Resumen: Una de las principales motivaciones de esta investigación fue contribuir a subsanar la falta de instrumentos diseñados específicamente para la medida de la Inteligencia Emocional (IE) en población infantil. EMOCINE (emociones a partir de escenas cinematográficas) es un instrumento de medida de la IE basado en los factores primarios de percepción y comprensión emocional del modelo de habilidad de Mayer y Salovey. El análisis de clases latentes realizado sobre las puntuaciones obtenidas en una muestra de 776 niñas (48.5%) y niños (51.5%), con una edad media de 9.2 años (DT=1.4) apoya un modelo evolutivo de tres estadios en el que hay elementos más básicos, como la percepción emocional, que anteceden a aquellos más complejos como la comprensión emocional, observándose un mayor rendimiento académico a medida que aumentan sus puntuaciones en IE. Adicionalmente, las puntuaciones en IE de las niñas fueron consistentemente más altas que las de los niños.
Palabras clave: inteligencia emocional, rendimiento académico, escenas cinematográficas, educación primaria, modelo evolutivo.
Abstract: One of the main motivations of this research was to help correct the lack of instruments designed specifically for the measure for Emotional Intelligence (EI) in children. EMOCINE (emotion in the cinema scenes) is a measurement instrument of EI based on two of the primary factors considered in Mayer and Saloveys’IE model: emotional perception and comprehension. The latent class analysis performed on the scores obtained in a sample of 776 children (48.5% girls and 51.5% boys), with an average age of 9.2 years (SD=1.4) supports a three-stage evolutionary model in which there are more basic elements, such as emotional perception, that precede more complex ones, such as emotional comprehension. EI shows, when evaluated through this measure, a positive relationship with Academic Performance. Additionally, girls 'scores in perception and emotional comprehension were consistently higher than boys.
Keywords: emotional intelligence, academic performance, film strips, schoolchildren, evolutionary model.
Introducción
A pesar de la trascendencia de la Inteligencia Emocional (IE), considerada como un factor fundamental para el ajuste psicosocial de los individuos, apenas existen instrumentos que permitan su evaluación en la etapa infantil, quizá por los problemas que presenta su medida tanto a nivel teórico como metodológico. A continuación, se revisan estos problemas y las posibles soluciones que aporta una nueva perspectiva para su medida a partir de la visualización de escenas cinematográficas. Asimismo, se indagará sobre la naturaleza del constructo y su relación con el Rendimiento Académico (en adelante RA).
La conceptualización del constructo emocional
La literatura científica en torno a la conceptualización del constructo IE polariza la misma entre una teoría que integra lo emocional como una parte de la inteligencia, y otra que lo define como un rasgo de la personalidad. Esta divergencia en la conceptualización ha generado la construcción de numerosas pruebas que, partiendo de una de las dos interpretaciones referidas, han puesto el acento bien en una medida de carácter cognitivo, de habilidades o rendimiento máximo en el caso de la IE, o bien, en instrumentos de medida basados en autoinformes desde una conceptualización del rasgo emocional como parte integrante del constructo de la personalidad. La disparidad conceptual en torno al constructo de la IE explica, en gran parte, el abanico de instrumentos de medida que hace difícil la integración de la investigación (Agirre, Etxaniz, & Fernández, 2017; Keefer, 2015; Extremera-Pacheco & Fernández-Berrocal, 2007).
La conceptualización del rasgo IE como elemento o faceta de nuestra personalidad y los denominados modelos mixtos (Bar-On, 1997; Cooper & Sawaf, 1997; Goleman, 1995; Petrides et al., 2016; Petrides, 2019), aíslan el constructo resultante de la capacidad cognitiva humana ubicándolo en la parte emocional de la personalidad y encaminando, por tanto, la investigación del rasgo IE hacia una hipótesis de concepción ortogonal (Ferrando et al., 2011). La localización de la IE, ya sea en la teoría de los cinco o tres grandes factores de personalidad, defiende la correlación entre IE y los factores de personalidad que integran las teorías indicadas.
Desde la otra perspectiva, que sitúa lo emocional ligado a procesos cognitivos y habilidades (Mayer, Caruso, & Salovey, 1999, 2016; Mayer & Salovey, 1997; Mayer, Salovey, & Caruso, 2002, 2012), se afirma que la mayoría de las teorías modernas de la emoción consideran los procesos cognitivos como un elemento esencial. De esta manera, la cognición o la razón es una parte integral de cómo se generan las emociones, de la percepción, comprensión y análisis que hacemos de las mismas y de su regulación. En los inicios del debate sobre el lugar de la IE con respecto a otras estructuras de capacidad cognitiva, Mayer et al. (1999) propusieron tres criterios de la IE para poder considerar esta como una forma legítima de inteligencia.
El primero de ellos, el criterio operacional, es el más controvertido en la actualidad, puesto que los diferentes test que constituirían la definición operacional del constructo han sido diseñados, bien desde la definición del mismo como rasgo de personalidad, y por tanto, medido mediante autoinformes, o bien desde una concepción ligada al concepto de inteligencia basada en test de ejecución o máximo rendimiento, a semejanza de los instrumentos de medida utilizados en la medición de la inteligencia clásica y su correspondiente CI (Mayer et al., 1999, 2016; Rodrigo-Ruiz, Cejudo, & Pérez-González, 2019). Uno de los problemas metodológicos más acuciantes reside en que las medidas derivadas de los autoinformes no evalúan habilidades reales, sino más bien la autopercepción de la capacidad emocional que el propio individuo posee de sí mismo. Además, se han utilizado profusamente, como es habitual en la medida psicológica, las escalas tipo Likert, tanto en test dirigidos a adultos como a adolescentes o población infantil, sin tener en cuenta en el último de los casos que niños y niñas tienen importantes dificultades para la comprensión de este tipo de escalas (Mellor & Moore, 2014).
El segundo de los criterios que permitiría incluir la IE en el ámbito de la inteligencia sería el denominado criterio correlacional. Según este, para que la IE pueda ser considerada como tal, los resultados de su medición deberían correlacionarse positivamente con los resultados de otras pruebas de inteligencia. Kong (2014), en un metaanálisis sobre la relación entre IE y diferentes tipos de inteligencia, en estudios de población universitaria y no universitaria, muestra las correlaciones entre el MSCEIT (Mayer et al., 2002), la principal medida de IE desde su concepción como capacidad o habilidad, y diferentes tipos de inteligencia: la correlación entre MSCEIT y el test Weschler en su escala verbal fue de .40; con SAT verbal, de .28; y con el test Raven, que mide inteligencia fluida sin contaminación verbal, de .30.
El último de los criterios para conceptualizar cualquier tipo de inteligencia es el criterio de desarrollo. Este se define como el desarrollo de la inteligencia a lo largo de la vida. Existe evidencia empírica respecto al incremento progresivo de la IE a medida que avanza la edad de los individuos (Cabello, Navarro, Latorre, & Fernández-Berrocal, 2014; Cazalla-Luna & Molero, 2014; Gomes & Pereira, 2014; Pulido & Herrera, 2018).
La medida de la IE en población infantil
Mayer y Salovey (1997, p.10) definen la IE como aquella que “incluye la habilidad para percibir con precisión, valorar y expresar emoción; la habilidad de acceder y/o generar sentimientos cuando facilitan pensamientos; la habilidad de comprender la emoción y el conocimiento emocional; y la habilidad para regular las emociones para promover crecimiento emocional e intelectual.”
Esta teorización de la IE buscó cumplir el criterio operacional con el diseño del test de habilidad o ejecución MSCEIT (Mayer et al., 2002, 2012). Este test formuló la estructura de la IE en cuatro factores primarios jerárquicos interrelacionados en orden ascendente que se corresponden con los cuatro tipos de habilidad enunciadas en la definición del constructo: percepción, facilitación, comprensión y regulación emocional. Existe una versión reducida de este instrumento para niños y adolescentes, el MSCEIT: Youth Version (Mayer, 2005). En castellano, solo existe un instrumento en desarrollo, el Test de IE de la Fundación Botín para la Infancia TIEFBI (Fernández-Berrocal et al., 2015).
Recientemente, Sastre, Artola y Alvarado (2019), basándose en la idea de utilizar escenas de películas para la media de la IE (Barraca, Fernández-González, & Sueiro, 2009), desarrollaron EMOCINE (emociones a partir de escenas cinematográficas), para la evaluación de los factores primarios de percepción y comprensión emocional del modelo de Mayer y Salovey (1997) en escolares. EMOCINE, siguiendo la propuesta de Barraca et al. (2009), fue diseñado para diferenciar entre individuos ingenuos (hacen una mera descripción de la escena), sobreinterpertativos (hacen una interpretación emocional inadecuada) y sensibles (interpretan correctamente la situación emocional). Sastre et al. (2019) observaron que los sujetos sensibles mostraban mejor comportamiento en el aula, eran más aceptados y menos rechazados que sus compañeros y mostraban un mejor ajuste psicosocial. En la presente investigación, se profundiza en la validación de este instrumento evaluando si las diferentes tipologías son resultado o no de un proceso evolutivo de maduración cognitiva y si existe una relación entre el estadio de maduración cognitiva y el RA.
En primer lugar, la literatura científica señala, como una de las líneas de investigación más prometedoras para dilucidar la relación entre IE y RA, el análisis de los distintos factores que integran la IE, haciendo posible identificar cómo y en qué medida los distintos elementos emocionales influyen en el RA (Mestre, MacCann, Guil, & Roberts, 2016; Perera & DiGiacomo, 2013), siendo este uno de los objetivos principales de la presente investigación.
En segundo lugar, cabe preguntarse hasta qué punto es relevante la medida de componentes de la percepción y compresión emocional del modelo de Mayer y Salovey (1997). La estructura factorial del instrumento adaptado para jóvenes para la medida de los cuatro factores del modelo, el MSCEIT-YV, fue puesta a prueba por Rivers et al. (2012) mediante un Análisis Factorial Confirmatorio (AFC). Para evaluar la bondad de ajuste utilizaron los índices tradicionales: χ., RMSEA (Error cuadrático medio de aproximación), CFI (índice de ajuste comparativo), TLI (índice Tucker-Lewis) y SRMR (residuo estandarizado cuadrático medio). Observaron una aceptable bondad de ajuste (χ. (226)=578.94, .<.001, χ./df=2.54, RMSEA=.05 (0.04; 0.05), CFI=.91, TLI=.90, and SRMR=.06) a un modelo de segundo orden para la IE con los cuatro factores primarios: el peso factorial sobre el factor IE de segundo orden fue .95 para la comprensión, siendo de .80 para la regulación, .53 para la facilitación y .41 para la percepción. Este resultado implica que la medida de la IE que se obtiene en el MSCEIT-YV es fundamentalmente comprensión, explicando un 90% de la varianza, mientras que la explicada por la percepción sería más bien residual (17% de la varianza). Este resultado apoya la idea de un modelo jerárquico ascendente enunciado por Mayer y Salovey (1997), y sugiere un modelo progresivo entre facetas de la IE basadas en habilidades o capacidades en el que la percepción precede a la facilitación y esta, a la compresión y a la regulación emocional. Un modelo jerárquico con relaciones causales produce solapamientos en la medida de las distintas facetas de la IE, puesto que al medir una faceta más compleja estaríamos incluyendo la medida del anterior factor primario (Joseph & Newman, 2010).
En tercer lugar, existe la necesidad de disponer de medidas de la IE para la población infantil, puesto que se asume que la comprensión emocional y su regulación se producen en edades tempranas (León-Rodríguez & Sierra-Mejía, 2008; Pirskanen et al., 2019; Shablack, Becker, & Lindquist, 2019). Por tanto, el criterio de desarrollo que caracteriza a cualquier tipo de inteligencia para poder ser conceptualizada como tal tiene su espacio de verificación en muestras de población infantil, y no en edades posteriores en las que la inteligencia tiende a estabilizarse en sus puntuaciones, como ocurre en el caso de la inteligencia clásica.
Finalmente, el diseño de instrumentos para la medida de la IE en población infantil presenta dificultades específicas que pueden superarse mediante la implementación de recursos audiovisuales como hace EMOCINE (Sastre et al., 2019). Para evitar el problema de la contaminación de la comprensión verbal y dotar a EMOCINE de mayor validez ecológica, en lugar de redactar una historia (ej. MSCEIT-YV) se recurre a la utilización de escenas cinematográficas, integrando información emocional multimodal que incluye información semántica, prosodia y señales visuales no verbales, como las posturas corporales o las expresiones faciales, así como el contexto emocional. Con objetivos diferentes a la medida del constructo IE, el uso de escenas cinematográficas se ha implementado con éxito desde la teoría del reconocimiento de emociones básicas (Ekman & Friesen, 1971; Ekman 1999) y complejas (Griffiths, 2003); en este marco no se evalúan aspectos como la regulación o la comprensión, limitándose a la identificación de emociones, por ejemplo desde este enfoque se han analizado dificultades del reconocimiento de emociones en el espectro autista (Golan, Baron-Cohen, & Golan, 2008; Golan, Sinai-Gavrilov, & Baron-Cohen, 2015).
La Inteligencia Emocional y el Rendimiento Académico
La relación entre IE y RA es fuente de debate, ya que existe evidencia contradictoria entre aquellas investigaciones que arrojan resultados de bajas o nulas correlaciones entre IE y RA (Austin, Evans, Goldwater, & Potter, 2005; Barchard, 2003; Newsome, Day, & Catano, 2000) y aquellas otras que, sin embargo, muestran correlaciones positivas y significativas (Alves-Moutinho, Monteiro, Costa, & Faria, 2019; Fernández-Lasarte, Ramos-Díaz, & Sáez, 2019; Gil-Olarte, Palomera, & Brackett, 2006; Pulido & Herrera, 2018; Rivers et al., 2012). El estudio de Mavroveli, Petrides, Shove y Whitehead (2008) afirma que el impacto directo del rasgo IE en el logro académico es más bien modesto, aunque se mostraría más relevante para grupos específicos de niños menos capaces, defendiendo un impacto moderador de la IE que se asociaría con un mejor RA solo en alumnos con bajo CI. Estos resultados sugieren que la IE contribuye al RA cuando las demandas de una situación superan los recursos intelectuales de los estudiantes.
Perera y DiGiacomo (2013) en un metaanálisis sobre 48 muestras independientes y 74 tamaños del efecto para un total de 10292 individuos en el que se revisaron artículos recogidos en las bases de datos PsychINFO, MEDLINE, ERIK, ISI y ProQuest entre 1998 y 2012, obtuvieron evidencia favorable respecto a la existencia de una relación entre IE rasgo y RA de .=.20. En este metaanálisis se explican los resultados contradictorios e inconsistentes de esta relación a partir de determinados moderadores teóricos y metodológicos. Los moderadores teóricos considerados fueron: la edad y el nivel académico, puesto que el efecto de la IE en el RA probablemente disminuya a medida que el aprendizaje se vuelve más autodirigido y las interacciones derivadas de trabajos colaborativos sean menos frecuentes; el género, que ha recibido una menor atención; y la transición a nuevos entornos educativos, por ejemplo, entre primaria y secundaria, en la que aumentan las situaciones de estrés que son un factor explicativo del RA.
En cuanto al género como variable moderadora, los resultados poco concluyentes observados por Perera y DiGiacomo (2013) podrían estar relacionados con el moderador metodológico tipo de medida utilizada. En la revisión realizada por Sánchez-Núñez, Fernández-Berrocal, Montañés-Rodríguez y Latorre-Postigo (2008), se muestra que, mientras que en las medidas de autoinforme no se suelen observar diferencias en las puntuaciones de IE en función del género, por el contrario, cuando la IE es evaluada con medidas de ejecución como el MSCEIT, generalmente se observan diferencias estadísticamente significativas a favor de las mujeres frente a los hombres. También, en población adolescente, en pruebas de ejecución, se ha observado que las chicas obtienen mayores puntuaciones que los chicos (Rivers et al., 2012; Sastre, Artola, & Alvarado, 2018). Como explicación de estas diferencias, se ha hipotetizado que podrían deberse, o bien a una instrucción diferenciada desde la niñez (Sánchez-Núñez et al., 2008), o bien a distintos patrones de socialización (Pulido & Herrera, 2018).
Para el estudio de la relación entre IE y RA en la infancia, ante la carencia de instrumentos específicamente diseñados para esta población, se ha recurrido a adaptaciones de test de adultos con resultados contradictorios. Ferragut y Fierro (2012), con una muestra de 166 estudiantes entre 9 y 12 años, al evaluar la IE con autoinforme basado en escala Likert (TMMS-24) encontraron correlaciones significativas entre bienestar e IE, así como entre RA y bienestar, pero no entre IE y RA. Este estudio sugiere realizar investigaciones que indaguen acerca del bienestar personal y su relación con la IE, planteando, como hicieron Extremera y Fernández-Berrocal (2003) y Ferrando et al. (2011), una relación indirecta entre IE y RA, mediada por los efectos del equilibrio psicológico. No obstante, en otros estudios sí se ha encontrado una relación directa entre IE y RA, tanto desde el enfoque IE rasgo como desde el enfoque de IE habilidad. Ferrando et al. (2011), en una muestra de 290 preadolescentes de 11 y 12 años, utilizando el TEIQue ASF, autoinforme con escala Likert, encontraron una correlación entre IE y RA r= 0.29. Rivers et al. (2012), utilizando el MSCEIT-YV en una muestra de 273 participantes de 10 y 11 años observaron una correlación de la IE con las puntuaciones del test de lengua inglesa (ELA) al controlar la comprensión verbal de 0.34. En consecuencia, si tanto los instrumentos de medida de la IE rasgo, como aquellos que conciben la IE como habilidad, han mostrado una relación ya sea indirecta o directa de las puntuaciones obtenidas con los resultados de RA, cabe esperar que EMOCINE, como medida de la IE, se relacione con el RA, siendo este uno de los principales objetivos de esta investigación.
Método
Objetivos e Hipótesis
Esta investigación pretende mostrar la viabilidad de la medida de la IE a partir del uso de escenas cinematográficas con un alto contenido emocional dirigidas a una población infantil, desde una conceptualización de la IE como habilidad o constructo cognitivo. Esta conceptualización debe reunir los criterios enunciados por Mayer et al. (1999) para que cualquier inteligencia sea considerada como tal: el criterio operacional, el correlacional y el de desarrollo. El primero de ellos se cumpliría al mostrar que EMOCINE, como instrumento de medida de la IE, es capaz de discriminar entre diferentes tipologías de individuos vinculados a distintos estadios evolutivos del constructo (Hipótesis 1); el segundo se mostrará a través de la correlación existente entre la IE y un importante constructo cognitivo, como es el caso del RA (Hipótesis 2); y el último queda vinculado a la relación positiva entre la IE y el curso académico de la muestra seleccionada, mostrando de esta manera el criterio de desarrollo que se produce en la IE, sobre todo en etapas tempranas de la vida (Hipótesis 3). Finalmente, este trabajo pretende indagar sobre la influencia de la variable género sobre las puntuaciones generales de la IE (Hipótesis 4).
Participantes
Se utilizó una muestra de conveniencia en la que se incluyeron 776 individuos (51.5% niños y 48.5% niñas), con una edad media de 9.2 años (DT=1.4). Los participantes cursaban Educación Primaria en los niveles de 2º (13.7%), 3º (23.7%), 4º (22.0%), 5º (21.8%) y 6º (18.8%), pertenecientes a cinco escuelas ubicadas en áreas urbanas procedentes de diversas regiones españolas: Madrid, con un 56,2% de los participantes, 21.3% de Ciudad Real, 14.2% de Burgos, 4.3% de Toledo y 4.1% de Santiago de Compostela. La muestra para el segundo estudio sobre la relación entre la IE y el RA se redujo a 664 participantes, ya que no fue posible acceder a los datos relativos al RA de 2º curso.
Instrumentos
EMOCINE fue desarrollada por Sastre et al. (2019) para la evaluación de la IE en población infantil, prueba de habilidad que consta de 15 clips o escenas de películas de Disney y que puede ser aplicada tanto de forma colectiva como individual. Una vez visualizada cada escena, una voz en off plantea una pregunta y los participantes tienen que elegir entre tres posibles alternativas. La alternativa elegida se registra con lápiz en una hoja de respuestas diseñada a tal efecto, en la cual aparecen quince imágenes numeradas del 1 al 15 (correspondientes a las 15 escenas de la prueba) y con tres letras (A, B y C) para que los sujetos señalen, rodeando con un círculo, la respuesta elegida de las dictadas por la voz en off. Así, por ejemplo, en la escena 1, perteneciente a la película “La Bella y la Bestia”, se muestra la escena en la que Bella y Bestia están en un salón cenando, y la Bestia intenta comer con la cuchara, pero le resulta difícil, de manera que Bella decide comer sin ella. Una vez visualizada la escena, se presenta la pregunta y las tres posibles alternativas leídas en voz en off: “¿Por qué Bella decide no usar la cuchara para comer?: (A) Porque no quiere que Bestia se avergüence al no saber usar la cuchara; (B) Porque ve a Bestia y le copia; (C) Porque Bestia está triste y quiere que se sienta contento”. La alternativa B es la que muestra un menor desarrollo de la IE y simplemente describe lo que ocurre; la opción C implica un estadio intermedio de desarrollo, ya que supone un intento fallido de explicación más allá de lo puramente descriptivo; la alternativa A es la correcta, ya que se perciben y comprenden las emociones planteadas en la escena cinematográfica. El estadio inicial o descriptivo supone la percepción de la escena, pero sin capacidad interpretativa de la misma; el segundo de los niveles sería el especulativo, en el que los individuos perciben aspectos emocionales de la escena, pero aún no tienen la capacidad suficiente para interpretarlos en toda su complejidad; y, finalmente, el estadio explicativo, en el que los individuos perciben y comprenden la escena en toda su complejidad emocional.
Para llegar a la versión final de la prueba, se seleccionaron con 20 películas de Disney de las que se tomaron escenas de entre 1 y 2 minutos. Posteriormente, a partir de distintos análisis de validez de contenido realizados por cinco expertos y su posterior aplicación a distintas muestras piloto de 134 y 384 niños, EMOCINE quedó formado por las 15 escenas. Con la versión definitiva de EMOCINE, Sastre et al, (2019) realizaron un estudio de validación, aplicando el instrumento a 1448 estudiantes de entre 8 y 13 años, observando en un AFC un buen ajuste al modelo unidimensional y una fiabilidad marginal, estimada a partir del promedio de los errores condicionales estándar, de .66. En los datos del presente estudio, tomando como referencia los puntos de corte clásicos (CFI y NNFI >.95/.90; RMSEA y SRMR <.06/.08 para un ajuste bueno o aceptable) se confirmó la adecuada bondad de ajuste al modelo unidimensional χ. (90)=109.99, .=.08; RMSEA= .017 (.001; .027), SRMR=.062; CFI=.95; NNFI=.94. La fiabilidad marginal fue de .74.
En cuanto a las evidencias de validez de EMOCINE respecto a otras variables, Sastre et al. (2019) observaron que los sujetos con alta IE (sujetos sensibles) obtenían puntuaciones significativamente más bajas en distintos problemas emocionales y de comportamiento, entre otros: depresión (.=.006), sintomatología post traumática (.=.009), problemas de atención (.=.030), agresión (.=.041), problemas familiares (.=.001), problemas en la escuela (.=.003), problemas con los compañeros (.<.001) e integración y competencia social (.=.003).
Procedimiento
El estudio fue aprobado por la Comisión Deontológica de la Facultad de Psicología de la Universidad Complutense de Madrid (Ref. 2018 / 19-013). Los padres de los estudiantes recibieron una carta firmada por el director de cada colegio en la que se describía el proyecto de investigación junto con una carta que deberían firmar para que sus hijos pudieran participar en el estudio. Los niños y niñas participantes completaron el EMOCINE de forma colectiva y con la supervisión de un investigador y un docente, en una sesión cuya duración fue de 45 minutos. La asignación de los participantes a los tres grupos de desarrollo emocional se realizó mediante un análisis de clases latentes. Las puntuaciones de RA fueron las calificaciones medias del curso anterior en una escala de 1 a 5 puntos.
Análisis de clases latentes
El análisis de clases latentes (LCA, latent class analysis), disponible en R versión 3.21, paquete poLCA (Linzer & Lewis, 2011), es una técnica exploratoria que se utiliza cuando se considera que la población no es uniforme y está formada por grupos de sujetos con características diferentes (Cáceres-Serrano & Alvarado-Izquierdo, 2019). La lógica de la técnica consiste en el análisis de los patrones de respuesta para realizar una asignación probabilística de la pertenencia de los sujetos a los distintos grupos. Para determinar el número de grupos se evalúa la bondad de ajuste de distintos modelos obteniéndose los valores de AIC (criterio de información de Akaine) y BIC (criterio de información bayesiano). Estos índices permiten comparar entre modelos, de modo que cuanto menor sean los valores para el modelo puesto a prueba, mejor será la bondad de ajuste.
Resultados
Estudio 1. Evaluación del modelo evolutivo de IE
En la Tabla 1 se muestran los índices de la bondad de ajuste a los modelos de una a cuatro clases latentes. AIC indica que la mejor bondad de ajuste se observa para los modelos de tres y cuatro clases, mientras que BIC, indicador más restrictivo muestra la mejor bondad de ajuste para el modelo de dos clases (las clases con alto y bajo IE). Esto se explica porque los sujetos del nivel intermedio o en estadio especulativo se disgregan entre aquellos que están más cerca del nivel inicial o descriptivo, y los que ya casi alcanzan el nivel superior o explicativo. Para evaluar la congruencia de estos resultados con el modelo evolutivo se realizó una simulación con 500 réplicas a partir de la sintaxis en R que ofrecen Sastre et al. (2019). En la Tabla 1 se observa que el comportamiento de los índices de bondad de ajuste de los datos observados se corresponde con los del modelo evolutivo simulado, siendo la correlación entre los datos observados y los simulados para los logaritmos de verosimilitud de .95, validándose, a partir de la simulación, el modelo evolutivo de tres clases latentes.
Las diferencias en el número de respuestas correctas de comprensión emocional entre las tres clases latentes fueron estadísticamente significativas .(2,776)=322,48, .<.001, η..=.455. El 18.81% de los individuos se corresponde con la clase con un menor número de respuestas correctas (M=5.82, DT=1.78), seguido por el 42.13% que se sitúa en un nivel intermedio (M=8.57, DT=1.68) y por el 39.05% de individuos con un mayor número de respuestas correctas (M=10.09, DT=1.59).
La diferencia en el número de respuestas correctas aumenta significativamente con el curso .(4,776)=30.09, .<.001, η..=.136 y es mayor en niñas que en niños .(1,776)=31.94, .<.001, η..=.040. Si bien se aprecia un patrón de desarrollo ligeramente diferente entre niños y niñas (ver Figura 1), observándose un ligero descenso en las puntuaciones de IE en el caso de los niños a partir del quinto curso, si bien la interacción sexo x curso no fue estadísticamente significativa .(4,776)=1.178, .=.32, η..=.006.
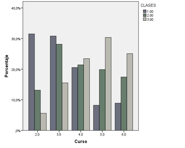
De acuerdo con la hipótesis de que las clases latentes muestran diferentes estadios evolutivos, en la Figura 2 se puede observar cómo el porcentaje de individuos de la clase latente 1 (estadio descriptivo) va disminuyendo con el curso, mientras que el porcentaje de individuos de la clase latente 3 (estadio explicativo) aumenta con el curso.



La clase latente intermedia muestra una forma de u invertida en la que hay un incremento de segundo a tercer curso para luego ir descendiendo paulatinamente.
Estudio 2. Rendimiento Académico e Inteligencia Emocional
Para evaluar la relación entre IE y RA se realizó un ANOVA con los factores de clases latentes, curso y sexo sobre las puntuaciones en RA.
Se observó un efecto principal del factor clases latentes .(2,664)=30.09, .<.001, η..=.040. No se observaron efectos principales significativos ni para el curso .(3,664)=.695,.=.56, η..=.003 ni para el sexo .(1,664=.06), .=.802, η..<.001, ni tampoco fueron estadísticamente significativas las interacciones entre los distintos factores. En consecuencia, de las variables analizadas solo las clases latentes permiten explicar las diferencias en RA (ver Figura 3), siendo estadísticamente significativas las diferencias entre las tres clases latentes (test Bonferroni: diferencia entre clases 1 y 2 .<.005, diferencia entre clases 1 y 3 .<.001, diferencia entre clases 2 y 3 .=.018). Finalmente, para evaluar la validez predictiva de las escenas de EMOCINE para el RA, se realizó una regresión ordinal de las 15 escenas sobre el RA observándose que la prueba permite explicar, dependiendo del estimador de pseudo R., desde un 18% de la varianza de RA (McFadden=.18) hasta un 43% (Cox y Snell=.40 y Nagelkerke=.43), valor este último que implicaría una alta validez predictiva de R=.66.

Discusión
La Hipótesis 1, referida al criterio operacional que debe reunir cualquier faceta de la inteligencia, se ha comprobado mediante la capacidad de EMOCINE para discriminar tres tipos de individuos o estadios evolutivos en la IE, así como su relación directa con el RA, el curso o nivel escolar y el género. No obstante, en futuras investigaciones convendría implementar la subescala de percepción emocional del MSCEIT-YV, adaptándola al castellano, con el objetivo de establecer las diferencias y similitudes entre las puntuaciones de percepción emocional obtenidas con este instrumento y los datos obtenidos con EMOCINE. Así, podríamos corroborar el peso y los límites del papel que juegan percepción y compresión emocional por separado. El alto nivel de colinealidad o solapamiento entre los factores primarios que muestra el AFC del MSCEIT-YV (Rivers et al., 2012) sugiere una línea de investigación que permitiría conocer el peso de cada uno de los factores primarios que integran el modelo de Mayer y Salovey (1997).
La relación entre IE y RA (Hipótesis 2) fue directa y positiva en nuestra investigación, corroborando los resultados de estudios anteriores (Fernández-Lasarte et al., 2019; Gil-Olarte et al., 2006; Pulido & Herrera, 2018; Rivers et al., 2012). Por tanto, el constructo IE se sumaría a las habilidades cognitivas como un predictor adecuado del logro escolar. Sin embargo, este aspecto sigue siendo controvertido en la literatura, puesto que otros estudios muestran una relación inconsistente entre IE y RA (Newsome et al., 2000; Barchard, 2003; Austin et al., 2005). La variedad, tanto de los instrumentos utilizados para la medición de la IE como en el tamaño de las muestras, así como el nivel educativo al que pertenecen estas últimas, constituyen moderadores metodológicos y teóricos, como señalan Perera y DiGiacomo (2013), que podrían estar ocultando la verdadera relación entre IE y RA. Teniendo en cuenta las variables edad o nivel académico, es probable que la IE disminuya su efecto en el rendimiento a medida que el aprendizaje se vuelve más autodirigido y las interacciones sociales que supone el trabajo colaborativo, característico de los niveles educativos más tempranos, sean menos frecuentes. La relación entre IE y rendimiento sería más alta en la etapa más temprana de la vida con una tendencia a la estabilización que concluiría con unos bajos índices de relación a partir de la edad adulta. De hecho, Fernández-Berrocal, Ruiz-Aranda, Salguero, Palomera y Extremera (2018) sugieren una disminución de la IE durante la adolescencia.
Mientras que la investigación se ha realizado mayoritariamente en muestras de educación secundaria y universitaria (Ferrando et al., 2011; Perera & DiGiacomo, 2013), parece plausible que sea en la población infantil en la que se encuentre una mayor relación entre IE y RA, si se considera el constructo emocional como una inteligencia que se desarrolla e incrementa a lo largo de la vida, pero, sobre todo, en las etapas más tempranas de esta.
Los resultados obtenidos en este estudio revelan una relación positiva y de tipo ascendente entre IE y el curso académico para una muestra de educación primaria (Hipótesis 3). Por tanto, EMOCINE muestra cómo en los cursos más avanzados las puntuaciones en percepción y compresión emocional son más altas que en los inferiores. Estos resultados estarían secundados por estudios anteriores que confirman un aumento progresivo en las puntuaciones de IE a medida que aumenta la edad de los participantes (Cabello et al., 2014; Cazalla-Luna & Molero, 2014; Gomes & Pereira, 2014; Pulido & Herrera, 2018). EMOCINE operativiza la IE en población infantil comprendida entre 7 y 12 años en una etapa fundamental del desarrollo cognitivo, puesto que la percepción, comprensión y regulación emocional se producen en edades tempranas, como señalan León-Rodríguez y Sierra-Mejía (2010). Es probable que la relación entre la IE y la edad sea más fácil de corroborar en una población infantil que en una adolescente, en la que podría producirse cierta estabilización del constructo. En opinión de Sanz de Acedo (1997), la potenciación de la IE debería inculcarse desde los inicios de la Educación Primaria, ya que es el nivel educativo en el que más se puede influir mediante el fomento del desarrollo de las capacidades afectivas, motivacionales y sociales de niños y niñas.
Por último, y en relación a la variable género, las niñas obtuvieron mayores puntuaciones generales en IE que los niños (Hipótesis 4) al igual que en los estudios de Rivers et al. (2012), Pulido y Herrera (2018) y Fernández-Berrocal (2018), y además, esa ventaja de género siguió manteniéndose al analizar los datos separando la muestra en cursos o niveles académicos. La investigación futura debería indagar sobre las causas que producen ese mayor nivel de IE en el caso de las niñas. Pulido y Herrera (2018) hipotetizan las causas de estas diferencias de género con una explicación centrada en patrones de socialización y desempeño de distintos roles, indicando una tendencia a hacer que los varones no expresen, sino que repriman, sus emociones, frente a las niñas, que no son objeto de esta demanda social. El estudio de Rivers et al. (2012), en el que se utiliza como instrumento de medida el MSCEIT-YV, muestra un patrón diferenciado entre niños y niñas pendiente de confirmación en posteriores estudios, en el que a partir de los 12 años parece producirse un estancamiento o leve retroceso en las puntuaciones de IE en el caso de los niños, el mismo patrón que hemos observado aplicando EMOCINE. Estos mismos autores relacionan estas distintas trayectorias del desarrollo emocional en función al género con los cambios en el sistema socio emocional que se producen a nivel cerebral durante la etapa de la adolescencia; no obstante, serían necesarios nuevos estudios específicos centrados en esta etapa del desarrollo para establecer las causas de este fenómeno observado con distintos instrumentos de evaluación psicológica. Finalmente, deberían realizarse estudios longitudinales para establecer con mayor claridad cómo se caracteriza a lo largo de la niñez y la adolescencia el desarrollo de la IE en función a la variable género.
Referencias
Alves-Moutinho, H., Monteiro, A., Costa, A., & Faria, L. (2019). Papel da inteligência emocional, felicidade e flow no desempenho académico e bem-estar subjetivo em contexto universitário. Revista Iberoamericana de Diagnóstico y Evaluación e – Avaliação Psicológica, 52(3), 99-114. https://doi.org/10.21865/RIDEP52.3.08
Agirre, I. A., Etxaniz, I. E., & Fernández, A. R. (2017). La medida de la inteligencia emocional en el ámbito psicoeducativo. Revista Interuniversitaria de Formación del Profesorado, 88, 53-64.
Austin, E. J., Evans, P., Goldwater, R., & Potter, V. (2005). A preliminary study of emotional intelligence, empathy and exam performance in first year medical students. Personality and Individual Differences, 39(8), 1395-1405. https://doi.org/10.1016/j.paid.2005.04.014
Barraca, J., Fernández-González, A., & Sueiro, M. (2009). Test de Sensibilidad a las Interacciones Sociales (TESIS): Una prueba objetiva para la medición de la inteligencia emocional. Bizkaia: AlborCohs.
Barchard, K. A. (2003). Does emotional intelligence assist in the prediction of academic success? Educational and Psychological Measurement, 63, 840-858. https://doi.org/10.1177/0013164403251333
Bar-On, R. (1997). BarOn emotional quotient inventory. Toronto: Multi-Health Systems Technical Manual.
Cabello, R., Navarro, B., Latorre, J. M., & Fernández-Berrocal, P. (2014). Ability of university-level education to prevent age-related decline in emotional intelligence. Frontiers in Aging Neuroscience, 6, 37. https://doi.org/10.3389/fnagi.2014.00037
Cáceres-Serrano, P., & Alvarado-Izquierdo, J.M. (2019). Evaluación de la Comprensión Lectora mediante un Modelo de Diagnóstico Cognitivo. Revista Iberoamericana de Diagnóstico y Evaluación – e Avaliação Psicológica, 51(2), 149-162. https://doi.org/10.21865/RIDEP51.2.11
Cazalla-Luna, N., & Molero, D. (2014). Inteligencia emocional percibida, ansiedad y afectos en estudiantes universitarios. Revista Española de Orientación y Psicopedagogía, 25(3), 56-73. https://doi.org/10.5944/reop.vol.25.num.3.2014.13858
Cooper, R. K., & Sawaf, A. (1997). Executive EQ: Emotional intelligence in leadership and organizations. New York: Grosset/Putnam.
Ekman, P. (1999). Basic emotions. Handbook of cognition and emotion, 45-60. https://doi.org/10.1002/0470013494.ch3
Ekman, P., & Friesen, W. V. (1971). Constants across cultures in the face and emotion. Journal of Personality and Social Psychology, 17(2), 124. https://doi.org/10.1037/h0030377
Extremera, N., & Fernández-Berrocal, P. (2003). La inteligencia emocional en el contexto educativo: Hallazgos científicos de sus efectos en el aula. Revista de Educación, 332, 97-116.
Extremera-Pacheco, N., & Fernández-Berrocal, P. (2007). Una guía práctica de los instrumentos actuales de evaluación de la inteligencia emocional. En J. M. Mestre y P. Fernández-Berrocal (Eds.), Manual de Inteligencia Emocional (pp.99-122). Madrid: Pirámide.
Fernández-Berrocal, P., Cabello González, R., Extremera, N., Palomera, R., Ruiz-Aranda, D. y Salguero, J. M. (2015). Test de Inteligencia Emocional de la Fundación Botín para la Infancia. Santander: Fundación Botín.
Fernández-Berrocal, P., Ruiz-Aranda, D., Salguero, J. M., Palomera, R., & Extremera, N. (2018). La relación del Test de Inteligencia Emocional de la Fundación Botín (TIEFBA) con el ajuste personal y escolar de adolescentes españoles. Revista de Psicodidáctica, 23(1), 1-8. https://doi.org/10.1016/j.psicod.2017.07.001
Fernández-Lasarte, O., Ramos-Díaz, E., & Sáez, I. A. (2019). Rendimiento académico, apoyo social percibido e inteligencia emocional en la universidad. European Journal of Investigation in Health, Psychology and Education, 9(1), 39-49. https://doi.org/10.30552/ejihpe.v9i1.315
Ferragut, M., & Fierro, A. (2012). Inteligencia emocional, bienestar personal y rendimiento académico en preadolescentes. Revista Latinoamericana de Psicología, 44(3), 95-104.
Ferrando, M., Prieto, M. D., Almeida, L. S., Ferrándiz, C., Bermejo, R., López-Pina, J. A., ... & Fernández, M. C. (2011). Trait emotional intelligence and academic performance: Controlling for the effects of IQ, personality, and self-concept. Journal of Psychoeducational Assessment, 29(2), 150-159. https://doi.org/10.1177/0734282910374707
Gil-Olarte, P., Palomera, R. & Brackett, M.A. (2006). Relating emotional intelligence to social competence and academic achievement in high school students. Psicothema, 18, 118-123. http://www.psicothema.com/pdf/3286.pdf
Golan, O., Baron-Cohen, S., & Golan, Y. (2008). The ‘reading the mind in films’ task [child version]: Complex emotion and mental state recognition in children with and without autism spectrum conditions. Journal of autism and developmental disorders, 38(8), 1534-1541. https://doi.org/10.1007/s10803-007-0533-7
Golan, O., Sinai-Gavrilov, Y., & Baron-Cohen, S. (2015). The Cambridge Mindreading Face-Voice Battery for Children (CAM-C): Complex emotion recognition in children with and without autism spectrum conditions. Molecular autism, 6(1), 22. https://doi.org/10.1186/s13229-015-0018-z
Goleman, D. (1995). Emotional intelligence: Why it can matter more than IQ. New York: Bantam Books.
Gomes, R. M. S., & Pereira, A. S. (2014). Influence of age and gender in acquiring social skills in Portuguese preschool education. Psychology, 5(02), 99. http://dx.doi.org/10.4236/psych.2014.52015
Griffiths, P. E. (2003). III. Basic Emotions, Complex Emotions, Machiavellian Emotions 1. Royal Institute of Philosophy Supplements, 52, 39-67. https://doi.org/10.1017/s1358246100007888
Joseph, D. L., & Newman, D. A. (2010). Emotional intelligence: An integrative meta-analysis and cascading model. Journal of applied psychology, 95(1), 54. https://doi.org/10.1037/a0017286
Keefer, K. V. (2015). Self-report assessments of emotional competencies: A critical look at methods and meanings. Journal of Psychoeducational Assessment, 33(1), 3-23. https://doi.org/10.1177/0734282914550381
Kong, D. T. (2014). Mayer–Salovey–Caruso Emotional Intelligence Test (MSCEIT/MEIS) and overall, verbal, and nonverbal intelligence: Meta-analytic evidence and critical contingencies. Personality and Individual Differences, 66, 171-175. https://doi.org/10.1016/j.paid.2014.03.028
León-Rodríguez, D. A. y Sierra-Mejía, H. (2008). Desarrollo de la comprensión de las consecuencias de las emociones. Revista Latinoamericana de Psicología, 40(1), 35-45.
Linzer, D. A., & Lewis, J. B. (2011). poLCA: An R package for polytomous variable latent class analysis. Journal of Statistical Software, 42(10), 1-29. https://doi.org/10.18637/jss.v042.i10
Mavroveli, S., Petrides, K. V., Shove, C., & Whitehead, A. (2008). Investigation of the construct of trait emotional intelligence in children. European Child & Adolescent Psychiatry, 17(8), 516-526. https://doi.org/10.1007/s00787-008-0696-
Mayer, J. D. (2005). The Mayer–Salovey–Caruso emotional intelligence test–Youth version (MSCEIT-YV), research version. Toronto, Canada: Multi Health Systems.
Mayer, J. D., Caruso, D. R., & Salovey, P. (1999). Emotional intelligence meets traditional standards for an intelligence. Intelligence, 27(4), 267-298. https://doi.org/10.1016/s0160-2896(99)00016-1
Mayer, J. D., Caruso, D. R., & Salovey, P. (2016). The ability model of emotional intelligence: Principles and updates. Emotion Review, 8(4), 290-300. https://doi.org/10.1177/1754073916639667
Mayer, J. D., & Salovey, P. (1997). What is emotional intelligence? In P. Salovey & D. J. Sluyter (Eds.), Emotional development and emotional intelligence: Educational implications (pp. 3-34). New York, NY: Basic Books.
Mayer, J. D., Salovey, P., & Caruso, D. (2002). Mayer-Salovey-Caruso emotional intelligence test manual. Toronto, ON: Multi-Health Systems.
Mayer, J. D., Salovey, P., & Caruso, D. R. (2012). The validity of the MSCEIT: Additional analyses and evidence. Emotion Review, 4(4), 403-408. https://doi.org/10.1177/1754073912445815
Mellor, D., & Moore, K. A. (2014). The use of Likert scales with children. Journal of Pediatric Psychology, 39(3), 369-379. https://doi.org/10.1093/jpepsy/jst079
Mestre, J. M., MacCann, C., Guil, R., & Roberts, R. D. (2016). Models of cognitive ability and emotion can better inform contemporary emotional intelligence frameworks. Emotion Review, 8(4), 322-330. https://doi.org/10.1177/1754073916650497
Newsome, S., Day, A. L., & Catano, V. M. (2000). Assessing the predictive validity of emotional intelligence. Personality and Individual differences, 29(6), 1005-1016. https://doi.org/10.1016/s0191-8869(99)00250-0
Perera, H. N., & DiGiacomo, M. (2013). The relationship of trait emotional intelligence with academic performance: A meta-analytic review. Learning and Individual Differences, 28, 20-33. https://doi.org/10.1016/j.lindif.2013.08.002
Petrides K. V., Mikolajczak M., Mavroveli S., Sanchez-Ruiz M. J., Furnham A., Pérez-González J. C. (2016). Developments in trait emotional intelligence research. Emotion Review, 8, 35-341. https://doi.org/10.1177/1754073916650493
Petrides, K. V. (2019). A conceptual application of Psychobionomy to the field of personality and individual differences. Personality and Individual Differences, 147, 135-143. https://doi.org/10.1016/j.paid.2019.04.018
Pirskanen, H., Jokinen, K., Karhinen-Soppi, A., Notko, M., Lämsä, T., Otani, M., ... & Rogero-García, J. (2019). Children’s emotions in educational settings: Teacher perceptions from Australia, China, Finland, Japan and Spain. Early Childhood Education Journal, 47(4), 417-426. https://doi.org/10.1007/s10643-019-00944-6
Pulido, F., & Herrera, F. (2018). Relaciones entre rendimiento y inteligencia emocional en secundaria. Tendencias Pedagógicas, 31, 165-185. https://doi.org/10.15366/tp2018.31.010
Rivers, S. E., Brackett, M. A., Reyes, M. R., Mayer, J. D., Caruso, D. R., & Salovey, P. (2012). Measuring emotional intelligence in early adolescence with the MSCEIT-YV: Psychometric properties and relationship with academic performance and psychosocial functioning. Journal of Psychoeducational Assessment, 30(4), 344-366. https://doi.org/10.1177/0734282912449443
Rodrigo-Ruiz, D., Cejudo, J., & Pérez-González, J. C. (2019). Compendio y Análisis de Medidas de Evaluación de la Inteligencia Emocional Capacidad. Revista Iberoamericana de Diagnóstico y Evaluación – e Avaliação Psicológica. https://doi.org/10.21865/RIDEP51.2.08
Sánchez-Núñez, M. T, Fernández-Berrocal, P., Montañés-Rodríguez, J., & Latorre-Postigo, J. M. (2008). ¿Es la inteligencia emocional una cuestión de género? Socialización de las competencias emocionales en hombres y mujeres y sus implicaciones. Electronic Journal of Research in Educational Psychology, 6(2), 455-474.
Sanz de Acedo, M. L. (1997). La educación infantil y la inteligencia emocional. Comunidad Educativa, 239, 44-47.
Sastre, S., Artola, T., & Alvarado, J. M. (2019). Emotional Intelligence in elementary school children. EMOCINE, a novel assessment test based on the interpretation of cinema scenes. Frontiers in Psychology, 10, 1882. https://doi.org/10.3389/fpsyg.2019.02031
Sastre, S., Artola, T., & Alvarado, J. M. (2018). Adolescents’ sensitivity in social interactions: An evaluation procedure using film clips/La sensibilidad a las interacciones sociales en adolescentes: Un procedimiento de evaluación con escenas cinematográficas. Revista de Psicología Social, 33(1), 195-212. https://doi.org/10.1080/02134748.2017.1385244
Shablack, H., Becker, M., & Lindquist, K. A. (2019). How do children learn novel emotion words? A study of emotion concept acquisition in preschoolers. Journal of Experimental Psychology: General. https://doi: 10.1037/xge0000727