Investigación
Diseño y fabricación de un sistema mecánico elevador para el manejo de una cámara de vacío
Design and fabrication of a mechanical elevator system for handling a sputtering vacuum chamber
Diseño y fabricación de un sistema mecánico elevador para el manejo de una cámara de vacío
Ingeniería, vol. 23, núm. 2, pp. 17-27, 2019
Universidad Autónoma de Yucatán

Recepción: 31 Octubre 2018
Aprobación: 01 Mayo 2019
Resumen: El manejo, operación y mantenimiento de un equipo de vacío requiere del apoyo de componentes auxiliares que faciliten su funcionamiento. En este trabajo se presenta el diseño y la manufactura de un dispositivo mecánico de elevación para el fácil y seguro manejo de una sección pesada de una cámara de vacío. En el diseño y fabricación se utilizaron dos tubos de acero concéntricos de diámetro diferente que permiten el movimiento axial mediante un tornillo de potencia. El tubo externo fijo, se une a una caja reductora de velocidad que contiene el sistema de transmisión corona-sinfín, el limitador de torque y el tornillo de potencia para subir (bajar) la carga y desplazar al tubo interior. El tubo interno que se desplaza, tiene en su parte superior el mecanismo de cuatro barras para sujetar y desplazar la sección de la cámara de vacío mediante dos interruptores eléctricos accionados con el pie. El movimiento del mecanismo se realiza con un motor DC reversible. El sistema elevador de la cámara de vacío se utiliza en el laboratorio de forma rutinaria y resolvió la problemática de carga pesada y de seguridad en el manejo de la cámara de vacío.
Palabras clave: mecanismo de manejo, sistema corona-sinfín, cámara de vacío.
Abstract: The handling, operation, and maintenance of vacuum equipment requires of auxiliary components to facilitate its function. In this work, the design and manufacture of a mechanical device for the easy and secure handling of a heavy section of a sputtering vacuum chamber is presented. For the mechanical device design, two concentric iron tubes with different diameters were used, such that only axial movement is permitted by a power screw. The external fixed tube is connected to a gear-reduction box that contains the corona-sinfin system, the torque limitation, and the power screw for getting up (down) the load and for displacing the inner tube. The mechanism is powered by a reversible DC motor. The mobile internal tube includes a four-bar mechanism for holding and for displacing the heavy section of the chamber helped with electrical switches driven by foot. The mechanical elevator is actually used in the lab and helped to solve the problems of heavy loads handling and security required of the vacuum chamber.
Keywords: elevator mechanism, corona-sinfin system, sputtering vacuum chamber.
Introducción
Una máquina es un arreglo o conjunto de elementos capaces de convertir un cierto tipo de energía aplicada en otra energía pero obteniendo cierta ventaja mecánica. La necesidad de realizar ciertas funciones con mayor facilidad o seguridad mediante una conversión de energía de una forma a otra, ha obligado al hombre a buscar nuevos métodos que le apoyen con estas tareas. Estas necesidades han contribuido para la invención de elementos mecánicos tales como la palanca, la rueda, la polea, los engranes, entre otros. Mediante su evolución surgen las primeras máquinas que se han ido perfeccionando hasta convertirse en máquinas o mecanismos cada vez más complejos, así como en herramientas especiales que utilizan los principios básicos de las máquinas simples. Para diseñar los sistemas de elevación vertical, se utilizan técnicas de control muy complejas [Venkatesh y Cho 2010, Elzzadean et al 2015], lo que los hace de difícil diseño y acceso. Por otro lado, los ascensores para edificios actuales son sistemas sofisticados que ahora pretenden ser parte de los edificios inteligentes [Shete et al 2017] o también para el mecanizado en la agricultura [Huscio et al 2016] utilizando sistemas mecatrónicos. Se ha propuesto, la posibilidad de estacionamientos para vehículos con sistema de elevación que los desplacen en movimiento tridimensional en un espacio bastante amplio [So et al. 2018]. Estos sistemas además de resultar muy sofisticados, son de costo muy alto que los hacen prohibitivos en su adquisición. Por ello, su diseño y manufactura propia para las condiciones muy particulares, genera no solo infraestructura para el laboratorio sino un sistema de gran utilidad que cumple con las necesidades requeridas. Un sistema de elevación automatizado comercial utiliza aire para generar vacío y soportar cargas verticales de hasta 34 kg [Hine Automation, 2019]. Si el sistema de elevación es para una casa-habitación hay empresas que ofrecen diseños de elevación que permiten en poco espacio mover a una persona a una segunda planta utilizando aire [PVE, 2019]. Las cámaras de vacío para el depósito de materiales, se fabrican generalmente de acero inoxidable, lo que podrían ser pesadas, dependiendo de su tamaño y si su diseño es vertical. Si esto es así, es necesario contar con un sistema de apoyo para elevar parte de la cámara de vacío durante su uso. Se han utilizado marcos de acero para su manejo que soportan motores similares a una grúa viajera. Ello requiere ocupar un mayor espacio para su instalación y conlleva un costo mayor.
En el trabajo particular que se realiza en el laboratorio de investigación, surge la necesidad de la apertura y cierre rutinario de una cámara de vacío al introducir o retirar los sustratos, cambiar el material fuente, o conectar accesorios internos durante el depósito de materiales por las técnicas de evaporación y sputtering. Adicionalmente, cuando se requiere dar mantenimiento o realizar alguna modificación dentro de la cámara de vacío, el gran peso de la misma puede resultar en una desventaja, además de ser complicado e inseguro en su manejo. En nuestro caso, el manejo de un parte importante de la cámara se realiza actualmente con la ayuda de dos personas quienes soportan el peso mientras un tercero hace los cambios en el interior y posiciona el aro-sello de vacío entre las dos partes de la cámara. En este trabajo se propone diseñar y manufacturar un sistema mecánico de elevación que simplifique la labor en el manejo de una parte de la cámara de vacío, que no sea costoso, y ocupe un espacio mínimo y que de seguridad al usuario. Con este nuevo sistema, la labor será realizada por una sola persona usando un pie para manejar los interruptores eléctricos para subir y bajar, tal que el usuario pueda hacer simultáneamente uso de ambas manos para realizar las actividades dentro de la cámara de vacío con mayor sencillez, seguridad para él y menor riesgo de daño al equipo.
Metodología
Para el diseño conceptual del mecanismo, se definieron previamente algunas limitaciones a cumplir: poco espacio disponible para su ubicación, fácil manejo por el usuario, seguridad en su uso así como bajo costo y mantenimiento. Se propusieron diferentes alternativas de diseño basados en mecanismos con engranes, bandas, y sistemas hidráulicos y neumáticos. Después de una selección basada en las sencillez de uso y fabricación, así como de materiales y componentes accesibles, se decidió elegir el mecanismo de desplazamiento mecánico formado por dos tubos de acero 1018 cédula 30 (Figura 1) de diámetros diferentes colocados concéntricamente tal que el tubo interno funciona como pistón y el externo se fija en la mesa de trabajo. En el extremo superior del tubo externo se colocan bujes de bronce que cumplen una doble función: mantener concéntrico el tubo interior y permitir su libre deslizamiento relativo. Para evitar la rotación entre ambos tubos, se incluyó un pasador en el tubo interior a través de una ranura en el tubo exterior para un suave deslizamiento durante el movimiento. Los elementos principales como los tubos concéntricos, el motor, la caja reductora de velocidad, el tornillo de potencia y los aros de sujeción son mostrados esquemáticamente en la Figura 1. A continuación se detalla el diseño y la función de los componentes principales.

Caja reductora de velocidad
La función principal de este mecanismo es reducir la velocidad de rotación que proporciona el motor reversible de 12 VDC utilizado en los radiadores de automóvil. Esta reducción de velocidad provoca que el par torsional aumente notablemente. Para ello, se construyó una caja de engranes que contiene un engrane de latón tipo corona con 60 dientes [Casillas et al 2018] acoplado a un tornillo sinfín cuyos ejes son montados sobre rodamientos de bola 6000 2Z. El eje del tornillo sinfín es acoplado al motor de 12 VDC mediante una junta tipo Oldham [Guillet 1976] que facilita la buena alineación entre los ejes. La potencia que proporciona este mecanismo es transmitido a través del eje del engrane tipo corona, quien se encarga de transmitir el par torsional y soportar el peso a levantar. Para ello, en la parte inferior se coloca un rodamiento cónico K4050 capaz de soportar cargas radiales y axiales y en la parte superior, un buje de bronce (Figura 2).
Tornillo de potencia
A la par con los tubos de acero concéntricos, el tornillo de potencia juega un papel de gran importancia en el sistema mecánico ya que además de formar parte de la estructura de soporte, es el encargado de transmitir el par torsional necesario y el avance para desplazar la carga. Generalmente los tornillos de potencia se construyen de rosca cuadrada de tipo ACME; en nuestro caso, fue suficiente utilizar un tornillo de rosca estándar triangular ya que por las condiciones de diseño, la carga a soportar es relativamente baja (490 N). El tornillo de potencia fue construido de eje de acero 1018 con una longitud total de 400 mm, 15.87 mm (5/8 pulg) de diámetro y longitud roscada de 350 mm con paso de 11 hilos/pulg, el cual proporciona una carrera libre de 30 cm. En la Figura 3 puede observarse el diseño del tornillo y el mismo tornillo pero ya construido.
Limitador de torque (embrague)
Este mecanismo, además de transmitir la potencia proveniente de la caja reductora, se encarga de limitar el torque para proteger mecánicamente al sistema, actuando en forma similar a un fusible eléctrico. Consta de dos discos de acero de 30 mm de diámetro y 5 mm de espesor acoplados mediante un par de esferas de acero. La Figura 4 muestra el detalle de este limitador implementado. El disco superior va unido al tornillo de potencia y el disco inferior, que soporta las esferas metálicas, va colocado sobre el eje de salida del reductor. Su eje tiene una parte roscada y ambos discos se colocan en forma paralela tal que el disco inferior pueda transmitir el par torsional y adicionalmente el movimiento axial. Para mantener unidos los dos discos se utiliza un resorte que se ajusta con una tuerca para graduar y limitar la transmisión del par torsional deseado.
Aros de sujeción
Los aros de sujeción tienen la función de abrazar firmemente el mecanismo de elevación a la sección de la cámara de vacío a desplazar y la carga. Están montados articuladamente de forma que pueden abrirse y cerrarse libremente en el centro mediante un tornillo de unión.


Son fabricados con platina de acero 1018 de 19 mm de ancho (3/4 pulg) por 3 mm (1/8 pulg) de espesor. En un extremo se agregaron dos argollas para unir flexiblemente al sistema y en el otro extremo se le practicó un agujero para colocar los tornillos de unión. Finalmente, se rolaron con un radio de curvature adecuado al diámetro de la cámara de vacío (carga) a desplazar. Adicionalmente, se utiliza un mecanismo giratorio de unión para permitir una rotación de 45°, unido a un mecanismo de 4 barras para trasladar la cámara fuera del eje axial, como se muestra en la Figura 5.


Resultados
Cálculos del sistema mecánico
Durante el diseño mecánico de este sistema, se tomaron en consideración las partes más relevantes sometidas a esfuerzos mecánicos y que son vitales para soportar y elevar la carga propuesta con alto grado de seguridad. Dichos elementos mecánicos son: la columna de tubos concéntricos, el torque del sistema corona-sinfín, el tornillo de elevación de la carga y la potencia del motor. Estos elementos y los valores de esfuerzo y potencia fueron calculados y adicionalmente estimados con el software Solid Works 2016 considerando las dimensiones y cargas reales. Los cálculos son presentados en forma inversa; es decir, se parte de la carga máxima a soportar (490 N) y se va calculando su efecto con fuerzas y pares de torsión que se van aplicando a los diferentes elementos mecánicos involucrados hasta llegar a la potencia del motor requerido.
La columna de tubos concéntricos.
La columna principal del mecanismo es fabricado con dos tubos concéntricos de acero 1018 cédula 30 de 1.5 pulg (dext= 48.3 mm, dint= 43.5 mm, espesor= 2.25 mm) y de 1.0 pulg (dext= 33.4 mm, dint= 30 mm, espesor= 1.71 mm) de diámetro nominal y actúa como el soporte principal y como mecanismo de elevación de la carga F a elevar. El valor del torque T necesario, sin considerar la fricción, para levantar la carga de F=490 N (m=50 kg) puede determinarse mediante la relación:
donde F está en N, T en N-m y P=2.3 mm es el paso de la rosca (distancia entre filete y filete) del tornillo de elevación. El tornillo de elevación es de 5/8” diámetro y tiene una rosca de 11 hilos/pulg. Aplicando la Ec. (1), se determina que el torque necesario del tornillo (sin fricción) para levantar la carga es de T= 0.179 N-m.
Los esfuerzos de compresión ( comp) y flexión ( flex) en la parte inferior de la columna en unión con el soporte, pueden ser estimados con las relaciones conocidas:
Donde, F= carga a elevar (490 N), A= área de la sección transversal (m2), M= par torsional (490 N x 0.33 m= 161.8 N-m), re =radio externo de cada tubo, e I= (rext4/4 - rint4/4) es el momento de inercia de cada tubo. Aquí se consideraron los radios reales de los tubos concéntricos.
Los esfuerzos totales para los puntos interior (compresión) y exterior (tensión) la columna por efecto de la fuerza F aplicada debido al brazo de palanca (radio= 33 cm) se determinan mediante las relaciones:
Usando las dimensiones de los tubos de la columna principal, se simularon los esfuerzos bajo la carga axial con el programa Solid Works usando elemento finito.
Las Figuras 6 y 7 muestran los valores de los esfuerzos totales de tensión ( tensTotal) y de compresión ( compTotal) estimados con el software para la parte inferior de los tubos de 1.0 y 1.5 pulg nominales, respectivamente. La Tabla 1 muestra la comparación de dichos valores calculados y estimados con Solid Works para dichas condiciones, Para el caso de flexión, los esfuerzos se determinaron en el punto más elevado de los tubos.

Los valores de los esfuerzos totales de la Tabla 1 comparados con el esfuerzo de cedencia del acero 1018 ( yp= 370 MPa) arrojan factores de seguridad de 3 y 9, respectivamente, lo cual indican que los tubos no fallarán mecánicamente ante la máxima carga aplicada. Note la gran similitud entre los valores de los esfuerzos totales calculados y estimados para ambos tubos concéntricos.


La transmisión del mecanismo corona- sinfín.
Con el torque T del tornillo para levantar la carga, se puede estimar la fuerza Fc necesaria para mover el sistema corona sinfín, la cual puede estimarse mediante la relación:
de donde rp = 3.0 cm, es el radio primitivo de la corona. Usando el par T calculado de la Ec. (1), la fuerza Fc para hacer girar la corona nos arroja un valor de Fc= 0.179 N- m/0.03 m = 5.96 N. Con esta fuerza Fc podemos determinar el par Tc-s necesario del sistema tornillo-sinfín [Casillas 2008 y Norton 1999], esto es:
(7)donde Psf =3.5 mm es el paso del tornillo sinfín. La relación de giro del sistema corona-sinfín es de 1:60; luego, el par total nos arroja Tc-sTotal= Tc-s (60)= 0.00336x60= 0.201 N-m, que es un valor ligeramente mayor que el par T=0.179 N-m necesario para levantar la carga necesaria.
Par torsional considerando el valor de la fricción.
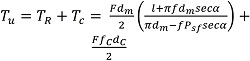
Una alternativa más realista para determinar el par necesario para elevar la carga es considerando la fricción entre los elementos mecánicos. El par útil necesario Tupara elevar la carga F=490 N, puede estimarse de la Ec. (8), [Deuschman 1987 y Budynas 2012]:
(8)donde TR es el par necesario para elevar la carga verticalmente y Tc es el par necesario para vencer la fricción en el área de contacto de la rosca, calculados de acuerdo a las características del tornillo de potencia. Entre los parámetros del tornillo para utilizar la Ec. (8) están: el paso de la rosca (Psf=3.5 mm), diámetro exterior (de=15 mm), diámetro medio (dm=13 mm), diámetro interior (di=11 mm), diámetro medio del collarín (dc=29.2 mm), coeficiente de fricción en el tornillo (f=0.10), fricción en el collarín (fc=0.10) y a=30° es el ángulo entre el eje axial con la normal del flanco de la rosca.
Con estos parámetros, el valor calculado del par útil requerido para elevar la carga requerida arroja un valor de Tu=1.267 N-m, un valor casi 6 veces mayor al par estimado sin fricción. El par útil Tu será de gran importancia para determinar la potencia del motor necesaria para levantar la carga.
Potencia del motor
Para determinar la potencia necesaria del motor que moverá al sistema mecánico de elevación, es necesario determinar la potencia para elevar la carga a través del tornillo y la potencia necesaria para vencer el movimiento entre el sistema corona y sinfín.
La Ec. (9) nos permite determinar el valor de la potencia (ɸ0, en kW) para elevar la carga por el tornillo, considerando sus características:
(9)Donde n=1500 rpm es la velocidad del motor, Wc =Tu/(rp) =(1.267 N-m)/(0.03 m)=42.2 N es la fuerza tangencial de la corona, rp es el radio primitivo de la corona (3.0 cm), FR el factor de reducción sinfín- corona (60:1) y FS el factor de segurida que se consideró de 3. Con estos datos, la potencia nos arroja un valor de ɸ0=0.00992 kW.
Para el caso de la potencia requerida para vencer la fricción del sistema corona-sinfín (ɸ1, en kW) utilizamos la relación:
(10)Donde vt=1.32 m/s es la velocidad tangencial de la corona (m/s) y Fc=5.96 N es la fuerza de fricción de la corona. El cálculo nos arroja un valor de ɸ1= 0.0079 kW.
Luego, la potencia mínima del motor ɸmotor será la suma de ambas potencias estimadas:
(11)La selección del motor está basado en el valor de la potencia comercial disponible en el mercado de forma que al menos cumpla los 17.8 W estimados. Para ello, se eligió un motor de 12 VDC y 100 W de fácil adquisición en el mercado local utilizado para mover el ventilador del radiador de un automóvil. Con esta potencia aseguramos que el motor no tendrá ningún problema para subir y bajar la carga ya que es casi 5 veces la potencia mínima estimada.
Discusión
En la Figura 8a se muestran algunos componentes del sistema mecánico construido usando materiales de acero 1018, aluminio y bronce, donde también pueden observarse el motor Siemens de 12 VDC reversible utilizado para mover el ventilador del radiador de un automóvil, el acoplador para sujetar el motor a la caja reductora de velocidad, los tubos telescópicos de elevación, el tornillo de potencia, la caja reductora de velocidad que incluye en su interior el engrane tipo corona y el tornillo sinfín, así como los conectores y rodamientos utilizados. La Figura 8b muestra el diseño completo del sistema elevador realizado en Solid Works y la Fig. 8c se muestra una fotografía del sistema mecánico completo, donde todos estos elementos ya han sido ensamblados.

En la Fig. 9 se aprecia la sección de la cámara de vacío elevada y rotada para realizar cambios de los componentes internos que es sostenida por el sistema mecánico elevador. La rotación es otra de las virtudes a resaltar que este mecanismo ofrece para facilitar el manejo de la cámara de vacío del sistema de depósito. Pruebas realizadas, proporcionaron una velocidad de elevación vertical de 150 mm/min del mecanismo construido. Para el avance y detención del movimiento se utiliza un grupo de cuatro interruptores eléctricos conectados a un pedal ubicado en el suelo que permiten cambiar el sentido de giro del motor para subir y bajar la carga. Adicionalmente, se incluyeron dos interruptores de limitación ubicados en la parte superior e inferior de la columna de elevación como elementos de seguridad para detener el motor en caso de un desplazamiento fuera de los límites permitidos.

Conclusión
Se diseñó y fabricó un sistema mecánico de elevación para facilitar el manejo de una sección pesada (50 kg) de una cámara de vacío utilizada para depositar materiales. Este sistema permite que la operación de ascenso/descenso de la sección pesada sea realizada por una sola persona, ofreciendo una mayor seguridad y mejor manejo de la misma. El ascenso/descenso de la carga se realiza mediante dos interruptores eléctricos de pedal que accionan el motor DC reversible para realizar el movimiento deseado. Actualmente el sistema instalado se utiliza en forma rutinaria en nuestro laboratorio para realizar los depósitos requeridos por el uso de la cámara de vacío. El dispositivo implementado viene a sumar una acción de desarrollo de infraestructura y de reducción de costos de equipamiento. El sistema mecánico implementado tiene la facilidad de poder hacerle modificaciones o adaptaciones futuras, así como darle mantenimiento de forma ágil ya que se conocen todos los elementos posibles de recambio o desgaste por su uso.
Agradecimientos
Los autores agradecen a los Ingenieros Oswaldo Gómez y Gaspar Euán por su apoyo técnico y sugerencias durante la construcción.
Referencias
Budynas Richard G., Nisbett J. Keith, (2012) Diseño en Ingeniería Mecánica de Shigley, 9ª Edición, Mc Graw Hill, México.
Casillas A.L., (2008) Cálculos de Taller, 40ª Edición, Editorial Máquinas, España.
Deutschman Aaron D., Michels Walter J., (1987) Diseño de Máquinas. Teoría y Práctica, Editorial MacMillan Publishing Co. Inc., 2ª Edición, USA.
Ezzaldean Mohammed M., Bakr Mustafa S., (2015) Control system for experimental model of electric elevator. Journal of Control, Robotics, and Mechatronic Systems. 1: 22-26.
Guillet, (1976), Cinemática de los Mecanismos, Ed. CECSA, México.
Hine Automation, http://hineautomation.com, St. Petersburg Florida, 33717, USA.
Huscio Tomasz, Trochimczuk Roman, (2016). Novel rope-free mechatronic elevator system to automation of transport in agricultural farms. Engineering for Rural Development, 25, 318-323.
PVE, Pneumatic Vacuum Elevators, Home Residential Elevators, 12602 NW, 115th Ave, Miami Florida, USA.
Norton Robert L., (1999). Diseño de Máquinas, Editorial Pearson, Prentice Hall, 2ª Edición, México.
Venkatesh S.R., Cho Y.M., (1998). Control systems for ultra-high rise elevators. Journal of Dynamic Systems, Measurements, and Control. 123, 687-690.
Shete Omkar M., Shete Divyani V., Pise Surabhi G., (2017). A survey paper on design & control of an elevator for smart city application. International Journal of Advanced Research in Electrical, Electronics and Instrumentation Engineering, 6: 3021-3027.
So A., Al-Charif L., Hammoudeh A., (2018). Traffic analysis of a three-dimensional elevator system, Building Services Research and Technology, 39, 5-20.
Información adicional
Nota: Este artículo de investigación es parte de Ingeniería–Revista Académica de la Facultad de Ingeniería, Universidad Autónoma de Yucatán, Vol. 23, No. 2, 2019, ISSN: 2448-8364