Resumen: Se presenta una alternativa al estudio del movimiento humano, en particular la marcha, usando como base la captura de video para obtener las imágenes de los movimientos. La finalidad de este estudio es crear una aproximación tridimensional en un escenario virtual a partir de datos bidimensionales, cuantificar el movimiento del tren inferior del cuerpo humano descomponiéndolo en variables físicas y registrar estas mediciones para su uso en la determinación de posibles anomalías motrices, derivadas de algún accidente, ejecución inadecuada o defecto congénito. Se propone una metodología que hace uso de software libre para facilitar la obtención de datos y su representación por medio de gráficas por computadora. Como resultado, se obtiene una simulación tridimensional dentro de un escenario virtual, la cual se basa en los movimientos reales de una persona que se registraron previamente por medio de vídeo, cuantificando el movimiento generado para su análisis correspondiente.
Palabras clave:biomecánicabiomecánica,gráficos por computadoragráficos por computadora,movimiento humanomovimiento humano,análisis de la marchaanálisis de la marcha.
Abstract: An alternative to the study of human movement, in particular the march, is presented, using as a basis the capture of video to obtain the images of the movements. The purpose of this study is to create a three-dimensional approach in a virtual scenario from two-dimensional data, quantify the movement of the lower body of the human body by decomposing it into physical variables and record these measurements for use in the determination of possible motor anomalies, derived from some accident, inadequate performance or congenital defect. A methodology is proposed that makes use of free software to facilitate the obtaining of data and its representation through computer graphics. As a result, a three-dimensional simulation is obtained within a virtual scenario, which is based on the real movements of a person that were previously registered by means of video, quantifying the movement generated for its corresponding analysis.
Keywords: biomechanical, computational graphics, human movement, walk analysis.
Investigación
Análisis Gráfico del Movimiento Humano para Detectar Alteraciones Biomecánicas
Graphical Analysis of Human Movement to Detect Biomechanical Alterations

Recepción: 16 Noviembre 2018
Aprobación: 06 Mayo 2019
Durante el movimiento humano se pueden producir diversas anomalías biomecánicas, las cuales pueden pasar inadvertidas para las personas, y podría generar dolor y, a veces, enfermedades graves. Existe una amplia variedad de problemas biomecánicos y corresponde al campo de la ortopedia y la fisioterapia el diagnóstico y el tratamiento correspondiente. No obstante, varios campos como la medicina, la robótica y los gráficos por computadora han contribuido a detectar disfunciones del movimiento humano, produciendo algunos resultados positivos como la reproducción de caminatas bípedas aplicadas a robots (Ha 2008, Semwal 2013), videojuegos que detectan movimiento (Lange 2012), prótesis humana (Contreras 2012). Este tipo de análisis ha sido posible debido a la biomecánica, que describe, analiza y prueba el movimiento humano, utilizando cinemática y cinética (Winter 2009). En medicina, muchos de estos estudios han proporcionado datos para determinar problemas en el movimiento humano y, por lo tanto, ayudar al especialista médico a realizar un diagnóstico preciso. En el área deportiva, se pueden predecir las lesiones para desarrollar métodos que mejoren el rendimiento del movimiento para buscar un aumento de la competencia del atleta.
El análisis del cuerpo humano en gráficos por computadora ha tenido relevancia en campos como el entretenimiento (videojuegos, películas) y la medicina. En este artículo, proponemos una metodología para analizar el movimiento humano tomando datos con una cámara de video y utilizando gráficos de computadora. El análisis se centró en las extremidades inferiores, colocando marcadores en las articulaciones, para medir los movimientos de rotación y traslación. Nuestra motivación es ayudar al especialista médico a detectar problemas en la biomecánica del movimiento humano.
La obtención de los datos necesarios para el análisis del movimiento se realiza a través del video, los videos obtenidos se procesan mediante software libre para dar seguimiento y obtener las posiciones de los marcadores corporales, y usando un sistema propio desarrollado en el lenguaje de programación C++ y OpenGL, realizamos los cálculos para obtener las mediciones de ángulos y momentos de torsión automáticamente. El estudio se compone de 3 bloques principales: captura y procesamiento de video, generación de aproximación virtual tridimensional y la cuantificación del movimiento.
Captura y procesamiento de video: para la captura de video, se realizaron pruebas con una cámara de ultra alta velocidad Fastcam SA3 de la marca Photron (Photron), con una resolución de hasta 60,000 cuadros por segundo (FPS, por sus siglas en inglés) la cual nos proporciona una mayor calidad de imagen y cantidad de FPS comparada con una cámara convencional tipo reflex o una de alta velocidad, las cuales llegan a tener hasta 60 y 84 FPS respectivamente. En las tomas se consideraron dos tipos de experimentos:
1) Movimientos sin desplazamiento: los cuales consisten la realización del levantamiento de rodillas y la realización de sentadillas (Figura 1a y 1b.)

2) Movimientos con desplazamiento: en este caso los movimientos consistieron en un trote lento y en un trote a mayor velocidad (Figura 2a y 2b.)

El objetivo de la captura de los datos es el de recolectar la información que proviene de los marcadores coloca en las personas. En el proceso se generan curvas debidas al movimiento. El análisis incorpora ecuaciones matemáticas que ayudan a completar la información incompleta debida a la oclusión de los marcadores. El procesamiento de los videos se divide en tres partes: seguimiento de marcadores, obtención de posiciones de los marcadores y reconstrucción de curvas.
Seguimiento de marcadores: para poder realizar el seguimiento de los marcadores, Whittle (2007) propone calibrar la cámara a través de la medición de longitudes conocidas dentro de la toma. En las pruebas de movimiento sin desplazamiento se toma como referencia la cuadrícula que se encuentra detrás del sujeto de estudio (Figura 1). En las pruebas de movimiento con desplazamiento, se utilizaron marcadores en el suelo para especificar las distancias de recorrido y de distancia de la cámara al sujeto de estudio, esto último con el fin de evitar la distorsión radial generada por el lente (Figura 3). En el software libre Kinovea (www.kinovea.org), se realiza la representación de esas distancias por medio de líneas, a las cuales se les asignará valores de acuerdo a las mediciones realizadas previamente en los experimentos. Posteriormente se procede a identificar los marcadores dentro de la imagen y mediante el software Kinovea se seleccionan aquellos para realizar el seguimiento.

Obtención de posiciones de los marcadores: para obtener las posiciones bidimensionales (x,y) de los marcadores por cada cuadro, se procede a exportar los datos generados a partir del seguimiento realizado previamente. Esta información se guarda en un archivo de texto para su posterior uso.
Reconstrucción de curvas: en el análisis de las imágenes, se debe de tomar en cuenta la perdida de información debida a la oclusión de los marcadores, el problema de la oclusión ocurre en el experimento con desplazamiento, en donde los marcadores de una pierna eran tapados (ocluidos) por la pierna más cercana al lente y que trae como consecuencia que las curvas generadas se corten. Para corregir este problema, se recurrió a realizar interpolaciones mediante las Curvas de Bézier (Fernandez-Jambrina 2018), con las cuales se pueden reconstruir curvas complejas a través de puntos de control, anteriores y posteriores a la oclusión. Se pueden representar curvas polinómicas de grado n con la ecuación (1).
(1)donde los coeficientes ci son puntos del plano, a los cuales se les denomina vértices del polígono de control, {c0, ⋯ , cn} de la Curva de Bézier ci(t) y (t) es el i-ésimo polinomio de Bernstein de grado n. Con la ecuación (1) se puede calcular la curva resultante o interpolada, pero se necesitan los vértices del polígono de control ci para poder obtenerla, los cuales no se conocen; para tal efecto, se parte del hecho que existen n + 1 puntos de una curva que se conocen (posiciones de los marcadores), digamos {a0, ⋯ , an}. Entonces el problema se reduce a encontrar los puntos de control de la curva de grado n que verifique la siguiente condición:
(2)Lo que en notación matricial correspondería a 𝔹ℂ = 𝔸, donde 𝔹 es la matriz de los valores de los polinomios de Bernstein en t0, ⋯ , tn; ℂ y 𝔸 son las matrices que corresponden a los vértices de control y los puntos conocidos respectivamente. Lo que se reduce a resolver el sistema determinado con solución única:
ℂ = 𝔹-1 𝔸 y cuyos datos de resultado se utilizan en la ecuación (1) (De Leva 1996). De esta forma, se pueden “rellenar” los espacios donde hubo pérdida de información original, obteniendo con esto ciclos de marcha completos para ambas piernas.
Para crear la aproximación virtual de la marcha, el proceso se divide en dos partes importantes: procesamiento de posiciones y generación de simulación 3D.
Procesamiento de posiciones: consiste en realizar el cálculo automático de ángulos de las secciones de la pierna, que corresponderán a las mismas secciones que se tendrá en el modelo 3D. Este cálculo de ángulos, se realiza considerando los puntos en el plano obtenidos del archivo de texto generado en el procesamiento de video, que son la representación de la posición de los marcadores en cada una de las imágenes del video. Se procede a calcular las traslaciones y rotaciones de cada una de las secciones generadas por los puntos cadera-rodilla, rodilla-tobillo y tobillo-metatarso, en cada una de ellas. Para las traslaciones, solo se considera el punto de la cadera, que es el punto raíz de la pierna. Los cálculos de cada sección se realizan de la siguiente manera:
• Sección cadera-rodilla: se calcula el ángulo de rotación con respecto al eje y.
• Sección rodilla-tobillo: Se calcula el ángulo de rotación, considerando la dirección de la sección cadera-rodilla, como el eje y de rotación y el origen en el punto de la rodilla.
• Sección tobillo-metatarso: Se calcula el ángulo de rotación, considerando la dirección de la sección rodilla-tobillo, como el eje y de rotación y el origen en el punto del tobillo.
Una vez concluido el proceso, se genera un archivo con la información de las rotaciones de cada segmento y traslaciones de la cadera por cada imagen.
Generación de simulación 3D: la animación tridimensional, se genera con ayuda del programa Blender (Blender), en el cual ya se tiene un modelo 3D generado con anterioridad, por medio del programa Makehuman (Makehuman). La facilidad que nos da este proceso, es poder exportar cualquier modelo 3D, tratándose de apegar a las especificaciones físicas del sujeto de estudio, es decir, considerar características de estatura, longitud de extremidades, dimensiones corporales, por mencionar algunas.
Dentro del programa Blender, se creó un script en el lenguaje de programación Python, encargado de generar automáticamente la animación del modelo 3D a partir de la información creada por el procesamiento de posiciones. Esta tarea, toma la información de la traslación del punto de la cadera sobre un plano 2D y lo aplica sobre su punto correspondiente en el espacio 3D, en este caso, la representación de la articulación. De la misma forma, las rotaciones de las secciones de la pierna, se aplicarán a sus respectivas secciones (huesos) de la armadura (esqueleto) del modelo (Figura 4).
La animación puede ser generada 1 a 1, lo que significa que, dependiendo del número de información por imagen obtenida, se crean imágenes clave (keyframes) para generar la animación. De la misma forma, si se quiere generar una animación con menos información por imágenes, también es posible; es decir, se puede generar una animación con 200 imágenes por segundo, contando tan solo con información de 50 imágenes clave, la interpolación se obtiene automáticamente al generarse la animación. Una vez que la animación esta lista, se procede a exportar a archivo MD5 (Katsbits 2015) con las extensiones .anim y .mesh (Henry 2005), estos contienen los datos de la formación del esqueleto y sus posiciones por imagen y la información de la malla que cubre el esqueleto respectivamente. Esta información se carga en el sistema creado en C++ y OpenGL para recrear la animación generada en Blender previamente, obteniendo así la aproximación virtual.
La cuantificación del movimiento se ha dividido en dos partes: Obtención de gráficas de comportamiento y desplazamientos, y el cálculo de ángulos y momentos de fuerza.
Obtención de gráficas de comportamiento y desplazamientos: las gráficas de comportamiento, se calculan tomando como base la información obtenida a partir de los archivos de posiciones bidimensionales al procesar el video. Para obtener las gráficas de las pruebas de movimiento con desplazamiento, primero se tiene que validar la continuidad de los datos, es decir, comprobar que no haya pérdida de información debido a la oclusión y de ser así, aplicar la reconstrucción de datos como se vio anteriormente (Véase sección de Reconstrucción de curvas).
Los desplazamientos generados durante el movimiento, también se obtienen a partir de los datos del archivo de posiciones. En primera instancia se determina el punto de origen, en este caso la posición inicial representada por el marcador en la articulación a analizar; se genera la gráfica de comportamiento y posteriormente se determinan los desplazamientos máximos, ya sean laterales (valor máximo y mínimo en el eje x) o superior e inferior (valor máximo y mínimo en el eje y). Estos valores sirven como referencia para determinar posibles problemas en las realizaciones de los movimientos.
Cálculo de ángulos y momentos de fuerza: el cálculo de ángulos, se realiza considerando el modelo de segmentos usado por Chowdhury y Kumar (Chowdhury 2013), con base en los puntos de las articulaciones de la cadera, rodilla, tobillo y quinto metatarso que se obtuvieron de los archivos MD5. En cada segmento se tienen las siguientes consideraciones para obtener los ángulos:
• Segmento Cadera-Rodilla: El ángulo de apertura se calcula con respecto al vector con origen en el punto de la cadera y dirección negativa en el eje y.
• Segmento Cadera-Rodilla y Rodilla- Tobillo: El ángulo de apertura se calcula considerando los vectores generados por los segmentos Cadera- Rodilla y Rodilla-Tobillo, ambos con origen en la rodilla y dirección hacia la cadera y tobillo respectivamente.
• Segmento Rodilla-Tobillo y Tobillo- Metatarso: El ángulo de apertura se calcula considerando los vectores generados por los segmentos Rodilla- Tobillo y Tobillo-Metatarso, ambos con origen en el tobillo y con dirección hacia la rodilla y metatarso respectivamente.
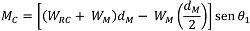
Para el cálculo de momentos de fuerza, nos basamos en el modelo de segmentos utilizado por Chowdhury y Kumar (Chowdhury 2013), el cual propone descomponer la pierna en segmentos correspondientes a las secciones cadera- rodilla, rodilla-tobillo, tobillo- metatarso (Figura 5).

Mediante esta separación por segmentos de la pierna, se pueden realizar los cálculos de los momentos de fuerza, utilizando física newtoniana. El momento de fuerza con respecto a un origen (Beer 2007), viene dado por la ecuación:
(3)Donde:
• M0es el momento de fuerza con respecto al origen O, en newton-metros (Nm).
• 𝑑 es el modulo vector de posición, en metros (m).
• 𝑊 es el modulo vector fuerza, en newton (N), para este estudio es el peso de la sección del cuerpo.
• 𝜃 es el ángulo entre el vector fuerza y el vector de posición.
Con estas ecuaciones, podemos calcular los momentos de fuerza que se aplican sobre cada articulación, calculada por segmentos por cada imagen del video, teniendo:
Segmento Cadera -Rodilla
(4)
(5)Segmento Rodilla - Tobillo
(6)
(7)Segmento Tobillo – Metatarso:
(8)
(9)Siendo:
• M0 : Momento de la cadera.
• MR1: Momento de la rodilla del segmento cadera-rodilla.
• MR2 Momento de la rodilla del segmento rodilla-tobillo.
• MT01 Momento del tobillo del segment rodilla-tobillo.
• MT02 Momento del tobillo del segment tobillo-metatarso.
• MQM Momento del quinto metatarso.
• 1 Ángulo de las fuerzas en el segmento cadera-rodilla.
• 2 Ángulo de las fuerzas en el segmento rodilla-tobillo.
• 3 Ángulo de las fuerzas en el segmento tobillo-metatarso.
• 𝑊RC, 𝑊M, 𝑊Ti, 𝑊p : Los pesos del resto del cuerpo, muslo, tibia y pie respectivamente.
• 𝑑M , dTi , 𝑑p : Las distancias longitudinales del muslo, tibia y pie respectivamente.
Los resultados obtenidos en el presente trabajo están englobados en una metodología de análisis de la marcha, que incluye el uso de software libre y la creación de un sistema principal codificado con el lenguaje de programación C++ y la biblioteca gráfica OpenGL. Este software resultante, sirve como conexión para interactuar entre los procesos de la metodología, para procesar el envío y recibimiento de información, tal y como se describe en la sección anterior. Las curvas de Bézier muestran los datos en modo gráfico. La Figura 5 ilustra estas curvas de las piernas, fijando los puntos 2D ocluidos.

Los puntos en amarillo representan la posición x, y de los marcadores que se utilizan en la ecuación (2) para crear los puntos de control en gris, que se usan en la ecuación (1) para calcular la interpolación donde hay una falta de información. Se implementó un script de Python en Blender para cargar el archivo de texto con la información del ángulo que se organiza de la siguiente manera:
* Identificación de la pierna.
Ø Numero de imagen.
§ Posición x, y, z.
§ Ángulos de rotación en x, y, z para el segmento cadera-rodilla.
§ Ángulos de rotación en x, y, z para el segmento rodilla-tobillo.
§ Ángulos de rotación en x, y, z para el segmento tobillo-metatarso.
El programa principal fue la codificado en C++ utilizando los gráficos API OpenGL. Este programa carga el archivo de información, genera el archivo de ángulo que se usará en Blender para crear la animación 3D; para cargar los archivos MD5 con los datos generados previamente, se calculan los ángulos y el momento.

La Figura 6 ilustra la marcha comparativa, en el mundo real y virtual. La cuantificación del movimiento se puede obtener a partir de los datos generados en el procesamiento de video y otras operaciones de la animación. La parte superior del cuerpo se mantiene estática, ya que solo trabajamos con la parte inferior del cuerpo.
En el primer ejercicio, relacionado con las rodillas superiores, la inspección ocular podría identificar el movimiento generado, pero la comparación entre las dos piernas no puede ser precisa. La Figura 7 (a) muestra las curvas generadas con los marcadores de la rodilla y el tobillo de la pierna izquierda. Ambas articulaciones hacen un desplazamiento a la parte interna de la pierna cuando tiene lugar la elevación; luego, cuando baja, el movimiento se realiza hacia la región exterior hasta que se alcanza la posición inicial. La Figura 7 (b) ilustra las curvas de la pierna derecha, el desplazamiento en la rodilla corre más rápido y el desplazamiento en el tobillo es más estrecho.

La Tabla 1 muestra los desplazamientos máximos en las articulaciones de ambas piernas sobre el eje x, tomando como origen la posición inicial de las piernas.
En la Figura 8, se muestran las curvas de articulación de ambas piernas; La curva de la pierna derecha describe una curva más ancha en la rodilla y ambas curvas se cruzan entre sí. La curva del tobillo izquierdo es más estrecha y tiene una dirección de fusión hacia la parte interna de la pierna.

Si este comportamiento está pasando a la marcha, es probable que la persona muestre características particulares durante el movimiento de desplazamiento, específicamente en la cadera.

En el segundo ejercicio, el movimiento sin desplazamiento, la curva de la rodilla, cuando baja Figura 9 (a), muestra un movimiento hacia la parte externa y luego hacia la parte interna. Al mismo tiempo, el tobillo describe una curva hacia la parte interior. Luego, cuando sube Figura 9 (b), las rodillas y los tobillos se desplazan a la parte exterior. Toda la acción forma una curva cerrada.

Las curvas de comportamiento del movimiento al hacer sentadillas, dan información sobre los desplazamientos. En la Figura 10 (a), el punto inicial se muestra en naranja, y los desplazamientos en la rodilla izquierda producen un bucle en el rango de 6 cm “hacia fuera” (desplazamiento exterior) a 3 cm “hacia dentro” (desplazamiento interior), con respecto al punto inicial del movimiento. La rodilla derecha presenta un desplazamiento menor, como se puede ver en la Tabla 2. En el caso de los tobillos (Figura 10 (b)) el desplazamiento solo se presento hacia la parte interior, por ejemplo, en la gráfica el desplazamiento del tobillo izquierdo empieza desde el punto -0.16 y terma en el punto -0.14, teniendo por lo tanto un desplazamiento de 2 cm. El desplazamiento del tobillo derecho también fue de 2 cm.

La Tabla 2 muestra los desplazamientos máximos en las articulaciones de ambas piernas sobre el eje x, cuando se realizan sentadillas, tomando como origen la posición inicial de las piernas.

En el movimiento de desplazamiento, los diferentes patrones de cadera, rodilla, tobillo, quinto metatarso y primer dedo se ilustran en la Figura 11. Las gráficas corresponden al desplazamiento denominado trote a velocidad media (como referencia ver figuras 2b y 6b).

La cadera y la curvatura de rodilla muestran una curva sinusoidal, mientras que las otras curvas muestran una curvatura aumentada para lograr un pico, y luego disminuir. Las dos últimas curvas, el quinto metatarso y el primer dedo del pie son similares.
Las fuerzas de un hombre de 85 kg con medidas antropométricas se detallan en la Tabla 3.

Los valores de la tabla 3, permiten calcular los momentos de fuerza para las articulaciones consideradas, los resultados se muestran en la Tabla 4.

Cada pose tiene un comportamiento de fuerza específico. La etapa de apoyo se realiza con el talón, la pierna extendida, la fuerza de reacción o el impacto (flecha roja) sobre la cadera es grande debido al peso aplicado en dicho punto (flecha verde), Figura 12 (a). En la postura 2, Figura 12 (b), los pares de torsión se reflejan no solo en la cadera, sino también en el quinto metatarso, aumentando sus valores de 17.99 Nm (postura 1) a -106.05 (postura 2) Nm, llegando a la etapa de soporte de marcha media, el signo menos indica un cambio en la dirección del momento. La etapa final de soporte se lleva a cabo en la postura 3, el mayor torque se logra en la rodilla, soportando la mayor parte del peso corporal, seguido por el quinto metatarso. En la postura 4, la rodilla aporta la mayor parte del torque de la pierna, como resultado de la etapa de pre-oscilación, donde se determina la etapa de soporte y se encuentra un soporte bípode en ambas piernas, lo que disminuye el torque de todas las articulaciones . Estos valores, ángulos de segmento y pares, pueden ayudar al especialista a determinar movimientos anormales.

En esta investigación se han propuesto problemas en el campo que pueden ayudar a los médicos especialistas a tener un diagnóstico más preciso. El análisis de la grabación de video, ayuda a mejorar la percepción del movimiento humano y permite reproducir dicho movimiento para detectar comportamientos imposibles de apreciar con una vista simple. El seguimiento de marcadores puede ayudar a reproducir las imágenes 2D en un entorno virtual 3D. Los ángulos y los momentos de las medidas de torsión ayudan a validar el rendimiento del movimiento y ayudan a identificar las regiones específicas afectadas. Los experimentos se realizaron con una cámara y una computadora portátil, una fuente más barata en comparación con la fuente médica necesaria para realizar este tipo de análisis. El paquete de captura de movimiento es comúnmente requerido. Este artículo alienta a las personas a realizar el análisis de sus movimientos para detectar movimientos anormales. La inspección ocular no puede darnos la información requerida para detectar problemas físicos. Las curvas mostradas en esta investigación brindan mucha más información para hacer un diagnóstico más preciso. Los ángulos obtenidos entre los segmentos de las articulaciones pueden indicar movimientos anormales.
Proponemos una metodología para el análisis de la marcha humana, con las herramientas principales que tienen la captura de video, el uso de marcadores corporales para colocarlos en algunas articulaciones de la parte inferior con el fin de obtener información que ayude al especialista y, por lo tanto, tener más información para un mejor diagnóstico. Las herramientas computacionales fueron un programa de C++, ecuaciones biomecánicas y gráficos de computadora; por lo tanto, los datos se procesan para crear la simulación 3D y medir algunos parámetros de los movimientos. La información se cuantifica en dos etapas: generación de movimientos gráficos y ángulos, y cálculo del torque. Se puede generar más gráficos de movimiento; como el paso del pie con respecto al tiempo para obtener los tiempos en cada etapa de la marcha. Otra curva puede mostrar los ángulos con respecto al tiempo para identificar patrones de comportamiento y determinar la salud del paciente.
Nota: Este artículo de investigación es parte de Ingeniería–Revista Académica de la Facultad de Ingeniería, Universidad Autónoma de Yucatán, Vol. 23, No. 2, 2019, ISSN: 2448-8364















