Modelación térmica de un colector solar de disco parabólico mediante elementos finitos para la extracción de agua en aceites lubricantes usados
Thermal Modeling of a Parabolic Dish Solar Collector with finite elements for the extraction of water in used lubricating oils
Modelación térmica de un colector solar de disco parabólico mediante elementos finitos para la extracción de agua en aceites lubricantes usados
Ingeniería, vol. 21, núm. 3, pp. 27-43, 2017
Universidad Autónoma de Yucatán

Recepción: 01 Julio 2017
Aprobación: 30 Diciembre 2017
Resumen: En este trabajo, se propone el diseño de un sistema termosolar de concentración de disco parabólico (CDP) para sustituir el uso de combustible fósil para el proceso de separación de contaminantes de los aceites lubricantes usados, innovando en la fuente de energía calorífica. Asimismo, se modeló el CDP empleando el Método de Elementos Finitos (MEF), validado con simulación de la temperatura de flujo e implementado en el software SolidWorks®. Se analizó la viscosidad, porcentaje de agua, degradación e índice de acidez de muestras de aceites lubricantes usados y no usados. Las pruebas reológicas mostraron el nivel de degradación de los aceites lubricantes usados además de la presencia de humedad. El índice de acidez de un aceite lubricante usado presentó 148.39 mili equivalentes químicos, indicios de formación de ácidos orgánicos o descomposición a muy bajas concentraciones. En las pruebas de destilación se obtuvo 7 ml de agua a temperaturas de 100 a 120 °C. Los resultados de la densidad y grados API a 15°C, fueron 0.8906 y 0.8938 respectivamente. El análisis del MEF, indicó que la temperatura de salida del tubo serpentín fue de 105.5517 °C, este resultado fue validado con FlowSimulation, demostrando que el cambio de temperatura del fluido a lo largo de tubo receptor es de 100.80 °C, con un margen de error de 4.5%.
Palabras clave: Aceites lubricantes usados, estudios fisicoquímicos de aceites lubricantes, modelación térmica, regeneración de aceites lubricantes.
Abstract: In this work, a design of a solar thermal system of Parabolic Dish Collector (PDC) to replace the use of fossil fuel for the process of separating pollutants from used lubricating oils is proposed, innovating in the source of heat energy. Likewise, a PDC was modeled using the Finite Element Method (FEM), validated with flow temperature simulation and implemented in SolidWorks® software. Viscosity, percentage of water, degradation and acidity index of the used and unused lubricating oils samples were analyzed. Rheological tests showed the level of degradation of used lubricating oils and presence of moisture. The acidity index of a used lubricating oil presented 148.39 mili chemical equivalents, indications of organic acid formation or decomposition at very low concentrations. In the distillation tests, 7 ml of water was obtained between a temperature range of 100 to 120 ° C. Density and API degrees results at 15 ° C were 0.8906 and 0.8938 respectively. The FEM analysis, indicated that the outlet temperature of the serpentine tube was 105.5517 ° C, this result was validated with FlowSimulation, demonstrating that the temperature change of the fluid along receiver tubes was 100.80 ° C, with a margin of 4.5% error.
Keywords: Used Lubricating Oil, Physicochemical Studies of Lubricating Oil, Thermal Modeling, Regeneration of Lubricating Oil.
I.- Introducción
Se estima que para el año 2020 la demanda del petróleo y sus derivados se incrementará en un 60%, es evidente la necesidad en la optimización del consumo de recursos y la búsqueda de nuevas alternativas energéticas para compensar la dependencia a los energéticos tradicionales.
El interés por establecer formas de manejo sustentables de los aceites lubricantes usados en México es históricamente una necesidad que ha transitado por diversas fases. Sin embargo, los mecanismos de clasificación de los residuos peligrosos no son certeros. En 1988, después de la publicación de la Ley General del Equilibrio Ecológico y la Protección al Ambiente (LGEEPA), se estableció un Reglamento en Materia de Residuos Peligrosos y siete normas técnicas ecológicas que hoy en día se conocen como Normas Oficiales Mexicanas (NOM), entre las cuales la relativa a la clasificación de los residuos es la NOM-052-ECOL-1993.
Hasta la fecha, el manejo sustentable de los aceites lubricantes usados es un tema de gran interés por especialistas en el área de reciclaje y recuperación de aceites industriales, se espera que las plantas recicladoras y recuperadoras de aceite vayan tomando impulso con la implementación de normativas que busque el cuidado de los ecosistemas (Díaz-Méndez, y otros, 2011).
Ley General para la Prevención y Gestión Integral de los Residuos establece la obligación de implementar planes de manejo integral de sus residuos (aceites lubricantes gastados, filtros y contenedores), aplicando responsabilidad compartida pero diferenciada entre productores, importadores, distribuidores, comercializadores y consumidores, con el apoyo de las autoridades gubernamentales.
En este trabajo, trata particularmente los residuos de aceite lubricante después de ser utilizados en un motor de combustión interna o lubricación de partes móviles, obtenida por los microgeneradores como son los talleres de mantenimiento automotriz. (H. Congreso de Unión, 2015).
La regeneración de los aceites lubricantes usados es importante, ya que pueden ser empleados como combustóleo o convertirlos en aceite automotriz o industrial, sin afectar su calidad; disminuyendo importaciones de este producto, contaminación ambiental, degradación del ambiente y agotamiento de los hidrocarburos (Paz Menendez, 2004).
La degradación del medio ambiente se ha intensificado debido a la poca conciencia que se tiene del reciclaje, los efectos del cambio climático en México han ocasionado alrededor de 5,000 muertes, 13 millones de afectados y pérdidas económicas por 250,000 millones de pesos (mmp)” “entre los años 2000 y 2010 (Gobierno de la República, pág. 77).
Se ha comenzado a usar fuentes de energías alternativas, fomentando la innovación y el mercado de tecnologías, entre las energías renovables están la solar (fotovoltaica y termosolar), eólica, geotérmica, hidráulicas y otras. La energía solar térmica, es una de las que atraen más atención debido a su abundancia, limpieza y que no genera ninguna contaminación (May, y otros, 2016). La tecnología de los concentradores solares, es una de las más desarrolladas actualmente y empleadas para la generación de energía eléctrica (Fernández-García, y otros, 2015).
Los colectores solares de tipo concentrador de disco parabólico y concentradores parabólicos compuestos son capaces de producir altas temperaturas (más de 400 °C), esto los convierte en una tecnología factible y prometedora para la desalinización solar, aplicaciones en química solar, refrigeración solar (absorción y adsorción), producción de hidrógeno solar y para Plantas Solares Concentradas (CSP) (Tzivanidis, y otros, 2011).En el estado de Tabasco se tiene potencial solar para cubrir la totalidad de su demanda eléctrica mediante generación fotovoltaica.
En México y específicamente en Tabasco por ser uno de los Estados donde está la Industria Petrolera, se deben crear estrategias para promover el reciclaje de los aceites lubricantes después de su uso en la industria, debido a la difícil degradación.
Actualmente, el tratamiento por refinación del aceite lubricante, se realiza usando como fuente de energía térmica que consume combustible fósil, generando gastos de operación además de la contaminación.
Es por esto que, este trabajo muestra resultados de las propiedades fisicoquímicas de los aceites lubricantes usados y de fábrica como son la densidad y contenido de agua de acuerdo a las normas ASTM. Con los datos obtenidos en los estudios, se propone un diseño para el proceso de separación de contaminantes y se innova en la fuente de energía calorífica, con el uso de un sistema termosolar de concentración de disco parabólico (CDP). Otro punto mostrado es el modelado de un CDP mediante la primera ley de la termodinámica empleando el Método de Elementos Finitos (MEF), que permite obtener un perfil de temperaturas del fluido, mediante la discretización del tubo receptor en un número finito de elementos llamados nodos.
Finalmente, se presenta la validación del modelo mediante una simulación de la temperatura del flujo implementado en el software SolidWorks®. Con esta propuesta se busca dar un valor agregado al residuo peligroso de forma económica y contribuir con la mitigación del impacto ambiental que representan los lubricantes usados.
II.- Metodología
2.1 Análisis físico-químico del aceite lubricante nuevo y usado.
2.1.1 Aplicación del método de FTIR
El método de infrarrojos por transformadas de Fourier (FTIR) utiliza el interferómetro de Michelson, donde se utiliza una lámpara incandescente calentada eléctricamente como fuente de radiación IR y esta radiación es pasada a través de una muestra hacia el detector.
Usando este método, se muestran los datos espectrales en un indicador numérico de las condiciones de la muestra; así mismo, se representa gráficamente un espectro de sus componentes por medio de un diferencial infrarrojo de aceites lubricantes (Lubrearn by Noria Latín América, 2014).
Dichas pruebas se realizan en un espectrómetro y microscopio colocando unas gotas de la muestra a estudiar en un plato receptor, el equipo lo procesa y manda las lecturas al equipo de cómputo, mediante graficas o espectro.
2.1.2 Aplicación de la prueba de acidez
La prueba de acidez se realizó usando el método establecido por la Norma UNE EN 14104: 1) Se pesó 6 gramos de la muestra de aceite lubricante en el matraz Erlenmeyer; 2) se añadió 75 ml de alcohol etílico a la muestra, creando una mezcla homogénea; 3) se agregó 2 ml de fenolftaleína a la mezcla de aceite con alcohol etílico; 4) se tituló la mezcla con la solución de NaOH 0.1N, hasta que el indicador cambió el color de la mezcla a lila; 5) se registró el dato del volumen utilizado de la solución de NaOH 0.1N.(V muestra y V blanco).
Para obtener el porcentaje de acidez en la muestra de aceite se utilizó la ecuación 1.
(1)Donde:
A: es el porcentaje de acidez (%p/p)
V: es el volumen de solución de NaOH utilizado en la titulación (mL).
C: normalidad de la solución NaOH utilizada (1/L)
M: masa molar promedio de la muestra de aceite (gr/grmol)
P: el peso de la muestra(gr)
En la parte del valor de (V) se tiene que realizar la resta del volumen de la solución de NaOH utilizada en la muestra de aceite menos el volumen utilizado en el “blanco” con el alcohol etílico solo. La ecuación 2 queda como:
(2)2.1.3 Determinación del porcentaje de H2O con la norma ASTM-D-407-02.
Para el método de centrifugado, la muestra se preparó en iguales volúmenes de aceite lubricante, en promedio se usó 5.3093 gramos y tolueno saturado con agua (10 ml), se colocó en tubos de centrifuga, tipo cono. Posteriormente, se agitó enérgicamente los tubos para ser colocados en el soporte de la centrífuga. Luego, se centrifugó durante 10 minutos a la velocidad indicada, según el diámetro de la centrífuga (1900 r.p.m.) moviendo a mano el soporte con los tubos (giro a la izquierda). Por último, se leyó el volumen de agua y sedimento depositado en el fondo de cada bulbo y se repitió el centrifugado hasta obtener una lectura constante (ASTM-D-4007-02, 2003).
2.1.4 Determinación el porcentaje de H2O con la norma ASTM-D-95-62.
En el método de destilación, de acuerdo a la norma ASTM-D-95-62 la muestra se calentó a reflujo con un disolvente inmiscible en agua, el cual arrastra al destilar el agua contenida en la muestra. Los vapores condensados se recogen en un colector en cuyo fondo se deposita el agua, mientras que el disolvente vuelve por un tubo lateral al recipiente de destilación (Figura 1).

2.1.5 Determinación de la Viscosidad
Para el estudio de viscosidad, se utilizó el viscosímetro, colocando en una jeringa una muestra de 5 ml de aceite lubricante usado, posteriormente se inyecta en el equipo, este lo procesa y se obtienen los resultados, finalmente se limpia el equipo para generar otras pruebas.
2.2 Análisis térmico del Concentrador de Disco Parabólico (CDP)
Para el análisis térmico se diseñó un CDP, que es un sistema de concentración solar formado por una parábola receptora (Figura 2) de los rayos del sol, que refleja intensidad luminosa para concentrarse en un punto focal (placa receptora), y un serpentín tipo intercambiador de calor (Figura 3) que arrastra la energía térmica haciendo pasar un fluido (agua).


Posteriormente se presentó la modelación térmica del CDP empleando la primera ley de la termodinámica, estudiando el comportamiento óptico del mismo de acuerdo a las ecuaciones presentes en la literatura (Kalogirou S.A., 2004).
Los parámetros importantes que caracterizan a un CDP son la temperatura de salida del tubo receptor en forma de serpentín y la eficiencia térmica. En el primero se describe el calor ganado por el fluido de trabajo (agua) y para el caso de la eficiencia térmica, permite obtener la energía útil respecto a la energía de entrada al sistema.
Para determinar las condiciones del sistema, se elaboraron diagramas de procesos (Figura 4) para representar las ecuaciones necesarias para el estudio térmico. Mismo que se divide en dos partes, un análisis experimental y uno teórico (figura 4), a su vez, este último se estudia el calor total del concentrador (figura 5), las pérdidas de la placa por convección (Figura 6) y las perdidas por radiación (Figura 7), estudiadas en él (Cengel & Ghajar, 2011).
En la figura 4, muestra un diagrama de flujo para el cálculo de un estudio teórico donde se determina el calor útil (Q útil) entre la parábola y la placa receptora; mismo que, se dividen calor total que emite el concentrador (Qtotal), perdidas de calor por convección de la placa receptora (Q placa) y perdidas de calor por radicación que depende del tipo de material reflejante (Qrad.). Cada uno de los casos anteriores se subdividen en apartados con otros diagramas (1), (2) y (3) para detallar el estudio del calor. También muestra el cálculo del calor útil (Q útil) experimental. Ambos estudios permiten realizar el cálculo de la eficiencia del sistema propuesto.
Posteriormente en la figura 5, que muestra el apartado (1) el diagrama de la figura 4 especifica en la columna (A) los datos de irradiancia solar obtenidos en una estación meteorológica (Atmospheric Science Data Center, 2017), en la columna (B) indica las ecuaciones utilizadas para el cálculo de área de apertura del CDP y en la columna (C) muestra las condiciones para realizar el cálculo de la eficiencia óptica del área reflejante del CDP. Estas tres columnas permiten determinar el calor total del concentrador o flujo total el sol que concentra la parábola.



En el apartado (2) del diagrama principal define el estudio realizado al efecto de las perdidas por convección de la placa receptora contemplando la temperatura ambiente y temperatura del fluido usado para realizar la transferencia de energía, posteriormente con la temperatura ambiente se determinan las variables de densidad, viscosidad y entre otras, en la tabla A-15 (Cengel & Ghajar, 2011, pág. 885) que permite realizar el análisis de flujo de aire y dependiendo si es laminar o turbulento se calcula el número de Reynolds (Re) (Cengel & Ghajar, 2011, pág. 422) para determinar el coeficiente de transferencia de calor (Cengel & Ghajar, 2011, pág. 424).

Para el apartado (3) expresada en la figura 7 se describe un proceso para el estudio de las pérdidas que presenta la parábola por el efecto de la irradiación solar incidente, dicho efecto por radiación se determina conociendo el material reflejante, el área de la parábola, temperatura de la superficie de película y la temperatura del cielo.
Después de analizar las ecuaciones anteriores para determinar el análisis teórico y experimental, se estudió la ganancia de energía de un CDP, mediante la ecuación (3):
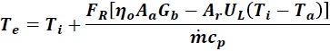
(3)siendo la temperatura inicial del fluido y el área de apertura de la lámina reflectora. Por lo tanto, la temperatura de salida del fluido queda como:
(4)donde es la temperatura ambiente. Finalmente, la eficiencia térmica del CCP se halla mediante la primera ley de la termodinámica como:
(5)2.3 Método de elementos finitos
Este método de elementos finitos (MEF) es un método numérico para la solución de problemas de ingeniería empleado en aquellos que involucran un alto grado de complejidad matemática, así como de físico-matemático, con aplicaciones en problemas de transferencia de calor, flujo de fluidos, transporte de masa y otros (Baskharone, 2013).
El MEF involucra diversos métodos numéricos que se emplean para obtener resultados aproximados a valor real. En este trabajo se empleó el método de Galerkin el cual es un método con un error de alrededor del 7% del valor real, y con un alto grado de precisión (Nithiarasu, y otros, 2016). El método de Galerkin se enuncia como:
(4)Donde:
xi: es el primer nodo del sistema.
xj: es la longitud nodal del sistema.
Ni,j(x): es la función de prueba nodal,
de la cual Ln es la longitud nodal.
R(x:T): es la función de residuo, la cual mide la diferencia entre la solución de prueba y la solución real, siendo ésta la Ec. 4.
dV: es la diferencial de volumen.
De la Ec. 4, (Te-Ti)se reescribe como diferencial. De modo que aplicando el método de Galerkin a dicha ecuación queda:
(5)donde Waes la longitud de apertura de la lámina.
Considerando que Ni,jse descompone en Ni y Nj y que la temperatura en el nodo i multiplicada por su respectiva longitud nodal, más la temperatura en el nodo j multiplicada por su longitud nodal hasta dicho punto se expresa como T(x)=Ni(x)Ti+Nj(x)Tj, la Ec. 5 se reescribe en forma matricial como:
(6)Integrando y simplificando analíticamente los términos de la Ec. 6, queda finalmente como:
(7)La ecuación 7, representa el análisis de la temperatura del fluido a lo largo del tubo receptor simplificada para dos nodos. Con la finalidad de tener un perfil de temperaturas es necesario trabajar con una mayor cantidad de nodos.
2.3.1 Desarrollo computacional
El MEF fue desarrollado en el entorno de programación MATLAB. El diagrama de flujo implementado para la programación se presenta en la figura 8. Primero se analizó la longitud del tubo receptor en forma de serpentín y después el número de nodos , esto con el fin de calcular la distancia nodal . Posteriormente se ensambló la matriz generada y el vector generado. Se incluyeron las condiciones de frontera para ambos y se calcula el perfil de temperaturas resolviendo la matriz ensamblada.

2.4 Simulación térmica del CDP
Para la simulación del fluido se empleó el software SolidWorks; ya que cuenta con una herramienta avanzada para la simulación de flujos a diferentes condiciones de entrada y permite describir el comportamiento de la temperatura del fluido a lo largo del tubo receptor del CDP. Así mismo, se empleó el software debido a que no se cuentan con datos experimentales para validar el modelo térmico mostrado en la figura 2, por lo que una buena aproximación, es mediante el uso de softwares que puedan ajustarse a la realidad. Para la validación de los resultados se siguieron los pasos descritos en la figura 9 donde muestra una lógica para la comparación teórica con el MEF que permitirá determinar el margen de error entre los dos análisis propuestos, donde el resultado obtenido en la simulación del fluido fue para el caso del tubo receptor del intercambiador tipo serpentín de cobre.

III. Resultados y discusión
3.1 Estudio de las propiedades físico-químicas de los aceites lubricantes
En el presente trabajo se estudian aceites lubricantes con seis meses de usó aproximadamente, se tomó muestras de un contenedor recientemente llenado en la empresa SERCOI Ambiental S.A del Estado de Tabasco, para garantizar que la mezcla sea homogénea.
Para determinar en qué condiciones se encontraban las muestras, se emplearon varios métodos químicos e instrumentales con la finalidad de caracterizar las propiedades fisicoquímicas, para ello se determinó el índice de acidez de acuerdo a la norma europea UNE EN 14104, se determinaron las propiedades reológicas de cada uno de los lubricantes (IR), la humedad y grados API.
En la figura 10 se observan las huellas espectrales de infrarrojo de las muestras de aceite lubricante: dos sin tratar, tres usado y deshidratado, y cuatro de aceites lubricantes nuevos. Las dos muestras de aceite lubricante usadas presentan una banda de absorbancia entre 3000-3700 cm-1 y otra banda entre 1550-1700 cm-1, la primera banda está asociada a vibraciones de estiramiento del grupo funcional –OH y la segunda a vibraciones de bamboleo de grupo funcional –OH del agua. Lo anterior indica que las muestras presentan humedad mientras que las de lubricantes sin usar, no presentan esta banda de absorbancia e indica que están libres de humedad.
Las bandas de absorbancia ubicadas entre 2700 y 3000 cm-1 están relacionadas con las vibraciones de estiramiento de los enlaces de metilenos C-H, que constituyen la cadena de la estructura química del lubricante y vibraciones de estiramiento del grupo funcional metilo, que constituyen las ramificaciones del lubricante. Las bandas de absorbancia entre 1400 y 1550 cm-1 corresponde a vibraciones asimétricos de estiramientos de los enlaces C-H y al bamboleo de los grupos funcionales del metileno (Guerrero, y otros, 2013). La banda ubicada entre los parámetros de 700 a 1000 cm-1 corresponden a vibraciones a bamboleo fuera del plano del grupo funcional de los metilenos (C-H) presentes en los anillos aromáticos.

Por otra parte, es de resaltar que ningún lubricante presentó una intensa banda de absorbancia entre 1700 y 1800 cm-1 y que es asignada al grupo funcional carbonilo de los ácidos orgánicos. Esto significa que los lubricantes no presentan una degradación significativa. Sin embargo, los análisis de índices de acidez, que se muestran en la Tabla 1, indican que un lubricante nuevo tiene una acidez de 100 mili equivalentes químicos, mientras que un aceite lubricante usado presentó 148.39 mili equivalentes químicos, podemos decir que existen indicios de formación de ácidos orgánicos o descomposición a muy bajas concentraciones, que no fueron detectados por el IR.

Bajo normas de la ASTM se realizó el procedimiento para detectar la cantidad de agua concentrada en una mezcla de aceite lubricante, en la Tabla 2 se comparan los resultados obtenidos.
Aplicando la Norma ASTM-D-95-62 se encontró que el rango de temperatura de extracción del agua se establece en un intervalo de 100 a 120 °C, estas temperaturas se deben de contemplar al momento de estudiar la fuente de calor; posteriormente se extrajo el xileno para su recuperación en un rango de 120 a 160°C y que en estas últimas temperaturas se extraen los combustibles ligeros existentes en la mezcla.


Los comparativos para el control de muestra en cuanto a temperatura y voltaje para repetir los resultados, al aplicar la norma ASTM D-95-62, se visualiza la figura 11.
Por ultimo, para determinar la densidad cinemática de los aceites u de otros líquidos transparentes, se inyectó 5 ml de la muestra de aceite a viscosímetro de la Marca Antón Par, obteniendo los resultados, en la Tabla 3 que indican que esta propiedad se encuentra sin cambios.

3.2.- Modelado del sistema mediante el MEF
En esta sección se presentan los resultados obtenidos de la modelación desarrollada empleando el MEF. Se realizó un análisis térmico de los efectos de catorce parámetros incluidos en la modelación con el fin de observar el comportamiento del fluido a lo largo de tubo receptor de forma de serpentín, así como el comportamiento de la eficiencia térmica del CDP. Finalmente se comparan los resultados y los errores obtenidos estadísticamente del modelo desarrollado a través del MEF, con la simulación realizada empleando el software SolidWorks a través de su herramienta FlowSimulation.
3.2.1 Grafica del MEF
Para la modelación se trabajó con catorce parámetros nominales (Tabla 4) los cuales se variaron para observar el comportamiento de la temperatura del agua a lo largo del tubo receptor, así como de la eficiencia térmica del CCP. Estos parámetros fueron la Irradiancia solar (Gb), la velocidad del viento (Vv), la temperatura ambiente (Ta), el caudal (Q), la temperatura inicial del fluido (Tfluido),Distancia focal (Df) y el diámetro nominaldel tubo receptor (Dn); así como, la longitudy latitud del lugar donde se usara el modelo.


En la figura 12 se muestra el resultado obtenido de 105.5517 °C, producto de los efectos de los tres tipos de variables, que significa una temperatura de salida del fluido. Este resultado demuestra que la tecnología elegida puede cumplir con las expectativas requeridas para el tratamiento de aceites lubricantes usados.
3.2.2 Validación teórica con SolidWorks
En esta sección, se realizaron varias simulaciones considerando las mismas variables de entrada que se consideraron en la simulación desarrollada con el MEF del modelo térmico del CDP, como ejemplo de esta simulación con el software SolidWorks. La Figura 13 muestra la temperatura marcada en la salida del tubo receptor como una gráfica de corte transversal. En dicha gráfica se puede observar que la sección roja en la salida corresponde a una temperatura de aproximadamente 100.80 °C. Esta temperatura se obtiene con una irradiación de 850 W/m2 y concuerda con la temperatura obtenida en Matlab debido a que esa irradiancia fue uno de los parámetros nominales en la simulación. Los tiempos de cálculo correspondientes a la simulación con el software SolidWorks fueron aproximadamente de 40 a 90 min. La Figura 14 se presenta la gráfica de corte del tubo receptor que representa el comportamiento de la temperatura a lo largo de éste, se puede observar el cambio de dicha temperatura del fluido conforme transcurre a lo largo de tubo receptor, en donde el color rojo representa la mayor temperatura.

IV. Conclusión
En el presente trabajo se diseñó un modelo físico para la transferencia de calor en un concentrador de disco parabólico (CDP). En la solución de modelo matemático reportado para las soluciones de ecuaciones se usó el Método de Elementos Finitos (MEF) como herramienta de modelación. Dicho modelo, es capaz de determinar la distribución de temperaturas del fluido a lo largo del tubo en serpentín de la placa receptora del CDP. Los resultados obtenidos en la modelación con MEF se validaron mediante la simulación del fluido empleando el software SolidWorks a través de su herramienta FlowSimulation, que reporta un error máximo del 4.5% entre el modelo teórico y el software SolidWorks. La ventaja de este modelo, en comparación con el software SolidWorks, son los cortos tiempos de estudio y cálculo, permiten tener una mejor certeza en los resultados.

De acuerdo a los datos obtenidos por el modelado, se pude concluir que los resultados de los estudios fisicoquímicos donde indica que existen presencia de agua en el aceite lubricante usado y que para su tratamiento se requieren contar con un sistema de generé energía térmica en los rangos de 100 a 120°C, es factible el uso de un CDP de dimensiones de 3 metros de diámetro para el tratamiento térmico necesario para el reciclaje del mismo. Sin embargo, se sugiere también que se contemple una energía auxiliar para compensar la diferencia de temperatura que faltaría para alcanzar una temperatura mayor a los 105.80°C producida por el concentrador solar.
Como trabajos a futuro se propone comparar los resultados obtenidos de la modelación térmica con resultados experimentales del CDP, de tal manera que pueda validarse el modelo desarrollado para emplearse en el dimensionamiento y la caracterización de los CDP.
Agradecimientos
Al proyecto Especial que, en apego a los objetivos del Programa para el Desarrollo Profesional Docente, para el tipo superior (PRODEP) financio la “Maestría en Ingeniería de Materiales y Energía” impartida por la Universidad Autónoma del Carmen (UNACAR) en las Instalaciones del Institutito Tecnológico Superior de Centla, aprobada con el número de oficio DSA/103.5/16/5672.
Así mismo, un agradecimiento a los Laboratorios de la Facultad de Química, Laboratorio de la Facultad de Ingeniería y el Laboratorio CEISPA, todos de la UNACAR por la facilidad en el uso de los equipos para desarrollar las pruebas fisicoquímicas de los aceites lubricantes.
Bibliografía
ASTM-D-4007-02. (Agosto de 2003). Procedimiento de laboratorio. Determinar Agua y Sedimento en Aceite Crudo por el Método de Centrifugación. E.U: EXPLORACIÓN Y PRODUCCIÓN, GPO. INTEGRACIÓN DE LABORATORIOS.
ASTM-D95. (1999). American Society For Testing and Materials . Standard Test Method for Water in Petroleum Products and Bituminous Materials by Destillation. E.U: Reprinted from the Annual Book of ASTM Standards.
Atmospheric Science Data Center. (07 de 04 de 2017). NASA Surface meteorology and Solar Energy. Obtenido de https://eosweb.larc.nasa.gov/cgi-bin/sse/sse.cgi?rets@nrcan.gc.ca: https://eosweb.larc.nasa.gov/cgi-bin/sse/retscreen.cgi?email=rets%40nrcan.gc.ca&step=1&lat=18.534&lon=-92.654&submit=Enviar
Baskharone, E. A. (2013). The infinite element method with heat thansfer and fluid mechanics applications. E.U: Cambridge University Press.
Cengel, Y. A., & Ghajar, A. J. (2011). Transferencia de calor y masa. México: McGraw-Hill.
Díaz-Méndez, S., Rodríguez-Lelis, J., & Hernández-Guerrero, A. (2011). A general exergy-based environmental impact index . Jornal of mechanical science and technology 25 (8), 1979-1985.
Fernández-García, A., Rojas, E., Pérez, M., Silva , R., Hernández-Escobedo, Q., & Manzano-Agugliario, F. (2015). A parabolic-trough collector for cleaner industrial process heat . Journal of Cleaner Production, 89, 272-285.
Gobierno de la República. (s.f.). Plan Nacional de Desarrollo 2013-2018. México.
Guerrero, A., Anguebes, F., Castelán, M., Morales, V., García, R., Córdova, A. V., & Zavala, J. C. (2013). FTIR-ATR and Multivariate Calibration for the Prediction of Biodisel Concentration in Petrodisel Blends. American Journal of Analytical Chemistry (4), 343-347.
H. Congreso de Unión. (2015). Ley General para la Prevención y Gestión Integral de los Residuos. Congreso General de los Estados Unidos Mexicanos. México, D.F.: Diario Oficial de la Federación.
Kalogirou S.A. (2004). Solar Thermal collectors and applications. E.U.: Progress in energy and combustion science .
Lubrearn by Noria Latín América. (06 de Agosto de 2014). Monitoreo de la degradación del lubricante con espectrometría infrarroja. Obtenido de http://noria.mx/lublearn/monitoreo-de-la-degradacion-del-lubricante-con-espectrometria-infrarroja/: http://noria.mx
May Tzuc, O., Bassam , A., Escalante Soberanis , M., Venegas-Reyes, E., Jaramillo, O., Ricalde, L., & El Hamzaoui, Y. (2017). Modeling and optimization of a solar parabolic trough concentrator system using inverse artificial neural network. Journal of Renewable and Sustainable Energy, 9 (1) 013701.
May, O., Ricalde, L. J., Alí, B., López, E. O., Venegas-Reyes, E., & Jaramillo, O. A. (2016). Neural Network Inverse Modeling for Optimization. In Artificial Networks-Models and Applications. In Tech.
Nithiarasu , P., Lewis , R. W., & Seetharamu, K. N. (2016). Fundamentals of the finite element method for heat and mass transfer. E.U.: John Wile & Sons.
Paz Menendez, A. F. (2004). Estudio Experimental para la regeneración de aceites automotrices usandos mediante la extracción supercritica. México, D.F. : Instituto Politecnico Nacional .
Procuraduría Federal de Protección al Ambiente. (22 de 10 de 1993). Características de los residuos peligrosos, el listado de los mismos y los limites que hacen a un residuo peligroso por su toxicidad al ambiente. Diario Oficial de la Federación, pág. 46.
Tzivanidis, C., Bellos, E., Korres, D., Antonopoulos, K. A., & Mitsopoulos, G. (2011). Thermal and optical efficiency investigation of a parabolic trough collector. Case Studies in Thermal Engineering, 6., 226-237.