Resumen:
Introducción: El infarto agudo de miocardio es una de las primeras tres causas de ingreso y la primera causa de defunción en la unidad de cuidados intensivos de un hospital de segundo nivel donde la infraestructura, la capacidad instalada y la localización geográfica impedían brindar un tratamiento óptimo de reperfusión.
Objetivo: Evaluar la mortalidad, los días de estancia, las complicaciones y el requerimiento de ventilación mecánica en los pacientes con infarto trombolizados frente a los no trombolizados.
Material y métodos: Estudio observacional, retrospectivo y analítico. Se incluyeron pacientes en cuidados intensivos con diagnóstico de infarto con ST elevado, de octubre de 2008 a septiembre de 2018. Se evaluó la estrategia de reperfusión, el tiempo para esta, las complicaciones cardiovasculares y no cardiovasculares, y el desenlace de los pacientes.
Resultados: Se incluyeron 244 pacientes con un promedio de edad de 59.1 ± 10.7 años, con alta frecuencia de obesidad, diabetes e hipertensión. Fueron trombolizados 183 pacientes. El tiempo de atención fue menor en los pacientes trombolizados (5.9 ± 5.8 frente a 20.4 ± 11.0 horas; p < 0.0001), con menos requerimiento de ventilación mecánica (26.2 frente a 52.4%; p = 0.002), menor estancia en terapia (3.0 ± 2.6 frente 4.6 ± 4.8 días; p = 0.029) y menor frecuencia de complicaciones, así como diferencia significativa en la muerte (16.3 frente a 50.8%; p < 0.0001).
Conclusiones: La trombólisis disminuyó el riesgo de muerte, de requerimiento de ventilación mecánica, los días de estancia en cuidados intensivos y el riesgo de desarrollar complicaciones tanto cardiovasculares como no cardiovasculares.
Palabras clave:Infarto del MiocardioInfarto del Miocardio,Terapia TrombolíticaTerapia Trombolítica,AngioplastiaAngioplastia,Respiración ArtificialRespiración Artificial,Tiempo de TratamientoTiempo de Tratamiento.
Abstract:
Background: Acute myocardial infarction is one of the most frequent causes of admittance and the first cause of death in an intensive care unit from a second-level hospital where the infrastructure, installed capacity and location withheld access to optimal reperfusion treatment.
Objective: To evaluate mortality, length of stay, complications and mechanical ventilation requirement in patients with myocardial infarction who underwent fibrinolysis against those who did not.
Material and methods: Observational, retrospective and analytic study. Patients admitted to the intensive care unit with ST elevated acute myocardial infarction from October 2008 to September 2018 were included. Reperfusion strategy, time to first attention, cardiovascular and non-cardiovascular complications, as well as outcome were evaluated.
Results: 244 patients were included with mean age of 59.1 ± 10.7 years and high prevalence of obesity, diabetes and hypertension. 183 patients underwent fibrinolysis. Time to treatment was shorter in those thrombolyzed (5.9 ± 5.8 vs. 20.4 ± 11.0 hours; p < 0.0001), with less requirement of mechanical ventilation (26.2 vs. 52.4%; p = 0.002), less intensive care stay (3.0 ± 2.6 vs. 4.6 ± 4.8 days; p = 0.029), less frequency of complications, and significant difference in death (16.3 vs. 50.8%, p < 0.0001).
Conclusions: Fibrinolysis diminished the risk of death, mechanical ventilation requirement, length of stay and cardiovascular and non-cardiovascular complications.
Keywords: Myocardial Infarction, Thrombolytic Therapy, Angioplasty, Respiration, Artificial, Time-to-Treatment.
Aportaciones originales
Infarto agudo de miocardio en una unidad de segundo nivel
Acute myocardial infarction in a second-level unit
Recepción: 02 Septiembre 2019
Aprobación: 13 Febrero 2020
Las enfermedades isquémicas del corazón son la primera causa de muerte en México; para el año 2016 representaron 97,743 defunciones,1 y ese mismo año, en el Hospital General Regional No. 66 del Instituto Mexicano del Seguro Social, en Ciudad Juárez, Chihuahua, fueron la segunda causa de muerte (por debajo de la diabetes mellitus) y afectaron por igual a hombres y mujeres del grupo de 20 a 59 años de edad.
Tradicionalmente, las guías de manejo sobre el infarto agudo de miocardio con elevación del segmento ST (IAMCEST) recomiendan que después de la reperfusión estos pacientes se ingresen a una unidad de cuidados intensivos (UCI) coronarios o equivalente, donde se pueda ofrecer monitoreo continuo y cuidado especializado.2
Nuestra UCI es una sala general médico-quirúrgica que recibe entre 300 y 400 ingresos anuales. En este contexto, los síndromes coronarios agudos son una de las primeras tres causas de ingreso y la primera causa de egreso por defunción.
Al ser un hospital de segundo nivel, no contamos con servicio de hemodinamia y, debido a nuestra localización geográfica, la unidad de referencia para dicho procedimiento se encuentra a 10 horas por vía terrestre, por lo que nuestra estrategia de reperfusión es la trombólisis, la cual no siempre se efectúa debido a retrasos del paciente y a la infraestructura vial local del sistema médico de emergencia, o por el sistema hospitalario ya referido. Tradicionalmente, los pacientes en choque o con reperfusión fallida son enviados a cateterismo entre 24 y 48 horas después de su primer contacto médico. Invariablemente, todos los pacientes reciben tratamiento médico óptimo acorde con las guías de práctica clínica mexicanas e internacionales.2,3
El presente estudio tuvo como objetivo evaluar la mortalidad, los días de estancia, las complicaciones y el requerimiento de ventilación mecánica en la UCI entre los pacientes con IAMCEST que se trombolizaron frente a los que no se trombolizaron.
Estudio observacional, de cohorte, retrospectivo y analítico. A partir de una bitácora de egreso de pacientes en la UCI del hospital mencionado se extrajeron los casos de cardiopatía isquémica y se procedió a la búsqueda y la recolección de datos de expedientes. La información recopilada se incorporó a una base de datos y la muestra se dividió en dos grupos: pacientes trombolizados y pacientes no trombolizados. Para ambos grupos se determinó el tiempo hasta el inicio de tratamiento, definido como el tiempo transcurrido desde el acmé de dolor hasta que los pacientes recibieron el fibrinolítico o el inicio del tratamiento antiisquémico en el Servicio de Urgencias. Se incluyeron casos desde octubre de 2008 hasta septiembre de 2018 y se consignaron sus variables demográficas (edad, sexo, peso, talla, índice de masa corporal y puntuación APACHE II [Acute Physiology And Chronic Health Evaluation II] de ingreso), sus factores de riesgo cardiovascular (diabetes, hipertensión arterial, tabaquismo, dislipidemia, cardiopatía isquémica previa), las características del infarto (cara electrocardiográfica afectada y puntuaciones TIMI [Thrombolysis in Myocardial Infarction] y de Killip y Kimball), las estrategias de reperfusión (tiempo para atención, trombólisis, trombolítico, angiografía-angioplastia y vaso tratado) y las complicaciones que el paciente presentó durante su estancia en la UCI, tanto cardiacas (choque cardiogénico, paro cardiaco, arritmias, extensión a ventrículo derecho, complicaciones mecánicas, edema pulmonar) como no cardiacas (neumonía, falla renal, delirio, hiperglucemia, hemorragia). Finalmente se consignó el desenlace de los pacientes (días de estancia, días con ventilación mecánica y tipo de egreso por mejoría o defunción). Las variables anteriores se categorizaron en función de la frecuencia de eventos o la relevancia, y en el caso de los días de ventilación mecánica, se consideraron solo aquellos pacientes que la tuvieron más de 24 horas.
Se excluyeron los pacientes con infarto agudo de miocardio sin elevación del segmento ST (IAMSEST) o angina inestable, y aquellos con infartos de los tipos 2 a 5. Se descartaron todos los pacientes que se trasladaron o egresaron de manera voluntaria, y aquellos en los cuales se ignoraba la estrategia de reperfusión, y se consideraron los egresos por máximo alcance terapéutico como defunciones.
Se realizó estadística descriptiva con distribución de frecuencias de cada una de las variables. Se llevó a cabo análisis inferencial paramétrico o no paramétrico de acuerdo con la distribución de las variables. Se compararon ambos grupos para las variables cualitativas con las pruebas de chi cuadrada o exacta de Fisher, y para las variables cuantitativas con las pruebas t de Student o U de Mann Whitney, de acuerdo con la prueba de normalidad (Shapiro-Wilks). Se consideró significativa una p < 0.05. Para la variable tiempo hasta el inicio de tratamiento se realizó un análisis de imputación de datos faltantes; con el resultado se hizo un análisis de regresión logística de las variables de desenlace significativas, con análisis multivariado ajustado a variables confusoras. El análisis estadístico se llevó a cabo con el programa Stata MP, versión 14.0. El estudio fue aprobado por el Comité de Investigación y Ética local No. 801 con registro R-2019-801-002.
Durante el periodo de estudio ingresaron a la UCI 306 pacientes con diagnóstico de síndrome coronario agudo, de los cuales se excluyeron 43 (14.1%) por tener diagnóstico de angina inestable o de IAMSEST y 11 (3.6%) por clasificarse como infartos de los tipos 2 a 5. Se descartaron 8 (3.3%) pacientes por trasladarse o por ignorar la estrategia de reperfusión (Fig. 1).

Se incluyeron 244 pacientes para el análisis final, cuyo promedio de edad fue de 59.1 ± 10.7 años; la mayor parte fue del sexo masculino (78.2%), con una alta frecuencia de sobrepeso (35.5%) y obesidad (46.6%). La hipertensión y la diabetes mellitus fueron los factores de riesgo cardiovascular más comúnmente identificados (63.1 y 50.4%, respectivamente). Existió diferencia significativa en la frecuencia de tabaquismo entre los trombolizados y los no trombolizados (37.7 frente a 18%; p < 0.005). Casi una tercera parte de los pacientes (29.3%) tenía al menos otro antecedente no relacionado con eventos coronarios (7.8% tenían diagnóstico de insuficiencia renal crónica), con mayor frecuencia no significativa en el grupo de no trombolizados. La cara electrocardiográfica más afectada fue la anterior (47.7%). Casi dos terceras partes de la población tuvieron a su ingreso una puntuación de Killip y Kimbal de I, y hubo una diferencia significativa entre los grupos con KK ≥ II (31.7% trombolizados frente a 56% no trombolizados; p < 0.002). El cuadro I muestra las características demográficas de los pacientes.

DE: desviación estándar; ECG: electrocardiograma; IMC: índice de masa corporal; NA: no aplica; RI: rango intercuartílico.
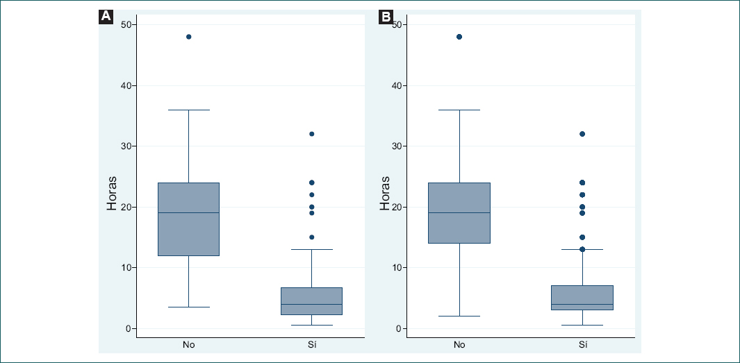
En total se trombolizaron 183 pacientes, de los cuales el 30% fueron sometidos posteriormente a angiografía coronaria. Por su parte, 61 pacientes no se trombolizaron y se ofreció angiografía a una tercera parte de ellos. La mediana de tiempo para recibir atención fue de 5 horas (rango intercuartílico: 3-12 horas) y hubo diferencia significativa en el tiempo de atención entre los pacientes trombolizados y los no trombolizados (4 frente a 19 horas; p < 0.0001), la cual persistió después del análisis de imputación (Fig. 2). El trombolítico más empleado fue la tenecteplasa (77.9%). En el estudio angiográfico, la arteria causante del infarto más frecuente fue la descendente anterior, en el 36.3% de las ocasiones, y se presentó enfermedad trivascular en un 14.5% de los estudios. De los 77 pacientes enviados a angiografía, se realizó angioplastia a 60 (77.9%). No hubo diferencias significativas entre grupos ni en cuanto al trombolítico, la arteria afectada o la angioplastia.

Una tercera parte de la muestra requirió ventilación mecánica, también con diferencia significativa entre grupos (26.2 frente a 52.4%; p = 0.002), pero sin diferencia en el número de días con ventilación mecánica. Finalmente, también hubo diferencia en los días de estancia en la UCI (3.0 ± 2.6 frente a 4.6 ± 4.8 días; p = 0.029).
Durante el periodo de estudio hubo 61 defunciones (25%). Existió diferencia significativa en la muerte entre los pacientes trombolizados y los no trombolizados (16.3 frente a 50.8%; p < 0.0001) (Cuadro II). El trombolítico empleado no modificó la mortalidad (22.6 frente a 15.9%; p = 0.386). De manera general, la angioplastia no modificó la mortalidad (28.3 frente a 35.3%; p = 0.57), pero en los subgrupos de angioplastia de rescate y primaria la mortalidad fue menor que en aquellos a los que no se ofreció terapia de reperfusión (20.1% rescate, 47% primaria, 60% no reperfusión; p = 0.016).

En relación con las complicaciones cardiovasculares, se encontraron diferencias significativas entre grupos en la incidencia de choque cardiogénico (29.5 frente a 54.1%; p = 0.001), paro cardiaco (13.1 frente a 26.3%; p = 0.017) y arritmias (37.2 frente a 59%; p = 0.003), sin diferencias en el tipo de arritmia ni en otras complicaciones, como las mecánicas, la angina posinfarto o el edema pulmonar agudo. La falla renal aguda fue la única complicación no cardiovascular que presentó diferencia entre grupos (12.6 frente a 36.1%; p < 0.0001), sin diferencias en la incidencia de neumonía, delirio, hemorragia mayor o menor e hiperglucemia (Cuadro III).

† Incluyen desequilibrio hidroelectrolítico, úlceras por presión, infecciones de tracto urinario, neumonitis por aspiración, laringoespasmo, broncoespasmo, traqueítis y lesión pulmonar aguda.
Finalmente se efectuó un análisis de regresión logística de las variables de mayor peso con análisis de imputación de casos por pérdidas en tiempo para tratamiento. Se tomaron en cuenta el tabaquismo, la clasificación Killip y Kimbal II-IV, la falla renal aguda, el paro cardiaco y las arritmias, las cuales se descartaron debido a que el porcentaje de explicación del modelo con el coeficiente de determinación (R2) fue bajo. La ventilación mecánica y el choque cardiogénico fueron las variables que generaron mayor riesgo en el modelo; cada hora que pasaba incrementaba el riesgo en un 14% (Cuadro IV).

El presente estudio muestra los resultados de la atención ofrecida a los pacientes con IAMCEST en una UCI general de segundo nivel de atención donde el acceso al intervencionismo coronario es limitado, lo cual, aunado a la infraestructura local y el nivel sociocultural de la población, puede llegar a reflejar las condiciones de otras zonas de características similares dentro del país.
Las características demográficas de nuestra población se asemejan a las reportadas en el Tercer Registro Nacional de Síndromes Coronarios Agudos (RENASICA III),4 con excepción de la prevalencia de tabaquismo, que fue menor en el presente estudio. Este dato puede ser resultado de un subregistro, aunque también puede ser un dato relacionado con la población local; la prevalencia en otras series (18%) tiene un valor similar al encontrado aquí.5 Otras diferencias frente al RENASICA III son la mayor frecuencia de pacientes con Killip y Kimbal entre II y IV o de infarto inferior. La mortalidad general fue del 25%, cifra superior a la reportada en el RENASICA III, pero inferior a la reportada en el estudio IABP SHOCK II de pacientes en choque cardiogénico, que fue cercana al 40%.6 Lo anterior puede deberse en parte a que la muestra solo incluyó pacientes que ingresaron a la UCI y debió haber un porcentaje de pacientes que pasaron directamente a piso y cuya evolución se desconoce.
Una cuarta parte de los pacientes no se trombolizaron; de estos, un tercio se encontraban en periodo de ventana trombolítica. El diseño del presente estudio no aborda las causas por las cuales no se efectuó la trombólisis; sin embargo, consideramos que es similar a lo referido por otros trabajos publicados, que mostraban como determinantes de no reperfusión la presencia de un electrocardiograma no concluyente, el retraso prehospitalario en la atención > 4 horas pero aún dentro de la ventana de 12 horas, la edad > 70 años, la insuficiencia cardiaca o la reanimación cardiopulmonar al ingreso, la mayor prevalencia de diabetes, la subutilización de los servicios médicos de emergencia y la falta de una adecuada red regional.7,8 La presencia de más nefropatías crónicas y neoplasias en el grupo de no trombolizados puede ser otro indicador causal en nuestra serie.
La mediana de tiempo hasta recibir atención fue de 5 horas. Los pacientes que se trombolizaron lo hicieron en promedio a las 6 horas de iniciado el cuadro, mientras que los que no se trombolizaron iniciaron el manejo antiisquémico en un lapso de 16 a 20 horas y tardaron hasta 48 horas en recibir atención. En nuestro medio, dados los recursos disponibles, la estrategia empleada es el manejo médico guiado por isquemia, en el que la presencia de angina, choque o insuficiencia cardiaca marcan la pauta para realizar angiografía-angioplastia cuando es logísticamente factible.9 Debido a lo anterior, solo se ofreció angiografía a una tercera parte y angioplastia de rescate a un menor porcentaje; si bien el estudio no evalúa las causas de no intervenir, suponemos que factores como el tiempo para el traslado, la enfermedad multivaso, las complicaciones de traslado o la toma de decisión del intervencionista pudieron ser factores contribuyentes. Por su parte, la angioplastia primaria tardía no mejoró los resultados de los pacientes trasladados, probablemente porque la mayoría se envió después de 24 horas y hasta 72 horas después del acmé, dato no abordado en el presente trabajo, pero acorde con lo reportado en el estudio OAT, que valoró el efecto de la intervención coronaria percutánea (ICP) más allá de 24 horas y hasta 28 días después del infarto en pacientes estables, en los que la ICP no redujo la ocurrencia de muerte, reinfarto o insuficiencia cardiaca.10
En nuestro conocimiento, no existe una guía de actuación mexicana o internacional que oriente el manejo de pacientes que no fueron sometidos a terapia de reperfusión alguna. En el estudio RENASICA III, solo el 37% de los pacientes recibieron terapia trombolítica y el 15.6% ICP primaria, lo que se traduce en que casi la mitad de los pacientes no se sometieron a terapia de reperfusión alguna; sin embargo, no se hace mención directa de estos pacientes.
Los pacientes trombolizados tuvieron una mortalidad del 16.3%, que se asemeja más a lo reportado por la literatura. La aplicación del fármaco disminuyó el riesgo de muerte un 82%; el beneficio se incrementa si además se ofrece angioplastia de rescate al paciente. El estudio NORDISTEMI valoró el beneficio de un envío inmediato a angioplastia frente a una estrategia conservadora guiada por isquemia en pacientes en los que la trombólisis es la estrategia de reperfusión primaria debido al tiempo y la distancia de transferencia a un hospital con capacidad para ICP, situación similar a la nuestra.11 En el estudio NORDISTEMI, la mayor distancia a un hospital con capacidad para ICP era de 200 km y el tiempo máximo para ICP en el grupo conservador que se envió a rescate fue de 400 minutos (6.7 horas); nuestro centro de referencia se encuentra a 834 km (10 horas) y en caso de subrogación de servicio dentro de la ciudad, a pesar de que la distancia máxima es de 15 km, el tiempo para realizar la angioplastia podría superar las 48 horas (2880 minutos). La transferencia inmediata redujo la frecuencia compuesta de muerte, reinfarto o accidente cerebrovascular, independientemente del mayor tiempo de traslado. A diferencia de nuestro estudio, el NORDISTEMI no abordó pacientes no trombolizados, en choque cardiogénico, mayores de 76 años o con inicio de síntomas más allá de 6 horas, situación que puede justificar diferencias adicionales en los resultados. Por su parte, el estudio MERLIN sí valoró dicha población, sin encontrar beneficio en la sobrevida;12 en nuestra población encontramos diferencia significativa para grupos similares con beneficio de la angioplastia, que se puede atribuir a los días libres de eventos señalados, a la menor frecuencia de complicaciones en los pacientes trombolizados o a la metodología empleada en el estudio MERLIN.13
El manejo de la ventilación mecánica es un pilar fundamental de la atención en la UCI. Son pocos los estudios de síndrome coronario agudo con elevación del segmento ST que abordan este tema y se remiten principalmente a estudios observacionales y retrospectivos con incidencias entre el 7.6% y el 18%. Las principales indicaciones para su empleo son el choque cardiogénico, la fibrilación ventricular y el edema pulmonar agudo.14,15 El estudio IABP-SHOCK II reportó un requerimiento de ventilación mecánica en pacientes con choque cardiogénico cercano al 80%, con un promedio de 3 días de ventilador y una media de 6 días de estancia en la UCI.6 El 32% de nuestra muestra requirió soporte ventilatorio, principalmente pacientes no trombolizados. Al igual que en los estudios referidos, el requerimiento de ventilador por sí mismo fue un indicador independiente de mortalidad, y la trombólisis disminuyó el riesgo absoluto de su requerimiento en un 68%. Existió diferencia significativa entre los distintos grupos en los días de ventilación, probablemente condicionado por la gravedad y por el número de complicaciones. Los días de estancia también fueron más en los pacientes no trombolizados y se puede atribuir a las causas referidas.
La frecuencia de complicaciones es similar a la reportada en el RENASICA III. La trombólisis disminuyó el riesgo de arritmias y de choque cardiogénico un 65% y un 59%, respectivamente. Los pacientes no trombolizados tuvieron mayor prevalencia de Killip y Kimball entre II y IV. El choque cardiogénico también incrementó de manera independiente el riesgo de muerte, incluso al ajustar por variables confusoras. Las arritmias ventriculares fueron las más frecuentemente encontradas, seguidas de los bloqueos, ambos en relación con la génesis de paro cardiaco, complicación frecuentemente encontrada en los no trombolizados.
La falla renal aguda fue la complicación no cardiovascular más frecuente, la cual parece que incrementa el riesgo de muerte seis veces, lo que no se mantiene al eliminar variables de confusión. La prevalencia fue similar a la reportada en otros trabajos específicamente diseñados para este fin.16,17
Entre las fortalezas del estudio se encuentra la valoración de un contexto real en nuestro país, lo cual sobrepasa lo propuesto en los grandes estudios multicéntricos, así como el abordaje integral del paciente a partir de considerar otros factores no cardiovasculares en el análisis de datos, como la nefropatía crónica, el consumo de alcohol, el requerimiento de ventilador y la frecuencia de falla renal y de delirio. Entre nuestras limitaciones se encuentran que es un estudio observacional y retrospectivo, lo que puede ocasionar sesgo por pérdida de valores, y el tamaño muestral que en algunos resultados podría tender al error, además de la falta de seguimiento en piso, lo que podría modificar el resultado final.
En un medio como el nuestro, donde el acceso al intervencionismo supera los tiempos recomendados, la estrategia de reperfusión farmacológica disminuyó el riesgo de muerte, el requerimiento de ventilación mecánica, los días de estancia en UCI y el riesgo de complicaciones tanto cardiovasculares como no cardiovasculares. Cuando la angioplastia de rescate fue posible, esta mejoró el desenlace de los pacientes. Nuevas estrategias nacionales, como Código Infarto, repercutirán en mejores resultados y mayor calidad de vida para estos pacientes.
Los autores han completado y enviado la forma traducida al español de la declaración de conflicto potencial de intereses del Comité Internacional de Editores de Revistas Médicas, y no fue reportado ninguno relacionado con este artículo.
Protección de personas y animales. Los autores declaran que para esta investigación no se han realizado experimentos en seres humanos ni en animales.
Confidencialidad de los datos. Los autores declaran que han seguido los protocolos de su centro de trabajo sobre la publicación de datos de pacientes.
Derecho a la privacidad y consentimiento informado. Los autores declaran que en este artículo no aparecen datos de pacientes.
PubMed: https://pubmed.ncbi.nlm.nih.gov/34002986/
Cómo citar este artículo: López-Valdés JI, Solis-Barraza M. Infarto agudo de miocardio en una unidad de segundo nivel. Rev Med Inst Mex Seguro Soc. 2020;58(3):275-283.


DE: desviación estándar; ECG: electrocardiograma; IMC: índice de masa corporal; NA: no aplica; RI: rango intercuartílico.



† Incluyen desequilibrio hidroelectrolítico, úlceras por presión, infecciones de tracto urinario, neumonitis por aspiración, laringoespasmo, broncoespasmo, traqueítis y lesión pulmonar aguda.
