ARTÍCULOS
SOCIAL STRUCTURE OF LAHILLE’S BOTTLENOSE DOLPHIN Tursiops truncatus gephyreus (CETACEA: DELPHINIDAE) OFF THE URUGUAYAN MARINE COAST
Estructura social de la tonina Tursiops truncatus gephyreus (Cetacea: Delphinidae) en la costa atlántica uruguaya
SOCIAL STRUCTURE OF LAHILLE’S BOTTLENOSE DOLPHIN Tursiops truncatus gephyreus (CETACEA: DELPHINIDAE) OFF THE URUGUAYAN MARINE COAST
Mastozoología Neotropical, vol. 26, no. 2, pp. 410-419, 2019
Sociedad Argentina para el Estudio de los Mamíferos
Received: 12 March 2018
Accepted: 26 October 2018
Abstract: Information about the social relations among individuals is essential to define and develop management plans for a socially structured population. Association data for 25 adult Lahille’s bottlenose dolphins were obtained from 189 photo-identification surveys that took place between January 2007 and May 2009 in La Coronilla-Cerro Verde and Cabo Polonio, Rocha, Uruguay. Group size averaged 5.22 individuals (SD= 3.77, n= 255). Coefficients of association were calculated using the Half-Weight Index. Most of the associations were weak (79.7%) and variation of real association indices was greater than would be expected by chance. Thus, the null hypothesis that individuals associated randomly was rejected. Standardized Lagged Association Rate analysis also indicated that nonrandom associations between individuals persisted over the study period. The exponential decay model that fits best to the data suggested the existence of constant companions and casual acquaintances. This study is the first report about the social structure of the population of Lahille’s bottlenose dolphin inhabiting the Uruguayan marine coasts. Cerro Verde and Cabo Polonio were the first marine protected areas selected by the government of Uruguay. However, information about the ecology and behavior of the species in these areas is still insufficient. It is recommended that the results of this study be taken as baseline information to assess the conservation status of this population, as well as for the development of adequate conservation and management plans.
Keywords: association patterns, half weight index, Lahille’s bottlenose dolphin, protected areas.
Resumen: Para una población socialmente estructurada, disponer de información sobre las relaciones sociales entre individuos es esencial para definir y desarrollar planes de manejo. Se obtuvieron datos de asociación para 25 toninas adultas a partir de 189 salidas de foto-identificación, realizadas entre enero 2007 y mayo 2009, en La Coronilla-Cerro Verde y Cabo Polonio, Rocha, Uruguay. El tamaño grupal promedió 5.22 individuos (DS = 3.77, n = 255). Los coeficientes de asociación se calcularon utilizando el Índice de Peso Medio. Las asociaciones fueron mayormente débiles (79.7%) y la variación de los índices de asociación fue mayor que lo esperado por azar. Por tanto, se rechazó la hipótesis nula de que los individuos se asociaron aleatoriamente. El análisis utilizando la Tasa de Asociación con Retardo Estandarizada también indicó que asociaciones no aleatorias persistieron durante el período de estudio. El modelo exponencial que mejor ajusta a los datos sugiere la existencia de compañeros constantes y compañeros casuales. Este estudio reporta por primera vez información sobre la estructura social de la población de toninas que habita la costa marina uruguaya. Cerro Verde y Cabo Polonio fueron las primeras áreas marinas protegidas por el gobierno de Uruguay. Sin embargo, aún es insuficiente la información sobre la ecología y el comportamiento de la especie en estas áreas. Se recomienda que los resultados de este estudio se tomen como información de base para evaluar el estado de conservación de esta población, así como para el desarrollo de planes adecuados de manejo y conservación.
Palabras clave: áreas protegidas, índice de peso medio, patrones de asociación, toninas.
INTRODUCTION
Associations between individuals in a socially structured population must be nonrandom (Whitehead et al. 2005). Societies with fission-fusion dynamics are typical of some mammalian species (Goodall 1986; Packer 1986; Holekamp et al. 1997; Kerth & König 1999; Archie et al. 2006) including bottlenose dolphins Tursiops truncatus (Connor et al. 2000). They consist of unstable groups of variable size and composition, which form, break-up and merge againat frequent intervals (Conradt & Roper 2005). This type of social dynamics was first observed in bottlenose dolphins by Würsig (1978) in Golfo San José, Argentina. He suggested that constant variation ingroup size and composition was explained by the fluidity with which many individuals appeared and disappeared from the study area.
They consist of unstable groups of variable size and composition, which form, break-up and merge again at frequent intervals (Conradt & Roper 2005). This type of social dynamics was first observed in bottlenose dolphins by Würsig (1978) in Golfo San José, Argentina. He suggested that constant variation in group size and composition was explained by the fluidity with which many individuals appeared and disappeared from the study area.
Associations between bottlenose dolphins have been explained by variations in many factors. These include individual adaptation to local ecological conditions (Wiszniewski et al. 2009), prey availability (Gowans et al. 2008), resource predictability (Wiszniewski et al. 2009), residence patterns (Blasi & Boitani 2014), individual home range overlap (Frère et al. 2010) and reproductive status (Rogers et al. 2004). However, to analyze the interaction between these factors and determine how they shape the social structure of a population seems very challenging. One approach is to study the social structure from different populations of the same species in different environments (Moller 2012).
In the Southwest Atlantic Ocean (SWAO) there are records of bottlenose dolphins from Amapá State (04°33’N, 37°00’W), northern Brazil, to the province of Tierra del Fuego (54°55’S, 67°30’W), southern Argentina (Lodi et al. 2016). However, the animals that occur in the coasts of Argentina, Uruguay and southern Brazil have a triangular dorsal fin, a longer rostrum, and a lighter coloring pattern than those that occur farther north of the distribution (see review from Ott et al. 2016). Thus, it has been suggested that two different morphotypes are present in the SWAO: the truncatus-type and the gephyreus-type. The latter, as proposed by Lahille (1908), refers to the animals occurring at the coasts of Argentina, Uruguay and southern Brazil. Recently, a re-assessment of the world-wide taxonomy of Tursiops conducted by the Scientific Committee of the International Whaling Commission confirmed the validity of three subspecies (IWC 2018), including Lahille’s bottlenose dolphin (T. t. gephyreus) (Lahille 1908). Lahille’s bottlenose dolphin is a large form found in the coastal waters of the western South Atlantic Ocean, and it is morphologically and genetically different from the offshore population (T. t. truncatus) in the region (Costa et al. 2015; 2016; Wickert et al. 2016; Fruet et al. 2017). Therefore, the subject animals of this study are T. t. gephyreus. On the other hand, Fruet et al. (2014) recently reported that bottlenose dolphin populations from Florianopolis (Brazil) to Bahía San Antonio (Argentina) have remarkably low genetic diversity and a highly differentiated population structure. Based on the observed patterns of genetic differentiation and estimated low migration rates, the authors proposed that Argentina and southern Brazil– Uruguay represent two distinct evolutionarily significant units (ESUs). Five separate Management Units (MUs) characterized by low to moderate asymmetrical gene flow were also proposed for the southern Brazil–Uruguay ESU (Fruet et al. 2014). Lahille’s bottlenose dolphins are found along the marine coast of Uruguay all over the year. La Coronilla-Cerro Verde and Cabo Polonio are two zones with a high occurrence of these dolphins (Laporta 2009; Laporta et al. 2016a). These animals show no seasonal variation on occurrence and individuals concentrate mainly 500 m away from shore. Around 60% of the individuals are permanent residents, and population size for 2008 was estimated at 63 animals (CI 95%: 54-74, CV=0.1%) (Laporta et al. 2016a).
Understanding social relationships among individuals helps to define and target management guidelines for a population (Lusseau et al. 2006). Moreover, studying the association patterns between individuals inhabiting adjacent sites seems to help define population units (Connor et al. 2000). Because many threats to coastal bottlenose dolphins are geographically localized (e.g., fisheries, coastal development), a definition of management units makes it possible to relate specific threats to particular population units, allowing potential impacts assessment and providing a focus for mitigation efforts (Connor et al. 2000). Thus, information about the social relationships between individuals becomes necessary when modeling population dynamics, and should be taken into consideration when assessing viability or trends in abundance (Lusseau et al. 2006). This study aimed to analyze the association patterns of identified adult Lahille’s bottlenose dolphins inhabiting the areas of La Coronilla-Cerro Verde and Cabo Polonio in the Uruguayan marine coast. This population is of interest due to three main reasons. First, a substantial decrease in the occurrence of the species along the Uruguayan and Argentine coasts of La Plata River estuary has been observed during the last 60 years (Lázaro & Praderi 2000; Bastida et al. 2007). Second, it has been suggested that together with Lahille’s bottlenose dolphins from the southern portion of Lagoa dos Patos, which are exposed to high levels of bycatch in artisanal fisheries, they comprise a single management unit (Fruet et al. 2012). Third, the species was included in the list of species with priority for conservation by the government of Uruguay; so further baseline information is required.
MATERIALS AND METHODS
Survey Area
Fieldwork was carried out in two marine protected areas of the Departamento de Rocha, La Coronilla–Cerro Verde (33°38’ S, 53°24’ W) and Cabo Polonio (34°23S, 53°46W) during January 2007 and May 2009 (Fig. 1). Surveys to photo-identify dolphins were carried out either from rocky points on land or from a boat. During land surveys, scan sampling was applied to look for dolphins. Once a group was detected, photographic identification sessions started. Boat surveys were conducted onboard either on a 3.7 m or a 4.2 m long inflatable boat powered with 25hp and 40hp outboard engines, respectively, under favorable weather conditions (Beaufort Sea State ≤ 3). Boat surveys following pre-defined transects both parallel and perpendicular to the coast of the study area extended up to 2.5 km offshore and covered approximately 50 km2.
A total of 189 photo-identification surveys were conducted; 104 in La Coronilla-Cerro Verde and 85 in Cabo Polonio (Table 1). Photographs were taken using a digital camera fitted with 80-400 mm zoom lenses. Attempts were made to photograph the dorsal fin of all animals in a group. The boat remained with a group until photographs of all individuals were supposedly photographed or until dolphins disappeared. At every sighting, Global Positioning System (GPS) location, time, group size, group composition, and the number of calves were recorded. A group of dolphins was defined as any aggregation of dolphins in close spatial cohesion (within an area of 100-m radius), engaged in the same activity or behavior (modified from Wells et al. 1987; Shane 1999; Karczmarski 1999). Calves were identified as individuals less than three-quarters of adult size, usually in close association with an adult (Chilvers & Corkeron 2002).


Photograph selection and individual identification
Following Hammond et al. (2009), four primary criteria were considered when selecting the photographs: 1- sharpness; 2- the absence of glitter and foam; 3- the proportion of the dorsal fin that is exposed; and 4- angle between the animal’s body axis and the photographer. Then, photographs were assigned based on their quality in excellent, good and poor categories. Photographs were considered as excellent when the dorsal fin was well exposed, occupying a large proportion and oriented parallel to the frame, in sharp focus and without water droplets. Good quality photographs included sharp images but taken at a greater distance, not fully exposed dorsal fin or on a diagonal direction to the photographer, with a small quantity of glitter and foam. Photographs not meeting these criteria (poor quality photos) were excluded from the analysis (Fig. 2a).
Individual identification was made using natural, longlasting marks such as cuts, notches, and scars as proposed by Würsig & Würsig (1977), as well as coloration patterns. After each survey, identified animals with long-lasting marks were included in a catalog as explained in (Laporta et al. 2016a, Fig. 2b).
To verify the variation of the number of animals with long-lasting marks as regards the photo-identification platform used (boat or fixed point), Laporta (2009) compared the abundance estimates of marked individuals using photographs taken from land and from boat separately. Results indicated that estimates of the number of marked animals were similar for the three-year study regardless of the type of photo-identification platform used. So, excellent and good quality photographs of animals with long-lasting marks were taken either from land or boat were included in the association analysis.

Association analysis
Associations were defined based on group membership, then assuming that individuals in the same group were associated (Whitehead & Dufault 1999). In some groups, it was not possible to identify all individuals. Thus, to avoid underestimating association patterns, only groups that had 50% or more of the group identified were included in the analysis (Parra et al. 2011). Coefficients of association were calculated using the Half-Weight Index (HWI, Cairns & Schwager 1987), which quantifies associations on a scale from 0 (two individuals never seen together) to 1 (two individuals always seen together). The HWI is the least biased estimator in cases where individuals of a pair are more likely to be observed separately rather than together in the same group (Cairns & Schwager 1987), which seems to be the situation of the dolphins in the study area. It also allows comparisons with other bottlenose dolphin studies (Wells et al. 1987; Smolker et al. 1992; Bejder et al. 1998; Lusseau et al. 2006; Frère et al. 2010). The resulting indexeswere then grouped into three association categories: low(< 0.30), moderate (0.30– 0.50) and high (>0.50) as suggested by Blasi & Boitani (2014). Mean and maximum HWI were also calculated for each individual. To test whether the observed association patterns were different from what itwould be expected if individuals associated randomly, a permutation test was run according to Bejder et al. (1998), with modifications following (Whitehead et al. 2005).
We increased the number of permutations performed until the obtained p-value stabilized (Bejder et al. 1998); this number was as a result set at 20 000 permutations. Associations were permuted within weekly sampling intervals since during most surveys only a single group of dolphins was sighted. The null hypothesis of no preferred long-term associates could be rejected if the Standard Deviation (SD) or the coefficient of variation (CV) of all association indexes is highly significant (Whitehead et al. 2005). Since short-term associations tend to lower both SD and mean HWI values (Whitehead et al. 2005), the CV was chosen as a test statistic for long-term associations. The p-values were not considered a formal statistical threshold, but rather as indicating the strength of evidence for nonrandom associations (Bejder et al. 1998). Dyadic 2-sided significance levels were estimated using α= 0.05 to test whether dolphin pairs had association indexes higher than their null expectancy.
Changes in association rates over time were estimated using the Standardized Lagged Association Rate (SLAR, Whitehead 1995). This association rate was chosen because it is possible that not all the real associates of an individual were identified during the sampling period when it was seen (Whitehead 2009). The SLAR is an estimate of the probability that if two individuals are associated any time, the second is a randomly chosen associate of the first after a given time (Whitehead 1995). The SLAR was compared to the standardized null association rate to determine whether non-random patterns of association occurred over the entire study period. Additional models of temporal stability were fitted to the observed data to characterize the social components of the society. The quasi-Akaike information criterion (QAIC) was utilized to choose the model best describing the temporal dynamics of association patterns. It was used (rather than the AIC) to compensate for over dispersed data (Whitehead 2007). Standard errors for the SLAR and parameter estimates were obtained by jackknife methods (Efron & Stein 1981), and reported as a ± 1 standard error interval around the mean. This procedure estimated the precision of the parameters by sequentially omitting 30-day sampling periods in which association data were collected (Whitehead 1995). All analyses were conducted using the compiled version of SOCPROG 2.4 (Whitehead 2009).
RESULTS
Group structure and individual identifications
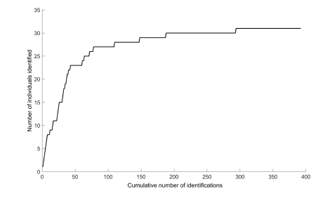
A total of 8 204 photographs were analyzed, 40.5% of which were classified as excellent or good quality photographs. Dolphin sightings occurred in 39.7% of the surveys (n= 75), totaling 255 groups. Thirtyone individuals were identified through dorsal fin marks, totaling 392 re-identifications; 30 of which were identified after 40 sightings (survey No. 123, cumulative total of identifications = 205). The last dolphin was not identified until the subsequent 30 sightings, thus indicating that most of the individuals in the study area were known (Fig. 3). The mean number of re-identifications per individual was 12.64 (SD= 8.92, range: 1-32) (Fig. 4). Group size averaged 5.22 individuals (n = 255, SD= 3.77, range= 1-30, median= 4) and the ratio of groups observed to contain calves was 29%.


Association patterns
Only 77 groups were included in the association analysis as they had at least 50% of the group’s individuals identified. These groups consisted of 25 identified individuals who were re-identified at least 6 times during the study period. Most of the associations were low (79.7%; HWI < 0.30), 16.3% were moderate (0.30 < HWI < 0.50) and 4.0% were estimated as high associations (HWI >0.50) (Table 2).

The CV of the observed pairwise association indices was significantly higher than those from the permuted datasets (p<0.01), meaning that the variation of observed association indexes was greater than that expected if individuals associated randomly.
Thus, the null hypothesis that individuals associated randomly was rejected. Moreover, three pairs of dolphins had higher HWI than the null expectancy (ID#44–ID#10, HWI = 0.53, p<0.01; ID#46–ID#19,HWI =0.67, p<0.01; ID#6–ID#27, HWI = 0.36; p<0.01).
SLAR analyses indicated that nonrandom associations between individuals persisted over the study period; it remained above the null association rateas time increases (Fig. 5). Therefore, animals maintained nonrandom relationships during the study period. The exponential model that best fit the curve suggested the existence of long-term companions and casual acquaintances (QAIC= 10162.11). However, the ∆QAIC between this model and the others consisting only of casual acquaintances or long-term companions is less than 4 (Table 3). In any case, SLAR analyses suggests that most individuals remained associated for a few days and then split.


DISCUSSION
This study is the first report about the social structure of the Lahille’s bottlenose dolphin population inhabiting the marine coasts of Uruguay.
Estimated group size resembles those reported for other coastal populations of the species (e.g., Rogers et al. 2004; Blasi & Boitani 2014; Genoves et al. 2018). Regarding the association patterns between individuals, the results confirm that the population has a social system characterized by fission-fusion dynamics, as previously reported for many other bottlenose dolphin populations (Würsig 1978; Connor et al. 2000; Rogers et al. 2004; Gero et al. 2005; Vermeulen & Cammareri 2009; Blasi & Boitani 2014; Louis 2015; Genoves et al. 2018). It is known that some of these dolphins move to southern Brazil in winter (Laporta 2009; Laporta et al. 2016a), perhaps due to the increased prey patchiness and scarcity during this season (Jaureguizar et al. 2004). Additionally, these movements occur out of southern Brazil and Uruguay populations’ estimated breeding season and are not limited to one sex or age class (Laporta 2009; Fruet et al. 2015). It is then possible that these movements determined which conspecifics they encountered in Uruguay and consequently shaped the social associations recorded here. In southern Brazil, social network analyses revealed the existence of at least three distinct communities, which partially overlap in range near the Lagoa dos Patos estuary (Genoves et al. 2018). One of these communities is strongly associated with the southern adjacent marine coasts of the Lagoa dos Patos estuary (Genoves et al. 2018). Since this southern community has been suggested to belong to the same MU along with the population of Uruguay (Fruet et al. 2014), further social analysis including all individuals from both populations is recommended. This would bring additional support to the proposition of a southern Brazil- Uruguay MU, as it would be endorsed by both genetic and social information.
Results also indicate that some individuals associate preferentially with others. These associations might be based on the benefits gained when carrying out specific behaviors (Gero et al. 2005; Moreno & Acevedo-Gutiérrez 2016), that are chosen to maximize efficiency or survival when associating with individuals of a particular sex (Connor et al. 1992; Smolker et al. 1992) or kinship (Frère et al. 2010; Wiszniewski et al. 2010). As information about sex and genetic relatedness is not available for most individuals, including those whose HWI was higher than the null expectancy, it was not possible to test this hypothesis.
SLAR analyses suggested that most associations were brief, as most parsimonious models included casual acquaintances. Interestingly, the best-supported model also contained long-term companions, which is an indication of the presence of some long-term associations. The analyses also supported the hypothesis of nonrandom associations, as the association rate remained higher than that of the null association model over the entire study period.
The social structure plays a crucial role in many ecological and biological aspects of a population as it influences its genetic make-up, spread of diseases, and the way animals explore their environment (Lusseau et al. 2006). Thus, studies on population social structure become an essential element in the management and conservation of a species (Sutherland 1998). Bottlenose dolphin has been classified as Least Concern (LC) in the IUCN’s Red List (Hammond et al. 2012), but in our region (Argentina, Chile, Brazil, Uruguay and Malvinas Islands) data are still insufficient.
Major threats to Lahille’s bottlenose dolphin populations in Uruguay include by-catch mortality in Lagoa dos Patos, RS, Brazil (Fruet et al. 2012), and a plan to establish a deep-water port on the Uruguayan marine coast
Furthermore, Lahille’s bottlenose dolphins along both Uruguayan and Argentine coasts of the Río de La Plata estuary have decreased over the past 60 years (Lázaro & Praderi 2000; Bastida et al. 2007; Coscarella et al. 2012). In fact, their abundance and occurrence critically decreased all along the coasts of Argentina (Bastida et al. 2007; Vermeulen 2017). Thus, the conservation status of the species in the Río de La Plata estuary must be revisited and perhaps should not be considered as least concern by the IUCN. Both Cerro Verde (Decree N° 285/2011) and Cabo Polonio (Decree N°337/2009) have been selected as the first marine protected areas by the government of Uruguay. Therefore, information about the ecology and behavior of the species in these areas becomes essential for developing adequate conservation and management plans for this population. Since further studies to assess the conservation status of this population are needed, we strongly encourage inclusion of the information provided here when modeling the dynamics and assessing the viability of this population, as well as for investigating patterns of residence, gene flow, disease transmission and habitat use.
CONCLUSIONS
Lahille’s bottlenose dolphins off the marine coast of Uruguay have a socially structured population characterized by fission-fusion dynamics, where individuals have nonrandom associates. Associations may be brief (lasting a few days) or persist even longer. Some individuals preferentially associated with others, but the nature of this preference is still unknown. It is highly recommended that this information be taken as baseline information for future conservation status assessments and management plans. These must also consider the social structure of dolphins from the community of the southern adjacent marine coasts of the Lagoa dos Patos estuary.
Acknowledgments
We wish to thank Carlos Romero, Pedro González and Dionisio Amaral for fieldwork assistance. We are also very grateful to Rufford Small Grants, ANCAP Uruguay (Administración Nacional de Combustibles, Alcohol y Portland) and Cetacean Society International for research funds. We acknowledge funding from ANII (Agencia Nacional de Investigación e Innovación) awarded to C. Menchaca (INI_X_2010_2_2936). We are also thankful to Mauricio Cantor, Guido Parra, and two anonymous reviewers for their helpful comments on earlier versions of this manuscript.
REFERENCIAS
Archie, E. A., T. A. Morrison, C. A. H. Foley, C. J. Moss, & S. C. Alberts. 2006. Dominance rank relationships among wild female African elephants, Loxodonta africana. Animal Behaviour 71:117–127. https://doi.org/10.1016/j.anbehav.2005.03.023
Bastida, R., D. Rodríguez, E. R. Secchi, & V. Da Silva. 2007. Mamíferos acuáticos de Sudamerica y Antartida. Buenos Aires.
Bejder, L., D. Fletcher, & S. Bräger. 1998. A method for testing association patterns of social animals. Animal Behaviour 56:719–725. https://doi.org/10.1006/anbe.1998.0802
Blasi, M. F., & L. Boitani. 2014. Complex social structure of an endangered population of bottlenose dolphins (Tursiops truncatus) in the Aeolian Archipelago (Italy). PLoS ONE 9:1–26. https://doi.org/10.1371/journal.pone.0114849
Bloch, C. P., R. D. Stevens, & M. R. Willig. 2011. Body size and resource competition in New World bats: A test of spatial scaling laws. Ecography 34:460–468. https://doi.org/10.1111/j.1600-0587.2010.06270.x
Cairns, S. J., & S. J. Schwager. 1987. A comparison of association indices. Animal Behaviour 35:1454–1469. https://doi.org/10.1016/s0003-3472(87)80018-0
Chilvers, B. L., & P. J. Corkeron. 2002. Association patterns of bottlenose dolphins (Tursiops aduncus) off Point Lookout, Queensland. Canadian Journal of Zoology 80:973–979. https://doi.org/10.1139/z02-075
Connor, R. C., R. A. Smolker, & A. F. Richards. 1992. Two levels of alliance formation among male bottlenose dolphins (Tursiops sp ). Proc Natl Acad Sci U S A 89:987–990. https://doi.org/10.1073/pnas.89.3.987
Connor, R. C., R. S. Wells, J. Mann, & A. J. Read. 2000. The bottlenose dolphin: Social Relationships in a Fission-Fussion Society. Cetacean Societies: Field Studies of Dolphins and Whales (J. Mann, R. C. Connor, P. L. Tyack & H. Whitehead, eds.). The University of Chicago Press.
Conradt, L., & T. J. Roper. 2005. Consensus decision making in animals. Trends in Ecology and Evolution 20:449–456. https://doi.org/10.1016/j.tree.2005.05.008
Coscarella, M. A., S. L. Dans, M. Degrati, G. V. Garaffo, & E. A. Crespo. 2012. Bottlenose dolphins at the southern extreme of the south-western Atlantic: Local population decline? Journal of the Marine Biological Association of the United Kingdom 92:1843–1849. https://doi.org/10.1017/s0025315411001901
Costa, A. P. B., P. E. Rosel, F. G. Daura-jorge, & P. C. SimõesLopes. 2016. Offshore and coastal common bottlenose dolphins of the western South Atlantic face-to-face: What the skull and the spine can tell us. Marine Mammal Science 32:1433–1457. https://doi.org/10.1111/mms.12342
Costa, A. P. B. et al. 2015. Bottlenose dolphin communities from the southern Brazilian coast: do they exchange genes or are they just neighbours? Marine and Freshwater Research 66:1201-1210. https://doi.org/10.1071/mf14007
Efron, B., & C. Stein. 1981. The jacknife estimate of variance. The Annals of Statistics 9:589–596.
Frère, C. H. et al. 2010. Home range overlap, matrilineal and biparental kinship drive female associations in bottlenose dolphins. Animal Behaviour 80:481–486. https://doi.org/10.1016/j.anbehav.2010.06.007
Fruet, P. F. et al. 2012. Temporal trends in mortality and effects of by-catch on common bottlenose dolphins, Tursiops truncatus, in southern Brazil. Journal of the Marine Biological Association of the United Kingdom 92:1–12. https://doi.org/10.1017/s0025315410001888
Fruet, P. F. et al. 2014. Remarkably low genetic diversity and strong population structure in common bottlenose dolphins (Tursiops truncatus) from coastal waters of the Southwestern Atlantic Ocean. Conservation Genetics 15:879–895. https://doi.org/10.1007/s10592-014-0586-z
Fruet, P. F., R. C. Genoves, L. M. Möller, S. Botta, & E. R. Secchi. 2015. Using mark-recapture and stranding data to estimate reproductive traits in female bottlenose dolphins (Tursiops truncatus) of the Southwestern Atlantic Ocean. Marine Biology 162:661–673. https://doi.org/10.1007/s00227-015-2613-0
Fruet, P. F. et al. 2017. Genetic divergence between two phenotypically distinct bottlenose dolphin ecotypes suggests separate evolutionary trajectories. Ecology and Evolution 7:9131–9143. https://doi.org/10.1002/ece3.3335
Genoves, R. C., P. F. Fruet, J. C. Di Tullio, L. M. Möller, & E. R. Secchi. 2018. Spatiotemporal use predicts social partitioning of bottlenose dolphins with strong home range overlap. Ecology and Evolution 8:12597–12614. https://doi.org/10.1002/ece3.4681
Gero, S., L. Bejder, H. Whitehead, J. Mann, & R. C. Connor. 2005. Behaviourally specific preferred associations in bottlenose dolphins, Tursiops spp. Canadian Journal of Zoology 83:1566–1573. https://doi.org/10.1139/z05-155
Goodall, J. 1986. The Chimpanzees of Gombe: Patterns of Behavior. Belknap Press of Harvard University Press, Cambridge, MA.
Gowans, S., B. Würsig, & L. Karczmarski. 2008. The social structure and strategies of delphinids: predictions based on an ecological framework. Advances in Marine Biology 53:195–294. https://doi.org/10.1016/s0065-2881(07)53003-8
Hammond, P. S. et al. 2009. Cetacean Offshore Distribution and Abundance in the European Atlantic (CODA):1–43.
Hammond, P. S. et al. 2012. The IUCN Red List of Threatened Species.
Holekamp, K. E., S. M. Cooper, C. I. Katona, N. A. Berry, L. G. Frank, & L. Smale. 1997. Patterns of Association among Female Spotted Hyenas (Crocutacrocuta). Journal of Mammalogy 78:55–64.
International Whaling Commission. 2018. Report of the Scientific Committee. Bled, Slovenia 24 April – 6 May 2018.
Jaureguizar, A. J., R. Menni, R. Guerrero, & C. Lasta. 2004. Environmental factors structuring fish communities of the Río de la Plata estuary. Fisheries Research 66:195–211. https://doi.org/10.1016/s0165-7836(03)00200-5
Karczmarski, L. 1999. Group dynamics of humpback dolphins (Sousa chinensis) in the Algoa Bay region, South Africa. Journal of Zoology 249:283–293. https://doi.org/10.1017/s0952836999009978
Kerth, G., & B. König. 1999. Fission, fusion and nonrandom associations in female Bechstein’s bats (Myotis bechsteinii). Behaviour 136:1187–1202. https://doi.org/10.1163/156853999501711
Laporta, P. 2009. Abundancia, distribuiçao e uso de habitat do boto (Tursiops truncatus) em Cabo Polonio e La Coronilla (Rocha, Uruguai). MSc. thesis. Universidade Federal do Rio Grande, Rio Grande.
Laporta, P., P. F. Fruet, & E. R. Secchi. 2016a. First estimate of common bottlenose dolphin (Tursiops truncatus) (Cetacea, Delphinidae) abundance off Uruguayan Atlantic coast. Latin American Journal of Aquatic Mammals 11:144–154. https://doi.org/10.5597/00223
Laporta, P., C. C. A. Martins, L. Lodi, C. Domit, E. Vermeulen, & J. C. Di Tullio. 2016b. Report of the Working Group on Habitat Use of Tursiops truncatus in the Southwest Atlantic Ocean. LAJAM 11:47–61. https://doi.org/10.5597/00215
Lázaro, M., & R. Praderi. 2000. Problems and status of species in Uruguay. Review of the conservation status of small cetaceans in southern South America (R. Hucke-Gaete, ed.). UNEP/CMS Secretariat, Bonn, Germany.
Lodi, L., C. Domit, P. Laporta, J. C. Di Tullio, C. C. A. Martins, & E. Vermeulen. 2016. Report of the Working Group on the Distribution of Tursiops truncatus in the Southwest Atlantic Ocean. Latin American Journal of Aquatic Mammals 11:29–46. https://doi.org/10.5597/lajam00214
Louis, M. et al. 2015. Social structure and abundance of coastal bottlenose dolphins, Tursiops truncatus, in the Normano-Breton Gulf, English Channel. Journal of Mammalogy 96:1–13. https://doi.org/10.1093/jmammal/gyv053
Lusseau, D. et al. 2006. Quantifying the influence of sociality on population structure in bottlenose dolphins. Journal of Animal Ecology 75:14–24.
Moller, L. 2012. Sociogenetic structure, kin associations and bonding in delphinids. Molecular Ecology 21:745–764. https://doi.org/10.1111/j.1365-294x.2011.05405.x
Moreno, K., & A. Acevedo-Gutiérrez. 2016. The social structure of Golfo Dulce bottlenose dolphins (Tursiops truncatus) and the influence of behavioural state. Royal Society Open Science 3:160010. https://doi.org/10.1098/rsos.160010
Ott, P. H. et al. 2016. Report of the Working Group on Taxonomy and Stock Identity of bottlenose dolphins in the Southwest Atlantic Ocean. LAJAM 11:16–28.
Packer, C. 1986. The ecology of sociality in felids. Ecological aspects of social evolution (D. I. Rubenstein & R. W. Wrangham, eds.). Princeton University Press, Princeton, NJ. https://doi.org/10.1515/9781400858149.429
Parra, G. J., P. J. Corkeron, & P. Arnold. 2011. Grouping and fission – fusion dynamics in Australian snubfin and Indo-Pacific humpback dolphins. Animal Behaviour 82:1423–1433. https://doi.org/10.1016/j.anbehav.2011.09.027
Rogers, C. A., B. J. Brunnick, D. L. Herzing, & J. D. Baldwin. 2004. The Social Structure of Bottlenose Dolphins, Tursiops truncatus, in the Bahamas. Marine Mammal Science 20:688–708. https://doi.org/10.1111/j.1748-7692.2004.tb01188.x
Shane, S. H. 1999. Behavior and ecology of the bottlenose dolphin at Sanibel Island, Florida. The bottlenose dolphin (S. Leatherwood & R. Reeves, eds.). Academic Press, Inc., San Diego. https://doi.org/10.1016/b978-0-12-440280-5.50016-0
Smolker, R. A., A. F. Richards, R. C. Connor, & J. W. Pepper. 1992. Sex Differences in Patterns of Association among Indian Ocean Bottlenose Dolphins. Behaviour 123:38–69. https://doi.org/10.1163/156853992x00101
Sutherland, W. 1998. The importance of behavioural studies in conservation biology. Animal Behaviour 56:801–809.
Vermeulen, E. et al. 2017. A review on the distribution, abundance, residency, survival and population structure of coastal bottlenose dolphins in Argentina. Latin American Journal of Aquatic Mammals 12:1–2.
Vermeulen, E., & A. Cammareri. 2009. Residency patterns, abundance, and social composition of bottlenose dolphins (Tursiops truncatus) in Bahía San Antonio, Patagonia, Argentina. Aquatic Mammals 35:378–385. https://doi.org/10.1578/am.35.3.2009.378
Wells, R. S., M. D. Scott, & A. B. Irvine. 1987. The social structure of free-ranging bottlenose dolphins. Current Mammalogy (H. H. Genoways, ed.). Plenum Press: New York and London. https://doi.org/10.1007/978-1-4757-9909-5
Whitehead, H. 1995. Investigating structure and temporal scale in social organizations using identified individuals. Behavioral Ecology 6:199–208. https://doi.org/10.1093/beheco/6.2.199
Whitehead, H. 2007. Selection of models of lagged identification rates and lagged association rates using AIC and QAIC. Communications in Statistics - Simulation and Computation 36:1233–1246. https://doi.org/10.1080/03610910701569531
Whitehead, H. 2009. SOCPROG programs: Analysing animal social structures. Behavioral Ecology and Sociobiology 63:765–778. https://doi.org/10.1007/s00265-008-0697-y
Whitehead, H., L. Bejder, & C. Ottensmeyer. 2005. Testing association patterns: issues arising and extensions. Animal Behaviour 69:e1–e6. https://doi.org/10.1016/j.anbehav.2004.11.004
Whitehead, H., & S. Dufault. 1999. Techniques for Analyzing Vertebrate Social Structure Using Identified Individuals: Review and Recommendations. Advances in the Study of Behavior. Academic Press, Inc. https://doi.org/10.1016/s00653454(08)60215-6
Wickert, J. C., S. M. Von Eye, L. R. De Oliveira, & I. B. Moreno. 2016. Revalidation of Tursiops gephyreus Lahille, 1908 (Cetartyodactila: Delphinidae) from the Southwestern Atlantic Ocean. Journal of Mammalogy 97:1–10. https://doi.org/10.1093/jmammal/gyw139
Wiszniewski, J., S. J. Allen, & L. M. Möller. 2009. Social cohesion in a hierarchically structured embayment population of IndoPacific bottlenose dolphins. Animal Behaviour 77:1449–1457. https://doi.org/10.1016/j.anbehav.2009.02.025
Wiszniewski, J., D. Lusseau, & L. M. Möller. 2010. Female bisexual kinship ties maintain social cohesion in a dolphin network. Animal Behaviour 80:895–904. https://doi.org/10.1016/j.anbehav.2010.08.013
Würsig, B. 1978. Occurrence and group organization of Atlantic bottlenose porpoises (Tursiops truncatus) in an Argentine bay. Biol. Bull. 154:348–359. https://doi.org/10.2307/1541132
Würsig, B., & M. Würsig. 1977. The Photographic Determination of Group Size, Composition, and Stability of Coastal Porpoises (Tursiops truncatus). Science 198:755–756. https://doi.org/10.1126/science.198.4318.755
Additional information
Editor asociado: R. Zenuto