls: the limbs are held in a relatively rigid disposition whereas the back is arched.

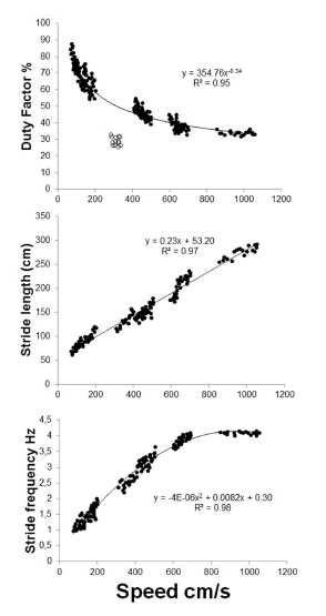
Calculated gait parameters (i.e., cycle duration, stride length, speed, duty factor and frequency) for all gaits performed by maras are showed in Table 1. ANOVA and Tukey tests showed that rotatory gallop and half bound differed significantly (p < 0.05) for all measurements, except for cycle duration (p = 0.64) and frequency (p = 0.72). Regression analyses showed that locomotor variables changed with speed both positively (i.e., stride length and cycle frequency) and negatively (i.e., duty factor) (Fig. 9). Pronk diverged from the other gaits in the relationship between speed and duty factor (Fig. 9, upper panel). It was observed that beyond 600 cm/s (21.6 km/h) stride frequency stabilizes (Fig. 9, lower panel).

Maximum absolute running speed measured in maras was greater than published values for cursorial caviomorph rodents inhabiting forest habitats (e.g., the agouti Dasyprocta leporina and the red acouchi Myoprocta acouchy), and comparable with those reported for small artiodactyls such as the dik-dik Madoqua kirki and the oribi Ourebia ourebi (Table 2). Rood (1972) estimated a speed of 45 km/h for a specimen of mara observed under field conditions, which is a higher value than that obtained in our study (Table 2). Maximum relative running speed (body length/s) in maras does not substantially depart from that expected for an artiodactyl species of similar body mass (Fig. 10).


In summary, maras displayed symmetrical gaits at low and moderate speeds whereas they displayed asymmetrical gaits at high and maximum speeds (Table 1).
DISCUSSION
Maras perform quite a diverse set of gaits, which can be used in different activities in the open environments typically inhabited by this species in southern South America. Some of them, such as pace, gallop and pronk, are clearly linked to the acquisition of morphological specializations for cursorial locomotion which are convergent with those of small sized artiodactyls. Records of maximum relative running speed (body length/s) in maras close to those observed in artiodactyls of similar body mass is further evidence in favor of the hypothesis of convergence.
The slowest gait used by maras, lateral walk, is characterized by the largest locomotor cycle and lowest stride frequency. These attributes coupled with a relatively short stride (Table 1) result in a relatively low speed (Taylor et al. 1970; Bejan & Marden 2006). The use of lateral walk at low speeds is the rule for most terrestrial mammals, except for primates (Cartmill et al. 2002; Schmitt & Lemelin 2002; Hildebrand & Goslow 2005). This gait requires relatively low energy expenditure (Alexander 2003). Maras’ lateral walk has no suspension phase, which is consequently related to a high duty factor, as it has been also observed in other cavioid rodents such as pacas Cuniculus paca, cuis Cavia sp., and capybaras Hydrochoerus hydrochaeris (Rocha-Barbosa 1997; Loguercio 2005, 2007; Rocha-Barbosa et al. 2015). Low-speed locomotion was analyzed by Osbahr & Azumendi (2009) in two species of caviomorph rodents; Cuniculus taczanowskii (body mass 5-7 kg) and Dinomys branickii (body mass 10-15 kg), with a similar size to that of the mara, but of contrasting physiognomy. These authors showed that, in the case of C. taczanowskii, a combination of relatively short limbs with a digitigrade locomotion allows this species to use trot to move faster. On the other hand, D. branickii, which performs a plantigrade locomotion and has a higher brachial index (i.e. radius length/humerus length, Osbahr et al. 2009), increases the speed by accentuating the “anadeante” (like a duck) movement, typical of this species. Cuniculus taczanowskii and D. branickii, although showing a somewhat upright stance, have markedly shorter limbs than the mara, which is directly related to differences in walking speed: Osbahr & Azumendi (2009) estimated a lateral walking speed of around 1 km/h for both species (4 times slower than maras, Table 1).
The pace is characterized as an intermediate locomotor gait. Synchrony of limbs and rhythmicity of swing/stance phases confirm that it is a symmetrical gait (Hildebrand 1966; Renous 1994). Due to the moderate speed that maras achieve by this gait, it does not seem adequate for escaping from their typical predators: culpeo and grey foxes, and pumas (Zapata et al. 2007; Zanón et al. 2012). Pace serves most likely as a transitional gait from a faster pattern to a slower one and viceversa, e.g. from pace to transverse gallop. Renous (1994) described this gait as a locomotor mode that animals use for low speed escapes. Other caviomorph rodents, as most mammals, usually perform trot at moderate running speeds (Gambaryan 1974; Rocha-Barbosa 1997; Alexander 2003; Osbahr & Azumendi 2009; Rocha-Barbosa et al. 2015); pacing in maras is thus a unique behavior within rodents, most likely because of their long limbs. During pace the spine moves laterally (Jenkins & Camazine 1977) being dorso-ventrally stable, as described for Dasyprocta (Gambaryan 1974). This happens because the center of mass is slightly off-center during movement, which impairs the balance of the animal (Kar et al. 2003). Due to this partially reduced stability, it has been suggested that pace would be disadvantageous for short-legged animals, as most rodents are. On the other hand, this gait offers an important advantage for long-limbed animals, such as maras, since the hindlimb does not interfere with the movement of the forelimb. Although not all long-limbed animals perform this locomotor pattern, all animals that perform it have long limbs (Kar et al. 2003). In a pioneering study of gaits in mammals Dagg (1973) argued that because of its reduced stability, pace is only useful on flat ground, also noting that this is an unusual gait. She argued that the camel (Camelus dromedarius) has developed pace because of this species’ flat desert habitat, an argument that could also be applied to maras; and in addition proposed a set of suitable anatomies for the pace. One is to possess a rather large size, so the animals do not move too far sideways while being alternately supported by each pair of left and right limbs. Other consists in a “slim build so that the center of gravity of the animal can more or less be shifted over these supporting limbs.” Clearly, the mara fits into this second alternative.
Pronk, in which all feet move simultaneously, has the longest swing phase and, consequently, the lowest duty factor observed in maras. As in several species of artiodactyls, this mode of locomotion consists essentially in all limbs providing impulse to the body at once, thus moving both forward and upward, reaching a considerable height (Zahavi 1997; Simmons & Ekarius 2001; Stankowich & Coss 2007). Therefore, there is no shift between cycles of individual limbs, i.e. all limbs are either at stance phase or at suspension phase. The pronk is an uncommon gait in mammals; it has been previously reported for the mara, the jumping mouse Zapus (Hildebrand 1977) and several genera of artiodactyls (Dagg 1973). Due to its moderate speed and high energy demand, it does not seem to be a useful gait for escaping from predators either. Caro (1986) identified some proximal causes (not mutually exclusive) to interpret pronk: 1) it is an alarm signal directed to other individuals of the herd, indicating the proximity of a predator, thereby increasing the survival rate of the herd; 2) it is a fitness signal indicating the strength and ability to escape which tends to discourage persecution by the predator; 3) it is a fitness signal intended for potential mates in a process of sexual selection as it exhibits an adaptation against predators. In our study, pronking was observed when maras moved in response to a rather distant potential threat (i.e. an approaching human during video recording). Probably, the animals that perceived this presence started pronk as an alarm signal, supporting Caro’s first hypothesis.
As observed in capybaras, when maras speed up they change from transverse to rotatory gallop, and finally to half bound (Rocha-Barbosa 1997; Loguercio 2007, 2009). All cavioid rodents studied by Rocha-Barbosa (1997) perform half bound at their highest speed. When performing this gait, cavioids move their limbs asynchronously, which might decrease impact by posterior limbs and the thoracic region of the spine (Gambaryan 1974; Renous 1994). Half bound depends on dorso-ventral extensions and flexions that occur primarily in the lumbar vertebrae. Spine flexion and extension contribute to increase stride length, mainly affecting the swing of the posterior limbs (Rocha-Barbosa 1997; Fischer et al. 2002; Witte et al. 2002). This locomotor mode has an extended suspension phase (Hildeband 1977)—in which none of the extended limbs contact the ground and the body is kept horizontal—and could include additionally a flexed suspension (Dagg & De Vos 1968)—in which posterior and anterior limbs are grouped after the extended suspension phase. Grouping the limbs during half bound suspension phase was also observed in other caviomorph rodents such as the capybara, the agouti, and the red acouchi (Casinos et al. 1996, Rocha-Barbosa 1997; Rocha-Barbosa et al. 2007). Hildebrand (1977) reported maras use bound, a fast gait in which the forelimbs and hindlimbs move together in pairs, hence the animal lands on both forelimbs together (Dagg 1973). In the present study, maras performed the largest stride during both rotatory gallop and half bound, reaching a value close to 3 meters. Álvarez and collaborators (2013) have recently described and discussed some postcranial morphologies that would improve both stride length and speed in maras, such as increased attachment sites for lumbar flexors and extensors, elongated ischium and symphysis, and a deeper tibial’s groove for protecting the knee’s flexor muscle. It has also been suggested that the observed digitigrade posture improves the ability to make long-limb displacements (Hildebrand 1989). This feature seems to provide greater momentum at the end of the support phase/onset of swing phase, which results in a longer stride.
As indicated before, the maximum running speed in the present study, 36 km/h, is lower than the value reported by Rood (1972) who stated that “On one occasion I clocked a Dolichotis running beside my car at 45 km per hr over a distance exceeding 1 km.” Although the value obtained by Rood could have a higher error than our measurements with high speed filming, it is a valid data as it was measured in the field.
As expected, the increase in speed was linked to changes in locomotor parameters. As observed in other rodents such as the guinea pig, the red acouchi, the agouti (Rocha-Barbosa 1997), the capybara (Loguercio 2007), and mammals in general (Heglund et al. 1974; Alexander 2003), maras increase both stride length and frequency in order to increase speed. However, beyond a certain speed, further increase proceeds by stride lengthening, whereas its frequency stabilizes (Fig. 9; Heglund & Cavagna 1985; Heglund & Taylor 1988; Rocha-Barbosa 1997; Alexander 2003). It has been said that frequency stabilization could help decrease energy expenditure during dislocation of the limb due to the action of the limb musculature (see discussions in Heglund & Cavagna 1985). In addition, as observed in maras, mammals usually decrease the duty factor to lengthen stride. Except for pronk, maras reached higher speeds as the duty factor decreased.
A recent review study (Zapata et al. 2015) showed that the percentage of maras in the diet of South American foxes (e.g. Lycalopex culpaeus; L. griseus; L. gymnocercus) is relatively low. Furthermore, maras were poorly represented (~ 5%) in felid diets—mostly in Puma concolor—as compared to other caviomorph rodent species. This suggests that maras, possibly due to their speed, are not easy prey for these predators. It is likely that selection for high speed in maras would have not evolved to escape from extant predators. The radiation of the family Caviidae, which gave rise to modern lineages as the subfamily Dolichotinae that includes extant maras, took place about 9 mya (Vucetich et al. 2015). Thus, the origin of cursorial adaptations of maras and other caviomorphs preceded the arrival in South America of placental predators like those of the reported in Zapata et al. (2015). These adaptations were shaped, probably, by predators such as “terror” birds of the family Phorusrhacidae (estimated maximum running speed: ~50 km/h; Blanco & Jones 2005) and carnivorous metatherian mammals of the extinct order Sparassodonta (unknown maximum running speeds, but some of them presenting cursorial features; Ercoli et al. 2012; Prevosti et al. 2013), whose biochron partially overlap with that of early Dolichotinae.
CONCLUSIONS
This study confirms that maras use a variety of gaits to move at different speeds, and use pronk as a possible alarm or fitness signal. We added a detailed list of explanatory parameters to account for the variation observed in gaits used by maras. The values of some kinematic variables can now be better integrated to anatomical adaptations of the species documented in recent studies. For example, the long stride made by maras during half bound evidenced in the present study are possible, in part, by enlarged areas of insertion for lumbar flexor and extensor muscles, which allow greater flexion and extension movements of the spine. Comparisons made in this study indicate that during gallop and half bound maras can reach their highest speeds, similar to those measured in small-sized artiodactyls, although somewhat lower than that reported in a previous study. Maras can move faster than other species of caviomorph rodents of similar size, even during slower gaits, which could be of importance in behaviors other than predator avoidance, such as the search for food sources or changes in home range. Both postcranial anatomy and locomotor performance in maras are the likely outcome of predator-prey coevolution in the open environments of southern South America.
Referencias
Alexander, R. McN. 2003. Principles of Animal Locomotion. 1st edition. Princeton University Press, Princeton. https://doi.org/10.1515/9781400849512
Alexander, R. McN., V. A. Langman, & A. S. Jayes. 1977. Fast locomotion of some African ungulates. Journal of Zoology 183:291-300.
Álvarez, A., M. D. Ercoli, & F. J. Prevosti. 2013. Locomotion in some small to medium-size mammals: a geometric morphometric analysis of the penultimate lumbar vertebra, pelvis and hindlimbs. Zoology 116:356-371. https://doi.org/10.1016/j.zool.2013.08.007
Anderson, K., & L. Werdelin. 2003. The evolution of cursorial carnivores in the Tertiary: implications of elbow-joint morphology. Proceedings Biological Sciences Supplement 2:S163-5. https://doi.org/10.1098/rsbl.2003.0070
Antoine, P. O. et al. 2011. Middle Eocene rodents from Peruvian Amazonia reveal the pattern and timing of caviomorph origins and biogeography. Proceedings of the Royal Society of London B 279:1319-1326. https://doi.org/10.1098/rspb.2011.1732
Bejan, A., & J. H. Marden. 2006. Constructing animal locomotion from new thermodynamics theory. American Scientist 94:342-349. https://doi.org/10.1511/2006.60.1000
Biewener, A. A. 1989. Scaling body support in mammals: limb posture and muscle mechanics. Science 245:45-8. https://doi.org/10.1126/science.2740914
Biewener, A. A. 1990. Biomechanics of mammalian terrestrial locomotion. Science 250:1097-1103. https://doi.org/10.1126/science.2251499
Biewener, A. A. 2003. Animal locomotion. 1st edition. Oxford University Press, Oxford.
Blanco, R. E., & W. W. Jones. 2005. Terror birds on the run: a mechanical model to estimate its maximum running speed. Proceedings of the Royal Society of London B 272:1769-1773. https://doi.org/10.1098/rspb.2005.3133
Campos, C. M., M. F. Tognelli, & R. A. Ojeda. 2001. Dolichotis patagonum. Mammalian Species 625:1-5.
Caro, T. M. 1986. The functions of stotting in Thomson’s gazelles: some tests of the predictions. Animal Behaviour 34:663-684. https://doi.org/10.1016/S0003-3472(86)80052-5
Cartmill, M., P. Lemelin, & D. Schmitt. 2002. Support polygons and symmetrical gaits in mammals. Zoological Journal of the Linnean Society 136:401-420. https://doi.org/10.1046/j.1096-3642.2002.00038.x
Casinos, A., R. Bodini, & S. Renous. 1996. Locomotion of capybara: biomechanical constraints and ecological role. Annales des Sciences Naturelles-Zoologie et Biologie Animale 17:113-122.
Christiansen, P. 2002. Locomotion in terrestrial mammals: the influence of body mass, limb length and bone proportions on speed. Zoological Journal of the Linnean Society 136:685-714. https://doi.org/10.1046/j.1096-3642.2002.00041.x
Dagg, A. I. 1973. Gaits in mammals. Mammal Review 3:135-154. https://doi.org/10.1111/j.1365-2907.1973.tb00179.x
Dagg, A. I., & A. De Vos. 1968. Fast gaits of pecoran species. Journal of Zoology 155:499-506. https://doi.org/10.1111/j.1469-7998.1968.tb03065.x
Elissamburu, A., & S. F. Vizcaíno. 2004. Limb proportions and adaptations in caviomorph rodents (Rodentia: Caviomorpha). Journal of Zoology 262:145-159. https://doi.org/10.1017/S0952836903004485
Ercoli, M. D., F. J. Prevosti, & A. Álvarez. 2012. Form and function within a phylogenetic framework: locomotory habits of extant predators and some Miocene Sparassodonta (Metatheria). Zoological Journal of the Linnean Society 165:224-251. https://doi.org/10.1111/j.1096-3642.2011.00793.x
Feldhamer, G. A., L. C. Drickamer, S. H. Vessey, J. F. Merritt, & C. Krajewsky. 2007. Mammalogy: adaptation, diversity, and ecology. McGraw‐Hill, New York.
Fischer, M. S., N. Schilling, M. Schmidt, D. Haarhaus, & H. Witte. 2002. Basic limb kinematics of small therian mammals. Journal of Experimental Biology 205:1315-1338.
Gambaryan, P. P. 1974. Adaptation to running in the Rodentia and Marsupialia. How mammals run: anatomical adaptations. (P. P. Gambaryan, ed.). 1st edition. John Wiley & Sons, New York.
Garland, T. Jr. 1983. The relation between maximal running speed and body mass in terrestrial mammals. Journal of Zoology 199:157-170. https://doi.org/10.1111/j.1469-7998.1983.tb02087.x
Heglund, N. C, C. R. Taylor, & T. A. McMahon. 1974. Scaling stride frequency and gait to animal size: mice to horses. Science 186:1112-1113. https://doi.org/10.1126/science.186.4169.1112
Heglund, N. C., & G. A. Cavagna. 1985. Efficiency of vertebrate locomotory muscles. Journal of Experimental Biology 115:283-292.
Heglund, N. C., & C. R. Taylor. 1988. Speed, stride frequency and energy cost per stride: How do they change with body size and gait? Journal of Experimental Biology 138:301-318.
Hildebrand, M. 1966. Analysis of symmetrical gaits of tetrapods. Folia Biotheoretica 6:9-22.
Hildebrand, M. 1977. Analysis of asymmetrical gaits. Journal of Mammalogy 58:131-156. https://doi.org/10.2307/1379571
Hildebrand, M. 1989. The quadrupedal gaits of vertebrates. Bioscience, 39:766-775. https://doi.org/10.2307/1311182
Hildebrand, M., & G. E. Goslow. 2005. Analysis of Vertebrate Structure. 5th edition. John Wiley & Sons, New York.
Iriarte-Díaz, J. 2002. Differential scaling of locomotor performance in small and large terrestrial mammals. The Journal of Experimental Biology 205:2897-2908.
Janis, C. M., & P. B. Wilhelm. 1993. Were there mammalian pursuit predators in the Tertiary? Dances with wolf avatars. Journal of Mammalian Evolution 1:103-125. https://doi.org/10.1007/BF01041590
Jenkins, F. A., & S. M. Camazine. 1977. Hip structure and locomotion in ambulatory and cursorial carnivores. Journal of Zoology 181:351-370. https://doi.org/10.1111/j.1469-7998.1977.tb03249.x
Kar, D. C., K. Kurien Issac, & K. Jayarajan. 2003. Gaits and energetics in terrestrial legged locomotion. Mechanism and Machine Theory 38:355-366. https://doi.org/10.1016/S0094-114X(02)00124-6
Loguercio, M. F. C. 2005. Desempenho e comportamento locomotor da capivara, Hydrochoerus hydrochaeris, Linnaeus 1766 (Rodentia: Cavioidea). Tesis de Maestría. Universidade do Estado do Rio de Janeiro, Río de Janeiro, Brasil.
Loguercio, M. F. C. 2007. Desempenho e comportamento locomotor da capivara, Hydrochoerus hydrochaeris (Rodentia: Cavioidea). Mastozoologia Neotropical 14:7.
Loguercio, M. F. C. 2009. Reconstrução tridimensional da locomoção em Hydrochoerus hydrochaeris, Linnaeus 1766 (Rodentia, Caviidae). Tesis de Doctorado. Universidade do Estado do Rio de Janeiro, Río de Janeiro, Brasil.
Osbahr, K., P. Acevedo, A.Villamizar, & D. Espinosa. 2009. Comparación de la estructura y de la función de los miembros anterior y posterior de Cuniculus taczanowskii y Dinomys branickii. Revista U.D.C.A Actualidad & Divulgación Científica 12(1):37-50.
Osbahr K., & J. L. Azumendi. 2009. Comparación de la cinemática de los miembros de dos especies de roedores histricognatos (Cuniculus taczanowskii y Dinomys branickii). Revista U.D.C.A Actualidad & Divulgación Científica 12(2):39-50.
Pike, A.V. L., & R. McN. Alexander. 2002. The relationship between limb-segment proportion and joint kinematics for the hind limbs of quadrupedal mammals. Journal of Zoology 258:427-433. https://doi.org/10.1017/S0952836902001577
Prevosti, F. J., A. Forasiepi, & N. Zimicz. 2013. The evolution of the Cenozoic terrestrial mammalian predator guild in South America: competition or replacement? Journal of Mammalian Evolution 20:3-21. https://doi.org/10.1007/s10914-011-9175-9
Renous, S. 1994. Locomotion. Dunod, Paris.
Renous, S., & J. P. Gasc. 1982. Study of an asymmetrical gait: the gallop. Annales Des Sciences Naturelles-Zoologie et Biologie Animale 4:25-31.
Rocha-Barbosa, O. 1997. Analyse morpho-functionelle des convergences de l’appareil locomoteur de grands rongeurs caviomorphes d’Amerique du Sud et des petits artiodactyles d’Afrique et d’Asie. Tesis de Doctorado. Museum National d’Historie Naturelle, Paris, France.
Rocha-Barbosa, O., M. F. C. Loguercio, S. Renous, & J. P. Gasc. 2007. Comparative study on the forefoot and hindfoot intrinsic muscles of some cavioidea rodents (Mammalia, Rodentia). Zoology 110:58-65. https://doi.org/10.1016/j.zool.2006.05.002
Rocha-Barbosa, O., & A. Casinos. 2011. Geometry and evolutionary parallelism in the long bones of cavioid rodents and small artiodactyls. Journal of Bioscience 36:1-9. https://doi.org/10.1007/s12038-011-9157-3
Rocha-Barbosa, O., M. F. C. Loguercio, A. Casinos, K. S. C. Chagas, & J. Santos. 2015. Ecomorphological and locomotor diversity in caviomorph rodents with emphasis on cavioids. Biology of Caviomorph Rodents: Diversity and Evolution (A. I. Vassallo & D. Antenucci, eds.). SAREM, Series A, Mammalogical Research, Buenos Aires.
Rood, J. P. 1972.Ecological and behavioural comparisons of three genera of Argentine cavies. Animal Behaviour Monographs 5:1-83. https://doi.org/10.1016/S0066-1856(72)80002-5
Rubin, C. T., & L. E.. Lanyon. 1982. Limb mechanics as a function of speed and gait: a study of functional strains in the radius and tibia of horse and dog. Journal of Experimental Biology 101:187-211.
Schmitt, D., & P. Lemelin, 2002. Origins of primate locomotion: gait mechanics of the woolly opossum. American Journal of Physical Anthropology 118:231-238. https://doi.org/10.1002/ajpa.10048
Simmons, P., & C. Ekarius. 2001. Storey’s guide to raising sheep. Storey Publishing, Massachusetts.
Stankowich, T., & R. Coss. 2007. Effects of risk assessment, predator behavior, and habitat on escape behavior in Columbian black-tailed deer. Behavioral Ecology 18:358-367. https://doi.org/10.1093/beheco/arl086
Stein, B. R., & A. Casinos. 1997. What is a cursorial mammal? Journal of Zoology 242:185-192. https://doi.org/10.1111/j.1469-7998.1997.tb02939.x
Taylor, C. R., K. Schmidt-Nielsen, & J. L. Raab. 1970. Scaling of energy cost of running to body size in mammals. American Journal of Physiology 219:1104-1107. https://doi.org/10.1152/ajplegacy.1970.219.4.1104
Taylor, C. R. 1985. Force development during sustained locomotion: A determinant of ait, speed and metabolic power. Journal of Experimental Biology 115:253-262.
Vassallo, A. I., & C. D. Antenucci. 2015. The Biology of Caviomorph rodents: Diversity and Evolution. SAREM, Series A, Mammalogical Research, Buenos Aires.
Vucetich, M. G., M. Arnal, C. M. Deschamps, M. E. Pérez, & C. E. Vieytes. 2015. A brief history of caviomorph rodents as told by the fossil record. Biology of caviomorph rodents: diversity and evolution (A. I. Vassallo & D. Antenucci, eds.). SAREM, Series A, Mammalogical Research, Buenos Aires.
Witte, H. et al. 2002. Torque patterns of the limbs of small therian mammals during locomotion on flat ground. Journal of Experimental Biology 205:1339-1353.
Zanón Martínez, J. I., A. Travaini, S. C. Zapata , D. E. Procopio, & M. A. Santillán. 2012. The ecological role of native and introduced species in the diet of the puma Puma concolor in Southern Patagonia. Oryx 46:106-111. https://doi.org/10.1017/S0030605310001821
Zapata, S. C., A. Travaini, P. Ferreras, & M. Delibes. 2007. Analysis of trophic structure of two carnivore assemblages by means of guild identification. European Journal of Wildlife Research 53:276-286. https://doi.org/10.1007/s10344-007-0095-1
Zapata, S. C., D. Procopio, & A. Travaini. 2015. Caviomorph rodents as prey: general patterns for mammalian carnivores and a local study for raptors in Patagonian. Biology of Caviomorph Rodents: Diversity and Evolution (A. I. Vassallo & D. Antenucci, eds.). SAREM, Series A, Mammalogical Research, Buenos Aires.
Zahavi, A. 1997. The handicap principle: a missing piece of Darwin’s puzzle. Oxford University Press, Oxford.
Additional information
Editor asociado: D. Flores