Divulgación
Diseño y construcción de un polariscopio circular de bajo costo
Design and construction of a low cost circular polariscope
Diseño y construcción de un polariscopio circular de bajo costo
Ingeniería, vol. 23, núm. 2, 2019
Universidad Autónoma de Yucatán

Recepción: 29 Enero 2019
Aprobación: 20 Mayo 2019
Resumen: En este trabajo presentamos el diseño y construcción de un polariscopio circular para la medición de esfuerzos. Considerando el alto costo de una unidad comercial, se realizó el diseño con materiales de bajo costo y facilidad de obtención de manera local, siendo los elementos ópticos los únicos elementos que no fueron construidos en nuestro laboratorio. El equipo permite el análisis de probetas de hasta 150 mm de altura cargadas tanto a tensión como a compresión.
Palabras clave: fotoelasticidad, polariscopio, birrefringencia.
Abstract: In this paper we present the design and construction of a circular polariscope for stress measurement. Considering the high cost of a commercial unit, the design was made with low cost materials and easy to obtain locally, being the optical elements the only elements that were not built in our laboratory. The equipment allows the analysis of specimens up to 150 mm high loaded both tension and compression.
Keywords: fotoelasticity, polariscope, birefringence.
1. Introducción
La fotoelasticidad es una técnica gráfica, no destructiva, para realizar análisis de esfuerzos en materiales, la cual describe los cambios en las propiedades ópticas del material estudiado bajo deformación mecánica. Esta técnica está basada en la propiedad de birrefringencia, exhibida por muchos polímeros transparentes. La birrefringencia o doble refracción es una propiedad óptica que consiste en el desdoblamiento de un rayo de luz en dos rayos linealmente polarizados y perpendiculares uno del otro, de modo que el material aparenta tener dos índices de refracción. La magnitud de los índices de refracción en cada punto del material es directamente proporcional a la magnitud del esfuerzo en cada punto. Lo anterior se manifiesta en franjas de color visibles en el material bajo la aplicación de esfuerzo, las cuales pueden utilizarse para obtener el valor del mismo en los diferentes puntos del material (Phillisps 1998 y Dally et al. 1996).
El fenómeno de la fotoelasticidad fue observado por primera vez por David Brewster a principios del siglo XIX, y desarrollado subsecuentemente por (Coker y Filon 1931), (Frocht 1941) y (Jessop y Harris 1950). Algunas de las aplicaciones de la fotoelasticidad son la detección de fallas, análisis de esfuerzos residuales y de ensamblaje, pruebas de impacto, estereolitografía, dinámica de fracturas, modelos dentales (Peterson 1953 y Durelli y Riley 1965). Aunque los mejores materiales que exhiben propiedades útiles para la fotoelasticidad son los polímeros, también ha habido interés por el vidrio como sustancia de estudio (Aben 1993). Desarrollos recientes en el área de la fotoelasticidad incluyen el uso de métodos numéricos para el análisis fotoelástico (Magalhães et. al 2016), holografía digital fotoelástica (Thomas et. al, 2019), entre otros. Entre las ventajas de este método de análisis de esfuerzos podemos citar:
• Simplicidad de uso
• Costo relativamente bajo
• Se puede adaptar a investigaciones tanto estáticas como dinámicas
• Provee valores precisos de campo completo de la diferencia de esfuerzos principales
• Provee valores del esfuerzo normal principal en el perímetro del modelo
Por otro lado, las desventajas son:
• Requiere la elaboración de un modelo de la pieza bajo estudio
• Necesita cálculos tediosos para obtener los esfuerzos principales en puntos internos
• Poco práctico y costoso para el análisis de componentes muy grandes
2. Marco teórico
Al propagarse un haz de luz polarizada a través de un medio birrefringente de espesor d, éste se separa en dos componentes ortogonales que se propagan en los planos x e y, que son las direcciones de los esfuerzos principales en el punto considerado. Debido a los diferentes índices de refracción, existirá un retardo relativo entre ambos rayos que está dado por:
(1)siendo 𝑛x, 𝑛y los índices de refracción del material en los ejes principales. El cambio relativo en el índice de refracción es proporcional a la diferencia entre los esfuerzos principales x y y:
(2)siendo K el coeficiente óptico de deformación del material. Al combinar esta ecuación con la de retardo relativo obtenemos
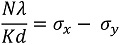
(3)Expresando el retardo relativo como una fracción de la longitud de onda, N , siendo N el orden de la franja, obtenemos:
(4)el cociente 𝑓 = se denomina valor de la franja y es una constante para cada material que se determina experimentalmente (Heymans 2013 y Robb et al. 2009).
3. Materiales y métodos
Para el presente trabajo se construyó un polariscopio circular con sistema de tensión/compresión manual integrado al mismo, el cual se compone de los siguientes elementos:
• Polarizadores lineales de 8 pulgadas
• Filtros de ¼ de onda de 8 pulgadas
• Sistema de compresión y tensión mecánica manual
• Fuente de luz blanca
• Base ajustable
El polariscopio circular se diferencia del plano en que se añaden un par de filtros de ¼ de onda entre el espécimen y los filtros polarizadores. La ventaja de un polariscopio circular es que se eliminan las isóclinas y solamente obtenemos las isocromas, con lo que ya no se tiene el problema de diferenciar entre ambos tipos de líneas.
La figura 1 muestra la configuración general del equipo y la figura 2 el detalle de la construcción. El uso de polarizadores y filtros de 8 pulgadas permite el análisis de muestras de hasta está magnitud, un tamaño suficiente para una gran variedad de aplicaciones.

4. Resultados y conclusiones
Para proceder a probar el equipo se construyó una probeta de resina epóxica transparente, ya que este material es de fácil acceso, bajo costo y presenta la propiedad de birrefringencia. Las medidas fueron de 25 mm por 100 mm y d = 8 mm de espesor, para lo cual se preparó primero un molde de silicón p-48 y posteriormente al secado se procedió a maquinar la pieza para dejarla de las dimensiones mencionadas y se le practicaron dos agujeros de 5 mm para colocar el dispositivo. Adicionalmente, se pulió para obtener un acabado completamente liso, lo cual permite una mejor definición de las franjas a observar. El pulido se realizó primero utilizando papel de lija de grados sucesivamente más finos hasta llegar al grado 2000, que es el más fino que se obtiene comercialmente, y posterior a eso aplicando polvo para pulir de 2.5 micrones.


La probeta se cargó a tensión para obtener los valores de fuerza y deformación que se muestran en la gráfica de la figura 3, de donde se determinó el orden de la franja como 1.06 y también se obtuvo el valor de la franja aplicando la ecuación (4) para obtener un valor de 83,600 N/m. Con esto queda caracterizado el material y se pueden realizar análisis de esfuerzos en probetas de la forma que se requiera fabricándolas en el material utilizado.
Como trabajo a futuro se considera añadir un sistema de captura y tratamiento digital de las imágenes para automatizar el proceso.
Agradecimientos
Al M.C. Pedro Poot por su valiosa cooperación en el trabajo de maquinado.
6. Referencias
Aben, H. (1993), "Photoelasticity of Glass", Berlin, New York : Springer-Verlag.
Binu, P. T., Annamala Pillai, S. & Narayanamurthy, C. S. (2019), Photoelastic digital holographic polariscope, Journal of Modern Optics.
Coker, E.G., and Filon, L.N.G. (1931), A Treatise on Photoelasticity, New York, Cambridge University Press.
Dally, J., W, R., & William, F. (1996), Experimental Stress Analysis. 429-432.
Durelli, A. J., and Riley, W. F. (1965), Introduction to Photomechanics, Englewood Cliffs, New Jersey, Prentice-Hall.
Frocht, M. M. (1941), Photoelasticity, New York, John Wiley & Sons, vol 1, 1941, vol 2, 1948.
Heymans, P. (2013), Photo-Elasticity and Its Application to Engineering Problems, Los Angeles, Hardpress publishing.
Jessop, H. T., and Harris, F. C. (1950), Photoelasticity: Principles and Methods, New York, Dover Publications, Inc.
Magalhães, P. A. A., Vieira, F. G., Magalhães, C. A., Ribeiro, J. S., and Ríos, I. G. (2016), Numerical method to digital photoelasticity using plane polariscope, Optics Express (24) 12.
Peterson, R.E. (1952), Stress Concentration Design Factors, New York, John Wiley and Sons.
Phillips, J. W. (1998), Photoelasticity, University of Illinois.
Robb, D. C., Veley, V. H. (2009), Ignatius Steiner, Hans Landolt, Handbook of the Polariscope and Its Practical Applications, Charleston.
Información adicional
Nota: Este artículo de divulgación es parte de Ingeniería–Revista Académica de la Facultad de Ingeniería, Universidad Autónoma de Yucatán, Vol. 23, No. 2, 2019, ISSN: 2448-8364