Artículos de Investigación
Modelación térmica de un colector solar de canal parabólico mediante el método de elementos finitos
Modelación térmica de un colector solar de canal parabólico mediante el método de elementos finitos
Ingeniería, vol. 21, núm. 1, pp. 1-12, 2017
Universidad Autónoma de Yucatán

Recepción: 23 Abril 2017
Aprobación: 16 Junio 2017
Resumen: El presente trabajo tiene como propósito presentar el modelo de un Colector Solar de Canal Parabólico (CCP) empleando el Método de Elementos Finitos con el fin de predecir el comportamiento térmico del fluido de trabajo a lo largo del tubo receptor del colector. Así mismo, se estima la eficiencia térmica con base a las ecuaciones gobernantes que intervienen en los procesos de transferencia de calor. Para validar los resultados del modelo, se realizó una simulación térmica del fluido empleando el software SolidWorks. El error máximo obtenido de la comparación de la modelación con la simulación fue del 7.6% a un caudal de 1 l/min. De acuerdo a los resultados obtenidos de los errores estadísticos, el método puede predecir eficazmente la temperatura del fluido en caudales altos. El modelo desarrollado puede ser útil como herramienta de diseño, en la optimización del tiempo empleado en las simulaciones generadas por el software y en la minimización de los costos de manufactura referentes a Colectores Solares de Canal Parabólico.
Palabras clave: energía solar, simulación numérica, sistemas fototérmicos, eficiencia térmica.
Abstract: The purpose of the present work is to present a model of a parabolic trough solar collector (PTC) using the finite element method in order to predict the thermal behavior of the working fluid along the receiver tube of the collector. Likewise, the thermal efficiency is estimated bases on the governing equations involved in heat transfer processes. To validate the results of the modeling, a thermal simulation of the fluid is performed using the SolidWorks software. The maximum error obtained from the modeling comparison with the simulation was 7.6% at a flow rate of 1 l/min. According to the results obtained from statistical errors, the method can effectively predict the temperature of the fluid at high flow rates. The developed model can be useful as a design tool, as well as for comparison with the experimental data, in the optimization of the time employed in the simulations generated by the software and in the manufacturing costs of references to the parabolic trough solar collectors
Keywords: Solar energy, numerical simulation, photothermal systems, thermal efficiency.
INTRODUCCIÓN
La contaminación ambiental por gases de efecto invernadero es un problema que se ha presentado a lo largo de estas últimas décadas. Estos gases se producen por diferentes factores, dentro de los que destacan la combustión de carburantes fósiles, el vapor de agua, el uso de fertilizantes en los campos agrícolas, el venteo del gas natural, entre otros. El aumento considerable de estos gases, como el dióxido de carbono (CO.), dióxido de azufre (SO.), y óxido nitroso (NO.) llevan a devastadoras consecuencias que repercuten directamente en el cambio climático (Kalogirou, 2004). Por esta razón, existe una tendencia mundial actual centrada en el uso de fuentes de energía alternativas como medida para mitigar las emisiones de estos gases nocivos y otros contaminantes a la atmósfera (May et al. 2017).
La energía solar es una de las fuentes energéticas renovables que atraen más atención debido a su abundancia, la limpieza y el hecho de que no genera ninguna contaminación (May et al. 2016). Dentro de esta fuente de energía se encuentra la tecnología de los concentradores solares la cual es una de las más desarrolladas actualmente y empleadas para la generación de energía eléctrica (Fernández-García et al., 2010). Los colectores solares de tipo concentrador son capaces de producir altas temperaturas (más de 400 °C). Esto los convierte en una tecnología factible y prometedora para la desalinización solar, aplicaciones en química solar, refrigeración solar (absorción y adsorción), producción de hidrógeno solar y para Plantas Solares Concentradas (CSP) (Tzivanidis et al. 2015).
Un CCP capta la energía radiante del Sol y la concentra en un tubo receptor localizado en el eje focal de la parábola por el cual se hace circular un fluido de trabajo, transformando la radiación solar en energía térmica útil. El análisis de transferencia de calor de estos colectores es importante para el cálculo de las pérdidas térmicas y el dimensionamiento de la planta de energía solar durante el diseño preliminar (Padilla et al. 2011).
Dada la importancia del análisis de transferencia de calor en los CCP, se han desarrollado diferentes modelos a lo largo de los últimos años. Nwosu (2009) desarrolló un modelo térmico empleando el método de elementos finitos a un tubo receptor con cubierta de vidrio evacuado, en el cual obtuvo la mejor ganancia a flujos de calor altos. Por otro lado, Liang (2015) comparó diferentes modelos de transferencia de calor en CCP por el cual concluyó la innecesaridad de contemplar la conducción de calor en tubos receptores con cubierta evacuado. Estudios más recientes como el de Uzgoren (2016), en el cual evaluó un CCP en estado transitorio mediante un modelo matemático desarrollado por el método del volumen finito, validándolo con datos experimentales, obteniendo errores no significativos. Finalmente, Jaramillo (2016) realizó un análisis de la eficiencia térmica de un CCP mediante la inserción de cintas retorcidas dentro del tubo receptor, obteniendo un aumento del 3.5 % en la eficiencia térmica bajo condiciones controladas.
La caracterización de un CCP es de suma importancia, ya que permite conocer los diferentes fenómenos que se presentan en éste. Uno de estos, es el comportamiento de la temperatura a lo largo del tubo receptor, desde la entrada hasta la salida de éste. Esto permite observar el fenómeno de la trasferencia de calor del tubo receptor hacia el fluido, así como también predecir el cambio de fase de dicho fluido, garantizando la obtención de vapor para la generación de electricidad. Del mismo modo, la modelación permite caracterizar un CCP bajo diferentes condiciones sin necesidad de recurrir a la experimentación y tener un concepto general del comportamiento térmico del fluido.
El objetivo del presente trabajo, es modelar un CCP mediante la primera ley de la termodinámica empleando el Método de Elementos Finitos (MEF). Este método permite obtener un perfil de temperaturas del fluido, mediante la discretización del tubo receptor en un número finito de elementos llamados nodos. De igual manera se presenta la validación del modelo mediante una simulación de la temperatura del flujo implementado en el software SolidWorks®.
METODOLOGÍA
Un CCP es un sistema de concentración solar conformado por una lámina reflectora la cual capta los rayos solares y los concentra en un tubo receptor situado en el eje focal de la parábola. En la Fig. 1 se muestra el diseño y los componentes básicos de un CCP.
Dos de los parámetros importantes que caracterizan un CCP son la temperatura en la salida del tubo receptor y la eficiencia térmica. El primero permite describir el calor ganado por el fluido de trabajo, lo que da pie al desarrollo de prototipos que puedan optimizarse en procesos que requieran temperaturas específicas. Por otra parte, la eficiencia térmica, permite obtener la razón de la energía útil respecto a la energía de entrada al sistema.

Análisis térmico del CCP
En un sistema de concentración solar, uno de los parámetros importantes es la eficiencia óptica la cual se calcula mediante la Ec. 1.
(1)donde es la reflectividad de la lámina reflectora, es la transmisividad de la envolvente del tubo, es la absortividad del tubo receptor, es el factor de intercepción, Af es el factor geométrico del colector y es el ángulo de incidencia de los rayos solares (Duffie y Beckman, 2013). Para el análisis térmico del CCP se considera al flujo unifásico, siendo agua dicho fluido de trabajo. De igual manera, se consideran despreciables las pérdidas por conducción ya que se suponen los soportes del tubo receptor aislados. en la Fig. 2 se presenta el modelo del tubo receptor y la representación de las pérdidas térmicas como una red de resistencias.

(a) nomenclatura
(b) red de resistencias térmicas para la sección transversal
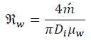
Para estimar las pérdidas de transferencia de calor por convección y radiación en el receptor, se debe hallar el coeficiente global de pérdidas térmicas UL calculando como:
(2)donde el coeficiente hv representa la pérdida de transferencia de calor por convección y hr la pérdida térmica por radiación. hv
representa la pérdida de transferencia de calor por convección y
se calcula mediante la Ec. 3:
(3)siendo kv la conductividad térmica de aire, De el diámetro externo del tubo receptor y Nuv el número de Nusselt el cual se puede estimar mediante la ecuación de Churchill y Bernstein como (Cengel y Ghajar, 2011):
(4)donde Prves el número de Prandtl para el aire y Rv es el número de Reynolds del aire, el cual se calcula mediante la Ec. 5:
(5)siendo V la velocidad del viento y la viscosidad cinemática del aire
Por otra parte, hr se estima mediante la Ec. 6:
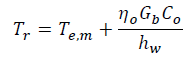
(6)donde es la constante de Stefan-Boltzmann, es la emisividad y la temperatura de tubo receptor, calculando como:
(7)siendo la temperatura máxima del fluido en la salida, Gb la radiación solar directa, Co el factor de concentración y hw el coeficiente de transferencia de calor por convección en el interior del tubo receptor, el cual se halla como:
(8)de aquí, kw es la conductividad térmica del agua, Dies el diámetro interno del tubo y Nuw el número de Nusselt del agua el cual depende del tipo de flujo, y se calcula como (Gnielinski, 2013):
(9)De la Ec. 9, Prwes el número de Prandtl del agua, d es un factor calculado como la razón del diámetro interno de tubo entre su longitud total, Di es el diámetro interno del tubo receptor y es un facot el cual se calcula mediante la Ec. 10.
(10)De igual modo, es el factor de fricción y se estima mediante la ecuación de Chen (Fernández-García et al., 2015):
(11)siendo
la rugosidad de material del cual está hecho el tubo.
Por otra parte,
,
se calcula mediante la ecuación de flujo turbulento
tomando
,
.
El número de Reynolds del agua
se calcula como:
(12)donde ´m es el flujo másico y
la viscosidad dinámica del agua.
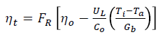
Posteriormente se calcula el factor de remoción FR como (Kalogirou, 2013):
(13)siendo
siendo Ares el área del tubo receptor, cpel calor específico de agua y F´ es el factor de eficiencia del colector calculado como:
(14)de la cual, kces la conductividad térmica del tubo receptor.
La ecuación que relaciona la ganancia de energía de un CCP es:
(15)siendo Ti la temperatura inicial del fluido y A el área de apertura de la lámina reflectora. Por lo tanto, la temperatura de salida del fluido queda como:
(16)donde Ta es la temperatura ambiente. Finalmente, la eficiencia térmica del CCP se halla mediante la primera ley de la termodinámica como:
(17)El Método de Elementos Finitos
El método de los elementos finitos (MEF) es un método numérico para la solución de problemas de ingeniería comúnmente empleado en aquellos que involucran un alto grado de complejidad matemática, así como de físico-matemáticas, con aplicaciones en problemas de transferencia de calor, flujo de fluidos, transporte de masa, etc. (Baskharone, 2013).
El MEF involucra diversos métodos numéricos que se emplean para obtener resultados aproximados a valor real. En este trabajo se empleó el método de Galerkin el cual es un método con un error de alrededor del 7% del valor real, y con un alto grado de precisión (Nithiarasu, 2016). El método de Galerkin se enuncia como:
(18)Donde:

De la Ec. 15, (Te - Ti) se reescribe como diferencial.
De modo que aplicando el método de Galerkin a dicha ecuación queda:
(19)donde es la longitud de apertura de la lámina.
Considerando que Ni,jse descompone en Niy
y que la temperatura en el nodo i multiplicada por su respectiva longitud nodal, más la temperatura en el nodo j multiplicada por su longitud nodal hasta dicho punto se expresa como
, la Ec. 19 se reescribe en forma matricial como:
(20)Integrando y simplificando analíticamente los términos de la Ec. 20, queda finalmente como:
(21)La Ec. 21 representa la temperatura del fluido a lo largo del tubo receptor simplificada para 2 nodos. Para obtener un perfil de temperaturas es necesario trabajar con una mayor cantidad de nodos.
Desarrollo computacional
El MEF fue desarrollado en el entorno de programación MATLAB. El diagrama de flujo implementado para la programación se presenta en la Fig. 3. Primero se inicializó la longitud del tubo receptor
y después el número de nodos
, esto con el fin de calcular la distancia nodal
. Posteriormente se ensambla la matriz generada y el vector generado. Se incluyen las condiciones de frontera para ambos y se calcula el perfil de temperaturas resolviendo la matriz ensamblada.

Simulación térmica con el software SolidWorks
Para la validación del modelo del CCP se empleó el software SolidWorks, mediante su herramienta FlowSimulation, pudo estimar el comportamiento de la temperatura del fluido de trabajo a lo largo del tubo receptor, el cual permitió observar los fenómenos presentados en éste. Para la validación se siguieron cuatro fases presentados en la Fig. 4.

Fase 1: Se diseña el CCP en el software como se observa en la Fig. 1.
Fase 2: Se incluyen los parámetros de entrada con los que se realizará la simulación. Dichos parámetros se explican en la sección de resultados.
Fase 3: Se realiza la simulación considerando los parámetros incluidos en la fase 2, así como las condiciones de frontera que intervienen en el comportamiento térmico de la temperatura del fluido.
Fase 4: En esta última fase se comparan los resultados obtenidos de la simulación del software con los obtenidos por la modelación mediante el MEF, con lo cual se valida el modelo desarrollado.
RESULTADOS Y DISCUSIÓN
En esta sección se presentan los resultados obtenidos de la modelación desarrollada empleando el MEF. Se realizó un análisis térmico de los efectos de siete parámetros incluidos en la modelación con el fin de observar el comportamiento del fluido a lo largo de tubo receptor, así como el comportamiento de la eficiencia térmica del CCP. Finalmente se comparan los resultados y los errores obtenidos estadísticamente del modelo desarrollado a través del MEF, con la simulación realizada empleando el software SolidWorks a través de su herramienta FlowSimulation.
Efectos de los parámetros de entrada sobre la temperatura del fluido
Para la modelación se trabajó con siete parámetros nominales los cuales se variaron para observar el comportamiento de la temperatura del agua a lo largo del tubo receptor, así como de la eficiencia térmica del CCP. Estos parámetros fueron la irradiancia solar directa (Gb) que se varió desde 500 hasta 1000 w/m2, la velocidad del viento (v) desde 1 hasta 6 m/s, la temperatura ambiente () de 25 a 35 oC, el caudal (Q) de 1 hasta 6 l/min, la temperatura inicial del fluido (Ti) de 35 a 60 oC, el ángulo de borde del CCP () 30 a 90o y el diámetro nominal del tubo receptor (Dn), al cual se le asignaron los valores de 1/2, 3/4, 1, 1 1/2 y 2 pulgadas respectivamente.
En la Fig. 5 se muestran los diferentes resultados obtenidos de los efectos de la variación de cada uno de los parámetros mencionados anteriormente sobre la temperatura del fluido. La Fig. 5(a), presenta el efecto de la irradiancia y se observa una mayor ganancia térmica a irradiancias altas debido a que el flujo de calor hacia el tubo receptor es mayor en estas condiciones. De la misma manera, la Fig. 5(b) presenta la variación de la velocidad del viento y se observa un decremento de la ganancia térmica del fluido cuando este parámetro aumenta, debido a que ésta es menor a velocidades de viento altas por el aumento de las pérdidas convectivas exteriores. La Fig. 5(c) presenta la variación del caudal en la entrada del tubo receptor y muestra una menor ganancia térmica por parte del fluido cuando los caudales son altos debido a que se tienen mayores pérdidas convectivas en el interior del tubo receptor. Por otra parte, en la Fig. 5(d) se refleja la variación de la temperatura inicial del fluido del tubo receptor del CCP, de la cual se obtuvo un mayor gradiente de ganancia térmica cuando este parámetro aumenta, por el hecho de tener un alto calor útil en la entrada del tubo receptor. La Fig. 5(e) presenta la variación del ángulo de borde, en la cual se obtuvo la mayor ganancia térmica para el ángulo de borde de 90°, debido a que el aumento del área receptora de la lámina produce un mayor factor de concentración y por ende un mayor flujo de calor concentrado hacia el tubo receptor. Finalmente, la Fig. 5(f) representa la variación del diámetro nominal y su efecto sobre la temperatura del fluido. El aumento de este parámetro conlleva a obtener mayores pérdidas convectivas debido a que el área del tubo receptor es mayor. Sin embargo, el factor de concentración es mayor cuando el diámetro nominal disminuye. Por tal motivo, se debe encontrar un diámetro nominal el cual sea el óptimo para la minimización de las pérdidas convectivas y maximice la ganancia térmica del fluido. Para este trabajo este diámetro fue de 1 pulgada.

5(a) efecto de la irradiancia,
5(b) efecto de la velocidad del viento,
5(c) efecto del caudal,
5(d) efecto de la temperatura inicial de fluido,
5(e) efecto del ángulo de borde,
5(f) efecto del diámetro nominal.
En cuanto al comportamiento de la eficiencia, se incluyeron siete casos, a cada uno se le asignó un valor designado a cada parámetro nominal, como se muestra en la Tabla 1.

En la Fig. 6 se presentan las gráficas de la eficiencia térmica
para cada caso de la Tabla 1. Se observa que los parámetros tales como la irradiancia, el caudal, la temperatura ambiente y el ángulo de borde, son directamente proporcionales a la eficiencia térmica. Dichos parámetros influyen del mismo modo que la temperatura del fluido a lo largo de tubo receptor presentados en la Fig. 5, es decir, el aumento de cualquiera de estos parámetros involucrados genera mayor ganancia térmica por parte del fluido de trabajo. Por otro lado, la velocidad del viento y la temperatura inicial son inversamente proporcionales, lo que significa que el aumento de dichos parámetros produce menor ganancia térmica del flujo. De igual manera, se observa que en el comportamiento de la eficiencia para la variación del diámetro nominal se obtuvo un diámetro óptimo de 1 pulgada. Para diámetros mayores a éste, la eficiencia térmica decrece. Finalmente, la eficiencia térmica más alta se obtuvo en la variación de la temperatura ambiente, a los 35 °C alcanzando un valor del 72

Validación del modelo térmico
Para la validación del modelo se empleó el software SolidWorks como herramienta de simulación. En esta sección, se realizaron varias simulaciones considerando las mismas variables de entrada que se consideraron en la simulación desarrollada con el MEF del modelo térmico del CCP, como ejemplo de esta simulación con el software SolidWorks. la Fig. 7(a) muestra la temperatura en la salida del tubo receptor como una gráfica de corte transversal. En dicha gráfica se puede observar que la sección roja en la salida corresponde a una temperatura de aproximadamente 42 °C, por otro parte, de la Fig. 5(a), la temperatura aproximada que corresponde a la irradiancia de 900 W/m. para el tubo no evacuado es de 41.6 °C considerando los mismos parámetros empleados en la modelación térmica con el MEF. Esta temperatura concuerda con la temperatura obtenida en SolidWorks debido a que esa irradiancia fue uno de los parámetros nominales en la simulación, manteniendo los demás parámetros invariantes, tanto en la modelación como en la simulación. Los tiempos de cálculo correspondientes a la simulación con el software SolidWorks fueron aproximadamente de 45 a 58 min. Por otra parte, en la Fig. 7(b) se presenta la gráfica de corte del tubo receptor que representa el comportamiento de la temperatura a lo largo de éste. Se observa el cambio de dicha temperatura del fluido conforme transcurre a lo largo de tubo receptor, en donde el color rojo representa la mayor temperatura.

(a) salida del tubo receptor,
(b) a lo largo del tubo receptor
Finalmente, en la Tabla 2 se muestran los valores obtenidos de la modelación y de la simulación, con sus respectivos errores, para los cuales el caudal fue el parámetro a variar, debido a que éste es uno de los que generan mayores gradientes en la temperatura de salida del fluido, como se puede observar en la Fig. 5(c). De igual manera se observa el error máximo obtenido fue de 7.6 % para el mínimo caudal empleado, y el error mínimo fue del 0.5 % para el caudal más alto. Por lo tanto, los resultados del modelo desarrollado se aproximan a la simulación de SolidWorks y puede predecir eficazmente el comportamiento de la temperatura del fluido en caudales altos.

CONCLUSIONES
En el presente trabajo se desarrolló un modelo físico para la transferencia de calor en un Concentrador Solar de Canal Parabólico (CCP). En la solución de las ecuaciones del modelo reportadas se empleó el Método de Elementos Finitos (MEF) como herramienta de modelación. El modelo físico desarrollado es capaz de calcular la distribución de temperaturas del fluido de trabajo a lo largo del tubo receptor del CCP. De igual manera, el modelo permite la estimación de la eficiencia del CCP mediante un análisis térmico basado en la primera ley de la termodinámica. La distribución de temperaturas a lo largo del tubo receptor del CCP se obtuvo en función de siete parámetros de entrada (irradiancia solar, velocidad del viento, temperatura ambiente, caudal, temperatura inicial del fluido, ángulo de borde del CCP y diámetro nominal del tubo receptor), los cuales se variaron para estudiar el comportamiento de la temperatura del fluido en función de dichos parámetros. Los resultados obtenidos en la modelación con MEF se validaron mediante la simulación del fluido empleando el software SolidWorks a través de su herramienta FlowSimulation. La validación del modelo desarrollado reporta un error máximo del 7.6% entre el modelo teórico y el software SolidWorks. El modelo desarrollado en este trabajo es una herramienta útil para predecir el comportamiento de la temperatura del fluido de trabajo bajo diferentes condiciones ambientales y de operación. La ventaja de este modelo, en comparación con el software SolidWorks, son los cortos tiempos de cálculo, debido a que, con el software, este tiempo es de aproximadamente 45 a 58 minutos, mientras que empleando MATLAB, dicho cálculo no supera los 30 segundos. Como trabajos a futuro se desea comparar los resultados obtenidos de la modelación térmica con resultados experimentales del CCP, de tal manera que pueda validarse el modelo desarrollado y pueda emplearse en el dimensionamiento y la caracterización de los CCP.
REFERENCIAS
Baskharone, E. A. (2013). The finite element method with heat transfer and fluid mechanics applications. Cambridge University Press.
Cengel,Y.A. y Ghajar,A.(2011). Transferencia de calor y masa. Editorial: Editorial McGraw–Hill.
Duffie, J. A. y Beckman, W. A. (2013). Solar engineering of thermal processes (Vol. 3). New York:Wiley.
Edenburn, M. W. (1976). Performance analysis of a cylindrical parabolic focusing collector and comparison with experimental results. Solar Energy, 18(5), 437-444.
Eiamsa-Ard, S., Thianpong, C., y Eiamsa-Ard, P. (2010). Turbulent heat transfer enhancement by counter/co-swirling flow in a tube fitted with twin twisted tapes. Experimental Thermal and Fluid Science, 34(1), 53-62.
Fernández-García, A., Rojas, E., Pérez, M., Silva, R., Hernández-Escobedo, Q., y Manzano-Agugliaro, F. (2015). A parabolic-trough collector for cleaner industrial process heat. Journal of Cleaner Production, 89, 272-285.
Fernandez-Garcia, A., Zarza, E., Valenzuela, L., y Pérez, M. (2010). Parabolic-trough solar collectors and their applications. Renewable and Sustainable Energy Reviews, 14(7), 1695-1721.
Gnielinski, V. (2013). On heat transfer in tubes. International Journal of Heat and Mass Transfer, 63, 134-140.
Jaramillo, O. A., Borunda, M., Velazquez-Lucho, K. M., y Robles, M. (2016). Parabolic trough solar collector for low enthalpy processes: An analysis of the efficiency enhancement by using twisted tape inserts. Renewable Energy, 93, 125-141.
Kalogirou, S. A. (2013). Solar energy engineering: processes and systems. Academic Press.
Kalogirou, S. A. (2004). Solar thermal collectors and applications. Progress in energy and combustion science, 30(3), 231-295.
Liang, H., You, S., y Zhang, H. (2015). Comparison of different heat transfer models for parabolic trough solar collectors. Applied Energy, 148, 105-114.
May, O., Ricalde, L. J., Ali, B., López, E. O., Venegas-Reyes, E., y Jaramillo, O. A. (2016). Neural Network Inverse Modeling for Optimization. In Artificial Neural Networks-Models and Applications. InTech.
May Tzuc, O., Bassam, A., Escalante Soberanis, M. A., Venegas-Reyes, E., Jaramillo, O. A., Ricalde, L. J., ... y El Hamzaoui, Y. (2017). Modeling and optimization of a solar parabolic trough concentrator system using inverse artificial neural network. Journal of Renewable and Sustainable Energy, 9(1), 013701.
Nithiarasu, P., Lewis, R. W., y Seetharamu, K. N. (2016). Fundamentals of the finite element method for heat and mass transfer. John Wiley & Sons.
Nwosu, N. P. (2009). Finite-element analysis of an absorber in an evacuated solar tube heat exchanger employing the Galerkin method. International Journal of Sustainable Energy, 28(4), 247-255.
Padilla, R. V., Demirkaya, G., Goswami, D. Y., Stefanakos, E., y Rahman, M. M. (2011). Heat transfer analysis of parabolic trough solar receiver. Applied Energy, 88(12), 5097-5110.
Tzivanidis, C., Bellos, E., Korres, D., Antonopoulos, K. A., y Mitsopoulos, G. (2015). Thermal and optical efficiency investigation of a parabolic trough collector. Case Studies in Thermal Engineering, 6, 226-237.
Uzgoren, E. (2016). One-dimensional transient thermal model for parabolic trough collectors using closed-form solution of fluid flow. International Exergy, Energy ans Environment Symposium (IEEES-8).
Notas de autor