Estimación de irradiancia empleando redes neuronales artificiales con variables meteorológicas y eléctricas de módulos fotovoltaicos
Estimation of irradiance using artificial neural networks with meteorological and electrical variables of photovoltaic modules
Estimación de irradiancia empleando redes neuronales artificiales con variables meteorológicas y eléctricas de módulos fotovoltaicos
Ingeniería, vol. 20, núm. 3, pp. 147-157, 2016
Universidad Autónoma de Yucatán

Recepción: 27 Enero 2017
Aprobación: 13 Febrero 2017
Resumen: En este trabajo se presenta la estimación de la irradiancia solar mediante una arquitectura de red neuronal artificial desarrollada mediante un método heurístico. Las condiciones meteorológicas como velocidad y dirección del viento, temperatura ambiente, así como el voltaje, corriente y temperatura de un módulo fotovoltaico, fueron usadas como variables de entrada de la red neuronal, y la irradiancia como variable de salida. Los pesos y bias de la red fueron optimizados con el entrenamiento continuo variando parámetros de la arquitectura y probando diferentes algoritmos de optimización. El rendimiento de la arquitectura fue evaluado con criterios estadísticos para la validación de la red, comparando datos simulados con datos experimentales. La mejor arquitectura fue 14 neuronas en la capa oculta con 95% de coeficiente de correlación.
Palabras clave: energía solar, estimación de recursos, inteligencia artificial.
Abstract: In this paper an estimation of solar irradiance is presented through an artificial neural network architecture found with a heuristic method. Weather conditions such as wind speed and direction, ambient temperature, as well as the output voltage, current and temperature of a photovoltaic module, were used as input variables of the neural network, and the irradiance as output variable. The weights and bias of the network were optimized with continuous training varying - layer with a correlation coefficient of 95%.
Keywords: solar energy, resource evaluation, artifitial intelligence.
INTRODUCCIÓN
La conversión eléctrica de la energía solar tiene ventajas como: instalación en corto tiempo, larga vida de operación, circuitos de interconexión simples, partes no móviles y generación de electricidad segura, no contaminante y puede ser considerada una fuente renovable (Mekki et al., 2007). Para el diseño de los sistemas de generación fotovoltaica por lo general se necesita información de la irradiancia solar del lugar. La irradiancia es medida en la mayoría de las estaciones meteorológicas, pero no se recopila en todas las áreas de implementación, debido al costo, mantenimiento y calibración que requieren los equipos de medición (Teke et al., 2015). Además de la irradiancia, la potencia de un módulo fotovoltaico (MFV) también es dependiente de factores ambientales como la velocidad y dirección del viento, humedad relativa, temperatura del ambiente, temperatura de trabajo del módulo fotovoltaico y la presión atmosférica, entre otros (Celik et al., 2016). Se requiere de información meteorológica para determinar si un sistema fotovoltaico tiene un costo efectivo y para la predicción de la producción de energía anual en una región específica (Rivera y Peng, 2006).
El típico sensor para medir la irradiancia incidente en un MFV es un piranómetro. Este instrumento mide la irradiacia solar global. Usualmente, un piranómetro con una precisión estándar debe tener 5% de error y para trabajos de alta precisión se puede tener sensores de hasta 2% de error. Las desventajas de un piranómetro son sus precios elevados, el cambio de sensibilidad debido a la exposición a la radiación, periodos prolongados a altas temperaturas (<50 °C) y la calibración rutinaria (Rivera y Peng, 2006). Todo esto ha llevado al desarrollo de métodos alternos para estimar la irradiancia.
Teke et al. (2015) recopila 90 modelos lineales y no lineales de estimación de irradiancia global sobre superficie horizontal, irradiancia media mensual, irradiancia media diaria y número de horas de sol efectivas. Existen métodos para la estimación de irradiancia mediante interpolación (Sen y ŞahIn, 2001) y de imágenes satelitales (Selmin et al., 2013). Recientemente, algunos investigadores han aplicado las redes neuronales artificiales (RNAs) a máquinas de soporte de vectores y otros métodos híbridos de inteligencia artificial para estimaciones en aplicaciones fotovoltaicas (Mellit et al., 2014). Los modelos basados en RNAs son principalmente clasificados en tres tipos. El primer tipo estima la irradiancia (G) producida usando combinaciones de valores instantáneos de variables meteorológicas (dirección D y velocidad S del viento, humedad relativa H y temperatura del ambiente T.), temperatura de MFV (T.), y potencia eléctrica (P) (Teke et al., 2015). Entonces, esta relación está dada por las entradas matemáticamente expresadas como:
(1)En el segundo tipo de modelos basados en RNAs, llamado series de tiempo, los valores pasados de irradiancia son usados en orden para predecir valores futuros (Teke et al., 2015). Las relaciones entre las entradas y las salidas pueden ser expresadas como:
(2)Estos tipos de modelos pueden estimar la irradiancia sin la necesidad de parámetros meteorológicos. El tercer tipo de modelos presentan una combinación de los anteriores: predicen mediante los valores de irradiancia pasados y los valores instantáneos de parámetros meteorológicos. Las relaciones de entrada/salida se expresan mediante (9)
(3)Los datos meteorológicos pueden ser obtenidos por modelos de predicción numérica o de las observaciones satelitales (Mathiesen y Kleissl, 2011).
El método a emplear es consecuente de la aplicación a realizar. Para este estudio se obtuvo una base de datos extensa con registros de fenómenos climatológicos y mediciones eléctricas de MFV de la región de Yucatán, México. Esta información se procesa para realizar los entrenamientos de las RNAs. Las RNA´s son ampliamente aceptadas para predecir resultados a partir de ejemplos. Son capaces de lidiar con problemas no lineales, y una vez hecho el entrenamiento pueden realizar estimaciones a altas velocidades sin requerir nuevos datos estadísticos (Mellit et al., 2013). Las RNAs se desarrollan como generalizaciones de modelos matemáticos que imitan el pensamiento humano, basadas en los siguientes enunciados (Fausett, 1994):
Una RNA es caracterizada por (Fausett, 1994):
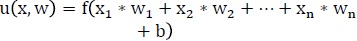
La neurona artificial es la unidad principal de procesamiento. Cada neurona tiene un estado interno, llamado nivel de activación o función de transferencia f, donde se evalúa la sumatoria de las señales de entrada. Típicamente, una neurona envía su activación como una señal a otras neuronas (Espadas, 2002). Considerando una neurona u, ilustrada en la Fig. 1, que recibe las señales de entradas x., x. hasta x.. Los pesos correspondientes son w., w., hasta w. y una bia b.

Entonces, la salida de la neurona u(x, w) se expresa matemáticamente como:
(4)ó en forma matricial como:
(5)Las funciones de activación más utilizadas son la lineal, sigmoidea y tangente hiperbólica (Alejos, 2016). Las ecuaciones son las que se enlistan respectivamente:
(6)
(7)
(8)Es de pensarse que las funciones de activación sigmoidal y tangente hiperbólica determinan la ganancia no lineal de la neurona. Esta ganancia se puede definir como la razón de cambio en la señal de salida con respecto a la variación en el valor de entrada.
Una RNA que se conforma por una capa oculta con un número . de neuronas, una capa de entrada con un número . de neuronas, teniendo en cuanta las funciones de activación (Ecuaciones 6, 7 y 8) para cada elemento, su salida está dada por (9).
(9)Los algoritmos de aprendizaje de propagación hacia atrás son ampliamente elegidos para aplicaciones fotovoltaicas. La implementación de estos algoritmos consiste en actualizar los pesos y bias de la red en dirección en la cual la función de desempeño (error) disminuya más rápido, el negativo del gradiente (Demuth et al., 2007). Una iteración de este algoritmo se puede escribir como:
(10)donde Wk es el vector actual depesos y bias gk es el gradiente actual, y
es la tasa de aprendizaje. Algunos de los algoritmos de optimización se enlistan a continuación: Gradiente descendente por lotes, Gradiente descendente por lotes y con momento, Tasa variable de aprendizaje, Fletcher-Reeves, Polak-Ribière, Powell-Beale, Gradiente conjugado escalado, Algoritmo BFGS, Algoritmo de un paso por secante y Levenberg-Marquardt (Demuth et al., 2007).
Con la finalidad de tener criterios que permitan comparar el desempeño de las arquitecturas de RNAs y del proceso de actualización de pesos y bías, se describen a continuación algunas ecuaciones estadísticas utilizadas para comparar grupos de datos generados con redes neuronales (Tziu et al., 2016). La salida de la RNA son los datos simulados GSIM y los experimentales son nombrados conGEXP
El coeficiente de correlación de Pearson
El coeficiente de correlación de Person R es una medida de la relación lineal entre dos variables aleatorias cuantitativas. Este coeficiente es un índice que no depende de las magnitudes de las variables, siempre y cuando sean cuantitativas.
(11)El MAPE (Mean Absolute Percent Error, por sus siglas en inglés) mide la magnitud del error en términos porcentuales.
(12)El RMSE (Root Mean Squeared Error, por sus siglas en inglés) es una medida del grado de dispersión de los datos con respecto al valor promedio. Es conocida como la desviación estándar para una distribución de probabilidad discreta:
(13)El objetivo principal de este trabajo consiste en usar RNAs para estimar la irradiancia incidente en un MFV. En los siguientes apartados se describirán la metodología, que consiste en una breve explicación del sistema experimental, la división de la base de datos y el método para ajustar la arquitectura de RNA. Finalmente, se presentan los resultados obtenidos y la validación del modelo matemático de la red.
METODOLOGÍA
Sistema experimental y formación de base de datos
El entrenamiento de RNA´s requiere de una base de datos con representaciones de los fenómenos del problema en particular. En orden para obtener las muestras representativas, un sistema experimental con sensores meteorológicos y eléctricos es instalado en un MFV y se procede a recolectar datos en un periodo de tiempo. Una computadora adquiere los datos de un microcontrolador que procesa la información, y se guardan en tablas para su análisis posterior. El sistema experimental anteriormente mencionado se presenta en la Fig. 2. Los sensores implementados se encuentran en la Tabla 1, los cuales consistieron en instrumentos de medición de voltaje y corriente del MFV (modelo SR100), instrumentos de medición meteorológicos y sensores de temperatura. El sistema experimental se encuentra instalado en la Facultad de Ingeniería de la UADY, localizado en Mérida, Yucatán, México (20°02’55.2” N 89°38’37.8” W). La base de datos contiene mediciones cada media hora, durante cuatro meses. Para tener las muestras con los fenómenos meteorológicos más representativos, 1376 pares de datos fueron escogidos. El 80% de la base de datos fue seleccionada aleatoriamente para realizar los entrenamientos y el 20% restante para validación y prueba. La base de datos consistió de dos partes: las variables de entrada (velocidad y dirección del viento, humedad relativa, temperatura del ambiente, voltaje, corriente y temperatura del MFV) y la variable de salida (irradiancia), la cual es la que se desea estimar


Posteriormente, la información recolectada se utilizó para el entrenamiento de la red neuronal, y mediante un método heurístico se realizó la optimización de los pesos y bías de la red.
Proceso de entrenamiento y modelo RNA
El proceso de selección de la arquitectura RNA consiste en tres partes: selección del algoritmo de propagación hacia atrás, selección de las funciones de transferencia con el mejor efecto en la red y establecimiento del número de neuronas en la capa oculta con el mejor desempeño. Este proceso se ilustra en la Fig. 3.
En el primer paso se probaron 10 métodos para seleccionar el algoritmo de optimización de propagación hacia atrás y se eligió el que menores errores de RMSE, MAPE presente y el que mayor coeficiente de correlación R presente. El procedimiento consistió en evaluar mil veces el algoritmo de optimización, actualizando para cada entrenamiento en un máximo de 1500 épocas los pesos y bias ó hasta que el mejor resultado converja. Las funciones de transferencia para la capa oculta y de salida fueron establecidas en tansig y purelin respectivamente. El número de neuronas en la capa oculta se estableció en 15, por lo que la arquitectura inicial de entrenamiento fue de 7-15-1 (neuronas en las capas entrada- oculta-salida). El mejor algoritmo de optimización resultó ser el Levenberg-Marquart descendiente del algoritmo de optimización de Newton (Demuth et al., 2007), reconocido por sus estimaciones con un mínimo de error en tiempos de computo cortos. El desempeño de este algoritmo tuvo un RMSE (92.97), MAPE (38.08%) y R (0.94).

El segundo paso consistió en la selección de las funciones de activación con el mejor desempeño en la red. Para este objetivo, se realizó un entrenamiento con los pares tansig-purelin (oculta-salida) y otro con logsig-purelin, y se repitió el proceso incrementando el número de neuronas en la capa oculta. Cada entrenamiento consistió en 1500 épocas usando el algoritmo de aprendizaje Levenberg-Marquart. Después de 1000 entrenamientos con cada par de funciones, se detuvo el proceso con 5 neuronas en la capa oculta, quedando demostrado que el par tansig-purelin con un RMSE= 99.87, MAPE= 88.97% y R =94.08, resultó con mejores resultados respecto al par logsig-purelin con RMSE=97.93, MAPE=95.55% y R=93.32.
El tercer paso consistió en determinar la arquitectura RNA óptima para este estudio, incrementando el número de neuronas en la capa oculta hasta que los criterios estadísticos no tengan mejores resultados. Se establecieron los parámetros de entrenamiento con Levenberg-Marquardt como algoritmo de optimización, tansig-purelin como funciones de transferencia y 1500 repeticiones con 1500 épocas de iteración. El resultado final fue una arquitectura tansig-purelin 7-14-1. La evaluación estadística entre los datos simulados GSIM y experimentales GEXP
dieron resultados de RMSE (91.61), MAPE (38.8%) y R>0.95, el cual es cercano a una correlación perfecta, y es un valor aceptado en estimaciones de parámetros en documentos reportados por Mellit et al. (2013), Fernández et al. (2014) y Ameen et al. (2014).
En el siguiente apartado, se utilizaron los pesos y bías de la arquitectura 7-14-1 para obtener un modelo matemático que estime la irradiancia a partir de las variables de entrada. Finalmente, el modelo fue validado y comparado con datos experimentales.
RESULTADOS
La arquitectura 7-14-1 presentó los más bajos errores de RMSE=91.61, MAPE=38.8%, por lo cual se evaluó la ecuación 5 con los pesos, bias y funciones de transferencia ajustados para estimar la irradiancia solar global (GSIM) a partir de parámetros de entrada (D, V, TA, TG, V, I) y compararlos con datos experimentales (GEXP)
. La irradiancia estimada y experimental se presenta en la Fig. 4, la cual grafica una parte de los datos, debido a que un número mayor de muestras no permitiría apreciar el comportamiento de ambas gráficas. La curva de color azul con marcador de estrella son las impresiones de los datos experimentales, mientras la línea punteado con marcador circular son los valores de irradiancia estimados con la red, correspondiente a los pares de datos experimentales. Se puede observar que el comportamiento de ambas curvas son similares, el ajuste lineal es presentado en la Fig. 5 y corresponde a una correlación de R=0.95.

En orden para determinar la mejor arquitectura, se recolectaron los errores RMSE, MAPE y coeficiente de correlación para cada entrenamiento. Para la arquitectura 7-14-1 se presenta la Fig. 5, que contiene las gráficas de correlación entre los datos estimados y experimentales para los procesos de prueba (R=0.93), validación (R=0.93) y entrenamiento de todos los datos (R=0.95). El proceso de prueba se da cuando se ajustan los pesos de la red, utilizando el 20% de los datos, y la correlación alcanza un valor significativo. Siguientemente se realiza una validación con el 80% restante con los datos de entrenamiento. Y concluido el entrenamiento, se obtiene la correlación con la base entera de datos (R=0.95). La gráfica que tiene lleva el título de Gsim y Gexp corresponde a la correlación aplicando la ecuación 5 con los datos estimados y experimentales.
Las estimaciones para un día soleado (1000 W/m.), nublado (<400 W/m.) y parcialmente nublado se presentan en las gráficas de las Fig. 6, 7 y 8 respectivamente. Para cada gráfica, en general, se puede observar que el modelo matemático ajusta con buena precisión la irradiancia.
En la base de datos se tomaron muestras de días soleados, nublados, lluviosos, etc. Esto con la intención de que la RNA se entrene con condiciones climáticas distintas y aprenda de diferentes situaciones. En la Fig. 4, se presenta una parte de los datos experimentales y estimados de irradiancia, y en la Fig. 6 se expone un día soleado para observar el comportamiento del ajuste la red neuronal a este tipo de curva.
En un día nublado, no se tienen valores de irradiancia altos, generalmente están en valores menores a 400 W/m.. De la base de datos completa, se extrae un día con estas cualidades, y se presenta en la Fig. 7. Se observa en la figura anterior que el comportamiento de la RNA ajusta con precisión los datos experimentales de irradiancia.
Un día característico de la ubicación donde se instaló el sistema experimental consiste en días parcialmente nublados. En la Fig. 8 se presenta un gráfico con un día con la descripción anterior, y se observa que la RNA también ajusta este tipo de días.




CONCLUSIONES
Se desarrolló e implementó una arquitectura de RNA (7-14-1) multicapas para la estimación de irradiancia mediante datos meteorológicos y eléctricos de MFV. La correlación de los datos estimados y experimentales fue de 0.95. Finalmente, se obtuvo la expresión matemática que relaciona las variables de entrada con la estimación final de irradiancia y se graficaron los resultados.
La arquitectura RNA puede ser aplicada con nuevos datos de entrada para estimar irradiancia con MFV de la localización de adquisición de datos.
La ventaja de este tipo de modelo es que no necesita de otros parámetros adicionales, o dado el caso, se necesitará mayor poder de cálculo y la implementación de nuevos sensores para adquirir datos adicionales.
La arquitectura es la óptima para los datos de entrada, que consisten en la velocidad y dirección del viento, humedad relativa, temperatura del ambiente, corriente, voltaje y temperatura del módulo fotovoltaico. Trabajos posteriores para la sensibilización de los parámetros pueden ofrecer un mejor ajuste con criterios estadísticos similares.
Con los resultados presentados en el trabajo, se puede concluir que la estimación de irradiancia mediante redes neuronales es viable para sustituir el uso de piranómetros.
REFERENCIAS
Alejos E. (2016). Estimación de irradiancia empleando redes neuronales artificiales y módulos de paneles fotovoltaicos. Tesis de licenciatura, Universidad Autónoma de Yucatán, Yucatán, México.
Ameen A., Pasupuleti J. y Khalib T. (2014). Sensitivity of artificial neural network based model for photovoltaic system actual performance. “Power and Energy”. 241 – 244.
Celik O., Teke A. y Yildirim H. (2016). The optimized artificial neural network model with Levenberg-Marquardt algorithm for global solar radiation estimation in Eastern Mediterranean Region of Turkey. “Journal of Cleaner Production”. Vol. 116, 1-12.
Demuth H., Beale M. y Hagan M. (2007). Neural Network ToolBox 5: User´s Guide. The MathWorks Inc. Natik.
Espadas G. (2002). Reconocimiento de patrones usando redes neuronales artificiales. Monografía de Licenciatura, Licenciatura en Ciencias de la Computación. Universidad Autónoma de Yucatán, Yucatán, México.
Fausett L. (1994). Fundamentals of neural networks: architectures, algorithms, and applications. Uppler Saddle: Prentice-Hall. New Jersey, EUA. ISBN13: 9780133341867
Fernández E., Almonacid F., Sarmah N., Rodrigo P., Mallick T. y Pérez-Higueras P. (2014). A model based on artificial neuronal network for the prediction of the maximum power of a low concentration photovoltaic module for building integration.”SolHiMar Energy”. Vol. 100, 148-158.
Mathiesen A. y Kleissl J. (2011). Evaluation of numerical weather prediction for intra-day solar forecasting in the continental United States. “Solar Energy”. Vol. 85, 967–977.
Mekki H., Mellit A., Salhi H. y B. Khaled (2007). Modeling and simulation of photovoltaic panel based on artificial neural networks and VHDL-language. 14th IEEE International Conference on: Electronics, Circuits and Systems, 2007. ICECS 2007.
Mellit A., Massi P. y Lughi V. (2014). Short-term forecasting of power production in a large-scale photovoltaic plant. “Solar Energy”. Vol. 105, 401-413.
Mellit A., Saglam S. y Kalogirou S. (2013). Artificial neural network-based model for estimating the produced power of a photovoltaic module. “Renewable Energy”. Vol. 60, 71-78.
Rivera E. y Peng F. (2006). Algorithms to estimate the temperature and effective irradiance level over a photovoltaic module using fixed theorem. IEEE Power Electronics Specialists Conference. 1 – 4.
Selmin E., Hammer A. y Bulent G. (2013). Estimation of daily global solar irradiation by coupling ground measurements of bright sunshine hours to satellite imagery. “Energy”. Vol. 58, 417–25.
Sen Z. y SahIn A. (2001). Spatial interpolation and estimation of solar irradiation by cumulative semivariograms. “Solar Energy”. Vol. 71, 11-21.
Teke A., Yildirim H. y Celik O. (2015). Evaluation and performance comparison of different models for the estimation of solar radiation. “Renewable and Sustainable Energy Reviews”. Vol. 50, 1097-1107.
Tziu J., Alejos E., Bassam A., Flota-Bañuelos M., Escalante M., Ricalde L. y López-Sanchez M. (2016). Photovoltaic module temperature estimation: A comparison between artificial neural networks and adaptive neuro fuzzy inference systems models. “Intelligent Computing Systems”. Vol. 597, 46-60.