Aportación original
Factores maternos asociados al bajo peso al nacer
Maternal factors associated with low birth weight
Factores maternos asociados al bajo peso al nacer
Revista Médica del Instituto Mexicano del Seguro Social, vol. 54, núm. 5, pp. 562-567, 2016
Instituto Mexicano del Seguro Social
Recepción: 12 Mayo 2015
Aprobación: 13 Julio 2015
Resumen:
Introducción: En el Perú, el bajo peso al nacimiento es un indicador de riesgo de problemas perinatales y de la infancia, el objetivo del estudio fue determinar los factores maternos asociados al bajo peso al nacimiento.
Métodos: Estudio de casos y controles, en 123 recién nacidos de bajo peso (casos) y 123 recién nacidos de peso normal (controles) pareados por fecha de nacimiento y distrito. Se indagaron factores maternos asociados al bajo peso al nacimiento y se comparó entre casos y controles. Se aplicó Chi cuadrada, Odds ratio (OR) con sus intervalos de confianza al 95% (IC 95%), regresión logística binaria y curva ROC.
Resultados: Se encontraron asociaciones para antecedentes maternos de bajo peso (OR: 41.1; IC 95%: 5.5-306.7); prematuridad (OR: 12.0; IC 95%: 1.5-94.3), antecedente de eclampsia (OR: 5.8; IC 95%: 1.9-17.4), 1 a 3 controles prenatales (OR: 5.7; IC 95%: 2.6-12.3), gestación múltiple (OR: 4.7; IC 95%: 1.3-17.0) y consumo de tabaco (OR: 3.8; IC 95%: 1.5-9.8), el no ser adolescente (OR: 0.3; IC 95%: 0.1-0.6), y no tener un intervalo intergenésico corto (OR: 0.2; IC 95%: 0.1-0.7). El análisis multivariado nos indicó que el tener entre 1 a 3 controles prenatales, gestación múltiple, ser adolescente y un intervalo intergenésico corto se asocian al bajo peso al nacimiento, el modelo propuesto explicó el 18.6% del evento, el área bajo la curva fue 72.9% considerando que predice adecuadamente (p ˂ 0.001).
Conclusiones: Existen factores de riesgo materno asociados al bajo peso al nacimiento en gestantes de zona urbana de la costa como el tener de 1 a 3 controles prenatales, gestación múltiple, ser adolescente y tener un periodo entre embarazos menor a dos años.
Palabras clave: Recién nacido, Prematuro, Recién nacido de bajo peso.
Abstract:
Background: In Peru, low birth weight is an indicator of risk of perinatal problems and childhood, the study objective was to determine maternal factors associated to low birth weight.
Methods: Case-control study in 123 low birth weight (cases) and 123 normal-weight newborns (controls) matched for date of birth and district. Associated maternal factors were investigated to low birth weight and compared between cases and controls. Chi square was applied, Odds ratio (OR) with confidence intervals at 95% (95% CI), binary logistic regression and ROC curve.
Results: Partnerships for maternal history of low birth weight (OR: 41.1; 95 % CI: 5.5-306.7) were found; prematurity (OR: 12.0; 95% CI: 1.5-94.3), history of eclampsia (OR: 5.8; 95% CI: 1.9-17.4), one to three prenatal controls (OR: 5.7; 95% CI: 2.6-12.3), multiple gestation (OR: 4.7; 95% CI: 1.3-17.0) and tobacco consumption (OR: 3.8; 95 % CI: 1.5-9.8), not being a teenager (OR: 0.3; 95% CI: 0.1-0.6), and not having a short birth interval (OR: 0.2; 95% CI: 0.1-0.7). In multivariate analysis, we pointed out that having from 1 to 3 prenatal visits, multiple pregnancy, being a teenager and a short birth interval are associated with low birth weight, the proposed model explained 18.6% of the event, the area under the curve was 72.9%, considering that adequately predicts (p ˂ 0.001).
Conclusions: There are maternal risk factors associated with low birth weight in pregnant women in urban areas of the coast as having from 1 to 3 prenatal visits, multiple gestation, being a teenager and having a period between pregnancies shorter than two years.
Keywords: Newborn infant, Premature infant, Low birth weight Infant.
Se calcula que cada año nacen en el mundo unos 20.5 millones de niños con bajo peso al nacer, la mayor parte en países en vías de desarrollo.1 El bajo peso al nacer, ha sido definido por la Organización Mundial de la Salud (OMS) como el peso del neonato menor de 2500 g durante la primera hora de vida.2 El peso al nacimiento es un indicador que permite predecir la probabilidad de supervivencia perinatal.3 La tasa de bajo peso al nacimiento es del 15% para los países en desarrollo y 7% para los países desarrollados;3,4 en el Perú (2013) a nivel poblacional es del 7.3%,5 y en hospitales fue de 8.24 por 100 nacidos vivos.6 La prevalencia anual de bajo peso al nacer en China fue de 6%, por lo que en este país se presenta más de un millón de casos.7,8
Diversas condiciones maternas durante el embarazo, entre ellas la terapia antirretroviral, ser de raza negra, anemia, infección de las vías urinarias, preeclampsia, rotura prematura de membranas, ganancia de peso ponderal materna menor a 8 kg, factores psicosociales y el hábito tabáquico, son un riesgo predictor de bajo peso al nacimiento, otros factores asociados son la hemoglobina fetal glicosilada elevada y la prematuridad, el control prenatal inadecuado, la presencia de parto prematuro, madre primípara y edad menor a 20 años.
Diversos estudios describen la asociación entre el bajo peso al nacer con algunos trastornos durante el primer año de vida, entre lo que destacan el retraso de desarrollo neurológico, la hemorragia cerebral, las alteraciones respiratorias, el riesgo de asfixia al nacimiento y otras enfermedades que obligan a una hospitalización prolongada.5,6 El objetivo del estudio es determinar los factores maternos asociados al bajo peso al nacimiento.
Métodos
Se realizó un estudio retrospectivo, analítico de casos y controles, donde se ingresaron partos con diagnóstico de recién nacidos de bajo peso al nacimiento (casos) y un grupo de recién nacidos entre los 2501 a 3999 g (controles), excluyéndose los recién nacidos con algún síndrome y macrosómicos, atendidos entre 2010 y 2011 en el Instituto Nacional Materno Perinatal (Ministerio de Salud), en la capital de la república del Perú. Para la determinación de la muestra, se aplicó la fórmula para estudios comparativos con una confianza del 95%; un poder del 80% y una prevalencia de factores para los casos de 17.9%; asumiendo la prevalencia máxima para los controles (50%), se obtuvieron 121 casos, al solicitar los casos en los años comprendidos, se obtuvieron 123 por lo que se decidió tomar a la totalidad y aparear los casos con controles a través de la fecha de nacimiento y el distrito de procedencia, siendo la muestra total de 246 divididos en 123 casos y 123 controles.
Se midió: edad materna, estado civil, nivel educativo, número de gestaciones, intervalo intergenésico o periodo entre partos (años), considerando intervalo intergenésico corto cuando fue menor a 2 años, número de controles prenatales, tipo de parto (vaginal o cesárea), así como: sexo, peso (g) y edad gestacional (semanas) del recién nacido. Asimismo se midieron como factores: los antecedentes maternos de bajo peso, prematuridad, eclampsia, gestación múltiple, consumo de tabaco, antecedente de infección urinaria, anemia materna (Hb 11.0 g/dL), hipertensión arterial, preeclampsia y eclampsia.
Siendo la investigación retrospectiva, se aplicó la técnica de observación documental, solicitando las historias clínicas de los casos y controles, y colocando toda la información en una hoja de registro para su posterior digitación. El estudio fue aprobado por el Comité de Ética del Instituto Nacional Materno Perinatal (Carta N° 185-DG/N° 567-OEAIDE-INMP-13), la información se trabajó de forma anónima, es decir, no se registraron datos maternos de identificación para el estudio.
Para el análisis de los datos se aplicó distribución de frecuencias y porcentajes en las variables cualitativas, se determinó el promedio y la desviación estándar para la edad materna. Para la determinación de los factores de riesgo en el análisis bivariado se aplicó el estadístico Chi cuadrada y Exacto de Fisher, asimismo el odds ratio (OR) con sus intervalos de confianza al 95%. Para la determinación del modelo de factores de riesgo se aplicó la regresión logística binaria para el cálculo del OR ajustado (ORa) con sus intervalos de confianza al 95%; para la determinación de la bondad de ajuste del modelo se aplicó la prueba de Hosmer y Lemeshow, considerándose modelo adecuado cuando el valor p < 0.05. Para indicar el nivel predictivo del modelo se aplicó la prueba R2 de Cox y Snell, y finalmente para la determinación poder de discriminación de las variables predictoras se aplicó la curva ROC con las probabilidades estimadas al aplicar la regresión logística bajo el método de introducir con sus intervalos de confianza y su significancia estadística p < 0.05.
Resultados
El promedio de edad de las gestantes fue de 26.6 ± 6.9 años. El mayor porcentaje fue entre los 26 a 42 años (52.6%). El estado civil más frecuente fue el conviviente 42.3%; la mayoría tiene una escolaridad de nivel secundario (71.5%), y el 89.6 % presentó entre 1 a 3 gestaciones, el 76 % presentó un intervalo intergenésico entre 1 a 4 años; el 59.8% presentó entre 4 a 6 controles prenatales y solo un 21.1% presentó más de 6 controles, el 56.9% de los partos culminaron en cesárea (cuadro I).
| p | ORa | IC 95 % | ||
| L. Inf. | L. Sup. | |||
| 1 a 3 controles prenatales | 0.001 | 6.1 | 2.7 | 13.9 |
| Gestación múltiple | 0.014 | 5.7 | 1.4 | 23.0 |
| Adolescente | 0.002 | 0.3 | 0.1 | 0.7 |
| Intervalo intergenésico corto | 0.017 | 0.2 | < 0.1 | 0.7 |
Sensibilidad global: 66.3 %
Prueba de Hosmer y Lemeshow = 0.973; gl = 1; p = 0.914
R2 Cox y Snell = 0.185
En el análisis bivariado, se encontraron asociaciones significativas para antecedente materno de bajo peso: prematuridad, antecedente de eclampsia, 1 a 3 controles prenatales, gestación múltiple y consumo de tabaco. Por otro lado, el no ser adolescente y no tener un intervalo intergenésico corto, fueron factores protectores. No se encontró significancia estadística para antecedente de infección urinaria, anemia, hipertensión arterial, sexo masculino del recién nacido, preeclampsia y estado civil soltera (cuadro II).
| Bajo peso al nacer | OR | IC 95 % | p1 | ||
| Sí | No | ||||
| (n = 123) | (n = 123) | ||||
| Antecedente materno de bajo peso | |||||
| No | 74.8 | 99.2 | 1.0 | ||
| Sí | 25.2 | 0.8 | 41.1 | 5.5-306.7 | ˂ 0.001 |
| Prematuridad | |||||
| No | 91.1 | 99.2 | 1.0 | ||
| Sí | 8.9 | 0.8 | 12.0 | 1.5-94.3 | 0.005 |
| Antecedente de eclampsia | |||||
| No | 83.7 | 96.7 | 1.0 | ||
| Sí | 16.3 | 3.3 | 5.8 | 1.9-17.4 | 0.001 |
| Control prenatal | |||||
| ≥ 4 | 69.1 | 92.7 | 1.0 | ||
| 1 a 3 | 30.9 | 7.3 | 5.7 | 2.6-12.3 | ˂ 0.001 |
| Gestación múltiple | |||||
| No | 89.4 | 97.6 | 1.0 | ||
| Sí | 10.6 | 2.4 | 4.7 | 1.3-17.0 | 0.017 |
| Consumo de tabaco | |||||
| No | 83.7 | 95.1 | 1.0 | ||
| Sí | 16.3 | 4.9 | 3.8 | 1.5-9.8 | 0.004 |
| Antecedente de infección urinaria | |||||
| No | 80.5 | 85.4 | 1.0 | ||
| Sí | 19.5 | 14.6 | 1.4 | 0.7-2.8 | 0.309 |
| Antecedente de anemia | |||||
| No | 80.5 | 82.9 | 1.0 | ||
| Sí | 19.5 | 17.1 | 1.2 | 0.6-2.3 | 0.621 |
| Antecedente de hipertensión | |||||
| No | 78.9 | 80.5 | 1.0 | ||
| Sí | 21.1 | 19.5 | 1.1 | 0.6-2.1 | 0.751 |
| Sexo femenino | |||||
| No | 55.3 | 53.7 | 1.0 | ||
| Sí | 44.7 | 46.3 | 1.1 | 0.6-1.6 | 0.798 |
| Antecedente de preeclampsia | |||||
| No | 87.0 | 85.4 | 1.0 | ||
| Sí | 13.0 | 14.6 | 0.9 | 0.4-1.8 | 0.712 |
| Soltera | |||||
| No | 67.5 | 59.3 | 1.0 | ||
| Sí | 32.5 | 40.7 | 0.7 | 0.4-1.2 | 0.186 |
| Adolescente | |||||
| No | 89.4 | 71.5 | 1.0 | ||
| Sí | 10.6 | 28.5 | 0.3 | 0.1-0.6 | ˂ 0.001 |
| Intervalo intergenésico corto | |||||
| No | 97.6 | 88.6 | 1.0 | ||
| Sí | 2.4 | 11.4 | 0.2 | 0.1-0.7 | 0.010 |
| Total | 100.0 | 100.0 | |||
En el análisis multivariado, se encontró que el tener entre 1 a 3 controles prenatales, gestación múltiple, ser adolescente y un intervalo intergenésico corto se asocian con bajo peso al nacimiento. El modelo propuesto tuvo una sensibilidad global de 66.3%, y eso explicó el 18.6% del evento (R2 Cox y Snell = 0.185), la prueba de Hosmer y Lemeshow indicó que el ajuste global del modelo fue adecuado (p = 0.914).
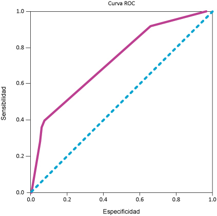
Para la determinación del poder de discriminación de las variables predictoras, se empleó la curva ROC, esta coincide con la probabilidad de que se distinga correctamente un caso de bajo peso al nacimiento del que no lo es, a través de las variables predictoras, siendo el peor escenario cuando el área es igual a 0.50. En nuestro caso, el tener entre 1 a 3 controles prenatales, la gestación múltiple, madre adolescente e intervalo intergenésico corto o menor a 2 años, representaron un área bajo la curva de 0.729 (IC 95%: 0.667-0.791), considerando que predicen adecuadamente casos de bajo peso al nacimiento (p < 0.001) (figura 1).

Área = 0.729,
L. inf = 0.667,
L. sup = 0.791,
p < 0.001
Figura 1 Curva ROC para la determinación de la sensibilidad del modelo de factores asociados al bajo peso al nacimiento.
Área = 0.729,
L. inf = 0.667,
L. sup = 0.791,
p < 0.001
Discusión
En el presente estudio se ha encontrado asociación para bajo peso al nacimiento en cuatro factores: tener de 1 a 3 controles prenatales, la gestación múltiple, madre adolescente e intervalo intergenésico corto. Las consultas prenatales son un medio esencial de acercamiento de los profesionales de la salud hacia las madres, y con personal de salud adecuadamente capacitado se pueden promocionar las actividades preventivas durante la gestación y fomentar regímenes alimentarios sanos.13 Uno de los puntos que mejor ejemplifican los esquemas de prevención son los controles prenatales, nuestro estudio encontró 6 veces el riesgo asociado a tener de 1 a 3 controles prenatales, otro estudio encontró relación con casi 2 veces el riesgo (RM: 1.9).6 En Argentina también encontraron asociación, pero cuando se realizaron menos de cinco controles prenatales.9 Esto refleja que la labor preventiva en el control prenatal no está siendo manejada adecuadamente, en Colombia Cáceres Manrique10 sostiene que aún hay barreras en la gestante para acudir a sus consultas prenatales, se asume que el objetivo del control es preparar a la mujer para la maternidad y la crianza, detectando oportunamente los riesgos, lo cual no se estaría realizando por múltiples factores, entre ellos la falta de adherencia al control prenatal; el mismo reporte indica que esta adherencia se debe expresar no solo en las asistencias, sino en el cumplimiento de las recomendaciones. El seguimiento de la gestante tiene fallas, un estudio realizado en Cuba evaluó la calidad del control prenatal de las gestantes con recién nacidos de bajo peso, y encontró que el nivel de conocimientos sobre bajo peso al nacimiento que tienen los profesionales que atienden la consulta prenatal fue inadecuado (60% cuando el estándar era 90%), y el cumplimiento del flujograma de ganancia insuficiente de peso fue del 20%, cuando el estándar era 90%;11 ello es más difícil en aquellas con pocos controles prenatales, habría que estudiar las razones por las cuales las gestantes no completan sus controles prenatales. Un estudio realizado en el Perú, determinó que otorgar servicios incompletos, no ofrecer citas de seguimiento, incoordinación entre servicios, el desconocimiento sobre el control prenatal y el poco tiempo para la consulta prenatal se asociaron a menor cantidad de visitas prenatales.12
En Brasil, un estudio determinó que el aumento de los casos de bajo peso al nacimiento se debe al aumento de la tasa de parto múltiple y a la reducción en la tasa de muerte fetal (500 a 999 g).4 El estudio encontró una asociación de casi 6 veces más para bajo peso al nacimiento (ORa: 5.7; IC 95%: 1.4-23.0). Según Gallardo et al.,14 el bajo peso obedece a dos causas fundamentales: haber ocurrido un nacimiento antes del término o que el feto presente insuficiencia del peso en relación con la edad gestacional, en las gestaciones múltiples se presentan ambos eventos, por la propia gestación múltiple, los fetos raramente llegan al término y, por ende, el resultado de bajo peso es más probable; otro evento que está llevando a más gestaciones múltiples es lo descrito por Kushner-Dávalos,15 quién sostiene que un gran número de personas retrasan el embarazo debido a factores socioculturales, prefiriendo el desarrollo personal y laboral antes que tener hijos, y por ende recurren a fertilizaciones asistidas haciendo más probable las gestaciones múltiples.
Latinoamérica sigue siendo la región con mayor número de embarazos en adolescentes, después del África subsahariana. Entre los países con embarazo adolescente superior al 13% están Argentina, Bolivia, Colombia, Ecuador, Guatemala y República Dominicana, los cuales han subido en su prevalencia en los últimos años; en el grupo de los países que han bajado en su prevalencia están El Salvador, Honduras, Nicaragua, Panamá y Venezuela.
Entre los países con menos del 13% de embarazo adolescente y que han bajado su prevalencia está Brasil, Costa Rica, Haití, Jamaica, Perú y Uruguay; solo México, que pertenece al grupo con prevalencia menor a 13%, es el país en el que esta ha registrado un aumento.16
Una revisión sistemática encontró que la edad menor a 20 años se asoció al bajo peso al nacer en los países de Latinoamérica; entre los mecanismos que explican este evento son mujeres jóvenes con inmadurez del sistema reproductivo e inmadurez emocional.17 Un estudio de casos y controles en Argentina encontró en 380 adolescentes una proporción de 8.8% de recién nacidos de bajo peso, comparado con el 8.4% de las gestantes adultas.18 Con respecto al factor adolescente, se encontró una asociación de 0.3; IC 95%: 0.1-0.7), esto quiere decir que el no ser adolescente reduciría el riesgo de bajo peso en 70%; otros estudios encuentran este elemento como factor de riesgo.19
Castilla et al.,20 sostienen que los peores resultados respecto al bajo peso son más frecuentes en los hijos de adolescentes que en adulta. Morí Quispe et al.,21señalan que las madres con niños con bajo peso no se encuentran preparadas para manejar situaciones que puedan amenazar la vida de sus bebés o situaciones en las que exista un alto riesgo de secuelas que invaliden la autonomía del mismo, pues estas son más frecuentes en madres adolescentes, otro evento que sucedería en la gestante adolescente, es su pobre alimentación, Garcés y Gómez22 señalan que en la gestante desnutrida, y fundamentalmente en la adolescente que no ha completado su desarrollo, hay un inadecuado intercambio materno-fetal, así como un metabolismo anormal de proteínas, lípidos, carbohidratos y minerales en la madre que propician la utilización insuficiente de los nutrientes por el feto y afectan su desarrollo. En Argentina, Salcedo et al.,9 encontraron que más del 60% de las madres que presentaron un incremento de peso insuficiente durante la gestación, o un IMC pregestacional deficiente, tuvieron niños con estado nutricional deficiente. Ariza et al.,23 en Colombia, identificaron que el embarazo adolescente se presentó con mayor frecuencia en los sectores sociales menos favorecidos, y que las niñas y jóvenes gestantes registran estado nutricional inadecuado, lo que aumenta el riesgo de bajo peso al nacer entre otras patologías, este grupo es más propenso también al embarazo no deseado, en el Perú la cifra de embarazo no deseado en gestantes con recién nacidos de bajo peso al nacimiento es 30.2%.21
Otro factor encontrado fue el de tener un intervalo intergenésico corto (ORa: 0.2; IC 95%: < 0.1-0.7), es decir, que tener un periodo entre embarazos superior a dos años reduciría el riesgo de bajo peso al nacimiento en un 80%. Darle poco tiempo de recuperación al útero de la mujer con embarazo previo sería la causa subyacente, pues al someter nuevamente al útero a un siguiente embarazo en plazo menor al de los dos años, el entorno para la nueva gestación se considera poco favorable. En un estudio realizado en Cuba se encontraron 3 veces más probabilidades de bajo peso al nacer con un intervalo intergenésico corto (OR: 3.09), aunque los datos no fueron significativos.24En España, un estudio encontró que el 64% de los embarazos con intervalo intergenésico menor a 24 meses presentaron parto pretérmino.25
En el presente estudio no se pudo encontrar asociación con el bajo peso con factores como infecciones urinarias, anemia, hipertensión arterial, preeclampsia y sexo mujer del recién nacido, esto debido al tamaño de la muestra, a pesar que en el estudio se tomó toda la población de dos años en el Instituto.
A pesar que es una institución que anualmente atiende más de 17 mil partos, tampoco se encontró en ese periodo a gestantes con diabetes con producto que presentara bajo peso al nacimiento. También quisiéramos indicar que debido a que la población que acude al Instituto es en su mayoría de distritos de clases media a baja, se trata generalmente población joven, por lo que es probable que se presenten con menos frecuencia estos eventos, lo que no nos ha permitido encontrar una asociación significativa.
Consideramos que estos cuatro factores: tener de 1 a 3 controles prenatales, gestaciones múltiples, ser adolescente y tener un intervalo intergenésico corto, son predictores de bajo peso al nacimiento y deberían formar parte, en conjunto, de los procesos de capacitación, prevención y seguimiento de gestantes; estos cuatro factores, que en el modelo propuesto predicen adecuadamente el evento, sus probabilidades son predictivas también.
Por lo expuesto, los factores que pueden ser manejados por el sistema de salud, serían los correspondientes a: controles prenatales, ellos deben de tener objetivos claros en cada control, sobre todo en gestantes con bajo peso; intervalo intergenésico, porque este evento está en función de la planificación familiar entre las parejas, lo cual probablemente no estaría funcionando adecuadamente, quizá porque de las gestantes, una vez que han tenido su parto, son pocas las que salen con un método de planificación familiar y no acudan a sus controles posparto, posponiendo así su adecuado manejo reproductivo.
Podemos concluir que existen factores de riesgo materno asociados al bajo peso al nacimiento en gestantes de zona urbana de la costa como son: tener de 1 a 3 controles prenatales, gestación múltiple, ser adolescente y tener un periodo entre embarazos menor a dos años.
Referencias
1. González M, Pérez Y, Maldonado C. Comportamiento del bajo peso al nacer en el Policlínico “Belkys Sotomayor Álvarez” de Ciego de Ávila en el cuatrienio 2007-2010. MEDICIEGO 2011;17(2):[5 pp.])
2. Word Health Organization. Expert Group on Prematurity: final report. Geneva. WHO 1950 (Technidal Report 27)
3. Silva AAM, Coimbra LC, Silva RA, Alves MTSSB, Lamy Filho F, Lamy ZC, Mochel EG, Aragão VMF, Ribeiro VS, Tonial SR, et al: Perinatal health and mother-child health care in the municipality of São Luís, Maranhão State, Brazil. Cad Saude Publ 2001, 17: 1412–1423.
4. Veloso HJF, Silva AAM, Barbieri MA, Goldani MZ, Lamy Filho F, Simões VMF, Batista RFL, Alves MTSSB, Bettiol H: Secular trends in the rate of low birth weight in Brazilian State Capitals in the period 1996 to 2010. Cad Saude Publ 2013, 29:91–101.
5. Instituto Nacional de Estadística e Informática. Encuesta Demográfica y de Salud Familiar, ENDES Lima INEI 2013.
6. Ticona M, Huanco D, Ticona M. Incidencia y factores de riesgo de bajo peso al nacer en población atendida en hospitales del Ministerio de Salud del Perú. Ginecol Obstet Mex 2012;80(2): 51-60.
7. Valero De Bernabe J, Soriano T, Albaladejo R, Juarranz M, Calle ME, Martinez D, et al. Risk factors for low birth weight: a review. Eur J Obstet Gynecol Reprod Biol 2004; 116: 3-15.
8. Karimi M, Fallah R, Dehghanpoor A, Mirzaei M. Developmental status of 5-year-old moderate low birth weight children. Brain Dev 2011; 33: 651-5.
9. Salcedo G, Couceiro M. Factores de riesgo del estado nutricional al nacer. Rev Hosp Materno Infantil Ramon Sardá. 2012;31(1):4-12.
10. Cáceres-Manrique F. El control prenatal: una reflexión urgente. Rev Colombiana Obstet Ginecol 2009;60(2):165-170.
11. Haber M, Vazquez M, Medina C. Calidad de la atención a madres de recién nacidos con bajo peso. MEDISAN 2012;16(9):1333.
12. Munares-García O. Factores asociados al abandono al control prenatal en un hospital del Ministerio de Salud Perú. Rev Peru Epidemiol 2013;17(2):1-8.
13. Leal M. Bajo peso al nacer: una mirada desde la influencia de factores sociales. Rev Cubana Salud Publica. 2008;34(1): pp 01-10.
14. Gallardo-Ibarra L, Valásquez-Martínez E, Morales-Mendoza E. Bajo peso al nacer. Factores de riesgo y calidad de la atención prenatal. Buenaventura 2008-2009. Ciencias Hoguín 2012;18(2): 1-17
15. Kushner-Dávalos L. La fertilización in vitro: beneficios, riesgos y futuro. Rev Cient Cienc Med 2010;13(2):77-80.
16. Comisión Económica para América Latina y el Caribe. Implementación del Programa de Acción de la Conferencia internacional sobre la población y el desarrollo en América Latina y el Caribe examen del periodo 2009-2013 y lecciones aprendidas síntesis y balance. Naciones Unidas. Julio de 2013.
17. Sanchez T. Nonbiological maternal risk factor for low birth weight on Latin America: a systematic review of literature with meta-analysis. Einstein 2012; 10(3):380-5.
18. García M, Giorgetti M, Sartori M, Rey P, Pomata J, Meritano J. Embarazo adolescente ¿una población de riesgo? Rev Hosp Infantil Ramon Sardá 2010;29 (4):139-143.
19. Bárcenas M, Soria R, Merencio N, Palencia R, Roblejo M. Caracterización clínica epidemiológica del bajo peso al nacer en el área de salud Mayarí. Correo Cientif Med 2012;17(1);[10 pp.]
20. Castilla-Castilla C, García-García J, Rivera-Rosas S, Mendoza-Zanella R. Índice antropométricos y bioquímicos en la valoración nutricional del neonato de peso muy bajo. Rev Med Inst Mex Seguro Soc. 2014;52(2):138-43.
21. Morí-Quispe E, Contreras-Pulache H, Hinostroza-Camposano W, Gil-Guevara E, Vallejos-Matos A, Chacón-Torrico H. Relación con la pareja en madres de neonatos con bajo peso al nacer. Rev Peru Epidemiol 2013;17(1)[4 pp.]
22. Garcés M, Gómez Y. Factores de riesgo relacionado con recién nacidos bajo peso, de gestantes adolescentes de la Policlínica Mario Gutiérrez. Correo Cientif Med de Holguín 2011;15(4):[10 pp.]
23. Ariza N, Valderrama M, Ospina J. Caracterización del embarazo adolescente en dos ciudades de Boyacá, Colombi. Rev Virtual Univ Catolica del Norte 2014;42:154-163.
24. Vázquez Y, Hernández F, Navarro A, Amaro F. Bajo peso al nacer en un grupo básico de trabajo: comportamiento de factores de riesgo. Arch Med Camaguey 2007;11(3).
25. Domínguez L, Vigil-De Gracia P. El intervalo intergenésico: un factor de riesgo para complicaciones obstétricas y neonatales. Clin Invest Gin Obst 2005; 32(3):122-6.