Investigación
Caracterización del agua destilada obtenida durante el uso de aires acondicionados
Distilled Water Characterization Obtained through the use of Air Coolers
Caracterización del agua destilada obtenida durante el uso de aires acondicionados
Ingeniería, vol. 22, núm. 1, pp. 1-8, 2018
Universidad Autónoma de Yucatán

Recepción: 30 Noviembre 2017
Aprobación: 08 Febrero 2018
Resumen: Las condiciones ambientales en el estado de Yucatán, con alta temperatura y humedad relativa, propician el uso de equipos de aire acondicionado para mantener condiciones de confort térmico. El uso de estos sistemas de enfriamiento produce la condensación de agua de la atmósfera que usualmente se vierte sin ser aprovechada. Ante la posibilidad de que con el cambio climático se vea reducida la precipitación pluvial en el Estado, el objetivo de este estudio es evaluar la cantidad de agua que se puede colectar de este proceso de condensación ante diferentes condiciones atmosféricas y caracterizar la calidad del agua. Durante el desarrollo del experimento se colectó el agua condensada durante la operación de los equipos de aire acondicionado en períodos de 30 minutos a 2 horas, manteniendo fija la temperatura interior de los recintos y bajo diferentes condiciones atmosféricas en el exterior. Se midieron los volúmenes colectados y se evaluó la conductividad eléctrica y el pH. Las mejores condiciones de colecta coincidieron con altas temperaturas exteriores y baja velocidad del viento. Se elaboró un modelo para estimar el volumen de captación en función de las variables ambientales.
Palabras clave: agua atmosférica, cambio climático, condensación de agua, Yucatán, modelo de captación.
Abstract: Environmental conditions prevailing in the state of Yucatan, with high temperature and relative humidity, favor the use of air conditioners to achieve thermal comfort. Water produced as a byproduct, while using these cooling systems, is usually discarded. Given the possibility that climate change can reduce the amount of rainfall in Yucatan, the goal of this study is to quantify and evaluate the quality of the water collected during the condensation process, under different weather conditions. During the course of the experiment water was collected from air conditioners operating in periods of 30 minutes to 2 hours, at constant indoor temperature and under different outdoor atmospheric conditions. Water collected was quantified, recording its pH and electrical conductivity. The best conditions for collecting agreed with high outdoor temperatures and low wind speed. A model was developed to estimate the catchment volume as a function of environmental variables.
Keywords: atmospheric water, climate change, water condensation, Yucatán, catchment model.
INTRODUCCIÓN
En la ciudad de Mérida, Yucatán, México (20° 58’ Latitud Norte y 89° 38 ́ Longitud Oeste) la temperatura oscila entre máximos promedios de 35 a 37°C y mínimos promedio entre 14 y 18 °C, (Atlas de Riesgos de Peligros Naturales del Municipio de Mérida Yucatán, México) y en los meses calurosos se alcanzan temperaturas de hasta 45 °C con una elevada humedad atmosférica (superior al 50%). En el pasado, el diseño de las viviendas se orientó a mantener condiciones ambientales confortables mediante el uso de materiales con buenas cualidades para el aislamiento térmico y de prácticas de diseño arquitectónico de climatización pasiva; sin embargo, en la segunda mitad del siglo pasado la construcción de edificios para vivienda, labores de oficina y otras actividades humanas (en el interior de las edificaciones) se orientó hacia la eficiencia económica y se dejó a un lado el confort climático interior. De manera paralela se incrementó el uso de máquinas que refrescaran el interior de las viviendas y recintos; se popularizaron primero los ventiladores eléctricos y más tarde los aparatos de aire acondicionado. Si bien los costos de este confort artificial son elevados y no son accesibles para la mayoría de la población, las oficinas y edificios públicos han sido dotados en su mayoría de equipos de enfriamiento artificial. Los recintos universitarios no han sido ajenos a esta tendencia y en la actualidad se usan ventiladores y equipos de aire acondicionado en casi todos los espacios universitarios cerrados. Los equipos de aire acondicionado son sistemas de enfriamiento ambiental que en su mayoría producen la condensación del agua de la atmósfera. Usualmente este valioso subproducto del proceso de acondicionamiento térmico de los espacios no es aprovechado y es vertido al exterior de los recintos.El agua de la atmósfera, al condensarse adquiere una composición que depende de los componentes atmosféricos como gases, partículas, etc. y de los materiales presentes en el área de condensación. Por lo regular, esta agua contiene bajas concentraciones de sales y su pH tiende a ser ácido (Sharan 2011).En Yucatán se sabe poco del agua atmosférica resultante de los procesos de condensación, pero está claro que ante posibles escenarios de cambio climático, la condensación de agua atmosférica puede ser una fuente de abastecimiento alternativa. El uso del agua atmosférica para actividades humanas, incluyendo el consumo, es un tema que se ha abordado en diferentes partes del mundo y la orientación de los estudios es el de cuantificar volúmenes de captación, evaluar las calidades obtenidas mediante la condensación y también al diseño y prueba de diferentes métodos e instrumentos de condensación así como aprender de los sistemas biológicos (Starr y Anati 1971, McGee 1975, Takenaka et al. 2003, Musellini et al. 2006, Beysens et al. 2009, Fisher T. et al. 2012, Manoj et al., 2017). Este trabajo tiene como objetivo cuantificar el volumen de agua atmosférica que se puede captar durante la operación cotidiana de los equipos de aire acondicionado en recintos universitarios y de manera paralela evaluar la calidad del agua en términos de contenido iónico y pH.
METODOLOGÍA
Se colectó el agua proveniente de un condensador de aire acondicionado marca PRIME de 12,000 BTU. El equipo se hizo funcionar en períodos de 30 min a 2 horas para conservar una temperatura interior a 21°C. A la par, se hicieron mediciones ambientales del exterior en una estación meteorológica universitaria tomando datos de temperatura exterior, humedad ambiental, punto de rocío y velocidad del viento. En una segunda etapa de los experimentos se cambió el control de la temperatura interior para mantenerla a 16°C, 18°C, 23°C y 25°C, estos experimentos duraron entre 20 min a 2:18 horas.El agua se colectó en recipientes de boca muy estrecha para evitar en lo posible la evaporación durante la colecta; los volúmenes se midieron con probetas y las mediciones de conductividad eléctrica y pH se hicieron en laboratorio con un equipo THERMO ORION modelo 550A.Se usaron técnicas gráficas de estadística descriptiva para el análisis de datos de humedad y temperatura exterior medidos en la estación meteorológica de la Facultad de Ingeniería de la Universidad Autónoma de Yucatán y se buscaron relaciones entre las variables atmosféricas y los volúmenes colectados utilizando análisis de regresión. En la segunda etapa experimental se analizó la relación entre las variables ambientales y la captación de agua en ml por hora. Además de las variables ambientales se exploró la diferencia de temperaturas exterior e interior programada, se usó un análisis de regresión múltiple paso a paso hacia adelante. Los análisis estadísticos se hicieron con el software Statgraphics v.5.1
RESULTADOS
En la Tabla 1 se presentan los resultados obtenidos del análisis estadístico realizado sobre las observaciones de captación de agua destilada por el sistema de enfriamiento o aire acondicionado utilizado en esta aproximación.

El análisis de la relación entre los volúmenes de captación, las variables ambientales y las diferencias de temperaturas interior y exterior indica que la cantidad de agua captada, dentro del rango de humedad atmosférica exterior en el que se hicieron los experimentos, depende de la temperatura exterior y de la diferencia entre la temperatura exterior y la temperatura interior programada. El modelo es el siguiente (Ecuación 1):
Dónde
V−Volumen de agua captado [ ml/h ]
dT−Diferencia de temperaturas ambiente exterior e interior fijada [ ° C ]
Text − Temperatura ambiente exterior [ ° C ]
El coeficiente de determinación (R2) = 59.44 (en porcentaje).
En la Tabla 2 y 3 se resumen los resultados del análisis de regresión múltiple para la obtención del modelo presentado en la Ecuación 1.


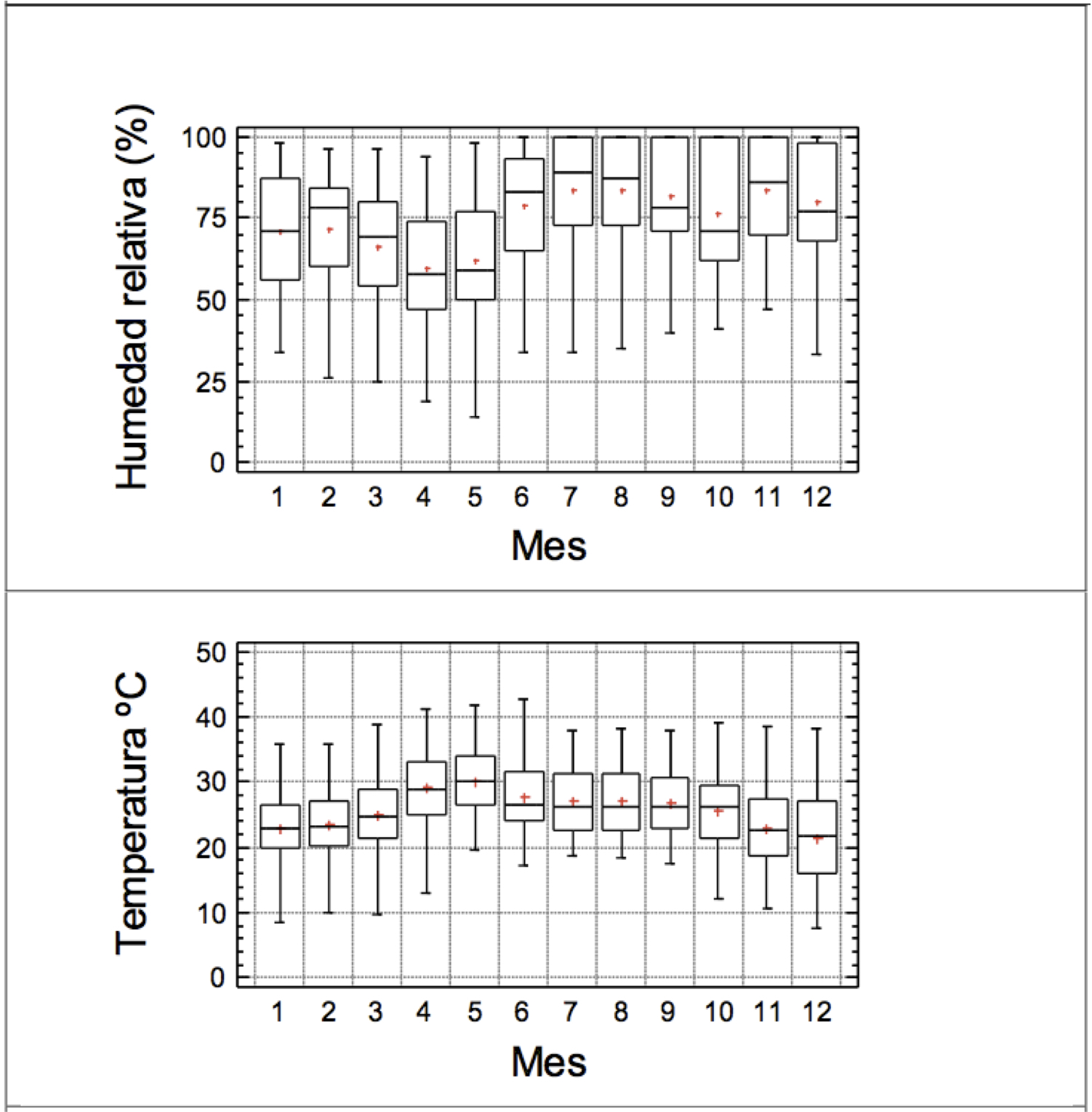
En las Figuras 1 y 2 se muestran los modelos aproximados de comportamiento durante el día (datos por horas) y mensual de la temperatura y humedad relativa atmosférica en la estación meteorológica de la Facultad de Ingeniería de la Universidad Autónoma de Yucatán. Los gráficos de cajas y bigotes que se presentan en las figuras muestran que en el rectángulo o caja central se localiza el 50% de los datos medidos para cada variable, la línea central que divide en dos los rectángulos es la mediana y las cruces centrales las medias de las variables.


DISCUSIÓN.
Los resultados experimentales de este trabajo muestran que se puede colectar una cantidad apreciable de agua condensada procedente de los equipos de aire acondicionado en la ciudad de Mérida, Yucatán. El agua colectada tuvo un bajo contenido iónico y un pH en el rango de 3.16 a 5.58, inferior a los reportados por Manoj et al. (2017) quienes obtuvieron valores de pH neutros de 6.76. En términos de calidad como agua potable, el agua colectada requiere de un tratamiento y en este sentido es necesario realizar una caracterización más fina de su composición biológica y química (iones mayoritarios), y particularmente el contenido de metales, ya que un pH bajo favorece la presencia de metales disueltos.La captación de agua como un subproducto de la operación de los equipos de aire acondicionado tiene varias vertientes de interés: permite tomar muestras para evaluar las condiciones ambientales en las áreas interiores de las cuales se capta el agua; es una condición de cambio artificial del ciclo del agua y de balances de materia y química atmosférica a un nivel local, pero que puede ser de interés para el hábitat, o condiciones interiores de los edificios; permite captar agua de una calidad que puede ser apropiada para satisfacer necesidades relacionadas a la actividad humana (Muselli et al. 2006, Dirks et al. 2010).El costo del agua destilada procedente de los equipos de aire acondicionado es una externalidad que deriva del confort que se adquiere al disminuir la temperatura y la humedad en los ambientes interiores. Su aprovechamiento permitiría acelerar la recuperación económica de los costos de inversión de la infraestructura de captación.Las mediciones de conductividad eléctrica indican que el contenido iónico es bajo y el pH es ácido, por lo que es poco probable la presencia de microorganismos patógenos. Sin embargo, ésta suposición deberá ser comprobada en estudios posteriores.De acuerdo a los resultados obtenidos en este ejercicio experimental, la captación de agua condensada procedente de los equipos de aire acondicionado, depende de la humedad relativa, la temperatura exterior y de la diferencia entre la temperatura exterior y la temperatura programada para el termostato. Los resultados son desde luego preliminares y es necesario efectuar el análisis termodinámico así como consideraciones y cálculos sobre la naturaleza química de las superficies de condensación. También es necesario profundizar en la medición de la cantidad de aire intercambiada en los recintos.En la actualidad hay dos fuentes de información que permiten orientar la exploración teórica y experimental de la captación de agua de la atmósfera: los trabajos realizados en gran parte del mundo sobre el tema específico de colecta de agua de la atmósfera, ya sea en forma de rocío matutino o el uso de condensadores artificiales alimentados con electricidad proveniente de energía eólica o solar (Hamed et al. 2011), y también son una fuente de información las estrategias de los organismos vivos para captar agua de la atmósfera, almacenarla y gestionar su uso mediante el desarrollo de sistemas de optimización de los que es factible tomar lecciones (Zhai et al. 2006).La península de Yucatán es un espacio terrestre entre tres mares: el Golfo de México, el Mar Caribe y el Océano Pacífico, de los tres mares llegan vientos en diferentes épocas del año y si bien las predicciones de cambio climático auguran una disminución de la precipitación regional (principal fuente de abastecimiento), de cualquier manera el movimiento de las masas de aire procedentes de los mares circundantes pueden ser manantiales para la captación de agua potable o de una calidad que sin demasiado tratamiento (que será necesario proponer), tiene un alto potencial de uso. En un panorama más inmediato el agua procedente de la condensación por aires acondicionados puede ser una fuente de agua de uso para consumo humano directo o indirecto.
CONCLUSIONES
Se propone un modelo estadístico para predecir el volumen de agua que se genera por condensación de un equipo de aire acondicionado, en función de temperaturas interior y exterior. El pH del agua generada es ácido entre 3.16 y 5.58.
Referencias
Atlas de Riesgos de Peligros Naturales del Municipio de Mérida Yucatán, México, página 46, consultado el 10 de mayo del 2013 en: http://www.merida.gob.mx/finanzas/portal/pcivil/contenido/atlas.htm
Beysens D., Lekouch I., Mileta M., Milimouk I. and M. Muselli. (2009). Dew and Rain Water Collection in South Croatia. PROCEEDINGS OF INTERNATIONAL CONFERENCE ON ENERGY AND ENVIRONMENT MARCH 19-21.
Dirks I. , Navon Y., Kanas D., Dumbur R. and J. M . Grünzweig. (2010). Atmospheric water vapor as driver of litter decomposition in Mediterranean shrubland and grassland during rainless seasons. Global Change Biology (2010) 16, 2799–2812
Fisher T., M.Veste, O.Bens and R.F. Hüttl. (2012). Dew formation on the surface of biological soil crusts in central European sand ecosystems. Biogeosciences Discuss 9, 8075-8092.
Hamed A.M, Aly A.A. and E. B. Zeidan (2011). Application of Solar Energy for Recovery of Water from Atmospheric Air in Climatic Zones of Saudi Arabia. Natural Resources, 2011, 2, 8- 17.
Manoj Kumar, Avadhesh Yadav & Neeraj Mehla (2017): Water generation from atmospheric air by using different composite desiccant materials. International Journal of Ambient Energy, ISSN: 0143-0750 (Print) 2162-8246, DOI: 10.1080/01430750.2017.1392350.
McGee O.S. 1975. Comments of the storage of water vapour in the atmosphere over South Africa
Muselli M., Beysense D., Soyeux E. and O. Clus. 2006. Is Dew Water Potable? Chemical and Biological Analyses of Dew Water in Ajaccio (Corsica Island, France). ENVIRONMENTAL QUALITY., VOL 35, SEPTEMBER-OCTOBER 2006 Water SA 1(1): 30-35.
Sharan G. (2011). Harvesting Dew with Radiation Cooled Condensers to Supplement Drinking Water Supply in Semi-arid Coastal Northwest India. International Journal for Service Learning in Engineering Vol. 6, No. 1, pp. 130-150, Spring 2011.
Starr V.P. and D.A. Anati (1971). Experimental Engineering procedure to the recovery of liquid water from the atmospheric vapor content. Pure and applied Geophysics Vol. 86, pag. : 205-208.
Takenaka N., H. Soda, K. Sato, H. Terada, T. Suzue, H. Bandow and Y. Maeda (2003). Difference in amounts and composition of dew from different types of dew collectors. Water, Air, and Soil Pollution 147: 51–60.
Zhai L., Berg M.C., F. Cebeci, Kim Y., Milwid J.M., Rubner M.F., and R.E. Cohen. 2006. Patterned Superhydrophobic Surfaces: Toward a Synthetic Mimic of the Namib Desert Beetle. NANO LETTERS 6 ( 6): 1213-1217
Notas de autor
zmoguel@correo.uady.mx