Artículos de Divulgación
Aprendizaje de ciencias básicas en ingeniería: Utilización de matemáticas y física en química
Learning of basic sciences in engineering: Use of mathematics and physics in chemistry
Aprendizaje de ciencias básicas en ingeniería: Utilización de matemáticas y física en química
Ingeniería, vol. 21, núm. 2, pp. 75-84, 2017
Universidad Autónoma de Yucatán

Recepción: 26 Abril 2017
Aprobación: 02 Octubre 2017
Resumen: Los reportes de los trabajos descritos representan una reflexión del proceso de enseñanza. Fueron desarrollados por estudiantes y muestran cómo los estudiantes tienden a participar más motivados cuando le encuentran sentido a la interrelación de varias áreas del conocimiento, en lugar de estudiarlas de manera aislada. En búsqueda de lograr un aprendizaje significativo en el estudiante de primer semestre de la asignatura Química de las diferentes licenciaturas que se ofrecen en la Facultad de Ingeniería de la Universidad Autónoma de Yucatán, se estableció la técnica didáctica de correlacionar el tema de las propiedades de los elementos químicos con algún área de las Matemáticas y/o la Física. Se describen tres de los trabajos desarrollados por los alumnos: en todos ellos se concluye el tema y se interrelaciona con otras áreas de las ciencias experimentales. Los trabajos presentados por los alumnos resultaron muy interesantes, en este artículo se presentan tres de ellos: la interpretación del fenómeno conductividad térmica respecto a la densidad, con cálculo y con la ley de Fourier. Se observa la interpretación para la interrelación las experiencias y conocimientos previos del alumno ya que son claves para lograr mejores aprendizajes.
Palabras clave: Enseñanza aprendizaje, nivel superior, aprendizaje de las ciencias experimentales.
Abstract: The reports of the works described represent a reflection of the teaching process. They were developed by students and show how students tend to participate more motivated when they find meaning in the interrelation of several areas of knowledge, instead of studying them in isolation. In order to achieve meaningful learning in the first semester student of the Chemistry subject of the different degrees offered at the Faculty of Engineering of the Autonomous University of Yucatan, the didactic technique was established to correlate the subject of the properties of the chemical elements with some area of Mathematics and / or Physics. Three of the works developed by the students are described: in all of them the subject is concluded and interrelated with other areas of the experimental sciences. The work presented by the students was very interesting, in this article three of them are presented: the interpretation of the phenomenon thermal conductivity with respect to density, with calculation and with the law of Fourier. The interpretation for the interrelation is observed the experiences and previous knowledge of the student since they are keys to obtain better learning.
Keywords: Learning, higher level, experimental sciences.
INTRODUCCIÓN
Para Platón (428–347 A.C.) las partículas de los elementos tenían forma determinada: el aire era un octaedro, el fuego un tetraedro, la Tierra un cubo y el agua un icosaedro. Los alquimistas utilizaron herramientas de tipo aritmético y geométrico. Rozas (2011) cita: “…Cuando Comte dijo en 1830 cualquier intento de utilizar métodos matemáticos para el estudio de problemas químicos debe ser considerado profundamente irracional y contrario al espíritu de la química...”, no podía imaginar la evolución que estas dos ciencias alcanzarían hoy día. La Química, las Matemáticas y la Física Química son la base de todas las Ciencias y contribuyen al avance científico y tecnológico del mundo y su conocimiento es imprescindible para el desarrollo que conduce al progreso económico y social de la humanidad. La explicación e interrelación de la química con las matemáticas es interdisciplinario: para la Química se hace indispensable cada vez más que el rigor matemático esté interrelacionado para la evaluación del conocimiento generado en todas las áreas. Los problemas químicos son algunas veces muy complejos de resolver, analizar y resolver, por ejemplo el comportamiento molecular de las reacciones químicas requiere enfoques matemáticos para generar explicaciones en la ciencia Química. De las diferentes técnicas y estrategias de enseñanza-aprendizaje, las basadas en metodologías activas se centran en el estudiante como protagonista y responden a las expectativas de favorecer el aprendizaje activo del estudiante, enseñarle a aprender, fomentar el trabajo en equipo e integrar la teoría y la práctica cotidiana, al contrario de la enseñanza tradicional. Son procedimientos motivadores para el alumnado porque las situaciones que se plantean son reales y se pueden encontrar con problemas similares durante el desarrollo de su labor profesional. Además, aumentan la aptitud para el autoaprendizaje y la capacidad crítica para analizar la información que les ofrece la búsqueda correspondiente. Se acepta que cada estudiante construye su propio conocimiento, tanto con lo que ellos descubren como lo que aprenden de otra persona o un profesor. El aprendizaje significativo surge cuando el alumno, como constructor de su propio conocimiento, relaciona los conceptos a aprender y les da un sentido a partir de la estructura conceptual que ya posee y se da más fácilmente cuando las tareas están relacionadas de manera congruente y el sujeto decide aprenderlas (Díaz 2005; Vázquez 2009; Rozas 2011; Rivero y Melcón 2009).
Es por lo anterior que, en búsqueda de lograr un aprendizaje significativo en el estudiante de primer semestre de la asignatura de Química de las diferentes licenciaturas que se ofrecen en la Facultad de Ingeniería de la Universidad Autónoma de Yucatán, que se estableció la técnica didáctica de correlacionar el tema de las propiedades de los elementos químicos con algún área de las Matemáticas y/o la Física.
Esta técnica didáctica consistió en dos etapas:
En este artículo se describe la exposición del equipo y tres de los reportes que se consideran, cumplen los objetivos de la técnica didáctica.
PRIMERA ETAPA: TEMA DESARROLLADO POR EL EQUIPO: “PROPIEDADES IMPORTANTES DE ALGUNOS ELEMENTOS QUÍMICOS”
Objetivo del experimento: Demostrar las propiedades de diferentes tipos de materiales mediante su conductividad térmica; comparar cómo los diversos elementos de la tabla periódica tienen diferentes reacciones químicas al aumento de temperatura y definir cuáles elementos tienen mayor conductividad térmica y eficacia al ser utilizados. El experimento consistió en demostrar cuál de tres metales es el mejor conductor de calor.
Materiales: 3 barras de 30 cm de diferentes metales: aluminio, cobre y hierro, plastilina, soplete, cronómetro, guantes y lentes de protección
Procedimiento: Se tomaron tres muestras de plastilina de a diez gramos cada, las cuales fueron colocadas en el extremo de cada una de las tres barras. A continuación se procedió a calentar cada material aproximadamente a 10 cm de distancia de la plastilina. Se midió el tiempo que tardó en derretirse la plastilina. Las diferentes conductividades térmicas de los materiales, se reflejaban en el tiempo que tardaba en caer la plastilina desde la punta de la barra. El proceso constaba en sujetar la barra del conductor con un guante, seguido por la aplicación de calor mediante el soplete de gas butano desde los 10 centímetros y esperar el derretimiento de la porción de plastilina de la barra (Geeks 2016; Lentech 2016; Matienzo 2014).
En la figura 1 se observa el equipo realizando el experimento.

¿Qué ocurrió?: El tiempo en que la plastilina se suaviza (derrite) es diferente en cada una de las barras ya que la conductividad del calor varía.
Explicación: Los mejores conductores de calor son los metales. Los metales son elementos presentes en la naturaleza que presentan buena conductividad calórica lo que a su vez sirve como referencia para su empleo en las diferentes industrias como la de la electricidad, la metalúrgica, materiales de construcción por citar algunos ejemplos.: no todos los metales son buenos conductores del calor. Entre los metales buenos conductores del calor tenemos aluminio, hierro, cobre que a también son buenos conductores de electricidad. Los metales poseen una gran capacidad de ceder electrones, por lo que es muy fácil establecer una corriente eléctrica entre ellos, por esta razón son buenos conductores de corriente eléctrica y por ende de calor. En la tabla 1 se muestra la conductividad de los metales utilizados (Lentech, 2016; Miliarium, 2008)
| Metales | Conductividad térmica (W/m°C |
| Cobre | 397 |
| Aluminio | 238 |
| Hierro | 79.5 |
W/m°C: vatios/metro°C)
SEGUNDA ETAPA DE LA TÉCNICA DIDÁCTICA
A partir de la información generada en el salón de clases, los alumnos deberían entregar un Reporte en el cual relacionaran la propiedad descrita por el equipo, en este caso, la conductividad térmica, con alguna de las ciencias básicas, esto es, álgebra, cálculo, física, etc.
A continuación se presentan tres de los trabajos seleccionados para este artículo.
REPORTE UNO:
Objetivo de la tarea de investigación: Relacionar el tema expuesto en clase, en este caso la tabla periódica, con las matemáticas. Comprender cómo diferentes tamaños y densidades de materiales afectan en los procesos de la transformación de la materia y del transporte de la energía.
Las conclusiones del experimento realizado son: El cobre, al tener mayor conductividad térmica transportó el calor en menor tiempo que los otros materiales utilizados, seguido por el aluminio y por último el hierro que es el que tiene menor conductividad térmica. La conductividad térmica es la propiedad física de cualquier material que mide la capacidad de conducción del calor a través del mismo. El desplazamiento de energía de las partículas depende de igual manera de factores variables que son independientes del material, la densidad entre uno de ellos. Surgió la duda en el salón de clases acerca de si la densidad de las barras era menor o mayor, afectaba la conductividad térmica del material. Tras investigar acerca de las propiedades de los elementos podemos observar que el aumento de la conductividad térmica es tanto más rápido cuando la densidad es menor. Hay una estrecha relación entre la densidad de un material aislante y su coeficiente de conductividad térmica; si la densidad de los materiales es baja, las celdas de aire son de mayor tamaño, lo que implica un coeficiente de conductividad más alto. A medida que se aumenta la densidad, se reduce el tamaño de las cámaras de aire hasta llegar a la situación ideal. La relación que encontramos entre la densidad y la conductividad térmica es la que forma parte del principio mencionado anteriormente y que puede ser observado en la figura 2 .

Figura tomada de la página: http://srv2.fis.puc.cl/mediawiki/index.php/Conductividad_T%C3%A9rmica_(Fis_152)
Conclusiones finales:
Se observa que la conductividad térmica varía dependiendo del área y del espesor del material, que es en donde la propiedad de la densidad influye como factor variable para el cálculo del coeficiente de la conductividad térmica.
Existe una ley general en la que se relacionan las bajas conductividades para bajas densidades, ya que la ligereza del material suele estar producida por huecos en su interior ocupados por aire, que es más aislante que el material compacto.
REPORTE DOS:
¿Cuánto calor se transfirió en la conducción? En el experimento observamos una de las propiedades de los metales, la conducción de calor. El experimento consistió en comprobar la conducción de calor que tienen estos 3 metales: hierro, aluminio y cobre, a través de un fenómeno de transferencia de calor. El equipo midió el tiempo que tardó en dilatar el compuesto plástico en cada metal, para comparar cuál tiene mayor conducción de calor. En este trabajo, buscaremos la cantidad de calor aproximada en un caso ideal que se transfirió de un extremo del tubo al otro.
Relación del experimento con las matemáticas:
Primero, debemos aclarar que el extremo del tubo se calentó a través de la conducción, por lo que podemos utilizar la siguiente fórmula de corriente de calor para este caso:

En donde H simboliza la corriente de calor, la cual es una razón entre el calor conducido en un cierto tiempo, por lo que es igual a en donde dQ es la cantidad de calor y dt el tiempo transcurrido. Además, se ha comprobado experimentalmente que la corriente de calor es proporcional al área de conducción ‘’A’’, a la diferencia de temperatura de un extremo a otro (TH-To) e inversamente proporcional a la longitud L del tubo. Es necesario introducir una constante de proporcionalidad K llamada conductividad térmica del material. Para simplificar la formula en este caso, despejamos dt:

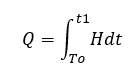
E integramos la ecuación:

Estableciendo los límites de integración:

Resolviendo:

En donde To es el tiempo al inicio de la transferencia y T1 el tiempo al final, el cual es igual al tiempo que tardo en caerse el compuesto plástico. En este caso, To=0 por lo que la ecuación queda:

Sabiendo que:

Sustituimos H en la ecuación:

En este caso, podemos saber la longitud aproximada del tubo, el área transversal, el tiempo en cada metal, las temperaturas de los extremos y la constante de proporcionalidad de cada elemento:

La longitud aproximada de las barras utilizadas en el experimento es de 0.3 metros, la temperatura en el extremo que se calienta es de aproximadamente 80°C, esto es, 353 0K y el otro extremo está a una temperatura ambiente de 25°C o 2980K. El tiempo y la constante de proporcionalidad varían en cada metal, por lo que la cantidad de calor en cada caso es:
Aluminio:

Cobre:

Hierro:

Ahora comparamos la cantidad de calor transferida en los tres metales:
| Metal | Cantidad de calor en Joules |
| Aluminio | 70.84 |
| Cobre | 144.13 |
| Hierro | 69.11 |
Son cálculos aproximados y se desprecia cualquier pérdida de calor en el sistema, además de utilizarse mediciones aproximadas (Sears 2016).
Con este trabajo, pudimos comprobar la relación entre la química y la física y matemáticas a través de las mediciones de la cantidad de calor en cada metal.
REPORTE TRES:
El equipo empleó el calor para fundir una porción de plastilina que se encontraba situada en la punta de cada una de las barras para demostrar cómo se transfiere el calor uniformemente por todo el material; comprobando de este modo la conductividad térmica de cada uno de los elementos. Sin embargo al realizar el experimento sin medidas exactas y precisas se limita la demostración de otras propiedades elementales en la Física, ya que, al comparar las propiedades tenemos que tener presente de que se encuentren en las mismas circunstancias (misma forma, humedad, temperatura exacta y superficie de contacto con el fuego). Nosotros hablaremos con un punto de vista físico, empleando conocimientos de la conductividad térmica para demostrar cómo las diferentes circunstancias influyen en las conclusiones del equipo y probar si los materiales utilizados eran 100% puros.
Relación del experimento con la Física
Primero empecemos definiendo energía, ésta es una magnitud abstracta que está ligada al estado dinámico de un sistema cerrado y que permanece invariable con el tiempo. Se trata de una abstracción que se le asigna al estado de un sistema físico y que se clasifica en dos categorías principales: la potencial y la cinética. La energía potencial es la energía contenida en un objeto y se encuentra en muchas formas, tales como la energía química, la térmica y la eléctrica. La energía cinética es la energía contenida en un objeto en movimiento. A nosotros nos interesa la temperatura, que es una medida de la energía cinética promedio de los átomos y moléculas individuales de una sustancia (cuando se agrega calor a una sustancia, sus átomos o moléculas se mueven más rápido y su temperatura se eleva, o viceversa) ¿pero qué es calor? El calor es la conducción de energía entre dos sustancias, sin embargo citamos una definición más formal para conductividad térmica: La conductividad térmica describe el transporte de energía, en forma de calor, a través de un cuerpo con masa como resultado de un gradiente de temperatura. De acuerdo con la segunda ley de la termodinámica, el calor siempre fluye en la dirección de la temperatura más baja (de mayor a menor temperatura). En el caso del experimento realizado la transmisión de calor fue a través de conducción, ya que utilizaron barras de diferentes materiales (hierro, cobre y aluminio) colocándolos directamente a fuego a una distancia de 10cm (aproximadamente) cada una y colocando en la punta de los mismos una porción de masa de plastilina para demostrar cómo se conduce el calor a través de la barra para que esta se funda. En la Tabla 2 se muestran algunos valores de conductividad térmica. En el experimento realizado por nuestros compañeros como ya se mencionó utilizaron barras de distintos materiales, ahora nosotros aplicaremos la “ley de Fourier” para comprobar si en el experimento la plastilina se fundió más rápido en ese orden (aluminio-cobre-hierro).
| Metal | Conductividad Térmica K (W/mK) |
| Aluminio | 209.3 |
| Acero | 45.0 |
| Cobre | 389.6 |
| Latón | 85.5 |
| Plata | 418.7 |
| Plomo | 34.6 |
¿En qué consiste la ley de Fourier? La ley de Fourier afirma que hay una proporcionalidad entre el flujo de energía J (energía por unidad de área y por unidad de tiempo), y el gradiente de temperatura dT/dx. La constante de proporcionalidad K es característica del material y se denomina conductividad térmica. Esta descripción se muestra en la figura 3.
T es la temperatura inicial
d es la longitud d de la barra
Te es la temperatura final


d es la longitud d de la barra metálica,
J= Flujo de energía.
K = Constante de proporcionalidad (conductividad térmica).
D = Longitud de la barra.
(TA-TB) = Diferencia de temperatura entre los extremos.
Los datos que tenemos acerca de los materiales son:
Barra de aluminio K=209.3 W/mK
Barra de cobre K=389.6 W/mK
Barra de hierro K=79.5 W/mK
Nota: Suponiendo que los materiales sean 100% puros.
Donde TA es la temperatura que alcanza la última sección en calentarse, desde luego el punto de fusión de la plastilina (derretimiento) es aproximadamente 45º C; y TB es la temperatura inicial que asignaremos como la temperatura ambiente promedio, aproximadamente 30º C.
La longitud de las barras (d) es 30 cm aproximadamente.
Haciendo conversión a unidades:
Aluminio
K= 209.3 W/mK TA= 45ºC= 45+273.15= 318.15 K
TB= 30ºC= 30+273= 303.15 K d = 30cm = 0.3m
Cobre
K= 389.6 W/mK TA= 45 ºC= 45+273.15= 318.15 K TB= 30ºC= 30+273= 303.15 K d= 30cm= 0.3m
Hierro
K= 79.5W/mK TA= 45ºC= 45+273.15= 318.15K TB= 30ºC= 30+273= 303.15 K d= 30cm= 0.3m
Aplicando la fórmula para cada uno de los materiales:
JALUMINIO = (209.3 W/mK) (318.15 K - 303.15 K / 0.3 m)
JALUMINIO = (209.3 W/mK) (15 K / 0.3 m)
JALUMINIO = (209.3 W/mK) (50 K/m)
JALUMINIO = 10,465 W/m2
JCOBRE= (389.6 W/mK) (318.15 K - 303.15 K / 0.3 m)
JCOBRE= (389.6 W/mK) (15K / 0.3 m)
JCOBRE= (389.6 W/mK) (50 K/m)
JCOBRE= 19,480 W/m2
JHIERRO= (79.5 W/mK) (318.15 K - 303.15 K / 0.3 m)
JHIERRO= (79.5 W/mK) (15 K / 0.3m)
JHIERRO= (79.5 W/mK) (50 K/m)
JHIERRO= 3,975 W/m2
¿Qué significa 10,465 W/m2, 19,480 W/m2 y 3,975 W/m?
Simplificando estas unidades en unas más básicas obtenemos que W/m2 = J/s m2 (Unidad de energía/unidad de tiempo multiplicado por una sección de la barra) y lo definimos como cantidad de calor que se conduce en una sección de barra por unidad de tiempo. Considerando el experimento en un ambiente controlado, sin variables que puedan afectar los resultados (humedad y presión), manteniendo constante la energía aplicada (contacto de la flama con las barras) y que las varillas son del mismo tamaño, solo nos quedan de variable el tiempo por lo que si el flujo de un material es alto en relación con los demás, nos indicaría que el tiempo empleado en calentarse es menor.
Tomando como constante (K) a J/m2
19,480 = K/t1
10465 = K/t2
3975 = K/t3
Donde t1, t2 y t3 son el tiempo que tarda el calor en llegar hasta el extremo de la barra y calentar la plastilina a 45ºC
Despejando la K e igualando
19,480 t1=10465 t2=3975 t3
Como podemos observar para que se mantenga la igualdad, necesariamente t1, t2 y t3 tienen que poseer un valor inversamente proporcional al flujo de calor (mientras mayor sea éste, menor lo será el tiempo) por lo que t1< t2 < t3 , el que más rápido se calienta es el cobre, seguido del aluminio y por último el hierro.
El orden de los materiales de nuestra demostración coincidió con el de la experimentación sin embargo hay que anotar cinco observaciones:
Podemos afirmar que el cobre no era 100% puro o que al menos no lo era en su mayoría, aunque esto pudo ser afectado por otras variables que no consideramos pero que tampoco sabemos.
Algunas de nuestras conclusiones son: El Hierro es el elemento con menor conductividad térmica entre el cobre y el aluminio; la conducción de calor por conducción es un proceso de transmisión de calor basado en el contacto directo entre los cuerpos, sin intercambio de materia; A través de la Ley de Fourier podemos conocer cuánta cantidad de calor se conduce en una sección de barra por unidad de tiempo (Moran 2004; Millarium 2008).
ANÁLISIS DE LA TÉCNICA DIDÁCTICA UTILIZADA
A manera de conclusiones, se mencionan a continuación algunos de los aspectos más importantes durante la evaluación de la técnica didáctica utilizada:
REFERENCIAS
Díaz Barriga, Á. (2005), El profesor de educación superior, Perfiles Educativos, México, D. F. Tercera época, año/volumen XXVII, número 108, Universidad Nacional Autónoma de México, 9
Geeks Cahrles (2016) Materiales para la construcción en la ingeniería civil | recuperado el 5 September 2016 de http://civilgeeks.com/2010/11/04/materiales-para-la-construccion-en-la-ingenieria-civil/ http://srv2.fis.puc.cl/mediawiki/index.php/Conductividad_T%C3%A9rmica_(Fis_152) Conductividad Térmica (Fis 152) recuperado enero 2017
Lenntech M. (2016) Historia de la tabla periódica. Retrieved 5 September 2016, from http://www.lenntech.es/periodica/historia/historia-de-la-tabla-periodica.htm
Lenntech M. (2016) Transferencia de calor , recuperado el 20 septiembre 2016 en http://www.sc.ehu.es/sbweb/fisica/transporte/barra/barra.htm)
Matienzo R., M. & Saavedra Vera, I. (2014). Propiedades Térmicas de los Materiales. Recuperado en http://biblioteca.uns.edu.pe/saladocentes/archivoz/curzoz/propiedades_t%E9rmicas_de_los_materiales.pdf
Miliarium.com. Propiedades térmicas de materiales. (2008) recuperado 8 septiembre 2016 de http://www.miliarium.com/Prontuario/Tablas/Quimica/
Moran F.T. (2004) Calor, conductividad térmica, convección. Recuperado en https://es.scribd.com/doc/18463341/6-TRANSFERENCIA-DE-CALOR, el 30 octubre 2016
Rivero Núñez M.C. Mº. José Melcón de Giles (2009) El porqué de la química en la enseñanza de las Ingenierías E.T.S. de Ingenieros de Telecomunicación, Universidad Politécnica de Madrid https://es.scribd.com/document/238594958/El-por-que-de-la-quimica-en-la-ensenanza-de-las-Ingenierias-pdf
Rozas Isabel (2011) Grafos-Aplicados-a-La-Quimica Química Matemática: aplicaciónde métodos matemáticos en la de métodos matemáticos en la química School of Chemistry, University of Dublin, Trinity College, Ireland recuperado en http://www.imus.us.es/ACT/RSME-RSEQ-2011/php/rozas.pdf 5 enero 2017
Sears-Zemansky; Young-Freedman, (2016) Fisica universitaria 13a. edicion vol 1 recuperado en http://www.slideshare.net/evetina/fisica-universitaria-sears-zemansky-13a-edicion-vol-1 septiembre 2016
Vázquez Borges Elizabeth (2009) “Propuesta de estrategias para la enseñanza del tema contaminación en la formación de Ingenieros”. Trabajo Fin de Máster. Universidad Internacional de Andalucía.
Información adicional
COMO CITAR: Vázquez Borges, E.; Méndez Novelo, R. (2017). Aprendizaje de ciencias básicas en ingeniería: Utilización de matemáticas y física en química. Ingeniería, Revista Académica de la FI-UADY, 21-2, pp. 75-84, ISSN 2448-8364.
Nota: Este artículo de investigación es parte de Ingeniería–Revista Académica de la Facultad de Ingeniería, Universidad Autónoma de Yucatán, Vol. 21, No. 2, 2017, ISSN: 2448-8364.