Solución numérica de ecuaciones diferenciales unidimensionales por el método de diferencias finitas
Numerical solution of one-dimensional differential equations by the finite difference method.
Solución numérica de ecuaciones diferenciales unidimensionales por el método de diferencias finitas
Ingeniería, vol. 20, núm. 3, pp. 158-167, 2016
Universidad Autónoma de Yucatán

Recepción: 28 Septiembre 2016
Aprobación: 30 Enero 2017
Resumen: En la enseñanza de las ecuaciones diferenciales la metodología más usada para determinar las soluciones es usando métodos algebraicos. En este trabajo se muestra como determinar la solución de las ecuaciones diferenciales lineales usando el método de diferencias finitas. Se aplica dicho método numérico a dos ecuaciones diferenciales, una de coeficientes constantes y otra de coeficientes variables. En ambos ejemplos se muestran las gráficas comparativas entre la solución exacta y la obtenida por el método de diferencias finitas.
Palabras clave: Ecuaciones Diferenciales Ordinarias, Método de diferencias finitas, Enseñanza.
Abstract: In teaching the differential equations the most used methodology to determine the solutions is using algebraic methods. In this paper we show how to determine the solution of linear differential equations using the finite difference method. This numerical method is applied to two differential equations, one of constant coefficients and another one of variable coefficients. In both examples the comparative graphs between the exact solution and that obtained by the finite difference method are shown.
Keywords: Ordinary Differential Equations, Finite differences method, Teaching.
INTRODUCCIÓN
Algunos de los problemas más usuales en la enseñanza de la Física a nivel superior son: movimiento vibratorio de sistemas mecánicos (movimiento armónico simple, movimiento sobre amortiguado y críticamente amortiguado), problemas de circuitos eléctricos y algunos problemas misceláneos (como el péndulo simple), tienen como modelo matemático a una ecuación diferencial ordinaria (EDO) lineal de segundo orden con coeficientes constantes, sujeta a valores iniciales o valores de frontera, según sea el caso.
Por otro lado, tradicionalmente en la enseñanza de las ecuaciones diferenciales las soluciones se determinan usando métodos algebraicos, tanto para EDO’s de primer orden como de segundo orden. Por ejemplo, para obtener la solución de una EDO de segundo orden con coeficientes constantes en forma algebraica, esta se realiza aplicando uno de los siguientes métodos: soluciones exponenciales, método de coeficientes indeterminados, método de operadores anuladores, entre otros (Zill 2012; Spiegel 2003). Por lo cual, el estudiante obtiene un conocimiento parcial (o limitado) de las diferentes formas de obtener las soluciones de las ecuaciones antes mencionadas (Sandoval y Díaz-Barriga 2008; Nápoles 2002).
Sandoval y Díaz-Barriga (2008), realizaron un estudio sobre la didáctica en la enseñanza de las ecuaciones diferenciales de primer orden, en este estudio señalan que la búsqueda de soluciones usando métodos gráficos está lejos de ser tomada en cuenta por la currícula tradicional, por las dificultadas que esta presenta, dejando este tipo metodología a un curso de métodos numéricos. También, señalan que los métodos gráficos facilitan a los estudiantes asociar diferentes actividades cognoscitivas, como son: ver y razonar. Otra propuesta de la enseñanza de las ecuaciones diferenciales, es usar paquetes computacionales como Maple y Mathematica (Ortigoza, 2007).
Los métodos numéricos que se enseñan básicamente en una primera asignatura de Análisis Numéricos son: método de Euler, Euler mejorado y Runge-Kutta. Dejando para cursos más avanzados, métodos como el de diferencias finitas. Para un estudio exhaustivo del método de diferencias finitas y su aplicación computacional se recomienda ver el trabajo de Carrillo y Mendoza (Carillo y Mendoza 2015).
En este trabajo se muestra en forma detallada la solución de EDO’s, aplicando el método numérico de diferencias finitas. Con el objetivo de resolver ecuaciones diferenciales lineales de segundo orden ya sean homogéneas o no, se desarrolla el modelo de diferencias finitas que tiene como procedimiento de solución transformar la ecuación diferencial en un sistema de ecuaciones lineales, en donde las incógnitas son los valores de la función en los puntos establecidos a partir de un punto inicial y un paso h entre cada abscisa hasta llegar al extremo del rango b
Método de diferencias finitas para problemas unidimensionales
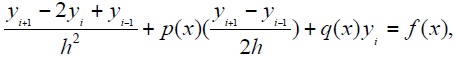
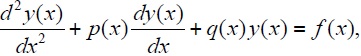
El método de diferencia finitas es utilizado para determinar la solución de una EDO con valores a la frontera, es decir aquellos en donde se conocen los valores de la función en los extremos del rango [a,b]. Una ecuación diferencial lineal de segundo orden no homogénea con coeficientes variables, es de la forma
(1)donde p(x) y q(x) son coeficientes variables
Para establecer el método numérico, primeramente se aproximan la primera y segunda derivadas de una función generalizada y(t) a partir del desarrollo en series de Taylor alrededor de un puntoto, esto es,

Sustituyendo to=X y tomando a tocomo un punto posterior a to, es decir t=X+h, en la expresión (2), seobtiene
(3)Sustituyendo nuevamente los valores de to=X y tomando a t como un punto anterior a to, es decir t = x − h , enla expresión (2), se obtiene
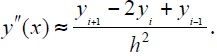
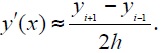
(4)Ahora, realizando la diferencia de las ecuaciones (4) de (3) y cortando la serie en la primera derivada de y(x), se tiene que
(5)Renombrando
se obtiene la aproximación de la primera derivada de y(x):
(6)Para obtener la aproximación de la segunda derivada de y(x) se realiza una suma de las ecuaciones (3) y (4), ycortando la serie en la segunda derivada de y(x), en este caso se obtiene
(7)Renombrando nuevamente
se obtiene la expresión de la segunda derivada de y(x)
(8)Realizando la sustitución y(x)=yi , y las ecuaciones (6) y (8) en la expresión de la ecuación diferencial (1),
(9)en la expresión anterior, se renombra
y sumando términos semejantes, se obtiene
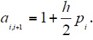
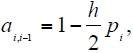
(10)Dado que los coeficientes de las funciones . forman parte de una matriz se nombran de la siguiente forma:
y se obtiene la siguiente expresión
(11)en donde,
(12)
(13)
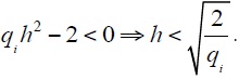
(14)Obtener una buena aproximación a la solución exacta de la ecuación diferencial depende del tamaño del paso h pero este, está relacionado con el factor q ,ya que forma parte de la diagonal principal de la matriz de coeficientes que se forma y que está expresado en la ecuación (13). Haciendo estaexpresión dada en (13) menor que cero, se obtiene el tamaño de paso máximo, esto es,
(15)Por lo que el número mínimo N de pasos de cálculo se expresa como:
(16)Para fines prácticos, el número de pasos es de 3 ó 4 veces este valor mínimo de N ya que para un número de pasos cercano a N , se tiene un mal ajuste de la solución de la ecuación diferencial.Para aplicar el método descrito anteriormente a una ecuación diferencial se debe tener en cuenta que los valores de la función y(x) en los extremos del rango [a,b] son respectivamente y(a)= yo y y(b)=yN, por lo que el primer valor a evaluar es para i =1 y el último es para i = N −1. Dado que para cada valor de i se tiene una ecuación lineal, el problema de resolver una ecuación diferencial se ha convertido en solucionar un sistema de N−1 ecuaciones algebraicas con N−1 incógnitas. Como es sabido, determinar las soluciones de un sistema de ecuaciones algebraicas se puede obtener usando elmétodo de Gauss-Jordan.
Aplicación del método a una EDO con coeficientes constantes
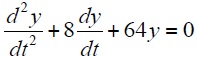
Aplicaremos ahora el método mencionado a una ecuación diferencial proveniente de un sistema resorte-masa, que suele ser un ejemplo clásico en asignaturas de Física o Ecuaciones Diferenciales.
Ejemplo: Un peso de 6 lb estira un resorte 6 pulgadas. Asuma que una fuerza amortiguadora, dada en libras como 1.5 veces la velocidad instantánea en pies por segundo, actúa sobre el resorte. Si se desplaza a la masa 4 pulgadas por debajo de su posición de equilibrio y se suelta, encuentre la ecuación diferencial para este resorte y resuélvalo utilizando el método de diferencias finitas.
La constante del resorte se obtiene aplicando la ley de Hooke:
(17)A partir de aplicar la segunda ley de Newton, se plantea la siguiente ecuación diferencial ordinaria con coeficientes constantes:
(18)las condiciones iniciales para esta ecuación diferencial son las siguientes:
en t=0 y
t=0 La solución exacta para esta ecuación diferencial es:
(19)La EDO dada en (18) tiene que ser expresada en la forma del modelo de solución (1), por lo que se tiene:
(20)por lo que
(21)
(22)
(23)Para ejemplificar el método haremos una corrida de 5 pasos (que es menor que la N mínima calculada con la ecuación (16) que es de N = 6), por lo que la distancia entre pasos es
y los valores de frontera del contorno
y5 y (t =1) = 0.007, los cuales fueron calculados con la ecuación (19), estos valores son los datos de inicio del problema, pero para aplicar el método, en este caso los tomamos de una evaluación directa a la solución de la ecuación diferencial. Al ser p(x) yq(x) constantes los valores de 
también lo son. Iniciando en N=1, construiremos un sistema de ecuaciones donde se muestra la matriz tridiagonal que se forma.
(24)
(25)
(26)
(27)donde yo y y5 son los valores de frontera del contorno, multiplicándolos por sus correspondientes 
Reescribiendo estos valores al otro lado de la igualdad obtenemos un sistema de ecuaciones que en forma de matrices es:

En el sistema de ecuaciones obtenido anteiormente se forma una matriz tridiagonal. Este sistema se resuelve utilizando el método de la matriz ampliada con una reducción de Gauss-Jordan.
En la tabla 1, se muestra el resultado de resolver el sistema de ecuaciones. Donde en la primer columna se da el número N (pasos), la segunda columna los valores que va tomado x, en la tercera columna se tienen los valores de y evaluados y en la última columna los valores calculados.

En la figura 1 que corresponde a la tabla 1, se observa que al tomar un valor de N menor que el mínimodado por la ecuación (16), la solución numérica no seaproxima a la solución exacta.

Cuando N = 6, el valor mínimo de pasos dado por la ecuación (16) y recalculando los valores de
se observa que es necesario construir una matriz detamaño 5x5 y resolver el sistema de ecuaciones planteado, lo que da como resultado:

De forma similar a la tabla anterior, los valores obtenidos al solucionar este último sistema de ecuaciones se muestran en la tabla 2.

En la gráfica 2, se muestra la solución al cálculo anterior. En ésta gráfica se observa que aun cuando N toma el valor mínimo ( N = 6 ), no se obtiene unajuste adecuado a la solución algebraica.

Debido a la discrepancia entre las curvas de la figura 2, es necesario realizar una nueva corrida, en este caso se toma N =10 , aproximadamente el doble que en la corrida anterior. Nuevamente se calcula
y se procede de forma análoga al caso de N = 6 , en este caso se obtiene un sistema de 9 ecuaciones con 9 incógnitas. La figura 3, corresponde a la corrida con N =10 y los valores de los coeficientes son:
se muestra un mejor ajuste con la solución algebraica, pero aún no es el óptimo.
Realizando nuevamente una corrida para N=20(aproximadamente el triple de su valor), se construyeun sistema de 19 ecuaciones y 19 incógnitas. La figura 4, corresponde a la corrida con N = 20 y losvalores de los coeficientes para este caso son:


En donde se puede observar claramente que existe una diferencia entre los valores de la función evaluada y los obtenidos mediante la aplicación del procedimiento de diferencias finitas. Esto se debe principalmente al tamaño del paso h y en menor medida al error asociado al método ya que es del orden de O(h2) .
Aplicación del método a una EDO con coeficientes variables
Con el método de diferencias finitas también es posible resolver ecuaciones diferenciales ordinarias de coeficientes variables, pero el criterio para determinar el paso es similar al mostrado en la ecuación (16), pero la función q(x) que se evalúa es la máxima (valor absoluto) en el rango. En este tipo de ecuaciones diferenciales los términos que corresponden a cada ai,j ,son variables, dado que dependen de los coeficientes p(x) y q(x) . El valor del número de pasos N se calcula respecto del máximo valor que toma q(x) . A manera de ejemplo,se resuelve la EDO dada por:
(28)hallar el conjunto de valores de y(t) definidos en el rango [0,4], con condiciones de contorno:

En este caso, el valor máximo que toma q(x) = 2 y el valor mínimo de N = 4 , por lo que se realizara la corrida para N = 20 , con un paso de h = 0.2 . Con estos parámetros de cálculo ya definidos se construye una tabla de valores para lasi j a ,y lasi f que se muestran en la tabla 3.

Con los valores de la tabla 3, se forma una matriz tridiagonal en donde el elemento a1,0 ,se multiplica por el primer valor de frontera y(0) =1.25, y se pasa al otro lado de la igualdad, para el elemento a1920 a ,este se multiplica por el segundo valor de frontera y(4) = −0.95. La matriz tridiagonal que se forma es de tamaño 19 x 19, que se representa como sigue:

Los resultados obtenidos al resolver el sistema de ecuaciones lineales se muestran en la tabla 4, la solución exacta de la ecuación diferencial se muestra de modo tabulado en la última columna de la misma tabla se muestra la evaluación de la solución exacta en

La gráfica que corresponde a la solución del sistema de ecuaciones se muestra en la figura (5).
En dicha gráfica se muestra que la solución dada por el método de diferencias finitas es una buena aproximación a la solución exacta de la ecuación diferencial de coeficientes variables dada en la ecuación (28).

Conclusiones
En este trabajo se mostró como resolver en forma detallada las ecuaciones diferenciales ordinarias por el método de diferencias finitas, en particular: a) se resolvió una ecuación diferencial ordinaria con coeficientes constantes que corresponde al modelado de un sistema físico resorte-masa, b) una ecuación diferencial ordinaria con coeficientes variables. Se discutió la importancia del tamaño del paso h y el número de pasos N para obtener una buena aproximación. Nosotros consideramos que al enseñaren un curso de ecuaciones diferenciales este tipo de métodos numéricos, el estudiante obtendrá un conocimiento más completo de las diferentes formas de solución de las ecuaciones diferenciales.
Cabe mencionar que el método de diferencias finitastiene un error local de truncamiento de O(h2) ,comparado con el método de Runge Kutta el cual esde O(h4) , para ecuaciones diferenciales ordinariasde segundo orden, es de menor aproximación.
Referencias Bibliográficas.
Carrillo, A. y Mendoza, O. (2015), Introducción al Método de Diferencias Finitas y su Implementación Computacional. México. URL: http://www.mmc.geofisica.unam.mx/acl/Textos/Introducci%C3%B3n%20al%20M%C3%A9todo%20de%20Diferencias%20Finitas%20y%20su%20Implementaci%C3%B3n%20Computacional.pdf.
Nápoles, J. E. y Negrón, C. (2002), Revista Electrónica de Didáctica de las Matemáticas, Año 3, Núm. 2, México. URL: http://www.uaq.mx/matematicas/redm/art/a1002.pdf.
Sandoval, I. T. y Díaz-Barriga, E. (2008), Memorias de la XVIII Semana Regional de Investigación y Docencia en Matemáticas, México. URL: http://www.semana.mat.uson.mx/Memorias%20XIII/Sandoval%20Caceres.pdf.
Spiegel, M. R. (2003), Ecuaciones Diferenciales Aplicadas, Prentice-Hall Hispanoamericana, México.
Ortigoza, G. M. (2007), Resolviendo ecuaciones diferenciales ordinarias con Maple y Mathematica, Revista Mexicana de Física E, 53, 155-167, México.
Vidar Thomée (2003), Handbook of numerical Analysis, Elsevier , USA.
Zill, D. G. y Wright, W. S. (2012), Matemáticas Avanzadas para Ingeniería, Cuarta Edición, Mc Graw Hill, México.