Propiedades Psicométricas de la Versión en Español de la Escala de Calidad de Vida WHO QoL BREF en una Muestra de Adultos Mexicanos
Psychometric Properties of a Spanish Version of Quality of Life Scale WHO Qol BREF in a Mexican Adult Sample
Propiedades Psicométricas de la Versión en Español de la Escala de Calidad de Vida WHO QoL BREF en una Muestra de Adultos Mexicanos
Revista Iberoamericana de Diagnóstico y Evaluación - e Avaliação Psicológica, vol. 2, núm. 44, pp. 105-115, 2017
Associação Iberoamericana de Diagnóstico e Avaliação Psicológica
Resumen: El cuestionario Calidad de Vida, versión breve (WHOQOL-BREF) de la Organización Mundial de la Salud, es un instrumento de medición para evaluar calidad de vida en diferentes escenarios culturales. En el presente estudio se examinan sus propiedades psicométricas: la estructura factorial y consistencia interna de la versión en español, en una muestra de adultos Mexicanos empleando modelamiento de ecuaciones estructurales. Se encuestó un total de 678 participantes: 491 estudiantes de pregrado, 87 choferes de autobús y, 100 cuidadores de enfermos crónicos. Se obtuvieron valores mayores a .70 del coeficiente alfa de Cronbach en las diferentes dimensiones. En el análisis factorial confirmatorio los datos mostraron un ajuste débil con el modelo original de 4 factores. En el último modelo se eliminaron 7 reactivos observándose una mejoría importante en el ajuste del modelo aunque de manera insuficiente (RMR .092, GFI .869, NFI .589, RFI .539, PRATIO .891, PGFI .713). Se concluye que el SEM es un modelo adecuado para la evaluación de la estructura factorial del cuestionario. El modelo de cuatro dimensiones propuesto originalmente en el WHOQoL BREF se ajusta de forma débil a esta muestra, sin embargo se recomienda la evaluación cultural de los reactivos eliminados para obtener un mejor ajuste con el modelo teórico original.
Palabras clave: modelo de ecuaciones estructurales, análisis factorial confirmatorio, calidad de vida, WHO QoL BREF, propiedades psicométricas, muestra mexicana.
Abstract: The World Health Organization Quality of Life BREF (WHOQOL-BREF) questionnaire is a measurement instrument for assessing the quality of life in different cultural settings. The present study examine the psychometric properties: factorial structure and internal consistence of the Spanish version in a Mexican adult sample, using structural equations modelling. A total of 678 participants were tested: 491 undergraduate students, 87 bus drivers and, 100 caregivers of chronic patients. Cronbach´s alpha for different categories was high >.70. In confirmatory factor analysis, the data showed differed slightly from the original 4 factor model, for the last model 7 items were eliminated, noting important in the fit of the model although insufficient improvement (RMR .092, GFI .869, NFI .589, RFI .539, PRATIO .891, PGFI .713). It is concluded that the SEM is an adequate model for the evaluation of the structure factor of the questionnaire. Four dimensional model originally proposed in the BREF WHOQoL is adjusted weak form to this sample, sin embargo A cultural assessment of deleted items is recommended in order to obtain a better adjustment to the original theoretical model.
Keywords: structural equations model, confirmatory factor analysis, quality of life, WHOQOL-BREF, psychometric properties, mexican sample.
Introducción
El World Health Organization Quality of Life, versión breve (WHOQOL-BREF) es un cuestionario diseñado para medir calidad de vida sin importar las diferencias entre culturas de diferentes países. Se desarrolló simultáneamente en 15 localidades alrededor del mundo, entre las cuales se incluyó a los siguientes países latinoamericanos: Argentina, Brasil y Panamá (World Health Organization, 1998a).
La Organización Mundial de la Salud (OMS) ha definido la calidad de vida como “las percepciones individuales de una persona, de su posición en la vida en el contexto de su cultura y del sistema de valores en los que vive y en relación con sus objetivos, sus expectativas, normas y preocupaciones” (World Health Organization, 1998b). Se trata de un concepto que está influido por la salud física del sujeto, su estado psicológico, su nivel de independencia, sus relaciones sociales, así como la relación con su entorno.
A partir de esta esta definición y con el interés de proponer un instrumento enfocado a medir la calidad de vida sin importar diferencias culturales, se desarrolló el World Health Organization 100. Esta versión aunque permite una evaluación detallada de facetas individuales relacionadas con la calidad de vida, requiere mucho tiempo para responderlo. Por este motivo se desarrolló el WHOQOL-BREF que es una versión corta con 26 reactivos agrupados en 4 dimensiones destinadas a conocer el perfil de la calidad de vida: la salud física, la salud psicológica, las relaciones sociales y el ambiente, (World Health Organization, 1998b).
En estudios transculturales con el WHOQOL-BREF se han obtenido resultados positivos de las propiedades psicométricas (Saxena, Carlson, Billington, & Orley, 2001; World Health Organization, 1998a). Así mismo se ha reportado un buen desempeño del cuestionario respecto a su consistencia interna, validez discriminante, de criterio, concurrente y de test re-test (Chia-Ting, Hong-Son, Ai-Lun, & Chung-Ying, 2014; Skevington, Lotfy, & O´Connell, 2004).
Con relación a la estructura factorial de las versiones existentes del WHOQOL-BREF se ha reportado un ajuste aceptable al modelo de las 4 dimensiones propuesto en diversas culturas, así como buena consistencia interna, validez discriminante, de criterio, concurrente y de test re-test. Esto puede apreciarse en las versiones Sudanesa (Ohaeri, Awadalla, El-Abassi, & Jacob, 2007), Bangladesí (Tsutsumi et al., 2006), Iraní (Yousefy et al., 2010), Chilena (Espinoza, Osorio, Torrejón, Lucas-Carrasco, & Bunout, 2011), Colombiana (Cardona-Arias, Ospina-Franco, & Eljadue-Alzamora, 2015) y portuguesa (Fleck et al., 2000).
Sin embargo también se han encontrado algunos problemas psicométricos. Al comparar el WHOQOL-BREF con otros cuestionarios de calidad de vida, se ha identificado una menor validez de constructo (Huang, Wu, & Frangakis, 2006). De manera similar, mediante la aplicación del análisis factorial confirmatorio, se ha encontrado un ajuste marginal para el modelo de cuatro factores propuesto originalmente (Hanestad, Rustoen, Knudsen, Lerdal, & Wahl, 2004; Wong, Kuen-Lam, Leung, & Zhao, 2012;Xia, Li, Hau, Liu, & Lu, 2012). En el caso de la versión en español usando Modelos de Ecuaciones Estructurales, se ha identificado variaciones con relación al modelo original de cuatro componentes en la versión en español (Benitez-Borrego, Guàrdia-Olmos, & Urzúa-Morales, 2014; Urzúa-Morales & Caqueo-Urízar, 2013).
En otros estudios se han encontrado diferencias que cuestionan la precisión del WHO QoL BREF en comparaciones transnacionales, Theuns, Hofmans, Mazaheri, Van Acker y Bernheim (2010) refieren que no todos los reactivos se relacionan consistentemente con un solo factor cuando se comparan diferentes países y, Da Rocha y Almeida (2009) aunque concluyen que las cuatro dimensiones mostraron un ajuste adecuado con el modelo, reportaron la necesidad de realizar ajustes a algunos reactivos que debieron ser eliminados por problemas de dependencia de respuesta o de multidimensionalidad.
Si bien los estudios revisados muestran una importante evidencia de apoyo al modelo del WHOQOL-BREF en su aplicación en diferentes países es necesario resaltar los siguientes aspectos: existen resultados contradictorios sobre la validez de constructo (Huang et al., 2006) es posible encontrar múltiples señalamientos sobre la pertinencia de algunos indicadores en diferentes culturas, específicamente de las dimensiones física y psicológica pues no funcionan en el mismo sentido cuando se aplican en diferentes culturas (Theuns et al., 2010). Por último existe insuficiente investigación sobre las características psicométricas del cuestionario en la cultura Mexicana,
El objetivo de este trabajo es evaluar las propiedades psicométricas del WHOQOL-BREF en una muestra de adultos mexicanos. Específicamente se evalua la validez estructural y consistencia interna del instrumento.
Los resultados de este trabajo permitirán orientar estudios posteriores de muestras sistemáticas, para evaluar la validez y confiabilidad del WHOQOL-BREF en la cultura mexicana. Así mismo se espera contribuir a la mejora del instrumento en las áreas que sea necesario, para que cumpla con el objetivo para el cual fue diseñado: que sea válido y confiable sin importar diferencias transculturales.
Método
Participantes
Los datos se obtuvieron de una muestra por conveniencia (n=678), conformada por 491 estudiantes de pregrado, 87 operadores de transporte público y 100 cuidadores primarios de pacientes con enfermedad crónica.
Estos grupos fueron contactados mediante responsables de sus centros de adscripción quienes otorgaron las facilidades para la aplicación de los cuestionarios. Los participantes fueron invitados directamente a colaborar en el estudio y se les solicito el consentimiento informado.
El rango de edad de los participantes fue de 17 a 72 años ( =26; DE=12.5). Del total de la muestra el 35.8% son hombres con un promedio de edad de 29.75 años y una DE=13.81 y, el 64.2% mujeres con un promedio de edad de 23.95 años y una DE=11.26.
Si bien el sistema de muestreo por conveniencia proporciona resultados útiles y orientadores (Pimienta, 2000) no se considera, ni es el propósito del presente trabajo realizar inferencias respecto a la población de la cual se obtuvo la muestra. Sin embargo para disminuir las limitaciones de este tipo de muestreo, se definió una muestra grande para efectos de modelamiento de ecuaciones estructurales (Hair, Black, Babin, & Anderson, 2010).
Considerando que el objetivo del trabajo es evaluar la validez estructural y consistencia interna del instrumento y, que el WHOQOL-BREF se elaboró de manera que su aplicación en diferentes países brinde resultados similares, que permita evaluar subgrupos en una misma cultura y también no sólo evaluar el impacto de la enfermedad sino la calidad de vida en sí (World Health Organization, 1998b), se determinó que los integrantes de la muestra correspondieran a grupos con diferentes características y de diferentes grupos de edad (Cardona-Arias et al., 2015).
Instrumento
Esta versión corresponde a la adaptación en lengua española del WHOQOL-BREF y está conformada por 26 reactivos, cada uno con 5 opciones de respuesta.
Para este trabajo se omitieron dos reactivos los cuales corresponden a una apreciación global, general de la calidad de vida y por lo tanto no se refieren específicamente a alguna de las cuatro dimensiones del modelo. Los reactivos eliminados fueron (1): ¿cómo puntuaría su calidad de vida? y (2): y ¿cuán satisfecho/a está con su salud?.
Las 24 preguntas restantes se agrupan en las 4 dimensiones propuestas por la World Health Organization (1998a, 1998b): salud física (7 reactivos), salud psicológica (6 reactivos), ambiente (8 reactivos) y relaciones sociales (3 reactivos).
Cada uno de los reactivos se consideró como una variable observable y el valor de la misma determinado por una de las 5 opciones de respuesta. Las dimensiones salud física, salud psicológica, ambiente y relaciones sociales se consideraron las variables latentes o factores a evaluar en el análisis factorial confirmatorio.
Procedimiento
El WHOQOL-BREF se aplicó una vez que se obtuvo el consentimiento informado de los participantes. Personal previamente capacitado en la aplicación del cuestionario lo aplicó de forma colectiva en aulas y/o centros de capacitación debidamente equipados.
Se realizó un análisis factorial confirmatorio (AFC), el cual se considera el procedimiento más importante en el examen de las propiedades psicométricas de un instrumento de medición (Gálvez-Nieto, Vera-Bachman, Trizano, & García, 2015; Oliver, Sancho, Galiana, Tomás, & Gutiérrez, 2015).
Mediante el AFC es posible examinar la relación entre indicadores y variables latentes teorizadas y evaluar si la distribución observada de las respuestas a los reactivos corresponde efectivamente a su distribución esperada para las dimensiones de salud física, salud psicológica, ambiente y relaciones sociales (Hair et al., 2010).
El análisis se efectuó mediante modelamiento de ecuaciones estructurales utilizando el Amos 21.0 de IBM-SPSS (Arbuckle, 2006). Para evaluar el ajuste del modelo se utilizaron las siguientes medidas de discrepancia 1) CMIN, cociente entre el estadístico x2 y sus grados de libertad (x2/gl). Los valores cercanos a uno indican un ajuste correcto aunque valores menores a dos se consideran aceptables, 2) RMSEA, error cuadrático medio de aproximación, medida en la cual la discrepancia se mide en términos de la población, no solo de la muestra. Valores menores a .05 indican ajuste aceptable en tanto mayores a .01 implican rechazar el modelo.
Como medidas de comparación se seleccionaron 1) NFI, índice de ajuste normado y, 2) RFI el índice de ajuste relativo. Ambas evalúan contrastando con un modelo independiente, el cual tiene restricciones tan poco plausibles que tendrá un pobre ajuste. Se basan en la razón de discrepancia e indican que tan lejos (% de distancia) se encuentra el ajuste del modelo respecto de los modelos saturado e independiente. Usualmente valores mayores de .90 se consideran indicadores de ajuste aceptable.
Para identificar el modelo que mejor ajusta con los datos se consideran las medidas de bondad de ajuste: 1) índice de bondad de ajuste (GFI), el cual mide el grado en que los datos del modelo se ajustan adecuadamente a la muestra. Los valores deseables deben ser mayores a .90. 2) el índice de bondad de ajuste ajustado (AGFI) el cual incorpora el número de grados de libertad y; 3) la raíz media cuadrada de residuos (RMSR) que evalúa los residuos (diferencia entre estimados del modelo y de la muestra). A menor valor de (RMR) mejor ajuste, por tanto un valor de cero es el ajuste perfecto.
Por último para evaluar el ajuste de un modelo considerando su complejidad se contemplaron las siguientes medidas de parsimonia: PRATIO número de restricciones del modelo como fracción del número de restricciones del modelo independientes y el PGFI índice de bondad de ajuste (GFI) de parsimonia que incorpora la complejidad del modelo.
Resultados
La confiabilidad del WHOQOL-BREF se estableció mediante el coeficiente alpha de Cronbach. Se obtuvieron valores α mayores a 0.70 para todas las dimensiones y un α=.895 global, lo que indica una consistencia alta del instrumento (Cronbach & Shavelson, 2004).
Para evaluar el grado en que el WHOQOL-BREF cumple con las dimensiones que conforman la calidad de vida se realizó el análisis confirmatorio. Previamente se verificó la normalidad univariante de los datos mediante la prueba Kolmogorov-Smirnov. Los resultados de esta indicaron no-normalidad en todas las variables (p<.000). En al análisis multivariante se identificaron catorce casos atípicos (distancia Mahalanobis p<.001) por lo que se eliminaron. Considerando que la no-normalidad de la mayoría de las variables no se corregía mediante las transformaciones posibles de los datos, se seleccionó la estimación asintótica libre de distribución. Este tipo de estimación es el recomendado sí; 1) se cuenta con una muestra grande; 2) se dispone de la base de datos brutos y, 3) existen al menos tres indicadores por factor (Arbuckle, 2006).
El modelo inicial evaluó las cuatro dimensiones originales: Salud física (SalFis), Salud psicológica (SalPsic), Relaciones sociales (RelSoc) y Ambiente (Amb). Esas dimensiones se consideran inter-correlacionadas y cada una influye directamente en grupos específicos de indicadores, explicando la mayor parte de la varianza de los mismos.
Este modelo es recursivo, conformado por 28 variables no-observables y 24 observables endógenas. La unidad de medida de las no observables se determinó fijando en 1.0 el coeficiente de regresión de cada factor con su primer indicador. La matriz de datos tiene 300 momentos con 54 parámetros a estimar por lo que el modelo es sobre-identificado.
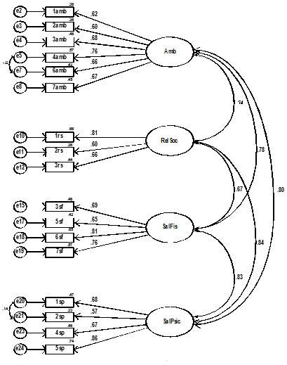
El análisis de este primer modelo (Figura 1) arrojó un pobre ajuste con los datos (x2=1065.056, df=264, p<.000) pese a que los coeficientes no-estandarizados obtuvieron valores considerados válidos (CR>1.96, p<.001).

Los factores mostraron una fuerte correlación entre ellos. Se obtuvieron valores r mayores a .656, llegando hasta .918 en el caso de salud física y salud psicológica. Esto significa que sus respectivos reactivos no permiten discriminar. Es muy posible que se trate de un mismo factor.
Respecto a las cargas de los factores sobre sus indicadores el factor SalPsic obtuvo coeficientes de regresión entre .524 y .855 lo que refleja una fuerte influencia del factor. Sólo el indicador 26SalPsic obtuvo un valor bajo de β=.266 lo que apunta a su posible eliminación.
El factor SalFis también muestra una fuerte influencia sobre sus indicadores, aunque menor que el factor anterior. El indicador 17SalFis fue el más alto con un valor β=.806 mientras los reactivos 4SalFis y 15SalFis mostraron los coeficientes menores β=.367 y β=.493 respectivamente.
Respecto a los indicadores de SalPsic el más bajo fue 26SalPsic con un β=.266, todos los demás obtuvieron valores menores a.524. El valor más alto fue para el indicador 19SalPsic de β=.855.
El factor RelSoc integrado por solo tres indicadores mostró coeficientes elevados en todos ellos indicando una asociación fuerte y consistente: 21RelSoc β=.644, 22RelSoc β=.645 y 20RelSoc β=.645. Por último en el factor Amb los indicadores 14Amb y 25Amb obtuvieron los coeficientes con valor más bajo β.344 y β=.466 respectivamente. Los coeficientes de los demás indicadores se distribuyeron en un rango β=.574 a β=.780 siendo el más alto 13Amb.
Aunque la mayoría de los indicadores muestran una fuerte relación con el factor que les corresponde y existe una elevada correlación entre los factores, las medidas de ajuste refieren un ajuste pobre del modelo de 4 factores con 24 reactivos. El valor CMIN, =1065.056 con 246 grados de libertad y una p=.000, significa una fuerte discrepancia con los datos. Igualmente el valor de CMIN /gl=4.329 resulta muy superior al criterio máximo de dos, confirmando el rechazo al ajuste del modelo (Byrne, 1994). Coincidentemente las medidas RMSEA=.071, GFI=.869 y RMR>.05 corroboran un ajuste pobre del modelo de la escala calidad de vida con los datos (Tabla 1).
Respecto a la varianza explicada de los indicadores (Tabla 2) los factores muestran una capacidad explicativa limitada, solo los reactivos 12amb, 13amb, 24amb, 20rs, 19sp, 18sf y 17sf, obtienen correlaciones múltiples cuadradas mayores a .50. Esto significa que únicamente en estos casos su factor logra explicar más del 50% de su variación.
| Tabla 1. Medidas de ajuste del modelo 1 con 24 indicadores | ||||||||
| RMR | GFI | NFI | RFI | PRATIO | PGFI | |||
| Modelo unidimensional | .092 | .869 | .589 | .539 | .891 | .713 | ||
| Modelo saturado | 0 | 1 | 1 | 0 | ||||
| Modelo independiente | .261 | .682 | 0 | 0 | 1 | .627 | ||
Puede afirmarse que la variación en los restantes reactivos se atribuye al error, más que al propio factor. Los valores más bajos resultaron en los reactivos 14amb con (r2=.118) y 4sf (r2=.135).
Para explorar la mejoría posible del modelo, se eliminaron, dada su anormalidad extrema (z(G1)=7.07, z(G1)=10.46), los reactivos 1sf (¿En qué medida piensa que el dolor físico le impide hacer lo que necesita?) y 2sf (¿Cuánto necesita de cualquier tratamiento médico para funcionar en su vida diaria?).
| Tabla 2. Correlaciones mútiples cuadradas del modelo 1 con 24 indicadores | |
| Indicadores | r2 Estimada |
| 8amb | .330 |
| 9amb | .363 |
| 12amb | .521 |
| 13amb | .608 |
| 14amb | .118 |
| 23amb | .343 |
| 24amb | .589 |
| 25amb | .217 |
| 20rs | .662 |
| 21rs | .415 |
| 22rs | .416 |
| 19sp | .731 |
| 11sp | .424 |
| 7sp | .274 |
| 6sp | .295 |
| 5sp | .431 |
| 26sp | .071 |
| 18sf | .592 |
| 17sf | .649 |
| 16sf | .441 |
| 15sf | .243 |
| 10sf | .406 |
| 4sf | .135 |
| 3sf | .272 |
Igualmente se excluyeron 6sp (¿En qué medida siente que su vida tiene sentido?) y 14amb (¿Hasta qué punto tiene oportunidad para realizar actividades de ocio?) reactivos que mostraron los mayores residuales y la menor varianza explicada (r2=.061, r2=.17).
Lo anterior disminuyó la complejidad del modelo generando una matriz de 210 momentos con ocho parámetros menos a estimar y con 164 grados de libertad (gl).
Este modelo de 20 reactivos, muestra una fuerte discrepancia con los datos que implica rechazar la hipótesis (CMIN =645.736 con 164 gl, p=.000). El valor de CMIN /gl=3.937, también resulta mayor que el máximo admisible.
Sin embargo se aprecia una disminución importante en la discrepancia con relación al modelo de 24 reactivos.
Otras medidas también registran un deficiente ajuste con los datos, pero igualmente indican una mejoría en la bondad de ajuste, aunque en conjunto confirman que el modelo de la escala calidad de vida sigue sin alcanzar un ajuste aceptable con los datos pero permiten suponer que el modelo puede modificarse.
En este modelo la totalidad de los estimados no-estandarizados resultaron estadísticamente diferentes de cero (α=.05) y las correlaciones entre los cuatro factores resultan elevadas (r>.696). Si bien se puede apreciar una disminución en la correlación entre salud física y salud psicológica (r=.904) este valor no permite eliminar la hipótesis de que se trata de un solo factor.
La mayoría de los coeficientes de regresión se incrementaron reflejando una fuerte relación entre cada factor y sus reactivos. En salud psicológica la mayoría de los indicadores alcanzaron valores entre .524 y .847. Respecto a salud física el rango de valores de los coeficientes estandarizados fue de .543 a .810 en 15sf y 17sf respectivamente.
| Modelos | RMR | GFI | NFI | RFI | PRATIO | PGFI |
| Modelo unidimensional | .069 | .918 | .671 | .604 | .831 | .768 |
| Modelo saturado | 0 | 1 | 1 | 0 | ||
| Modelo independiente | .261 | .751 | 0 | 0 | 1 | .667 |
Los tres reactivos de relaciones sociales 21rs, 22rs y 20rs mostraron valores β de .621, .650 y .809 correspondientemente lo cual indica una fuerte relación con su factor. Por último en el factor Amb el indicador 25amb resultó con el coeficiente menor β=.488. Los coeficientes de los demás se distribuyeron en un rango β=.596 a .769.
Pese a las elevadas cargas de la mayoría de los reactivos, el modelo de veinte reactivos tiene una capacidad explicativa limitada: solo 12amb, 13amb, 20rs, 19sp, 18sf y 17sf, obtienen correlaciones múltiples cuadradas mayores a .50. Solo en estos casos su varianza puede atribuirse a su factor correspondiente, en los demás la mayor parte de la varianza debe atribuirse al error. Los valores más bajos observados son para el reactivo 25amb con r2=.238, f7sp r2=.275 y, 15sf r2=.295.
Tomando en cuenta la mejoría alcanzada en este modelo respecto al de 24 reactivos (CMIN=645.736 vs. CMIN=1065.056), así como la mejoría observada en las cargas de los reactivos, se consideró realizar ajustes al modelo para mejorar su capacidad explicativa y ajuste con los datos.
Se eliminaron los reactivos con mayores residuales y menor r2: 15sf (¿Es capaz de desplazarse de un lugar a otro?), 7sp (¿Cuál es su capacidad de concentración?) y 25amb (¿Cuán satisfecho/a está con su transporte?). Estos reactivos correspondían a Salud física, Salud psicológica y Ambiente respectivamente.
Esta reducción a 17 reactivos disminuyó la complejidad del modelo reduciendo a 153 los momentos de la muestra con cuarenta parámetros a estimar y 113 grados de libertad.
Estas modificaciones al modelo no acusaron una disminución importante en la discrepancia con los datos, CMIN =403.651 con 113 gl, p=.000 y
CMIN /gl=3.572. La mejoría con relación al modelo de 20 reactivos (CMIN=645.736) resulta insuficiente para aceptar la hipótesis de ajuste con los datos.
En este modelo el índice de bondad de ajuste es aceptable (GFI=.918), los residuales se ubican cerca del aceptable (RMR=.069) y las medidas reflejan en general un mejor ajuste respecto a los anteriores modelos, incluso que el modelo independiente. Sin embargo en conjunto no permiten afirmar un ajuste adecuado de la escala calidad de vida con los datos (Tabla 3).
Las correlaciones entre los factores continúan resultando altas, pero sus valores disminuyen a un intervalo de 0.671-0.838, mejorando la especificación del modelo y reduciendo de manera importante el problema de discriminabilidad de los factores.
En cuanto a los coeficientes de regresión estandarizados en general se observa un ligero incremento (Tabla 4). En el factor salud psicológica el indicador con menor coeficiente fue 6sp β=.599 y 19sp el de mayor valor β=.863. En salud física el rango de valores de los coeficientes estandarizados fue de β=.657 el más bajo (16sf ) y β=.807 el más alto (reactivo 17sf). Los reactivos del factor Relaciones Sociales mostraron valores elevados: 21rs, β=.602, 20rs con β=.613 y 22rs b=.813. Finalmente, en el factor Ambiente el indicador 9amb resultó con el coeficiente menor β=.598. Los coeficientes de los demás se distribuyeron en un rango de β=639 a β=.763.
Estos resultados expresan una clara influencia de cada factor sobre sus respectivos reactivos, de manera coincidente con el modelo teórico de la escala de calidad de vida.
También se puede apreciar una mejoría del modelo en el incremento de los valores de la varianza explicada.
| Indicadores | Factor | B estimado | |
| 5sp | <--- | SalPsic | .708 |
| 6sp | <--- | .599 | |
| 11sp | <--- | .675 | |
| 19sp | <--- | .863 | |
| 10sf | <--- | SalFis | .693 |
| 16sf | <--- | .657 | |
| 17sf | <--- | .807 | |
| 18sf | <--- | .766 | |
| 8amb | <--- | Amb | .615 |
| 9amb | <--- | .598 | |
| 12amb | <--- | .698 | |
| 13amb | <--- | .763 | |
| 23amb | <--- | .639 | |
| 24amb | <--- | .682 | |
| 20rs | <--- | RelSoc | .813 |
| 21rs | <--- | .602 | |
| 22rs | <--- | .668 |
| Indicador | r2 estimada |
| 8amb | .378 |
| 9amb | .358 |
| 12amb | .487 |
| 13amb | .582 |
| 23amb | .409 |
| 24amb | .465 |
| 20rs | .661 |
| 21rs | .363 |
| 22rs | .447 |
| 19sp | .746 |
| 11sp | .455 |
| 6sp | .358 |
| 5sp | .501 |
| 18sf | .587 |
| 17sf | .652 |
| 16sf | .432 |
| 10sf | .480 |
Los indicadores 5sp, 13amb, 20rs, 19sp, 18sf y 17sf obtienen correlaciones múltiples cuadradas mayores a .51 lo que significa que su factor correspondiente logra explicar más del 50% de sus varianzas (Tabla 5).
En un último intento de lograr un ajuste aceptable se examinaron los índices de modificación (Arbuckle, 2006) que permitieron identificar dos covarianzas que implicaban una reducción considerable de x2 y por consiguiente una disminución en la discrepancia del modelo: la covarianza entre el error de los reactivos 1sp y 2sp del factor salud psicológica, y la covarianza de error de 4amb y 6amb del factor Ambiente.
Se consideró aceptar la covarianza entre el error de estos reactivos ya que correspondían al mismo factor y teóricamente es posible que la fuente de error pueda ser compartida. El modelo continuó con el mismo número de momentos, parámetros a estimar y grados de libertad (Figura 2).
Los resultados mostraron una mejoría en el ajuste con relación a los modelos anteriormente examinados, aunque sin lograr un ajuste aceptable. La discrepancia se redujo a CMIN=345.675, significativa a p=.000, y una CMIN/gl=3.065. Igualmente los residuales disminuyeron RMR=.065. Si bien esta última medida alcanzó un valor cercano a aceptable y el índice de bondad de ajuste GFI y el ajustado resultaron aceptables con valores de .930 y .905 respectivamente, las medidas comparativas y de parsimonia no apoyaron la existencia de ajuste.
El modelo mejoró significativamente tanto los valores de la varianza explicada como de los coeficientes estandarizados y al reducir los valores de las correlaciones se corrige ligeramente la fuerte correlación entre factores (multicolinealidad). Sin embargo esto es insuficiente para apoyar este modelo por lo que se concluyó que la escala de calidad de vida con cuatro factores intercorrelacionados integrada por 17 reactivos, muestra un ajuste débil con los datos.

Discusión
Mediante análisis factorial confirmatorio se analizaron 3 modelos de ecuaciones estructurales. En el primero se consideraron los 24 reactivos del WHOQOL-BREF y se omitieron dos preguntas generales. Considerando el ajuste débil obtenido en este modelo, se eliminaron 4 reactivos: dos que presentaron anormalidad extrema y otros dos que mostraron los mayores residuales y la menor varianza explicada. Este segundo modelo mostro una mejoría considerable pero lejos de un ajuste adecuado. Finalmente se probó un tercer modelo de 17 reactivos con covarianzas de error.
En general se obtuvo una confiabilidad aceptable tanto global como en cada una de las dimensiones. Con relación a la estructura factorial se obtuvieron medidas aceptables en el modelo final, sin embargo difiere ligeramente del original, resultados que coinciden con otros trabajos que lo han evaluado (Benitez-Borrego et al., 2014).
Del modelo final el cual obtuvo el mejor ajuste, se eliminaron los siguientes reactivo: 1sf ¿En qué medida piensa que el dolor le impide hacer lo que necesita?, 2sf ¿Cuánto necesita de cualquier tratamiento médico para funcionar en su vida diaria?, 6sp ¿En qué medida siente que su vida tiene sentido?, 14amb ¿Hasta qué punto tiene oportunidad para realizar actividades de ocio?, 7sp ¿Cuál es su capacidad de concentración?), 15sf Es capaz de desplazarse de un lugar a otro?, 25amb ¿Cuán satisfecho está con su transporte?.
De los reactivos eliminados tres corresponden a salud física, dos a salud psicológica y, dos a ambiente. Esto es reflejo de la alta correlación observada entre los factores salud física y salud psicológica. Se puede suponer que corresponden a un mismo factor. Estos factores no discriminan debido tal vez a diferencias culturales que implican quizá poco interés o sensibilidad a la salud psicológica entre los integrantes de la muestra. O pudiera ser que este factor es interpretado como parte de la salud global de la persona. Esta misma similitud se ha encontrado en estudios que comparan el uso transcultural del WHOQOL-BREF. Sin embargo sería esperable respuestas diferenciadas entre los dominios de salud física y psicológica en diferentes culturas (Theuns et al., 2010).
Es importante mencionar que si bien, el modelo final mantiene las cuatro dimensiones originalmente propuestas en el WHOQOL-BREF, un menor número de reactivos reduce significativamente la capacidad del instrumento para identificar perfiles de calidad de vida en estudios transculturales.
Se considera que el WHOQOL BREF es un cuestionario útil para evaluar calidad de vida en el contexto de la muestra mexicana analizada, pero con base en los resultados se considera también que una revisión cultural de los reactivos permitiría un ajuste más robusto. Es importante profundizar en los conceptos que subyacen a las dimensiones de salud física y psicológica para diferenciarlos claramente.
Es importante mencionar que en coincidencia con otros estudios (Theuns et al., 2010) algunos reactivos tienen una variación importante atribuible a variables desconocidas, específicamente los reactivos eliminados de las categorías salud física y salud psicológica. La correlación entre factores, particularmente alta entre salud física y salud psicológica sugiere la revisión de los reactivos en términos de una adaptación cultural. Si bien la escala WHOQOL BREF de 17 reactivos alcanza valores aceptables en algunas medidas de ajuste, en conjunto con los datos no se logra por lo que se requiere realizar otros estudios de adaptación y validación de la escala.
Referencias
Arbuckle, J. L. (2006). Amos (Version 7). Chicago: SPSS.
Benitez-Borrego, S., Guàrdia-Olmos, J., & Urzúa-Morales, A. (2014). Factorial structural analysis of the Spanish version of WHOQOL-BREF: An exploratory structural equation model study. Quality of Life Research: An International Journal of Quality of Life Aspects of Treatment, Care & Rehabilitation, 23(8), 2205-2212. doi:10.1007/s11136-014-0663-2
Byrne, B. M. (1994). Structural equation modeling with EQS and EQS/Windows. Thousand Oaks, CA: Sage Publications.
Cardona-Arias, J., Ospina-Franco, L., & Eljadue-Alzamora, A. (2015). Validez discriminante, convergente/divergente, fiabilidad y consistencia interna, del whoqol-bref y el mossf-36 en adultos sanos de un municipio colombiano. Rev. Fac. Nac. Salud Pública, 33(1), 50-57.
Chia-Ting, S., Hong-Son, N., Ai-Lun, Y., & Chung-Ying, L. (2014). Psychometric evaluation of the Short Form 36 Health Survey (SF-36) and the World Health Organization Quality of Life Scale Brief Version (WHOQOL-BREF) for patients with schizophrenia. Psychological Assessment, 26(3), 980. doi:10.1037/a0036764
Cronbach, J., & Shavelson, R. (2004). My current thoughts on coefficient alpha and successor procedures. Educational and Psychological Measurement, 64(3), 391-418. doi:10.1177/0013164404266386
Da-Rocha, N., & De-Almeida, F. (2009). Validez de la versión brasilera de WHOQOL-BREF en pacientes deprimidos usando el modelo del Rasch. Revista de Saúde Pública, 43(1), 147-153. doi:10.1590/S0034-89102009000100019
Espinoza, I., Osorio, P., Torrejón, M., Lucas-Carrasco, R., & Bunout, D. (2011). Validación del cuestionario de calidad de vida (WHOQOL-BREF) en adultos mayores chilenos. Rev Med Chile, 139, 579-586.
Fleck, M. P., Louzada, S., Xavier, M., Chachamovich, E., Vieira, G., Santos, L., & Pinzon, V. (2000). Application of the Portuguese version of the abbreviated instrument of quality life WHOQOL-bref. Rev Saude Publica, 34(2), 178-183. doi:10.1590/S0034-89102000000200012.
Gálvez-Nieto, J. L., Vera-Bachman, D., Trizano, Í., & García, J. A. (2015). Psychometric Examination of the Attitudes to Institutional Authority in Adolescence Scale (AAI-A), in Chilean Students. Revista Iberoamericana de Diagnóstico y Evaluación - e Avaliação Psicológica, 1(39), 57-67.
Hair, J., Black, W., Babin, B., & Anderson, R. (2010). Multivariate Data Analysis (7 ed.): Prentice Hall.
Hanestad, B., Rustoen, T., Knudsen, O. J., Lerdal, A., & Wahl, A. (2004). Psychometric properties of the WHOQOL-BREF questionnaire for the Norwegian general population. J Nurs Meas, 12(2), 147-159. doi:10.1891/jnum.2004.12.2.147
Huang, I.-C., Wu, A., & Frangakis, C. (2006). Do the SF-36 and WHOQOL-BREF measure the same constructs? Evidence from the Taiwan population. Quality of Life Research, 15, 15-24. doi:10.1007/s11136-005-8486-9
Ohaeri, J. U., Awadalla, A. W., El-Abassi, A.-H. M., & Jacob, A. (2007). Confirmatory factor analytical study of the WHOQOL-Bref: experience with Sudanese general population and psychiatric samples. BMC Medical Research Methodology, 7, 37-39. doi:10.1186/1471-2288-7-37
Oliver, A., Sancho, P., Galiana, L. T., Tomás, J. M., & Gutiérrez, M. (2015). Efecto de método asociado a los ítems en negativo en la versión en portugués de la escala de autoestima de Rosenberg. Revista Iberoamericana de Diagnóstico y Evaluación - e Avaliação Psicológica, 33(1), 75-91.
Pimienta, R. (2000). Encuestas probabilísticas vs. no probabilísticas. Política y Cultura, 263-276.
Saxena, S., Carlson, D., Billington, R., & Orley, J. (2001). The WHO quality of life assessment instrument (WHOQOL-Bref): The impor. Quality of Life Research, 10(8), 711-721. doi:10.1023/A:1013867826835
Skevington, S., Lotfy, M., & O'Connell, K. (2004). The World Health Organization's WHOQOL-BREF quality of life assessment: Psychometric properties and results of the international field trial A Report from the WHOQOL Group. Quality of Life Research, 13, 299-310.
Theuns, P., Hofmans, J., Mazaheri, M., Van Acker, F., & Bernheim, J. L. (2010). Cross-national comparability of the WHOQOL-BREF: A measurement invariance approach. Quality of Life Research, 19(2), 219-224. doi:10.1007/s11136-009-9577-9
Tsutsumi, A., Izutsu, T., Kato, S., MD Akramul, I., Sayuri Yamada, H., Kato, H., & Wakai, S. (2006). Reliability and validity of the Bangla version of WHOQOL-BREF in an adult population in Dhaka, Bangladesh Psychiatry and Clinical Neurosciences, 60, 493-498. doi:10.1111/j.1440-1819.2006.01537.x
Urzúa-Morales, A., & Caqueo-Urízar, A. (2013). Estructura Factorial y valores de referencia del WHOQoL-Bref en población adulta chilena. Rev. méd. Chile, 141(12), 1547-1554. doi:10.4067/S0034-98872013001200008
Wong, W., Kuen-Lam, C. L., Leung, K. F., & Zhao, L. (2012). Psychometric properties of the Chinese quality of life instrument (HK version) in Chinese and Western medicine primary care settings. Quality of Life Research, 26(9), 873-886. doi:10.1007/s11136-011-9987-3
World Health Organization. (1998a). Development of the World Health Organization WHOQOL-BREF Quality of Life Assessment. Psychologycal Medicine, 28, 551-558. doi:10.1017/S0033291798006667
World Health Organization. (1998b). Microsoft Word - WHOQOLUserManual.doc - who_qol_user_manual_98.pdf. Retrieved from http://www.who.int/mental_health/evidence/who_qol_user_manual_98.pdf
Xia, P., Li, N., Hau, K.-T., Liu, C., & Lu, Y. (2012). Quality of life of Chinese urban community residents: A psychometric study of the mainland chinese version of the WHOQOL-BREF. BMC Medical Research Methodology. doi:10.1186/1471-2288-12-37
Yousefy, A. R., Ghassemi, G. R., Sarrafzadegan, N., Mallik, S., Baghaei, A. M., & Rabiei, K. (2010). Psychometric properties of the WHOQOL-BREF in an iranian adult sample. Community Ment Health J, 46, 139-147. doi:10.1007/s10597-009-9282-8