Investigación
Caracterización probabilística de las lluvias en la ciudad de Mérida, Yucatán.
Probabilistic characterization of rainfall in the city of Mérida, Yucatán.
Caracterización probabilística de las lluvias en la ciudad de Mérida, Yucatán.
Ingeniería, vol. 23, núm. 2, pp. 68-87, 2019
Universidad Autónoma de Yucatán

Recepción: 01 Marzo 2019
Aprobación: 16 Mayo 2019
Resumen: El objetivo de este trabajo es el estudio de la intensidad y duración de la precipitación pluvial en la ciudad de Mérida, Yucatán. Se usaron datos provenientes de dos estaciones meteorológicas. El análisis se realizó con la precipitación acumulada diaria o altura diaria máxima en mm para el periodo de 1997 a 2016, y 56 precipitaciones ocurridas durante los meses de julio a octubre en el período 2013 a 2018, con mediciones de altura en mm cada 10 min. Se calcularon la probabilidad de precipitaciones (en mm/24 h) para períodos de retorno teóricos, la duración de las precipitaciones en horas y la intensidad en mm/h a partir de datos de acumulación por evento y en períodos de 10 min. Se estimaron los parámetros de las distribuciones Weibul, Gamma y Lognormal (dos y tres parámetros). Se exploraron modelos bivariados de cópula y normales. Los modelos independientes se seleccionaron usando pruebas de bondad de ajuste, criterios de Akaike y Bayesiano. Para los modelos bivariados se usó la prueba H-Royston. Los análisis se hicieron con R-Project y Statgraphics. Las precipitaciones máximas para tiempos de retorno con P>0.01, son en el orden de 183.36 mm/24 h (Gamma), 204.96 mm/24 h (Lognormal) y 217.99 mm/24 h (Lognormal con tres parámetros). La duración de las lluvias y su intensidad (mm/h) se pueden ajustar a los modelos Weibull, Gamma, y Lognormal. Los modelos de copula (Gamma-Lognormal) y el modelo bivariado-normal (Log-variables) permiten calcular probabilidades conjuntas duración-intensidad. Los resultados obtenidos sugieren el uso de modelos univariados para efecto de diseño urbano, no obstante, se debe explorar la sensibilidad de los modelos utilizados.
Palabras clave: Precipitación, Mérida-Yucatán, Modelos estocásticos, diseño urbano.
Abstract: The objective of this research is to characterize, through stochastic models, duration and intensity of rainfall in the city of Mérida, Yucatán. Data from two meteorological stations were used, which were: accumulation or maximum daily height in mm, from 1997 to 2016, and 56 precipitations occurred during the months of July to October in the period 2013 to 2018, with measurements of height in mm every 10 min. The probability of precipitation (in mm/24 h) for theoretical return periods, the duration of rainfall in hours and the intensity in mm/h from data of accumulation by event and in periods of 10 min were calculated. The parameters of the Weibull, Gamma and Lognormal distributions (two and three parameters) were estimated. Copula and normal bivariate models were explored. Independent models were selected using goodness of fit tests, as well as Akaike and Bayesian criteria. For the bivariate models, the H-Royston test was used. The analyzes were done with R-Project and Statgraphics. The maximum precipitations for return times with P>0.01 are around 183.36 mm/24 h (Gamma), 204.96 mm/24 h (Lognormal) and 217.99 mm/24 h (Lognormal with three parameters). The duration of the rainfall and its intensity (mm/h) can be adjusted to the Weibull, Gamma, and Lognormal models. The copula models (Gamma-Lognormal) and the bivariate-normal model (Log-variables) allow calculating joint duration-intensity probabilities. With the data used and for urban design effect, the use of univariate models and the probing of their sensitivity is suggested.
Keywords: Precipitation, Mérida-Yucatán, stochastic models, urban design.
Introducción
La precipitación pluvial en las áreas urbanas es uno de los elementos a considerar en el diseño de instalaciones para la gestión y manejo de escurrimientos, inundaciones y otros eventos no deseables derivados de fenómenos meteorológicos periódicos o esporádicos y que afectan la funcionalidad de la infraestructura.
Una rama de la ingeniería hidrológica e hidráulica se ha orientado al estudio de la precipitación pluvial con el objeto de brindar el conocimiento necesario para obtener diseños urbanos seguros y eficientes que minimicen la problemática que puede originarse de las tormentas o precipitaciones pluviales copiosas; una de las herramientas utilizadas es la llamada lluvia de diseño o precipitación de diseño que se calcula a partir de observaciones de la profundidad de la lluvia (cantidad de lluvia acumulada en mm o pulgadas en un período de tiempo), la duración de la lluvia en horas, y la frecuencia de ocurrencia de ambas características de las lluvias en períodos de tiempo generalmente anuales, o de la intensidad (definida, según Chow et al. 1994 como la tasa temporal de precipitación; o sea, la profundidad por unidad de tiempo ), duración y frecuencia de las lluvias (Jun et al. 2017, Domínguez et al. 2018).
Esta forma de diseñar usando criterios probabilísticos, es cuestionada con el argumento de que es una inferencia artificial y lejos de la realidad en “algunas condiciones”. Sin embargo, esta inferencia, adquiere sentido práctico ante la incapacidad de medir con precisión y de obtener la cantidad de mediciones necesarias (en espacio y tiempo) para calcular con modelos determinísticos continuos o discretos o elaborar inferencias teóricamente correctas en el ejercicio del diseño de obras hidráulicas urbanas, o de áreas de interés para la práctica de la ingeniería o la intervención humana (Yoo et al., 2016, Vargas et al. 2011, Iñiguez- Covarrubias et al. 2011).
En los últimos años se ha incrementado la capacidad de medición de los fenómenos pluviales y también las capacidades de procesamiento de observaciones, de manejo de datos y de cálculo; esto ha derivado en un incremento considerable de estudios de la precipitación pluvial en todo el mundo y también en México (Delgado et al. 2011, Palynchuc y Guo 2011, Jun et al. 2017, Domínguez et al. 2018), existen también estudios y publicaciones que permiten el cálculo de las precipitaciones de diseño en la ciudad de Mérida (García 2001, Manzano et al. 2014) y contribuciones que apuntan a la necesidad de usar técnicas novedosas de gestión e interpretación de datos que permitan aprovechar fuentes paralelas a las que cotidianamente se usan para la lectura científica de la realidad (Vázquez 2018).
El objetivo de este trabajo es el estudio de la intensidad y duración de la precipitación pluvial en la ciudad de Mérida, Yucatán, mediante el uso de modelos estocásticos basados en observaciones locales de precipitación pluvial y su aplicación para cálculos de precipitaciones de diseño.
Metodologia
El período de retorno (T) de un evento es la cantidad de tiempo para la cual la probabilidad de ocurrencia del evento se distribuye uniformemente en los periodos (comúnmente años) que componen dicha cantidad de tiempo. También, puede entenderse el período de retorno como el lapso de tiempo promedio que separa dos eventos de la misma magnitud. Este concepto se usa en el análisis de riesgo en ingeniería; si eventos, como la precipitación máxima que ocurre durante un año, no están correlacionados con la precipitación máxima que ha ocurrido durante años adyacentes (huracanes, por ejemplo), entonces la probabilidad de ocurrencia de un evento de magnitud 𝑋 o mayor a (XT) durante un tiempo T es
(1)Y la probabilidad de que no se presente el evento 𝑋 en ese período es (1 − P). Los detalles pueden consultarse en Aparicio-Mijares (1992).
Estos razonamientos se pueden aplicar a dos eventos o más, que tienen distribuciones conjuntas o que están correlacionados de tal manera que las distribuciones de probabilidad individuales (marginales) se pueden asociar mediante modelos de “copula” o bivariados. Las cópulas son una herramienta útil para obtener modelos multivariados en campos donde la dependencia probabilística tiene importancia y la normalidad multivariada es cuestionable; en hidrología los modelos de cópula se han vuelto populares, particularmente para abordar problemas de diseño urbano (Yan 2007).
Los datos utilizados en este trabajo proceden de las estaciones meteorológicas de la Universidad Autónoma de Yucatán (FIUADY), ubicada en la latitude 21.048773°, longitud -89.642857° y a una altura 11 msnmm; y del CINVESTAV- Mérida, ubicada en la latitud 21.019°, longitud -89.635° y a una altura 7 msnmm, ambas situadas al norte de la ciudad de Mérida Yucatán.
Los datos de la estación meteorológica del CINVESTAV-Mérida son series de precipitación máxima diaria acumulada en 24 horas y comprenden solamente las precipitaciones máximas anuales durante el periodo comprendido entre 1997 y 2016. Los datos de la estación meteorológica de la FIUADY son mediciones de profundidad (precipitación acumulada) en mm cada 10 min durante los períodos de mayor precipitación pluvial (julio-agosto-septiembre-octubre) de los años 2013, 2015, 2016 y 2018. De los datos de la estación meteorológica de la FIUADY se obtuvieron y analizaron un total de 54 eventos de lluvias
En este trabajo se usarán las abreviaciones A24, A10 y Ap que corresponden a mediciones de precipitación acumulada en diferentes períodos de tiempo, en las siguientes líneas se aclaran los términos:
A24 = Mediciones, cada 24h, de la precipitación, en un pluviómetro
A10 = Mediciones de precipitación cada 10 min, en sitemas automatizados
Ap = Precipitación acumulada en una lluvia.
A = precipitación acumulada, altura o profundidad.
También es necesario aclarar que la intensidad, definida por Chow et al. (1994), es la tasa temporal de precipitación; esto es, la profundidad o acumulación de la precipitación por unidad de tiempo (mm/h), y ésta se expresa como:
Donde
i = intensidad de la lluvia
A = profundidad de la lluvia en mm o pulgadas
Td = duración de la lluvia en horas.
En este trabajo se utilizan dos mediciones de intensidad de lluvia:
(3)Donde
Ap = Precipitación acumulada en una lluvia
(4)Donde
A10 = Mediciones de precipitación cada 10 min, en sistemas automatizados
Los modelos probabilísticos que se usaron para representar la duración e intensidad de las lluvias fueron:
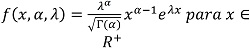
Distribución Gamma
(5)Donde
x = es la variable estudiada
= Gamma = Parámetro de forma
= Gamma = Parámetro de escala
Distribución Weibul
(6)Donde
x = es la variable estudiada
= Weibull = Parámetro de forma
= Weibull = Parámetro de escala
Distribución Lognormal
(7)Donde
x = es la variable estudiada
𝜇 = Media de log (x)
𝜎 = Desviación estándar de 𝑙𝑜g(x)
𝜋 = 3.1416
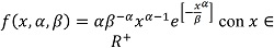
También se usó la distribución Lognormal con tres parámetros
(8)Donde
x = es la variable estudiada
𝜇 = Media de log (x)
𝜎 = Desviación estándar de 𝑙𝑜g(x)
𝜋 = 3.1416
= parámetro de ajuste o de umbral inferior
Los modelos probabilísticos se eligieron señalando el mejor ajuste a distribuciones probabilísticas teóricas; las pruebas de bondad de ajuste basadas en Kolmogorov-Smirnov, Cramer von-Mises y Anderson- Darling; se utilizó el Statgraphics Centurión 18 que permite la estimación de parámetros y de manera adicional y complementaria se hicieron pruebas de bondad de ajuste Cramer-von Mises y Anderson-Darling y los criterios de Aikaike y Bayesiano utilizando el programa fitinplus de R-PROJECT. (D’Angostino y Stephens 1986, Vallejos-Barra 2007, Delignette y Dutang 2015, Dellignnet-Muller 2018, Zetina et al. 2018). La elección de los modelos consideró los criterios de bondad de ajuste y el principio de “parsimonia”.
Se estudió la distribución probabilística multivariada de la duración e intensidad de las lluvias en la ciudad de Mérida, Yucatán, mediante modelos de “copula” y modelos de distribuciones probabilísticos multivaria-dos.
Una cópula es una distribución multivariada donde los marginales son todos uniformes sobre (0,1). Para un vector aleatorio pdimensional U sobre la unidad cúbica, una cópula C es:
(9)Combinando con el hecho de que cualquier variable aleatoria continua puede ser transformada a ser uniforme sobre (0,1) por su transformación de probabilidad integral, las cópulas se pueden usar para proveer una estructura de dependencia multivariada separada de las distribuciones marginales.
Sea F una función de distribución p-dimensional con marginales F1, ..., Fp. Sklar (1959) citado por Kajadinovic y Yan (2010), ha mostrado que entonces existe una cópula p-dimensional C tal que para toda x en el dominio de F:
(10)Yan (2007).
Para modelar “copulas” se utilizaron los programas: MASS, KernSmooth, sfsmisc, scatterplot3d, Rmpfr, bbmle, knitr, parallel, gridExtra, lcopula, mvnormtest, partitions, polynom, qrng, randtoolbox, rugarch, Runuran, tseries, VGAM, VineCopula y zoo del R-Project v.3.5.1 (Package‘copula’, http://copula.r-forge.r-project.org/Date/Publication 2017-09-01 11:33:14 UTC; Yan 2007, Kajadinovic y Yan 2010). En este trabajo se utilizaron un modelo de “copula” ellipCopula de la familia elíptica, normal, y distribuciones marginales gamma (dos gamma en el caso de duración-intensidad) y Lognormal (gamma y Lognormal en el caso de duración-precipitación acumulada). El parámetro de asociación se estimó con el coeficiente de correlación por rangos Kendall (Yan 2007, Jaramillo y Lozano 2014).
Para la modelación bivariada de duración e intensidad de las precipitaciones se utilizó el StatGraphics Centurión 18. Se asumieron distribuciones “Normales” de los logaritmos de la duración e intensidad de las lluvias y se realizaron los siguientes análisis: Análisis Multivariado, Prueba de Normalidad Multivariada (Prueba H de Royston) y Densidad Bivariable (Representación gráfica tridimensional). La estimación de la probabilidad de precipitaciones de mayor duración e intensidad, suponiendo un modelo bivariado se calculó usando el paquete “mvtnorm” de R-project. Los detalles se pueden consultar en Hothorn et al. (2001), Xuefei et al. (2009) y Genz et al. (2018).
En este análisis se usó el coeficiente de correlación de Pearson:
(11)Donde
Px,y = Coeficiente de correlación de Pearson
x,y = Covarianza de las variables x y 𝑦
x = Varianza de 𝑥
y = Varianza de y
Los resultados se presentan con los siguientes subtítulos:
-Precipitación máxima anual en mm/24 horas: 𝑨𝟐𝟒
-Duración de las lluvias
-Intensidad de la lluvia calculada a partir de 56 eventos de lluvia
-Análisis de la intensidad (𝒊𝟏0) de la precipitación estimada a partir de mediciones cada 10 min
-Análisis de la precipitación acumulada cada 10 min ( 𝑨𝟏0)
-Modelo copula con marginales gamma (duración) y Lognormal (Intensidad en mm/calculada de 𝒊𝒑)
-Análisis de probabilidades bivariadas utilizando las distribuciones marginales de la duración de las precipitaciones y la intensidad de lluvia 𝒊p.
Resultados
Precipitación máxima anual en mm/24 horas: A24
El modelo que presentó un mejor ajuste a los datos de precipitación máxima anual en mm para períodos de 24 horas fue el Lognormal con tres parámetros, las estimaciones de éstos se presentan en la Tabla 1.
En la Figura 1 se presenta el histograma de frecuencia de los datos de precipitaciones máximas y las distribuciones de probabilidad Gamma, Lognormal y Lognormal (3 parámetros).


Los resultados de las pruebas de bondad de ajuste indican que los modelos Gamma, Lognormal de 2 y 3 parámetros pueden representar de manera adecuada la precipitación máxima anual en 24 h; Los valores de Logverosimilitud para los modelos Gamma, Lognormal de 2 y 3 fueron: -87.46, -87.65 y -88.25 respectivamente. Los valores de probabilidad para la prueba Kolmogorov- Smirnov son para la distribución Gamma de 0.9288 y de 0.9840 y 0.9976 para los modelos Lognormal y Lognormal de 3 parámetros respectivamente. Las pruebas de Kolmogorov-Smirnov modificada, el estadístico Kuiper V, la pruebas de Cramer- Von Mises, la U2 de Watson y Anderson-Darling confirman este resultado con una P > 0.05.
Las precipitaciones máximas en 24 horas para probabilidades calculadas dado 𝑃 = y T con valores de 5, 10, 25, 50 y 100 años se presentan en la Tabla 2.
Duración de las lluvias
Se analizaron 56 lluvias con una duración entre 10 min (0.17 h) y 7 horas, la duración promedio es de 0.98 (Desviación estándar de 1.05). Los parámetros estimados para las distribuciones Gamma, Lognormal y Weibull se presentan en la Tabla 3. Las pruebas de bondad de ajuste (en Kolmogorov-Smirnov, Cramer von-Mises y Anderson-Darling) indican que cualquiera de las tres distribuciones puede servir para representar el fenómeno, pero el mejor ajuste se tiene con la Lognormal (Logverosimilitud = -47.36), la Logverosimilitud de las distribuciones Gamma y Weibull fueron de -51.91 y - 53.61, respectivamente.
La Figura 2 presenta el histograma de frecuencias de la duración de la lluvia en horas, así como las curvas de densidad de tres distribuciones de probabilidad.



Intensidad de la lluvia calculada a partir de 56 eventos de lluvia
La intensidad de la lluvia (𝑖p) presentó un mínimo de 0.08 mm/h, un máximo de 55.07 mm/h con un promedio de 8.23 mm/h. La Tabla 4 presenta las estimaciones de los parámetros de las distribuciones, Gamma, Lognormal y Weibull ajustadas a datos de intensidad de lluvia estimada a partir de los datos acumulados durante cada precipitación 𝑖p. Las pruebas de bondad de ajuste confirman que la variable puede modelarse con cualquiera de estas tres distribuciones; sin embargo la V-Kuiper sugiere que a un alfa =0.05 se puede rechazar la hipótesis de que 𝑖p procede de las distribuciones Gamma y la Weibull. El valor de la Logverosimilitud (-47.36>Gamma: -51.91 y Weibull: -53.61) también sugiere que la distribución Lognormal es más adecuada para modelar esta variable.
La Figura 3 presenta el histograma de frecuencias de la intensidad de la lluvia (𝑖p) así como las curvas de densidad de tres distribuciones de probabilidad.


Análisis de la intensidad (𝒊𝟏0) de la precipitación estimada a partir de mediciones cada 10 min
Se hicieron 326 mediciones de altura de la precipitación en intervalos de 10 min en la estación meteorológica de la FIUADY; con un mínimo de 1.47 mm/h y un máximo de 137.47 mm/h; el promedio fue de 8.80 mm/h (desviación estándar de 15.77).
Las pruebas de bondad de ajuste que arroja el Statgraphics Centurión 18 sugieren que las distribuciones Gamma, Lognormal y Weibull no son adecuadas para modelar esta variable. Los valores de Logverosimilitud son de -947.002, -1007.1 y 1022.48 para las distribuciones Lognormal, Weibull y Gamma respectivamente, por lo que se usaron estimaciones de los parámetros del modelo que de acuerdo a los criterios de Aikaike (menor) y Bayesiano (menor), representara de mejor manera el fenómeno, y entonces se usó un bootstrap con la finalidad de obtener mejores ajustes en las colas de las distribuciones teóricas y empíricas (Delignette 2018), los resultados se muestran en la Tabla 5. Estos criterios sugieren que el mejor ajuste se tiene con la distribución Lognormal (CIA: Lognormal 1898, Weibull 2018.2 y Gamma 2048.9) y Bayesiano = 750.3. En la Tabla 5 se presentan la mediana de los parámetros estimados, así como los cuantiles de 2.5% y 97.5%.
En la Figura 4 se presentan el histograma y las distribuciones de probabilidad estimadas para la variable i10.


Análisis de la precipitación acumulada cada 10 min (𝑨𝟏0)
Las precipitaciones en intervalos de tiempo de 10 min variaron entre 0.25 mm hasta 23.37 mm. Con un promedio de 1.49 mm (desviación estándar de 2.68).
Las pruebas de bondad de ajuste Statgraphics Centurión 18, sugieren que las distribuciones Gamma, Lognormal y Weibull no son adecuadas para modelar esta variable. Los valores de Logverosimilitud fueron de -369.377, -429.486 y -444.857 para las distribuciones Lognormal, Weibull y Gamma, respectivamente. Como en el caso de (i10) se usó bootstrap paramétrico para estimar los parámetros que permitieran un mejor ajuste de las colas de la distribución Lognormal seleccionada mediante los criterios CIA y Bayesiano.
La Figura 5 presenta el histograma de frecuencias de la precipitación acumulada (mm) en períodos de 10 min y las distribuciones de probabilidad.


Modelo copula con marginales gamma (duración) y Lognormal (intensidad en mm/calculada de 𝒊𝒑 ).
En la Figura 6 se presentan los contornos bivariados de las densidades y probabilidades para la cópula “normal” calculada con un coeficiente de correlación normal Kendall de 0.2933 (P=0.02), y parámetros de la distribución marginal Gamma (Duración, forma=1.42 y escala=1.51) y de la distribución Lognormal marginal (

Análisis de probabilidades bivariadas utilizando las distribuciones marginales de la duración de las precipitaciones y la intensidad de lluvia 𝒊𝒑
Los resultados de la prueba de Normalidad Multivariada H de Royston da como resultado un valor del estadístico de 5.828 con una P=0.0542 y esto permite inferir que no se puede rechazar la hipótesis de la existencia de una distribución multivariada de los logaritmos de la duración de la lluvia en horas y la intensidad de la lluvia en mm/h. En la Figura 7 se presenta una expresión gráfica de la prueba Anderson- Darling que corrobora este resultado.

Los parámetros de la distribución se presentan en la Tabla 6 y la matriz de correlaciones (ρ-Pearson) en la Tabla 7.


En la Figura 8 se muestra una representación gráfica de la distribución normal multivariada de los logaritmos de la duración de la lluvia en horas y la intensidad de la lluvia (𝑖p) en mm/h

Con esta distribución se puede calcular la probabilidad de que ocurra una lluvia de más de 2 horas con una intensidad (𝑖p) mayor de 100 mm/h, estos valores críticos arrojan P=0.2441. O con una duración mayor de 5 horas con una intensidad mayor de 50 mm/h P=0.053.
Discusión
En este trabajo se utilizaron los datos disponibles combinando mediciones de dos estaciones meteorológicas situadas en el norte de la ciudad de Mérida; en este sentido el trabajo es una aproximación de la que se pueden sugerir estrategias de medición experimentales para la precipitación pluvial, que respondan mejor a los problemas de diseño y análisis de riesgo en diversas áreas de ingeniería urbana.
El análisis de los datos y los resultados obtenidos en los cálculos de intensidad de la precipitación (mm/h) realizados con base en las diferentes mediciones de acumulación en intervalos de tiempo de 24 horas (tiempo constante y el mayor), eventos de precipitación (duración variable) y de 10 min (tiempo constante y menor), sugiere una interpretación cuidadosa de los cálculos de precipitación. El cálculo de la intensidad de lluvia, o acumulación en mm en una hora, tiene algunos supuestos, por ejemplo, la precipitación medida en 24 horas puede ser de un evento de lluvia, de dos, o de más de dos y cuya duración puede ser de apenas 10 min o menos; esto resulta en el cálculo de una intensidad de lluvia subestimada. Un análisis de los datos muestra que la intensidad de precipitación (mm/h) calculada a partir de datos medidos cada 24 horas tienen una media de 3.42, si se calcula a partir de la acumulación por evento de precipitación esta media es de 8.23 mm/h y si se calcula a partir de precipitaciones cada 10 min la media es de 8.80 mm/h.
La precipitación acumulada en períodos de 24 horas es información que permite abordar problemas relacionados a inundaciones en la ciudad, pero tiene limitaciones en aplicaciones de diseño que necesitan mediciones de fracciones de tiempo menores a una hora de precipitación. Esta problemática se ha resuelto en los diseños de ingeniería hidráulica mediante aproximaciones basadas en ecuaciones universales que se reconoce deben someterse a ajustes (Del Angel y Domínguez 2013). En la ciudad de Mérida los registros históricos de precipitaciones máximas, son mediciones realizadas cada 24 horas en pluviómetros; por otra parte, y de manera más reciente las mediciones se realizan en estaciones meteorológicas automáticas, y los períodos de medición se han estandarizado en 10 min.
El cálculo de intensidad de lluvia basado en los 56 eventos de precipitación que se usaron en este trabajo, son también estimaciones de intensidad de lluvia que permiten cálculos de una intensidad de lluvia promedio, de tal manera que cada estimación de la intensidad de lluvia: a) la basada en 24 h de precipitación b) la basada en acumulación cada 10 min o c) la basada en los 56 eventos de lluvia, puede servir para diseños hidráulicos distintos. Probablemente la intensidad de la lluvia acumulada en 10 min sea la medición de mayor utilidad con que se cuenta ahora para el diseño urbano, orientado a cálculos de caudales riesgosos para la infraestructura.
Este trabajo retoma el concepto de tiempo o período de retorno, que tendría alguna aplicación con datos de acumulaciones diarias; sin embargo, la idea del retorno no es aplicable a los demás datos y es mejor interpretarlos en función de la probabilidad de ocurrencia de un suceso como la duración de una lluvia y/o la intensidad (ip) o acumulación (A10), por ejemplo (Guilleland y Katz 2016). En este sentido las estimaciones de la probabilidad de ocurrencia conjunta de lluvias de una duración mayor a 2 horas con precipitaciones de más de 100 mm/ h realizadas considerando un modelo de cópula (P=0.2246), o un modelo normal bivariado (P=0.2441) son probabilidades que parecen muy grandes; por otra parte los marginales de la duración (mayores a 2 horas) son del orden de 0.032 dependiendo del modelo (Lognormal,) y las de una lluvia mayor a 100 mm/h del orden de 0.004 (modelo Lognormal), de manejarse la duración e intensidad como independientes la probabilidad de una lluvia mayor de 2 horas y más de 100 mm/h sería del orden de 0.0003.
Para efectos de diseño, la selección del modelo es de vital importancia debido a los niveles de riesgo que se elijan; en este sentido la relación de la duración e intensidad de los datos analizados es débil (R=0.18 y Kendall=0.29), de tal manera que puede ser de mayor utilidad manejar la duración e intensidad de manera independiente.
Este trabajo es en realidad una aproximación al uso de herramientas probabilísticas para la comprensión de los fenómenos de precipitación locales en la ciudad de Mérida, Yucatán. En correspondencia con diversos autores (Efron y Tibshirani 1994, Cooley 1997, Tichakis et al. 2011, Delignette-Muller and Dutang 2015) es razonable pensar que el uso de técnicas como bootstrap paramétrico para la estimación de los parámetros de las distribuciones proporciona robustez a la predicción de los modelos probabilísticos; sin embargo, es conveniente ampliar el estudio de la sensibilidad de los modelos univariados ante observaciones de eventos de precipitación extraordinarios, así como con intervalos de medición de las acumulaciones en períodos de tiempo menores a 10 min. La metodología probabilística que incluye el uso de cópulas, así como el de la distribución normal bivariada puede mejorarse sustancialmente si se usa una mayor cantidad de datos; de cualquier manera, este trabajo sugiere que la distribución normal bivariada resulta adecuada para modelar la duración e intensidad de las precipitaciones cotidianas en la ciudad de Mérida.
Conclusiones
Los modelos probabilísticos Gamma, Weibull y Lognormal (con dos y tres parámetros), son adecuados para modelar la duración de las precipitaciones en horas, la intensidad calculada para tiempos variables o intensidad calculada para períodos de 10 min y acumulación medida en períodos de tiempo de 10 min.
El uso de modelos bivariados obtenidos mediante cópulas o la distribución normal bivariada también permiten el cálculo de probabilidades conjuntas duración- intensidad.
Para efectos de uso de modelos probabilísticos en el diseño de la obra urbana es conveniente utilizar modelos independientes de duración e intensidad, aunque es necesario dar mayor fundamento a esta consideración analizando una mayor cantidad de datos y evaluando la sensibilidad de los modelos ante datos derivados de precipitaciones extraordinarias.
Agradecimientos
Al Dr. Sergio David Valdés Lozano por proporcionar los datos de la estación meteorológica del CINVESTAV-Mérida así como al personal de la estación meteorológica de la Facultad de Ingeniería de la Universidad Autónoma de Yucatán.
Referencias
Aparicio-Mijares F.J. (1992) Fundamentos de hidrología superficial. Editorial Limusa. México. ISBN 968-18-3014-8, 304 p.
Chow, V.; Maidment, D.; Mays, L. (1994) Manual de Hidrología Aplicada. Santafé de Bogotá, Colombia: Mc Graw-Hill. 584 p.
Cooley R.L. (1997) Confidence intervals for ground-water models using linearization, likelihood, and bootstrap methods. Ground Water 35: 869–880.
Delignette-Muller M.L. and Dutang C. (2015), fitdistrplus: An R Package for Fitting Distributions. Journal of Statistical Software, 64(4), 1-34.
Delignette-Muller M.L. and Dutang C. (2018), fitdistrplus: An R Package for Fitting Distributions. Paper accepted in the Journal of Statistical Software. https://cran.r-project.org/web/packages/fitdistrplus/vignettes/paper2JSS.pdf (01/Feb/2019)
Delgado Carranza, C., Bautista, F., Orellana Lanza, R. & Reyes Hernández, H. (2011), "Clasificación y zonificación agroclimática utilizando la relación precipitación evapotranspiración en el estado de Yucatán México". Invest. Geog. no.75 México. ISSN 2448-7279. http://www.scielo.org.mx/scielo.php?script=sci_arttext&pid=S0188-46112011000200005
Del Ángel M. y R. Domínguez. (2013). Ecuaciones ajustadas para el cálculo de lluvias máximas de corta duración. GEOS, Vol. 33, No. 2, pag. 332-349. https://ugm.org.mx/publicaciones/geos/pdf/geos13-2/ecuaciones-33-2.pdf
Domínguez, R., E. Carrizosa, G. E. Fuentes, M. L. Arganis, J. Osnaya y A. E. Galván-Torres (2018). Análisis regional para estimar precipitaciones de diseño en la república mexicana. Tecnología y Ciencias del Agua, [S.l.], v. 9, n. 1, p. 5-29, feb. ISSN 2007-2422. Disponible en: http://www.revistatyca.org.mx/ojs/index.php/tyca/article/view/1515. Fecha de acceso: 28 nov. 2018 doi: https://doi.org/10.24850/j-tyca-2018-01-01.
Efron B. and Tibshirani R.J. (1994). An Introduction to the Bootstrap. 1st edition. Chapman & Hall.
García-Sosa J. (2001). “Instalaciones hidráulicas y sanitarias en edificios”. Fundación ICA - Universidad Autónoma de Yucatán. ISBN 968-7508-88-4, 25 p.
Genz A., Bretz F., Tetsuhisa M. and M. Xuefei. 2018. Package‘mvtnorm’. https://cran.r-project.org/web/packages/mvtnorm/mvtnorm.pdf.
Gillelland E. and R. W. Katz (2016) extRemes 2.0: An Extreme Value Analysis Package in R. Journal of Statistical Software. August 2016, Volume 72, Issue 8. doi:10.18637/jss.v072.i08.
Gupta B.C. and I.Guttman (2013) Statistical and probability with applications for engineers and scientists. J. Wiley & Sons, Inc. ISBN 978-1-118-46404-5, 823 p.
Hothorn, T., Bretz F., A. Genz (2001). On Multivariate t and Gauss Probabilities. R News, 1(2):27–29, June 2001.
Íñiguez-Covarrubias, M., Ojeda Bustamante, W., Díaz Delgado, C., Mamadou Bâ, K. y Mercado-Escalante, R. (2011), "Análisis metodológico de la distribución espacial de la precipitación y la estimación media diaria" Revista Mexicana de Ciencias Agrícolas Vol.2 Núm.1 p. 57-69. http://hdl.handle.net/20.500.12013/1935.
Jaramillo-Elorza M.C., J.A. Lozano (2014). Construcción de Distribuciones Multivariadas con Marginales Dependientes Usando Cópulas en R. Revista Ciencia en Desarrollo, Vol. 5 No. 1 ISSN 0121-7488 – Enero-Junio de 2014, pp. 21-29
Jun, C., Qin, X., Gan, T.Y., Tung, Y-K., De Michele, C. (2017) Bivariate frequency analysis of rainfall intensity and duration for urban stormwater infrastructure design, Journal of Hydrology (2017), doi: http:// dx.doi.org/10.1016/j.jhydrol.2017.08.004.
Kajadinovic I., J. Yan (2010) Modeling Multivariate Distributions with Continuous Margins Using the copula R Package. Journal of Statistical Software. Volume 34, Issue 9. http://www.jstatsoft.org/.
Manzano-Agugliaro F., Zapata-Sierra A., F. Rubí-Maldonado (2014). Assessment of obtaining IDF curve methods for Mexico. Tecnología y Ciencias del Agua, vol. V, núm. 3, mayo-junio de 2014, pp. 149-158.
Márdero, S., Nickl, E., Schmook, B., Schneider, L., Rogan, J., Christman, Z., Lawrence, D. (2012) "Sequías en el sur de la península de Yucatán: análisis de la variabilidad anual y estacional de la precipitación". Investigaciones Geográficas, Boletín del Instituto de Geografía, UNAM ISSN 0188-4611, Núm. 78, 2012, pp. 19-33.
Palynchuc B.A. &Y.Guo (2011) A probabilistic description of rain storms incorporating peak intensities. Journal of Hidrology 409 (71-80). doi:10.1016/j.jhydrol.2011.07.040
Trichakis, I., Nikolos, I., Karatzas, G.P. (2011) "Comparison of bootstrap confidence intervals for an ANN model of a karstic aquifer response", Hydrological Processes, vol. 25, no. 18, pp. 2827-2836.
Vallejos-Barra O.S. (2007) Ajuste óptimo de la distribución Lognormal de tres parámetros en híbridos de populus. Revista Chapingo Serie Ciencias Forestales y del Ambiente 13(1): 29-32, 2007
Vargas, A., Santos, A., Cárdenas, E., Obregón, N. (2011) Análisis de la distribución e interpolación espacial de las lluvias en Bogotá, Colombia. Dyna, año 78, Nro. 167, pp. 150-158. Medellín, Junio, 2011. ISSN 0012-7353.
Vargas-Castañeda, G., IbáñezCastillo, L. A., Arteaga-Ramírez, R. (2015) Development, classification and trends in rainfall-runoff modeling. Ingeniería Agrícola y Biosistemas, 7(1), 5-21. doi: 10.5154/r.inagbi.2015.03.002.
Vázquez Z.M.A. (2018) Minería de datos para generación de reglas de tendencia de precipitación pluvial en el estado de Morelos. Ingeniería. Vol. 22, No. 2, 2018, ISSN: 2448-8364.
Xuefei M., Tetsuhisa M., T. Hothorn (2009) mvtnorm: New Numerical Algorithm for Multivariate Normal Probabilities. The R Journal Vol. 1/1, May 2009 ISSN 2073-4859.
Yan J. (2007) Enjoy the joy of copulas: with package copula. Journal of Statistical Software. October 2007, Volume 21, Issue 4. (http://www.jstatsoft.org/).
Yoo, C. Park, C., Jun C., (2016) Evaluation of the concept of critical rainfall duration by bivariate frequency analysis of annual maximum independent rainfall event series in Seoul Korea. J. Hydrol. Eng. 21 (1), doi: 10.1061/(ASCE)HE.1943-5584.0001259.
Zetina-Moguel C.E., Sánchez y Pinto I., González-Herrera R., Osorio-Rodríguez J.H., Barceló-Quintal I.D., Méndez-Novelo R.I. (2018) Modelación estocástica del nivel freático en pozos de la ciudad de Mérida, Yucatán, México. Ingeniería Vol. 22, No. 2, 2018, ISSN: 2448-8364.
Información adicional
Nota: Este artículo de investigación es parte de Ingeniería–Revista Académica de la Facultad de Ingeniería, Universidad Autónoma de Yucatán, Vol. 23, No. 2, 2019, ISSN: 2448-8364