Estudio de primeros principios del estado base del sodio: análisis entre la fase cúbica centrada en cuerpo y cúbica centrada en las caras
Estudio de primeros principios del estado base del sodio: análisis entre la fase cúbica centrada en cuerpo y cúbica centrada en las caras
Ingeniería, vol. 21, núm. 3, pp. 44-53, 2017
Universidad Autónoma de Yucatán

Recepción: 08 Noviembre 2017
Aprobación: 31 Diciembre 2017
Resumen: Experimentalmente se reporta que el sodio (Na) tiene como estado base, la fase cristalográfica cúbica centrada en el cuerpo (bcc, por sus siglas en inglés), sin embargo, experimentos recientes han demostrado la posibilidad de que el estado base, sea la fase cúbica centrada en caras (fcc, por sus siglas en inglés). En este trabajo se presenta un estudio teórico de primeros principios de las estructuras cristalinas: bcc y fcc del sodio. También se hace un análisis comparativo entre las estructuras electrónicas de ambas fases. El objetivo de este trabajo es estudiar cuál es la estructura cristalina del estado base y cuáles son los mecanismos que favorecen la mínima energía de una estructura cristalina sobre la otra. Nuestros resultados indican que la fase de mínima energía, es la fase fcc.
Palabras clave: estructura cristalina, estructura electrónica, deformación de Bain.
1. Introducción
En el estudio de la materia condensada, el conocimiento de la energía total de un sólido es importante para entender sus propiedades cristalográficas y electrónicas y a partir de este conocimiento, hacer un mejor uso del material o mejorar alguna de sus propiedades físicas. A temperatura de 0 K, esta energía se reduce a la energía del sistema electrónico y es conocida como la energía del estado base. A partir de esta energía se puede determinar cuál es la estructura cristalina que adopta un elemento, compuesto o aleación a T = 0 K. También sirve para determinar su módulo de compresibilidad y las constantes elásticas. Así mismo, podemos conocer sus propiedades electrónicas tales como su densidad de estados electrónicos, su estructura de bandas o las superficies de Fermi.
Los reportes experimentales que se tienen de la estructura cristalina de los metales alcalinos: Li, Na, K, Rb y Cs, es que adoptan la fase cristalográfica cúbica centrada en cuerpo (bcc), sin embargo, estos datos fueron obtenidos a temperatura ambiente (aproximadamente 293 K). C. S. Barrett (Barrett 1948; Barrett 1956) fue el primero en estudiar el Na a bajas temperaturas y reportó que la estructura cristalina sufre una transición de la fase bcc a una combinación de fase hexagonal de empaque compacto (hcp por sus siglas en inglés) y fase bcc; también reportó que parte de la muestra había presentaba la fase fcc. H. G. Smith et al. (1989) reportaron, que a partir de trabajos experimentales realizados a temperaturas cercanas a T = 0 K, que el estado base del Li y Na es la fase fcc. En estudios realizados teóricamente, Sigalas et al. (1990) utilizando métodos de primeros principios, empleando la aproximación local de la densidad (LDA por sus siglas en ingles), en el potencial de intercambio-correlación, encontraron que la fase para el Li y Na a T = 0 K es la fase fcc.
Debido a que los estudios experimentales a temperaturas cercanas a T= 0 K son muy complejos e implican altos costos, la simulación computacional es una herramienta que ayuda a comprobar o descartar teorías o modelos matemáticos y de esta forma realizar los experimentos con un mayor grado de certeza. En los últimos años las simulaciones computacionales han demostrado un alto grado de éxito en el estudio de las propiedades físicas de la materia condensada, al poder reproducir muchas de las propiedades físicas observadas experimentalmente, así como el poder explicar una amplia gama de fenómenos físicos que ocurren en el estado sólido. Particularmente las simulaciones computacionales de la materia condensada, han demostrado su grado de confiabilidad y certeza al poder predecir propiedades físicas de algunas aleaciones, muchos años antes de que estas fueran descubiertas experimentalmente, tal es el caso de la superconductividad no convencional que se presenta en el ZrZn., la cual fue predicha en 1958 (Matthias y Bozorth 1958) y fue confirmada experimentalmente en el año 2001 (Pfleiderer et.al 2001).
En este trabajo se estudió de manera teórica, cual es la estructura de mínima energía para el Na, entre las fases bcc y fcc a T = 0 K. Para este estudio se utilizó un método de primeros principios con potencial completo. También se analizó las densidades de estados electrónicos y las fracciones de empaquetamiento atómico, con el fin de encontrar el posible mecanismo por el cual, una estructura es más estable que la otra.
2. Metodología
El cálculo de la estructura cristalina y las propiedades electrónicas fue efectuado a través de la teoría del funcional de la densidad (DFT por sus siglas en ingles) (Parr y Yang 1994). Esta teoría establece que cualquier propiedad del estado base de un sistema de muchas partículas interactuantes, se puede encontrar a través de la densidad de estados electrónicos ρ.. Dado que ρ. es función de la función de onda y esta a su vez es función de la distancia ., tenemos que la densidad electrónica es una función de otra función, lo cual recibe el nombre de funcional. La teoría DFT fue propuesta por Kohn y Hohenberg (1964), basados en el trabajo previo de L. H. Thomas (1927) y E. Fermi (1927). Posteriormente Kohn y Sham (1965) le dieron el formalismo matemático adecuado, al introducir las llamadas ecuaciones de Kohn-Sham (KS) para un sistema de pseudo-electrones no interactuantes. La idea fundamental es que existe una densidad de estados electrónicos que minimiza el sistema, esto es, sea E[ρ] la energía total del sistema, la cual se puede expresar como la suma de las contribuciones de la energía cinética T [ρ], la energía de interacción entre los núcleos y los electrones EeN [ρ], la energía de interacción entre los electrones Eee [ρ] y la energía de intercambio correlación Eic [ρ]

existe una densidad ρ que minimiza el sistema, esto es, se cumple que

lo cual indica que existe un principio variacional para la función de energía.
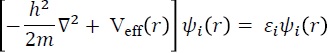
Las ecuaciones de KS en su forma canónica se expresan como

donde Veff es el potencial efectivo que sienten los pseudo-electrones. Estas ecuaciones pueden ser resultas de diferentes formas. La forma de solución está relacionada con la manera en la que es incluido el potencial efectivo, por ejemplo, en el método del enlace fuerte, el potencial se modela de forma empírica; en el método de pseudo-potenciales se obtiene de manera semi-empírica; y por último en los métodos de primeros principios el potencial o ab initio se toma de manera completa.
En este trabajo se resolvieron las ecuaciones de Konh-Sham utilizando el método de potencial completo con ondas planas linearizadas y aumentadas (FP-LAPW) (Singh 1994). Este método separa el espacio en dos partes: esferas centradas en los átomos y los intersticios dejados por estas esferas. En la región esférica las ecuaciones de KS son resueltas utilizando la función radial y los armónicos esféricos, la segunda región se resuelve a través de ondas planas. En la región intersticial la función y su derivada debe de ser continua. En este método las ecuaciones se resuelven de manera auto-consistente. El utilizar el potencial de forma completa, no implica que no se deban de hacer aproximaciones al mismo. La aproximación que se realiza en la teoría del funcional de la densidad, es a través del potencial de intercambio correlación (Vic). Las dos aproximaciones al potencial de intercambio correlación más utilizadas son la aproximación local de la densidad o LDA (por sus siglas en inglés) y la aproximación del gradiente generalizado o GGA (por sus siglas en inglés), ambos potenciales presentan a su vez diferentes parametrizaciones, por ejemplo, dos de las parametrizaciones que ofrecen mejores resultados en la aproximación GGA, son la parametrización de Perdew y Wang o PW91 (Perdew y Wang 1992) y la parametrización de Perdew, Burke y Ernzerhof o PBE96 (Perdew et al. 1996). En este trabajo se utilizó la aproximación GGA en la parametrización PBE96. Otro parámetro importante a tomar en cuenta en la realización de los cálculos computacionales, es el número de punto en el espacio reciproco o puntos k en la primera zona de Brillouin (PZB), que se utilizaron para la solución de las integrales. Este número fue elegido tomando en cuenta la convergencia en la solución de las ecuaciones KS para la energía total, esto es, se inició con un número de puntos . y se obtuvo la energía total, luego se incrementó el número de puntos k y se obtuvo la nueva energía y así sucesivamente, cuando la energía presentó variaciones menores entre generaciones de puntos ., se tomó la última generación como la adecuada para el cálculo de las propiedades electrónicas. En el caso de la estructura bcc se tomaron 22 puntos y en el caso de la fcc el número de puntos k fue de 24. Los radios de las esferas alrededor de los átomos, que se utilizaron en esta aproximación (también llamadas esferas de muffin-tin) fueron de 2.8 bohr, en ambas fases. Para los cálculos también es importante el determinar una energía de corte la cual se calcula a partir del radio de MT (RMT) y el número de ondas planas máximas (Kmax): RMT *Kmax= 8.
2.1 Ecuación de estados
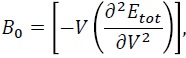
En el estudio teórico de la física del estado sólido, una ecuación de estados (EDE), es útil como una representación de los resultados experimentales de la compresión o expansión de la materia. Existen varias ecuaciones de estado propuestas a partir del ajuste de diferentes polinomios a datos experimentales. Una de las ecuaciones de estado que ha demostrado, a través de numerosas investigaciones, ser adecuada para determinar el volumen de equilibrio V. y el módulo de compresibilidad B0, es la ecuación de Murnaghan (1967), la cual da una relación entre la energía y el volumen del sistema a través de la ecuación

Donde

es el módulo de compresibilidad al volumen V0 y B0’ es la derivada del módulo de compresibilidad.
2.2 Camino de deformación de Bain
La transición estructural en un cristal ocurre cuando los átomos de la celda unitaria son desplazados en forma ordenada a una nueva posición, al ser un movimiento en todo el cristal, tenemos una deformación homogénea con lo cual podemos describir una transformación de fase cristalográfica. Existen diferentes mecanismos para inducir una transición de fase en un material, donde estas nuevas fases pueden ser estables o metaestables. El material se encuentra en una fase metaestable si la energía de esta fase es mayor que la energía del estado base y permanece en esta fase después de aplicada la deformación del cristal. El material puede permanecer en esta fase cristalográfica inducida, a través de algún mecanismo externo, por ejemplo, por temperatura, presión o una combinación de ambos.
Un caso particularmente atractivo de los mecanismos de transformación de fases sin difusión es el que propone Bain (1924). Esta transformación ocurre a lo largo de la deformación de una celda tetragonal centrada en cuerpo (bct, por sus siglas en inglés). El camino de deformación se realiza a través de un desplazamiento continuo de los átomos en la dirección [001], mientras que los átomos del plano (001) permanecen sin cambios. Las fases bcc y fcc pueden ser descritas como casos especiales de la celda bct. Cuando los parámetros de red de la celda tetragonal tengan las coordenadas de la base iguales (a = b) y la altura una relación 

, tenemos una fase fcc, por otro lado, cuando los parámetros de red son todos iguales (a = b = c) obtendremos la fase bcc. Por lo tanto, la transformación de Bain puede ser descrita a través de una sola variable, la relación c/a , esto es, para 
tenemos una estructura cristalina fcc y para c/a = 1 tendremos la fase bcc. En esta transformación el volumen de la celda tetragonal se conserva constante a lo largo del camino de deformación.
2.3 Densidad de estados
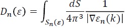
Debido a que los electrones en un sólido incluyen muchas interacciones, de tal manera que la función de onda no se encuentra bien localizada como en el caso del átomo aislado, no se pueden tener niveles electrónicos bien definidos. Como consecuencia de estas múltiples interacciones, en un sólido surgen nuevos estados electrónicos, los cuales son mezclas de los orbitales atómicos y que pueden ser de menor energía (estados de enlace) o de mayor energía (estados de anti-enlace) con respecto a los orbitales del átomo aislado. Debido a que en el sólido el número de átomos es muy grande, el número total de estados también es grande y con espaciamientos entre energías tan próximos que pueden ser despreciados, teniéndose de esta forma bandas completas de energías, esto conduce al concepto de densidad de estados (DOS). La densidad de estados electrónicos D(ε) está definida como el número de estados por celda unitaria, con energías entre ε y ε + dε. Sea S.(ε) la porción de la superficie ε.(k) = ε, entonces la DOS la podemos calcular a partir de la relación

la cual relaciona explícitamente la densidad de los niveles electrónicos y la estructura de bandas εn(k).
3. Resultados
En la Figura 1 se muestran las curvas de las ecuaciones de estado de energía contra volumen, para las fases cristalográficas estudiadas en este trabajo. Estas curvas se obtienen de calcular para cada volumen de la celda cristalina correspondiente (bcc o fcc), el valor de la energía del estado base de la celda, a través de las ecuaciones de KS. Como se puede apreciar de la gráfica, se tomaron 11 volúmenes diferente por cada estructura. El ajuste de estos puntos se hace a través de la ecuación de estado de Murnagan. En esta gráfica se puede apreciar que la estructura de menor energía es la fase fcc, a diferencia de lo que se reporta experimentalmente.

A partir del ajuste de las curvas se obtiene que el volumen de mínima energía para la fase fcc es 260.5414 unidades atómicas al cubo (u.a..) el cual da como resultado una constante de red de 10.1386 u.a. para esta fase. En el caso de la fase bcc el volumen de mínima energía fue 250.6963 (u.a..) a partir del cual se obtiene una constante de red de 7.9443 u.a. Cabe hacer notar que la diferencia de energía entre ambas faces es de 0.613 mRy lo cual equivale a una temperatura de 95 K, esto es importante si tomamos en cuenta que la temperatura de transición martensítica entre las fases fcc y bcc Tm ∼ 35 K (Berliner 1989). En la Figura también podemos apreciar que al volumen por átomo de 238 (u.a..) existe un cruce entre las dos curvas, este cruce indica que a ese volumen puede existir una transición de fase de una fcc a una bcc, si se realiza una compresión isotrópica a la celda cristalina en la fase fcc.

La Figura 2 muestra la curva del camino de deformación de Bain para el Na. Esta curva muestra el resultado del cálculo de la energía de 18 estructuras bct, todas con el mismo volumen y diferentes relaciones entre las constantes . y . de dicha celda. Como se puede apreciar, la gráfica presenta dos mínimos, siendo el de menor energía el mínimo ubicado en la relación 
como se mencionó anteriormente, a la fase fcc y un mínimo local en c/a = 1, correspondiente a la fase bcc, los resultados obtenidos en esta deformación, correlacionan con los resultados obtenidos en el estudio de la ecuación de estado (Figura 1), en cuanto a que la estructura de mínima energía es la fase fcc. En el camino de deformación de Bain vemos la barrera de energía entre el punto máximo de la curva y la fase fcc es de aproximadamente 0.9 mRy, esta es la energía que se tendría que suministrar al sistema para pasar de la fase fcc a la fase bcc. Por otro lado, se observa que la diferencia en energía entre los dos mínimos es de 0.5 mRy la cual es similar a la obtenida de las ecuaciones de estado.
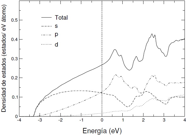
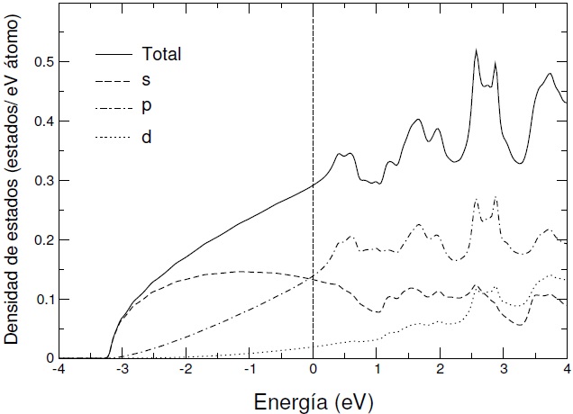
En las Figuras 3 y 4 se muestran las densidades de estados electrónicos para las fases bcc y fcc respectivamente. Se ha ubicado el cero de la energía coincidente con el nivel de energía de Fermi (EF), la cual separa los estados de conducción de los estados de valencia. En ambas gráficas la forma de las curvas es muy similar hasta EF. Del análisis de las gráficas se aprecia que, tanto en la fase fcc como en la fase bcc los estados que predominan son los s y p, teniendo los estados s mayor importancia a bajas energías. Además, al nivel de energía de Fermi ambas densidades de estados (s y p) tienen una contribución similar a la densidad de estados total. Por otro lado, se aprecia que la contribución de los estados d a los estados de valencia, es muy pequeña. Para energías superiores a EF las contribuciones de los estados electrónicos son diferentes en las fases bcc y fcc. Esta similitud entre las estructuras electrónicas de ambas fases permite suponer que ambas fases son probables para T = 0 K, ya que las interacciones electrónicas son producidas de manera similar por los estados . y .. El número atómico del sodio es 11, con una configuración electrónica 1s2, 2s2, 2p6, 3s1. Por lo que se tiene que se tiene un único electrón s de valencia. Los electrones s tienen simetría esférica. El tipo de enlace en el sodio es iónico y no tiene la direccionalidad del estado covalente.


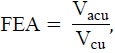
El resultado de este ordenamiento (fcc-bcc) para el Na, que obtuvimos en nuestros cálculos puede ser debido a que los materiales tiendan a adoptar la fase cristalográfica con una mayor fracción de empaquetamiento atómico (FEA). En los metales donde se tiene solo una especie atómica, el radio atómico es el mismo. Por otro lado, si el enlace no es direccional, como el caso del enlace iónico, la distancia entre los primeros vecinos tiende a ser pequeña con el fin de disminuir la energía de enlace. La fracción de empaquetamiento atómico se define como:

donde Vacu es el volumen que ocupan los átomos en la celda unitaria y Vcu es el volumen de la celda unitaria. Asumiendo simetría esférica en los átomos, el volumen Vacu será igual al número de átomos en la celda unitaria por el volumen de una esfera de radio igual al radio atómico. Para la celda fcc se tiene que la FEA será

De manera similar se obtienen las fracciones de empaquetamiento para las fases hexagonal de empaquetamiento cerrado (hcp) y la fase cúbica centrada en cuerpo (bcc), las cuales tienen una FEA de 0.74 y 0.68 respectivamente, de acuerdo a esto, el orden que se seguiría es fcc-hcp-bcc, lo cual concuerda con el ordenamiento obtenido en este estudio, obsérvese que la FEA de la fase fcc y hcp son similares.
Conclusiones
Los metales alcalinos tienen un solo electrón externo, el cual es del tipo ., por lo tanto, la nube electrónica tiene una distribución esférica. Entre más pequeño es el átomo, más pequeña, la atracción entre el electrón exterior y los núcleos vecinos. Por lo tanto, un incremento en el número de los átomos vecinos alrededor de cada átomo resulta en un ambiente local más estable y tiene una menor energía de configuración. Por lo anterior podemos concluir que, dado que la estructura fcc tiene un empaquetamiento más compacto que la bcc, la estructura fcc debe de ser más estable. Es importante recordar que este trabajo es considerando una temperatura T = 0 K, lo cual deja aun la interrogante de saber el mecanismo por el cual a temperaturas superiores la fase estable es la fase bcc, dejando esta incógnita como un trabajo futuro a realizar.
Referencias
Barrett C.S. (1956). Crystal structures of lithium-magnesium alloys at low temperatures. Acta Metallurgica, 4(5), 528 – 531.
Barrett C.S. and Trautz O.R. (1948). Trans. Amer. Inst. Min. (Metall.) Engrs. 175(579).
Smith H.G., Berliner R., and Jorgensen D.J. (1989). Martensitic transformation from bcc to 9r and fcc in metallic lithium. Physica B: Condensed Matter, 156, 53 – 55.
Sigalas M., Bacalis N. C., Papaconstantopoulos D. A. Mehl M. J. and Switendick A. C. (1990). Phys. Rev. B, 42, 11637.
Matthias B.T., and Bozorth R. M. (1958) Ferromagnetism of a zirconium-zinc compound. Phys. Rev., 109, 604–604.
Pfleiderer C., Uhlarz M., Hayden S. M., Vollmer R., Lohneysen H. V., Bernhoeft N. R., and Lonzarich G. G. (2001). Coexistence of superconductivity and ferromagnetism in the d-band metal zrzn2. Nature, 412(6842), c58–61, 07.
Parr R.G. and Yang W. (1994). Density-functional theory of atoms and molecules. Oxford University Press.
Hohenberg P. and Kohn W. (1964). Phys. Rev., 136-B, 864.
Thomas L. H. (1927). Proc. Cambridge Phil. Roy. Soc., 23, 542.
Fermi E. (1927). Rend. Accad. Naz. Lincei, 6, 602.
Kohn W. and Sham L. J. (1965). Phys. Rev., 140-A, 1133.
Singh D. J. (1994). Planewaves, Pseudopotential and the LAPW method. Kluwer Academic Publishers, Boston.
Perdew J. P. and Wang Y. (1992). Phys. Rev. B, 45, 13244.
Perdew J. P., Burke S., and Ernzerhof M. (1996). Phys. Rev. Lett., 77, 3875.
Murnaghan F. D. (1967). Finite Deformation of an Elastic Solid. Dover, New York.
Bain E.C. (1924). The Nature of Martensite, Trans. Am. Inst. Min. Metall. Eng. 70, 25.
Berliner R., Fajen O., Smith H. G., and Hitterman R. L. (1989). Neutron powder-diffraction studies of lithium, sodium, and potassium metal. Phys. Rev. B, 40,12086–12097.