ARTÍCULO
DISTRIBUTION PATTERNS OF RISSO’S DOLPHIN, Grampus griseus, IN OFFSHORE WATERS OF SOUTHEAST BRAZIL ASSESSED BY AERIAL SURVEYS
PADRÕES DE DISTRIBUIÇÃO DO GOLFINHO-DE-RISSO, Grampus griseus, EM ÁGUAS OCEÂNICAS DO SUDESTE DO BRASIL, AVALIADO ATRAVÉS DE LEVANTAMENTOS AÉREOS
DISTRIBUTION PATTERNS OF RISSO’S DOLPHIN, Grampus griseus, IN OFFSHORE WATERS OF SOUTHEAST BRAZIL ASSESSED BY AERIAL SURVEYS
Mastozoología Neotropical, vol. 29, núm. 1, p. 660, 2022
Sociedad Argentina para el Estudio de los Mamíferos
Recepción: 10 Noviembre 2021
Aprobación: 15 Febrero 2022
Abstract: The Risso’s dolphin, Grampus griseus, is widely distributed in temperate and tropical ocean waters around the world. Despite the known occurrence along the Brazilian coast, information regarding the spatial distribution of the species is scarce. Here we evaluated the distribution pattern of Risso’s dolphins using records obtained through 200 h of dedicated aerial surveys for marine mammals off the slope and outer continental shelf of Southeast Brazil, conducted between March and May 2012. A total of 16 groups of Risso’s dolphins was recorded with a median group size of 35 individuals (range = 1-300). Environmental variables (i.e., depth, slope, distance to the coast and to the shelf break, and sea surface temperature) associated with the Risso’s dolphin groups recorded indicate an oceanic distribution pattern, occurring close to the shelf break, what is probably related with foraging activity. This study provides new information about the distribution of Risso’s dolphins in Brazilian waters, and could be used as basis to plan conservation actions.
Keywords: Aerial surveys, Cetacea, Delphinidae, shelf break, spatial distribution.
Resumo: O golfinho-de-Risso, Grampus griseus, apresenta ampla distribuição em águas tropicais e temperadas ao redor do mundo. Apesar da ocorrência conhecida ao longo da costa brasileira, informações a respeito da distribuição espacial da espécie são escassas. Neste estudo, avaliamos o padrão de distribuição do golfinho-de-Risso usando registros obtidos através de 200 h de sobrevoos dedicados para observação de mamíferos marinhos no talude e plataforma externa do sudeste do Brasil, conduzidos entre março e maio de 2012. Um total de 16 grupos de golfinhos-de-Risso foi registrado com uma mediana de tamanho de grupo de 35 indivíduos (variação = 1 – 300). Variáveis ambientais (i.e., profundidade, declividade, distância da costa e para a quebra da plataforma, e temperatura superficial da água) associadas aos grupos de golfinhos-de-Risso registrados indicaram um padrão de distribuição oceânico, ocorrendo próximo da quebra da plataforma continental, o que está provavelmente relacionado com atividade de forrageio. Este estudo fornece novas informações sobre a distribuição dos golfinhos-de-Risso em águas brasileiras, e pode ser usado como base para planejamento de medidas de conservação.
Palavras-chave: Cetacea, Delphinidae, distribuição espacial, levantamentos aéreos, quebra da plataforma.
INTRODUCTION
Marine mammals have strong relationships with environmental factors at both large and fine scales, and habitat features can have important implications for their distribution and ecology (Elwen & Best 2004; Seyboth et al. 2015; Amaral et al. 2018). Understanding how these animals are distributed and which factors potentially influence these patterns is relevant for more efficient conservation measures (Forney & Barlow 1998; Kent et al. 2020). However, mapping the distribution of marine mammals is a challenge, because they are elusive, highly mobile and often occur in remote oceanic areas that are difficult to access or demand complex logistics for dedicated data collection (Crespo et al. 2010; McLellan et al. 2018). In this sense, aerial surveys provide an opportunity to search for large oceanic areas in a relatively short period of time and to record robust data to assess many aspects on the ecology of marine mammals (Sucunza et al. 2015; Bilgmann et al. 2019). Furthermore, advances in analytical methods, as well as in accessibility to ocean related data (e.g. geoprocessing system, NOAA CoastWatch/OceanWatch Program) have contributed to better understand the relationship between cetaceans and environmental features (Zerbini et al. 2006;Dalla Rosa et al. 2012; Cox et al. 2017).
Risso’s dolphins (Grampus griseus) are widely distributed, occurring in temperate and tropical ocean waters around the world (Leatherwood et al. 1980; Jefferson et al. 2014). Studies that unveiled the ecological preferences of the species indicated that Risso’s dolphins would be strongly associated with regions of high declivity in the ocean’s floor (Leatherwood et al. 1980; Baumgartner 1997; Kruse et al. 1999). The species is known to inhabit the subsurface of seamounts and escarpments, where it is believed to feed mainly on deep-water cephalopods (Baumgartner 1997; Hartman 2018; Plön et al. 2020). Bathymetry-induced circulation causes an increase in marine productivity and can enhance feeding opportunities, therefore resulting in uneven distribution and local abundance of these dolphins worldwide (Kruse et al. 1999).
The Risso’s dolphin appears to have a wide distri- bution along the Brazilian waters, occurring between the states of Pará (∼00ºS) and Rio Grande do Sul (RS, ∼32ºS) (Maia Nogueira 2000; Toledo et al. 2015). During ship-based cetacean surveys conducted off the continental shelf and slope between the Rio de Janeiro (RJ) and RS states, Di Tullio et al. (2016) reported an increase in the relative density of Risso’s dolphins off the 600 m of depth during both spring and autumn. Studies on the foraging habitats of delphinids off southeastern Brazil assessed by stable isotope composition also indicate that Risso’s dolphins inhabit waters along the continental shelf break where they are believed to feed almost exclusively on cephalopods (Bisi et al. 2013).
Despite these recent advances on the knowledge about Risso’s dolphin ecology off Brazilian waters, the species remains listed as ”Data Deficient” in the last available national assessment (Machado et al. 2008). Here, we present the results of an extensive and unprecedent aerial survey dedicated to evaluate the distribution of offshore cetaceans in Southeast Brazil. Our objectives are to describe and to investigate the influence of environmental variables on the distribution of the Risso’s dolphin in the surveyed area.
MATERIALS AND METHODS
Study area
Risso’s dolphin groups were recorded during dedicated aerial surveys for marine mammals conducted between 13 March and 12 May 2012 off the slope and outer continental shelf of Southeast Brazil. The proposed study area consisted of a rectangle ∼120 km (coast to ocean) wide and ∼335 km (northeast to southwest) long, and corresponds to the area licensed for non-exclusive 3D marine seismic survey activity in the Santos Basin (Danilewicz et al. 2020; Fig. 1). Two types of sample grids were designed: i) non-uniform coverage probability, and ii) uniform coverage probability, following design-based line transect methods (Buckland et al. 2001).
Grids in the licensed area (n = 16) consist of transect lines (n = 8-11), 50 km long and spaced 22 km apart. The sampling was restricted to the licensed area (Fig. 1), covering a total area of 33537 km2 between the isobaths of 1000 and 3000 m. Transect lines were divided into two equal parts surveying firstly the “inshore” transect lines and after the “offshore” transect lines. A new grid was started moving the transect lines 5 km northeast or southeast of the past grid. Thus, none of the new transect lines overlapped with the previous ones.
Uniform coverage probability grids (n=2) consist of transect lines perpendicular to the coast, ranging from 43 to 211 km long and spaced 50 km apart. This method sampled an area of 29800 km2 (Fig. 1), ensuring a uniform coverage probability between the isobaths of 200 and 2500 m. Each grid contains six transect lines, following the same pattern of line movement described above to avoid overlapping.
Data record
The observation platform used was a high-wing, twin engine Aerocommander 500-B aircraft flying at an approximate constant altitude of 150 m (500 ft) and speed of 170-190 km/h. Each flight lasted from 1 to 3 hours on observation effort, plus transit time. A team of four observers worked independently, with no visual or acoustical communication between each other during on-effort transect lines. Information on environmental conditions (i.e., Beaufort Sea state, presence of glare, water transparency and color) was recorded by each observer in digital voice recorders at the start of each transect line and whenever the conditions changed. When a group of cetaceans was detected, each observer was responsible for determining the number of individuals in the group, the species and the presence of calves. Whenever it was not possible to obtain a reliable estimate of group size or specific identification, the observation effort was paused and the aircraft circulated over the group to recount and take photos. Species identification and group size were defined after consensus among observers and photograph analysis. All records were time-referenced based on digital chronometers synchronized with a GPS.
The Risso’s dolphin (Fig. 2) was identified based on the characteristic beakless head shape and striking coloration (Reeves et al. 2002). The more distinctive characteristic is the tendency to “lighten” with age due to the accumulation of unpigmented scars which makes the species relatively easy to distinguish from other large delphinids (Jefferson et al. 2014; Hartman et al. 2016; Fig. 2). The coloration was also used to distinguish adults from their calves: young calves are gray to brown dorsally and creamy-white ventrally, whereas the adults have most of the dorsal and lateral surfaces of the body covered with distinctive linear scars (Kruse et al. 1999; Reeves et al. 2002).
Data analysis
Records of Risso’s dolphin groups were georeferenced using the QGIS geographic information system software version 3.0.1 (QGIS Development Team 2018), and environmental variables were extracted for each recorded group. The depth of the water column was obtained from the ETOPO1 database (Amante & Eakins 2009). The shortest distance to the coastline and to the 200 m isobath (referred to as ”continental shelf break”) were obtained by transforming the coastline and the 200 m isobath into points, and using the ”Distance to the nearest central point (points)” tool. The slope was extracted from the same raster of depths (i.e., ETOPO1), using the tool ”slope”. In addition, satellite images were obtained in the Ocean Color Data database (NASA, 2018) and the software package SeaDAS (https://seadas.gsfc.nasa.gov/) was used to extract the sea surface temperature for each group according to the date of the record.
Observation effort was computed for each interval of 100 m of depth between the isobaths of 200 and 3000 m, using the ”ruler” tool. The encounter rate (ER) was computed, being equal to the ratio between the total number of groups recorded on effort and the total observation effort as well as the effort carried out for each 300 m interval, between 200 and 3000 m of depth. Due to an apparent concentration of groups of Risso’s dolphins in a small region between the depths of 1000 and 2000 m (see Results), the percentage of area containing the records in relation to the total area surveyed in this interval was also computed. For this purpose, the area sampled between the depths of 1000 and 2000 m was measured, creating a polygon bounded by the northern and southernmost transect lines. Using the ”minimum convex polygon” method, a second polygon around the records in this interval was created and its area was also measured. These analyses were performed using the ”points to lines”, ”lines to points” and ”ruler” tools of the software QGIS. Statistical analyses were performed using the software R, version 3.6.3 (R Core Team 2020).
RESULTS
A total of 33 flights was conducted, resulting in 11 498 km surveyed on observation effort. The occurrence of Risso’s dolphins was recorded in 48% of the flights (16 out of 33). A total of 16 groups was recorded (12.50% with calves; Table 1), 14 on-effort and 2 off-effort. The group size ranged between 1 and 300 individuals, with a median of 35 individuals (mean = 71.73, SD = 95.01). A mixed-species group of around 200 Risso’s dolphins with 80 pantropical spotted dolphins (Stenella attenuata) was also recorded.
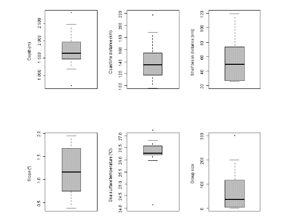
Risso’s dolphin groups were recorded in depths ranging from 698 to 2819 m (median = 1 641 m,mean = 1728 m, SD = 493 m), distant in average141.8 km (SD = 32.3 km) from the coastline (median= 134.5 km, range = 96.5 - 217.4 km) (Table 1). The average distance from the continental shelf break was 56.1 km (SD = 30.1 km; median = 49.8 km; range= 25.2 – 119.2 km) (Fig. 3), with 53.33% of the groups distant less than 50 km. The declivity in which the groups were recorded varied between 0.38 and 1.95 degrees (mean = 1.17; SD = 0.49; median = 1.17), and the sea surface temperature varied between 24.14 and 27.24ºC (mean = 26.27ºC, SD = 0.66ºC, median = 26.27ºC) (Fig. 3).
Total ER was equal to 0.0012 groups per km surveyed on-effort, and the interval of depths with the higher ER (ER = 0.0032 groups/km) as well as with the higher percentage of groups recorded (42.86%) was between 1601 and 1900 m (Fig. 4). The area covered between 1000 and 2000 m of depth was equal to 13255 km2, and 11 of the 16 groups (68.75%) recorded were concentrated in 5.27% (698.57 km2) of this area.
DISCUSSION
This study provides new data on the occurrence and distribution of Risso’s dolphins over the outer continental shelf and slope of the Southeast Brazil, assessed through systematic aerial surveys. The species was observed in offshore waters close to the shelf break corroborating with previous studies carried out in Brazilian waters (Di Tullio et al. 2016), as well as in other regions of the world (Leatherwood et al. 1980; Baumgartner 1997; Kruse et al. 1999; Jefferson et al. 2014).




Risso’s dolphins are known to usually form small to moderate group sizes (e.g. ∼30 individuals), with large aggregations of up to 4000 dolphins thought to be formed in response to large concentrations of food (Kruse et al. 1999; Bearzi et al. 2011). The existence of some resident population in oceanic islands also seems to be associated to high availability of cephalopods (Hartman et al. 2016). In the present study, aggregations of up to 300 individuals were observed, and average group size appears to be high, suggesting an effect of food availability in the study area. The record of a mixed group with pantropical spotted dolphin supports this hypothesis, since different cetacean species form large aggregations in areas with high availability of food resources (Kent et al. 2020). In addition, a study using stable isotopes analysis carried out in the southeastern Brazilian region suggested that Risso’s dolphins and pantropical spotted dolphins may overlap in foraging areas or prey consumption (Bisi et al. 2013). It is interesting to note that this is the first time that Risso’s dolphins are recorded in association with pantropical spotted dolphins in Brazilian waters.
Water temperature is a factor that can affect the distribution of Risso’s dolphins (Kruse et al. 1999; Wells et al. 2009). Leatherwood et al. (1980) reported sightings of the species in the eastern North Pacific at water temperatures ranging from 10 to 28ºC, although Risso’s dolphins have also been observed in water temperatures up to 35ºC in Hawaii and Florida (Kruse et al. 1999). In this study, Risso’s dolphins were recorded in surface water temperatures up to 24ºC, corroborating previous reports.
Although Di Tullio et al. (2016) reported a higher frequency of sightings of Risso’s dolphins south of RJ, the species was regularly found in the study area during the sampling period. Moreover, stranding data shows that the species is widely distributed along the entire Brazilian coast (Toledo et al. 2015). Risso’s dolphin distribution is known to be affected by water depth, with dolphins occurring preferentially over steep bottoms relief near the edge of the continental slope (Baumgartner 1997; Kruse et al. 1999; Azzellino et al. 2012; Di Tullio et al. 2016). The occurrence of Risso’s dolphin groups in the study area was not uniform along depth gradients. ER increased from 700 m deep, down to 1900 m, and declined in deeper waters. In addition, most groups were observed near the shelf break, indicating a habitat preference of Risso’s dolphins off Southeast Brazil in accordance with other areas of the world (i.e., steep bottoms relief near the edge of the continental slope) (Plön et al. 2020). Nevertheless, due to the lack of a coastal observation effort, we are unable to state whether Risso’s dolphins occur in shallower waters in Brazil, as reported for Argentina (Riccialdelli et al. 2011).

Higher densities of Risso’s dolphins are generally observed in cool-temperate waters between 30º and 45º of latitude in both hemispheres (Jefferson et al. 2014), while aggregations in mid-latitudes would be related to fine-scale habitat preferences (Bearzi et al. 2011; Azzellino et al. 2012). Fine-scale habitat preferences could explain the observed concentration of Risso’s dolphin groups in a short section of the study area, as well as the high occurrence of Risso’s dolphins observed in this study. The study area is characterized by a strong bottom topography gradient, a relative narrow continental shelf and an abrupt change in the coastline orientation from northeast-southwest to east-west (Campos et al. 1995; Rodrigues & Lorenzzetti 2001). These cha racteristics and the influence of strong easterly-northeasterly winds drive intense upwelling events (Campos et al. 1995; Rodrigues & Lorenzzetti 2001; Suzuki et al. 2015) that provide nutrient and oxygen-rich water to the surface layer, supporting a huge occurrence of many marine species (Matsuura 1998; Madureira et al. 2005; Bernardes et al. 2007), as well as increased upper trophic levels interactions (see Sucunza et al. 2015). In addition, the presence of submarine canyons throughout the study area (Caddah et al. 1998) could also be influencing the occurrence of Risso’s dolphins in the region. As observed in the Mediterranean Sea, these prominent topography features may contain high prey availability, attracting the presence of cetaceans that feed at high depths, such as the Risso’s dolphin (Cañadas et al. 2002). The occurrence of cephalopods of the families Ommastrephidae and Loliginidae in the study area (Araújo & Gasalla 2019) which are reported as the main food items of Risso’s dolphins (Cockcroft et al. 1993; Blanco et al. 2006; Azzellino et al. 2012; Plön et al. 2020), corroborates the hypothesis of great habitat suitability for the species. However, high anthropogenic pressures in the study area, caused by oil and gas exploration (Agência Nacional Do Petróleo 2020), seismic prospecting, vessel traffic and fishing (Port et al. 2016), may jeopardize the conservation of the Risso’s dolphin. Certainly, further studies are needed to get a more detailed knowledge about the critical habitats of Risso’s dolphins in Brazilian waters. Nevertheless, the results presented here should be used as a basis for planning conservation and management actions off Southeast Brazilian offshore waters.
CONCLUSIONS
In addition to presenting unprecedented data on sightings of the Risso’s dolphin in Southeast Brazil, the results obtained by the present study corroborate the oceanic habit reported for the species in most studies carried out in other regions of the world. The Risso’s dolphin seems to preferentially occur in areas close to the continental shelf break, which is probably related to foraging activity. Considering the high anthropogenic pressure in the study area and the classification of the species as ”Data Deficient” in the last available national assessment, it is highly recommended that this information be taken as baseline for future conservation status assessments and management actions in Brazil.
Acknowledgments
This study was supported financially by NAV oceanografia. Data collection was professionally carried out by Eliza Doria, Luiz C. P. de S. Alves, Jonatas H. F. do Prado, Emanuel Ferreira, Martin S. Perez, Franciele R. Castro. We also thank the pilots Cristiano Camejo and Alexandre Helm from JAD Taxi Aéreo for safely completing the aerial surveys. The Coordination for the Improvement of Higher Education Personnel (CAPES) provided a scholarship to FS (Process 1548067).
REFERENCES
Agéncia Nacional Do Petróleo, Gás Natural e Biocombustíveis. 2020. Exploratory blocks and production fields in Campos Basin. https://doi.org/10.11606/t.106.2019.tde-19052020-144534
Amante, C., & B. W. Eakins. 2009. ETOPO1 Global Relief Model converted to PanMap layer format. NOAA-National Geophysical Data Center, PANGAEA. https://doi.org/10.1594/PANGAEA.769615
Amaral, K. B. Do et al. 2018. Reassessment of the franciscana Pontoporia blainvillei (Gervais & d’Orbigny, 1844) distribution and niche characteristics in Brazil. Journal of Experimental Marine Biology and Ecology 508:1–12. https://doi.org/10.1016/j.jembe.2018.07.010
Araújo, C. C., & M. A. Gasalla. 2019. Biodiversity of cephalopod early-life stages across the Southeastern Brazilian Bight: spatio-temporal patterns in taxonomic richness. Marine Biodiversity 49:2429–2443. https://doi.org/10.1007/s12526-019-00980-w
Azzellino, A., S. Panigada, C. Lanfredi, M. Zanardelli, S. Airoldi, & G. Notarbartolo Di Sciara. 2012. Predictive habitat models for managing marine areas: Spatial and temporal distribution of marine mammals within the Pelagos Sanctuary (Northwestern Mediterranean sea). Ocean & Coastal Management 67:63–74. https://doi.org/10.1016/j.ocecoaman.2012.05.024
Baumgartner, M. F. 1997. The distribution of Risso’s dolphin (Grampus griseus) with respect to the physiography of the northern Gulf of Mexico. Marine Mammal Science 13:614–638. https://doi.org/10.1111/j.1748-7692.1997.tb00087.x
Bearzi, G., R. R. Reeves, E. Remonato, N. Pierantonio, & S. Airoldi. 2011. Risso’s dolphin Grampus griseus in the Mediterranean Sea. Mammalian Biology 76:385–400. https://doi.org/10.1016/j.mambio.2010.06.003
Bernardes, R. Á., C. L. D. B. Rossi-Wongtschowski, & L. S.-P. Madureira. 2007. Prospecção pesqueira de espécies pelágicas de pequeno porte com rede de meia-água na Zona Econômica Exclusiva da Região Sudeste-Sul do Brasil. São Paulo. https://doi.org/10.11606/d.21.2001.tde-28092001-131903
Bilgmann, K., G. J. Parra, L. Holmes, K. J. Peters, I. D. Jonsen, & L. M. Móller. 2019. Abundance estimates and habitat preferences of bottlenose dolphins reveal the importance of two gulfs in South Australia. Scientific Reports 9:8044. https://doi.org/10.1038/s41598-019-44310-3
Bisi, T. L. et al. 2013. Trophic relationships and habitat preferences of delphinids from the southeastern Brazilian coast determined by carbon and nitrogen stable isotope composition. PLoS ONE 8:e82205. https://doi.org/10.1371/journal.pone.0082205
Blanco, C., M. Á. Raduán, & J. A. Raga. 2006. Diet of Risso’s dolphin (Grampus griseus) in the western Mediterranean Sea. Scientia Marina 70:407–411. https://doi.org/10.3989/scimar.2006.70n3407
Buckland, S. T., D. R. Anderson, K. P. Burnham, J. L. Laake, D. L. Borchers, & L. Thomas. 2001. Introduction to distance sampling: Estimating abundance of wildlife populations. Oxford University Press, New York. https://doi.org/10.1111/j.1541-0420.2006.005881.x
Caddah, L. F. G., R. O. Kowsmann, & A. R. Vaina. 1998. Slope sedimentary facies associated with Pleistocene and Holocene sea-level changes, Campos Basin, southeast Brazilian Margin. Sedimentary Geology 115:159–174. https://doi.org/10.1016/s0037-0738(97)00091-2
Campos, E. J. D., J. E. Gonçalves, & Y. Ikeda. 1995. Water mass characteristics and geostrophic circulation in the South Brazil Bight: Summer of 1991. Journal of Geophysical Research 100:18,537550. https://doi.org/10.1029/95jc01724
Cañadas, A., R. Sagarminaga, & S. Gacía-Tiscar. 2002. Cetacean distribution related with depth and slope in the Mediterranean waters off southern Spain. Deep-Sea Research Part I: Oceanographic Research Papers 49:2053–2073. https://doi.org/10.1016/s0967-0637(02)00123-1
Cockcroft, V. G., S. L. Haschick, & T. W. Klages. 1993. The diet of Risso’s dolphin, Grampus griseus (Cuvier, 1812), from the east coast of South Africa. Zeitschrift fur Säugetierekunde 58:286–293.
Cox, S. L. et al. 2017. Temporal patterns in habitat use by small cetaceans at an oceanographically dynamic marine renewable energy test site in the Celtic Sea. Deep-Sea Research Part II: Topical Studies in Oceanography 141:178–190. https://doi.org/10.1016/j.dsr2.2016.07.001
Crespo, E. A., S. N. Pedraza, M. F. Grandi, S. L. Dans, & G. V. Garaffo. 2010. Abundance and distribution of endangered Franciscana dolphins in Argentine waters and conservation implications. Marine Mammal Science 26:17–35. https://doi.org/10.1111/j.1748-7692.2009.00313.x
Dalla Rosa, L., J. K. B. Ford, & A. W. Trites. 2012. Distribution and relative abundance of humpback whales in relation to environmental variables in coastal British Columbia and adjacent waters. Continental Shelf Research 36:89–104. https://doi.org/10.1016/j.csr.2012.01.017
Danilewicz, D. et al. 2020. Projeto de monitoramento aéreo de mamíferos marinhos na Bacia de Santos. IBAMA e Indústria de Pesquisa Sísmica: em busca do conhecimento e sustentabilidade através do licenciamento ambiental (A. F. Barbosa & A. L. Owens, eds.). Mind Duet Comunicação e Marketing, Rio de Janeiro. https://doi.org/10.29327/514128-2
Di Tullio, J. C., T. B. R. Gandra, A. N. Zerbini, & E. R. Secchi. 2016. Diversity and distribution patterns of cetaceans in the subtropical southwestern Atlantic outer continental shelf and slope. PLoS ONE 11:e0155841. https://doi.org/10.1371/journal.pone.0155841
Elwen, S. H., & P. B. Best. 2004. Environmental factors influencing the distribution of southern right whales (Eubalaena australis) on the south coast of South Africa I: broad scale patterns. Marine Mammal Science 20:567–582. https://doi.org/10.1111/j.1748-7692.2004.tb01180.x
Forney, K. A., & J. Barlow. 1998. Seasonal patterns in the abundance and distribution of California cetaceans, 1991-1992. Marine Mammal Science 14:460–489. https://doi.org/10.1111/j.1748-7692.1998.tb00737.x
Hartman, L. K. 2018. Risso’s Dolphin: Grampus griseus. Encyclopedia of Marine Mammals (B. Würsig, J. G. M. Thewissen & K. K. M., eds.). Third Edit. Academic Press.
Hartman, L. K., A. Wittich, J. J. Cai, F. H. Van Der Meulen, & J. M. N. Azevedo. 2016. Estimating the age of Risso’s dolphins (Grampus griseus) based on skin appearance. Journal of Mammalogy 97:490–502. https://doi.org/10.1093/jmammal/gyv193
Jefferson, T. A., C. R. Weir, R. C. Anderson, L. T. Ballance, R. D. Kenney, & J. J. Kiszka. 2014. Global distribution of Risso’s dolphin Grampus griseus: a review and critical evaluation. Mammal Review 44:56–68. https://doi.org/10.1111/mam.12008
Kent, C. S., P. Bouchet, R. Wellard, L. Parnum, L. Fouda, & C. Erbe. 2020. Seasonal productivity drives aggregations of killer whales and other cetaceans over submarine canyons of the Bremer Sub-Basin, south-western Australia. Australian Mammalogy 43(2). https://doi.org/10.1071/am19058
Kruse, S., D. K. Caldwell, & M. C. Caldwell. 1999. Risso’s dolphin Grampus griseus. Handbook of Marine Mammals, Volume 6: The Second Book of Dolphins and Porpoises (S. H. Ridgway & R. Harrison, eds.). Academic Press.
Leatherwood, S., W. F. Perrin, V. L. Kirby, C. L. Hubbs, & M. Dahlheim. 1980. Distribution and movements of Risso’s dolphin, Grampus griseus, in the eastern North Pacific. Fishery Bulletin 7:951–963.
Machado, A. B. M., G. M. Drummond, & A. P. Paglia. 2008. Livro Vermelho da Fauna Brasileira Ameaçada de Extinção. 1st edition. Brasília.
Madureira, L. et al. 2005. Identification of acoustic records of the Argentinian Calamar Illex argentinus (Castellanos, 1960) along the outer shelf and shelf break of the south and southeast coast of Brazil. Fisheries Research 73:251–257. https://doi.org/10.1016/j.fishres.2005.01.021
Maia Nogueira, R. 2000. Primeiro registro de golfinho-de-Risso (Grampus griseus) G. Cuvier, 1812 (Cetacea. Delphinidae), no litoral do Estado da Bahia incluindo uma revisão da espécie em águas brasileiras. Bioikos 14:34–43.
Matsuura, Y. 1998. Brazilian sardine (Sardinella brasiliensis) spawning in the southeast Brazilian Bight over the period 1976-1993. Revista Brasileira de Oceanografia 46:33–43. https:/doi.org/10.1590/s1413-77391998000100003
McLellan, W. A. et al. 2018. Distribution and abundance of beaked whales (Family Ziphiidae) Off Cape Hatteras, North Carolina, U.S.A. Marine Mammal Science 34:997–1017. https://doi.org/10.1111/mms.12500
Nasa Goddard Space Flight Center, Ocean Ecology Laboratory, Ocean Biologyprocessing Group. Moderate-resolution Imaging Spectroradiometer (modis) AQYa 2014. Day/Night Sea Surface Temperature Data; 2014 Reprocessing. NASA OB.DAAC, Greenbelt, MD, USA. doi: data/10.5067/AQUA/MODIS/L3M/SST/2014. Acessed on 06/23/2020. https://doi.org/10.31857/s0205-96142019274-88-9958
Plón, S., E. R. Heyns-Veale, M. J. Smale, & P. W. Froneman. 2020. Life history parameters and diet of Risso’s dolphins, Grampus griseus, from southeastern South Africa. Marine Mammal Science 36:1–16. https://doi.org/10.1111/mms.12675
Port, D., J. A. A. Perez, & J. T. De Menezes. 2016. The evolution of the industrial trawl fishery footprint off southeastern and southern Brazil. Latin American Journal of Aquatic Research 44:908–925. https://doi.org/10.3856/vol44-issue5-fulltext-4
Qgis Development Team. 2018. QGIS Geographic Information System. Open Source Geospatial Foundation Project. http://qgis.osgeo.org
R Core Team. 2020. R: A language and environment for statistical computing. R Foundation for Statistical Computing, Vienna, Austria. URL https://www.R-project.org/.
Reeves, R. R., B. S. Stewart, P. J. Clapham, & P. A. Folkens. 2002. Sea mammals of the world: A Complete Guide to Whales, Dolphins, Seals, Sea Lions and Sea Cows. Gardners Books.
Riccialdelli, L. et al. 2011. Records of Risso’s dolphin, Grampus griseus, in coastal waters of southern Argentina. Biología Marina y Oceanografía 46:463–469. https://doi.org/10.4067/s0718-19572011000300015
Rodrigues, R. R., & J. A. Lorenzzetti. 2001. A numerical study of the effects of bottom topography and coastline geometry on the Southeast Brazilian coastal upwelling. Continental Shelf Research 21:371–394. https://doi.org/10.1016/s0278-4343(00)00094-7
Seyboth, E., K. R. Groch, E. R. Secchi, & L. Dalla Rosa. 2015. Habitat use by southern right whales, Eubalaena australis (Desmoulins, 1822), in their main northernmost calving area in the western South Atlantic. Marine Mammal Science 31:1521–1537. https://doi.org/10.1111/mms.12241
Sucunza, F. et al. 2015. Observations of antipredator tactics among pantropical spotted dolphins (Stenella attenuata) attacked by smooth hammerhead sharks (Sphyrna zygaena). Marine Mammal Science 31:748–755. https://doi.org/10.1111/mms.12169
Suzuki, M. S., C. E. Rezende, & R. Paranhos. 2015. Spatial distribution (vertical and horizontal) and partitioning of dissolved and particulate nutrients (C, N and P) in the Campos Basin, Southern Brazil. Estuarine. Coastal and Shelf Science 166:4–12. https://doi.org/10.1016/j.ecss.2014.12.031
Toledo, G. A. Da C., N. M. G. Filho, & J. L. Da S. Brito. 2015. Stranding of a Risso’s dolphin (Cetacea, Delphinidae) on the north-eastern coast of Brazil, with comments on its distribution and threats in the Western South Atlantic. Marine Biodiversity Records 7:7. https://doi.org/10.1017/s1755267215000408
Wells, R. S. et al. 2009. Movements and dive patterns of a rehabilitated Risso’s dolphin, Grampus griseus, in the Gulf of Mexico and Atlantic Ocean. Marine Mammal Science 25:420–429. https://doi.org/10.1111/j.1748-7692.2008.00251.x
Zerbini, A. N. et al. 2006. Satellite-monitored movements of humpback whales Megaptera novaeangliae in the Southwest Atlantic Ocean. Marine Ecology Progress 313:295–304. https://doi.org/10.3354/meps313295
Información adicional
Editor asociado: Dra. M. Florencia Grandi
Cite as: Portal, C., D. Danilewicz, P. H. Ott & F. Sucunza. 2022. Distribution patterns of Risso’s dolphin, Grampus griseus, in offshore waters of southeast Brazil assessed by aerial surveys. Mastozoología Neotropical, 29(1):e0660. https://doi.org/10.31687/saremMN.22.29.1.09.e0660