Investigación

Recepción: 22 Marzo 2019
Aprobación: 07 Septiembre 2019
Resumen: Las turbonadas son eventos de tormenta, que en la planicie norte de Yucatán producen afectaciones notables en las áreas urbanas. El objetivo de este trabajo fue describir sus características de duración, velocidad y dirección del viento y proponer modelos estocásticos útiles en ingeniería. Se hizo una revisión de notas periodísticas que registraron daños en la infraestructura urbana de la ciudad de Mérida, ocasionados por turbonadas (de 2012 a 2019). Se usaron datos meteorológicos de seis turbonadas (4 de la época de lluvias y 2 de la época de nortes) analizando duración, velocidad y dirección de los vientos. De manera complementaria, se analizaron datos históricos de las velocidades de viento máximas mensuales de 1998 a febrero de 2019. El análisis de las variables incluyó cálculos estadísticos y pruebas de bondad de ajuste de modelos probabilísticos univariados. Se encontró que la duración de las turbonadas puede modelarse con las distribuciones Loglogística y Lognormal (con parámetros 𝛼𝐿𝑜gi𝑠𝑡i𝑐𝑎 = 1.713; 𝛽𝐿𝑜gi𝑠𝑡i𝑐𝑎 = 0.763 y 𝜇𝑙𝑜g = 0.898; 𝜎𝑙𝑜g = 0.453, respectivamente) y la velocidad media del viento con la distribución Weibull (𝛼𝖶𝑒i𝑏𝑢𝑙𝑙 = 1.824 y 𝛽𝖶𝑒i𝑏𝑢𝑙𝑙 = 11.540). La velocidad de las rachas de viento se puede modelar con la distribución de valor extremo más grande (𝛼𝑙𝑜g𝖶𝑒i𝑏𝑢𝑙𝑙 = 27.800 y 𝛽𝑙𝑜g𝖶𝑒i𝑏𝑢𝑙𝑙 = 6.973) y la dirección correspondiente con frecuencias relativas acumuladas y secuencias aleatorias con una dirección inicial y probabilidades asociadas al cambio de ángulo de incidencia del viento. Los modelos propuestos tienen un uso potencial en ingeniería estructural y biomecánica experimental.
Palabras clave: Turbonadas, modelos estocásticos, viento, ingeniería, riesgo.
Abstract: Squall lines are storm events, that inflict notable affectations in urban areas in the northern plain of Yucatan. The aim of this research is to describe the characteristics of wind duration, speed and direction of these meteorological phenomena, and to propose stochastic models with potential use in engineering. A review was made of journalistic notes that registered damages in the urban infrastructure of the city of Mérida (from 2012 to 2019). Meteorological data were obtained for six squalls (4 in the rainy season and 2 in the season characterized by northern winds) analyzing the duration, speed and direction of the winds. In addition, historical data of the maximum monthly wind speeds available were analyzed (from 1998 to February 2019). Statistical analysis of variables includes parameter estimation and goodness fit test of univariate probabilistic models. Research results show that de squall duration can be modeled with the Loglogistics and Lognormal distributions (corresponding parameters are: 𝛼𝐿𝑜gi𝑠𝑡i𝑐 = 1.713; 𝛽𝐿𝑜gi𝑠𝑡i𝑐 = 0.763 y 𝜇𝑙𝑜g= 0.898; 𝜎𝑙𝑜g= 0.453) and average wind speed in squall events with the Weibull distribution (𝛼𝖶𝑒i𝑏𝑢𝑙𝑙= 1.824 y 𝛽𝖶𝑒i𝑏𝑢𝑙𝑙= 11.540). Maximum wind speeds during squall events can be modeled with the largest extreme value distribution with parameters 𝛼𝑙𝑜g𝖶𝑒i𝑏𝑢𝑙𝑙 = 27.800 y 𝛽𝑙𝑜g𝖶𝑒i𝑏𝑢𝑙𝑙 = 6.973. Corresponding wind direction can be modeled using accumulated relative frequencies and random sequences with an initial direction and probabilities associated with the expected change of angle of wind incidence. Proposed models have a potential use in structural engineering and experimental biomechanics.
Keywords: Squall lines, stochastic models, wind, engineering, risk.
Introducción
El término "turbonada" (en inglés: squall line) se usa para referirse a aumentos repentinos de la velocidad del viento; la Organización Meteorológica Mundial (OMM) define una turbonada como un evento meteorológico con vientos de tormenta en los que la velocidad del viento debe incrementarse al menos 8 m/s (16 nudos o 28.8 km/h) y con una velocidad máxima de al menos 11 m/s (22 nudos, 39.6 km/h) durante, por lo menos, un minuto (OMM 2010).
Las turbonadas están relacionadas con la formación de un tipo de nube de tormenta llamado cumulonimbos. Durante estos eventos la velocidad de los vientos puede alcanzar los 100 km/h. Se pueden encontrar referencias interesantes de estos fenómenos desde los años 50 del siglo 20 (Newton 1950); Houze (1977) hace una buena descripción esquemática de las líneas de turbonadas. En años más recientes se estudian estos fenómenos en Cuba (Alfonso, 1994) y en México (García et al. 2007); en la península de Yucatán destaca el trabajo de Ojeda-Tuz (2016), orientado al estudio de los vientos durante los huracanes. Existen desde luego algunos otros estudios internacionales de interés como los de Futyan et al. (2007), Horváth et al. (2008), Brayan y Morrison (2012), Posselt (2015), Peters y Hohenegger (2017), Tao et al. (2018) y temas relacionados con el riesgo de fenómenos meteorológicos se describen en Tamura y Cao (2009).
La importancia del estudio de estos fenómenos meteorológicos extremos, cuyo comportamiento esporádico implica gran cantidad de incertidumbre, tiene aplicaciones en ingeniería estructural (Ojeda-Tuz, 2016); en este estudio se aborda el análisis de las turbonadas en la planicie norte de Yucatán con una perspectiva probabilística. Los modelos estocásticos ajustados pueden proporcionar información sobre la probabilidad de riesgo, daño o colapso de estructuras como puentes, torres, cableado eléctrico, anuncios espectaculares o estructuras de edificios, etc. y por lo tanto, brindar información para tomar decisiones sobre puntos críticos de diseño estructural.
Una revisión no exhaustiva de notas periodísticas muestra al menos 10 eventos de turbonada que han producido daños a la infraestructura urbana en la ciudad de Mérida, Yucatán, durante el período comprendido entre 2012 y 2019: 03-abr-2012, 13-ene-2015, 01-sep-2015, 05-jul-2016, 25-jul-2017, 3-may- 2017, 5-jul-2018, 9-jul-2018, 8-ago-2018 y 27-ene-2019.
El objetivo de este trabajo es describir las características de la duración, velocidad y dirección del viento de estos fenómenos meteorológicos y proponer modelos estocásticos con uso potencial en ingeniería.
Metodología
Los datos provienen de la estación meteorológica de la Facultad de Ingeniería de la Universidad Autónoma de Yucatán (FIUADY): Latitud 21.048773°, Longitud - 89.642857°, Altura 11 msnmm; y de la estación meteorológica del aeropuerto Manuel Crescencio Rejón de la ciudad de Mérida, Yucatán (https://www.meteored.mx/merida/historico): Latitud 20.932035, Longitud -89.651611, Altura: 13 msnmm.
En el primer caso, los datos utilizados son mediciones de velocidad máxima del viento (rachas) y dirección de esta velocidad máxima, obtenidas en períodos de 10 min y durante 6 turbonadas ocurridas entre septiembre de 2015 y enero de 2019 (los valores son promedios vectoriales de velocidad y dirección de viento donde cada categoría corresponde a una marca de clase que es múltiplo de 22.5°. Para los análisis en R-project el norte corresponde a 360°.
Se describieron la duración, velocidad máxima y dirección del viento durante las turbonadas. El estudio de las distribuciones probabilísticas de la velocidad, dirección del viento máximo y cambios en la dirección del viento se hizo agrupando las observaciones realizadas cada 10 min, para cada una de las 6 turbonadas. El análisis incluyó el uso de la representación gráfica (Casanova 2017) con “Rosas de los vientos”. Se usaron los paquetes openair de R- Project y Statgraphics Centurión 18.
La estimación de los parámetros de los modelos probabilísticos se realizó utilizando máxima verosimilitud y se realizaron varias pruebas de bondad de ajuste orientadas al mejor ajuste de la cola de interés (excedencia); la prueba de bondad de ajuste que se usó como criterio fue la de Anderson-Darling (estadístico A.) combinando con el valor de la Logverosimilitud estimada. En algunos casos se recurrió al uso de Bootstrap paramétrico (Efron y Tibshirani 1993) para mejorar el ajuste de los modelos en las colas de las distribuciones probabilísticas de interés. Para éste fin se usaron los paquetes fitdistrplus de R-Project y Statgraphics Centurión 18.
Los modelos probabilísticos que se usaron son:
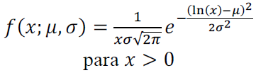
Distribución Lognormal

Donde 𝜇 y 𝜎 son la media y desviación estándar del logaritmo de la variable. Se usará la notación 𝜇𝑙𝑜g y 𝜎𝑙𝑜g para respectivamente el logaritmo de la media y desviación estándar.
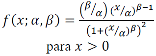
Distribución Loglogística

En este trabajo se usará 𝛼𝐿𝑜gi𝑠𝑡i𝑐𝑎 para el parámetro de forma y 𝛽𝐿𝑜gi𝑠𝑡i𝑐𝑎 para el de escala.
Distribución Weibull

𝛼𝖶𝑒i𝑏𝑢𝑙𝑙 es el parámetro de forma y
𝛽𝖶𝑒i𝑏𝑢𝑙𝑙 el parámetro de escala.
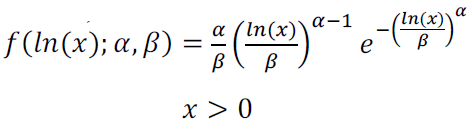
Distribución de valor extremo más grande (VEMG)

La distribución de valor extremo más grande (VEMG) es la distribución Weibull para valores de 𝑙𝑛(𝑥). En este caso, el parámetro de forma se conoce como moda; su notación en este documento será 𝛼𝑙𝑜g𝖶𝑒i𝑏𝑢𝑙𝑙 y el parámetro de escala se denotará como 𝛽𝑙𝑜g𝖶𝑒i𝑏𝑢𝑙𝑙.
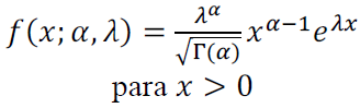
Distribución Gamma

La notación usado en este estudio corresponde a 𝛼𝐺𝑎𝑚𝑚𝑎 para el parámetro de forma y 𝜆𝐺𝑎𝑚𝑚𝑎 para el parámetro de escala.
(D’Angostino y Stephens 1986, Delignette y Dutang 2015, Dellignnet-Muller 2018, Zetina et al. 2018).
RESULTADOS
1. Descripción de las turbonadas
La duración, velocidad de viento y dirección de las rachas de máxima velocidad registradas durante las turbonadas analizadas en este trabajo se presentan en la Tabla 1.

Se observan duraciones que varían entre una hora y casi 7 horas; las velocidades máximas alcanzan desde 35.4 a 92.4 km/h. Si bien los eventos del 13 de enero de 2015 y del 5 de julio 2016 no alcanzan los 39.6 km/h especificados por la OMM, por los daños ocasionados son considerados turbonadas. Las turbonadas de los años 2012 y 2017 fueron detectados en el equipo meteorológico, pero ni en la estación meteorológica de la FIUADY ni en la del Aeropuerto Crescencio Rejón están disponibles los datos de duración y dirección de velocidad máxima observada, por lo que no se tomarán en cuenta para el ajuste de los modelos probabilísticos que se describe más adelante.
Las rosas de vientos presentadas en la Figura 1 (a, b, c y d) describen la dirección y frecuencia del viento de las turbonadas que han ocurrido en época de lluvias (julio a septiembre), considerando solamente velocidades de viento mayores a 20 km/h.

En la Figura 2 se presenta la rosa de los vientos para las turbonadas de la época de nortes (velocidades mayores a 20 km/h), documentadas en este estudio.

El análisis conjunto de la información anterior permitió generar modelos probabilísticos adecuados para representar una turbonada típica en la ciudad de Mérida.
2. Modelado de la duración de la turbonada
En la Tabla 2 se presentan las estimaciones de los parámetros de las distribuciones de probabilidad Loglogística y Lognormal para modelar la duración de las turbonadas.

El estadístico A2 calculado para la distribución Loglogística fue de 0.233 (p ≥ 0.1) y para la Lognormal de 0.274 (p ≥ 0.1); con un nivel de significancia de 0.05, en ambos casos no puede rechazarse la hipótesis de que los datos provienen de estas dos distribuciones de probabilidad.
3. Modelado de la velocidad media del viento durante la turbonada
El modelo que mejor representa la velocidad media del viento durante las turbonadas es la distribución Weibull con parámetros: 𝛼𝖶𝑒i𝑏𝑢𝑙𝑙 = 1.824 y 𝜆𝖶𝑒i𝑏𝑢𝑙𝑙 = 11.540. Con un menor ajuste, se encontró que también la distribución Gamma, con parámetros 𝛼𝐺𝑎𝑚𝑚𝑎 = 2.654 y 𝜆𝐺𝑎𝑚𝑚𝑎 = 0.259, puede modelar el fenómeno. En la Figura 3 se presentan el histograma y la traza de probabilidad de la velocidad media del viento (Gamma y Weibull) durante las turbonadas.

La Logverosimilitud fue de -375.92 y el estadístico A2 de 1.01 para la distribución Weibull (contra un valor de Logverosimilitud de -377.63 y A2 = 1.46 para la distribución Gamma), de manera que se puede considerar que la primera representa de manera adecuada el fenómeno.
4. Modelado de la velocidad máxima de los vientos durante las turbonadas
Las pruebas de bondad de ajuste realizadas muestran que las distribuciones de valor extremo más grande y Weibull representan bien la velocidad máxima de los vientos (rachas) durante las turbonadas. En la Tabla 3 se presentan las estimaciones de los parámetros correspondientes.

El estadístico A2 (1.34 y p < 0.1) y el valor de Logverosimilitud (-323.56) indican que la distribución de valor extremo más grande representa mejor la velocidad máxima del viento durante las turbonadas (contra un valor de Logverosimilitud de -324.57 y el estadístico A2 = 2.79 para la distribución Weibull). En la Figura 4 se presenta el histograma de frecuencias y las trazas de probabilidad de las distribuciones de valor extremo más grande y Weibull modelando la velocidad máxima del viento durante las turbonadas.

5. Modelado de la dirección del viento durante las turbonadas
La Figura 5 presenta la frecuencia de las direcciones y velocidades de viento observadas durante las turbonadas documentadas en este estudio.

Las frecuencias de las rachas de máxima velocidad permite modelar este componente de las rachas durante las turbonadas. En la Tabla 4 se presenta la dirección del viento (N, S, E y O con subdivisiones) en grados con intervalos de 22.5° y la frecuencia relativa acumulada que puede servir para modelar la dirección de las rachas de viento durante las turbonadas con métodos no paramétricos.

6. Modelado de los vientos máximos mensuales
Debido a que el riesgo de las turbonadas está relacionado con su velocidad máxima alcanzada, por motivos de comparación se llevó a cabo el análisis de los vientos máximos mensuales durante el período 1998 a 2019; estos pueden ser modelados con las distribuciones Gamma, de valor extremo más grande y Lognormal (con 𝛼 = 0.05). En la Tabla 5 se presentan los parámetros estimados.

Los estadísticos de Kolmogorov-Smirnov, U2 y Anderson-Darling (A2) indican que no puede rechazarse la hipótesis de que los datos observados pertenezcan a cualquiera de las tres distribuciones; sin embargo, el mejor ajuste se tiene con el valor extremo más grande (Logverosimilitud = -970.01), seguido por la Lognormal (-972.06) y la Gamma (-977.12). En la Figura 6 se presenta el histograma de frecuencias de las observaciones de rachas máximas mensuales y la traza de las distribuciones de probabilidad de utilidad para modelar el fenómeno.

La Tabla 6 presenta las probabilidades de ocurrencia de velocidades medias del viento (máximas mensuales) calculadas con los modelos Gamma, valor extremo más grande yLognormal.

La Tabla 7 presenta la frecuencia y frecuencia relativa acumulada de la magnitud de los cambios en la dirección de las rachas de viento.

La Figura 7 muestra gráficamente las frecuencias, frecuencias relativas y frecuencias relativas acumuladas de la magnitud de los cambios en la dirección del viento de velocidad máxima (rachas) entre períodos de medición, en intervalos de 10 min.

Discusión
Los modelos probabilísticos permiten aproximaciones que son de utilidad para tomar decisiones ante condiciones de escasa información, información incompleta o la existencia de incertidumbre debida a: a) la naturaleza de los fenómenos en estudio (p.e. no se pueden entender o representar mediante modelos determinísticos porque su comportamiento es caótico) y b) las limitaciones en la capacidad del ser humano para observar o medir los fenómenos (p.e. mediciones en intervalos de minutos cuándo el fenómeno es continuo). Los modelos probabilísticos o estocásticos teóricos permiten inferencias que se consideran adecuadas cuando el número de observaciones empleadas en las pruebas de bondad de ajuste es grande; de aquí que los modelos estocásticos “reconozcan” que son aproximaciones perfectibles y algunas técnicas como el remuestreo (Bootstrap, por ejemplo) permiten mejores aproximaciones ante la carencia de un gran número de observaciones (Delignette- Muller y Dutang, 2018).
Los datos de duración, velocidad y dirección de las rachas de vientos que se usaron en este trabajo son los datos disponibles y se tiene acceso a ellos en formatos “estandarizados”, por ejemplo: la media de la velocidad del viento en un período de 10 min o la dirección media del viento calculada por un algoritmo que incluye mediciones de la velocidad y dirección del viento en períodos de 10 min.
Bajo estas circunstancias de incertidumbre y limitaciones en la medición de las características del viento que resultan de interés para estudiar los riesgos de los vientos para diseños de ingeniería, como duración, velocidad y ángulos de incidencia, los modelos estocásticos parecen ofrecer una buena opción (Orda et al. 2015).
Los resultados de este trabajo relacionados con la duración de las turbonadas son coherentes con las observaciones realizadas en otros estudios y la naturaleza del fenómeno meteorológico (Newton 1950, Houze). Las distribuciones Loglogística y Lognormal pueden representar este fenómeno y los parámetros estimados en este trabajo son perfectibles, enfocando la observación de las turbonadas en proyectos específicos. Una aproximación con Bootstrap paramétrico (1000 repeticiones) resulta en los siguientes estimaciones de los parámetros de la duración de las lluvias: para el modelo Lognormal: 𝜇𝑙𝑜g= 0.897 y 𝜎𝑙𝑜g = 0.452 y para el modelo Loglogístico: 𝛼𝑙𝑜g𝑙𝑜gi𝑠𝑡i𝑐𝑎 = 1.713 y 𝛽𝑙𝑜g𝑙𝑜gi𝑠𝑡i𝑐𝑎 = 0.763. Estos parámetros permiten estimaciones de probabilidades que pueden considerarse más confiables.
La distribución de probabilidad Weibull es el modelo más adecuado para modelar la velocidad media del viento durante las turbonadas; sin embargo, las rachas y los cambios en la dirección del viento son de mayor interés para el diseño en ingeniería o arquitectura (por su efecto sobre la infraestructura y la vegetación urbana) y las distribuciones probabilísticas que resultan adecuadas para modelar la velocidad del viento de las rachas, es la distribución de valor extremo más grande (variante logarítmica de la distribución Weibull) y Weibull.
La dirección del viento en las turbonadas, ya sea durante las rachas o sus velocidades medias, sigue patrones que resultan del inicio del fenómeno meteorológico, por lo que su modelación probabilística puede hacerse utilizando el ángulo inicial de la dirección de las rachas de la turbonada, y, en el caso del este trabajo, un vector de probabilidades. Por ejemplo, bajo un supuesto de distribución aleatoria, se genera un número aleatorio de distribución uniforme (na) y, si na < 0.3, el cambio es -22.5 °; si na > 0.6 el cambio es 22.5° y si está entre 0.3 y 0.6 no hay cambio en la dirección del viento para los siguientes 10 min. Habría que agregar algunas otras características observadas, como por ejemplo el ángulo de las rachas al inicio de las turbonadas, entre otras; es decir, se pueden utilizar modelos no paramétricos (Oarda et al. 2015). Cabe mencionar que este es el primer estudio de tipificación probabilística de turbonadas en la república Mexicana, por lo que los resultados presentados no pueden ser comparados con trabajos previamente reportados.
El estudio de estos fenómenos meteorológicos, esporádicos y extremos, tiene aplicaciones en ingeniería estructural (Ojeda-Tuz, 2016) y biomecánica (Valencia et al. 2013). También, la inclusión en el análisis de las turbonadas de la densidad espectral (Van der Hoven, 1957), enriquecería el análisis y en este sentido Stull (1988) sugiere un método para calcular el diámetro de la masa de aire circundante; en el caso de la turbonada del 27 de enero de 2017 que se registró en la ciudad de Mérida, Yucatán, los cálculos con este procedimiento, indican que las máximas contribuciones del viento vinieron de masas de aire de aproximadamente 70 km de diámetro.
Conclusiones
La duración de las turbonadas en la ciudad de Mérida se puede modelar con las distribuciones Loglogística y Lognormal (con parámetros 𝛼𝐿𝑜gi𝑠𝑡i𝑐𝑎 = 1.713; 𝛽𝐿𝑜gi𝑠𝑡i𝑐𝑎 = 0.762 y 𝜇𝑙𝑜g = 0.897; 𝜎𝑙𝑜g = 0.452 respectivamente).
La velocidad media del viento se puede modelar con la distribución Weibull (𝛼𝖶𝑒i𝑏𝑢𝑙𝑙= 1.824 y 𝛽𝖶𝑒i𝑏𝑢𝑙𝑙 = 11.540) y la velocidad de las rachas de viento durante las turbonadas con la distribución de valor extremo más grande y parámetros: 𝛼𝑙𝑜g𝖶𝑒i𝑏𝑢𝑙𝑙 = 27.801 y 𝛽𝑙𝑜g𝖶𝑒i𝑏𝑢𝑙𝑙= 6.973. La dirección del viento se puede modelar utilizando modelos estocásticos no paramétricos como las frecuencias relativas acumuladas o mediante secuencias aleatorias con una dirección inicial y probabilidades asociadas al cambio de ángulo de incidencia del viento.
Las distribuciones probabilísticas y parámetros utilizadas en este estudio son válidos para la ciudad de Mérida, Yucatán, para el período de mediciones meteorológicas que sustentaron este estudio y permiten aproximaciones predictivas útiles para la práctica y diseños de ingeniería o arquitectura; sin embargo, la naturaleza de los fenómenos meteorológicos como las turbonadas dependen de muchas variables de carácter local como ubicación del sitio en el contexto de la dinámica atmosférica regional, la topografía, el cambio climático, etc. y es arriesgado intentar generalizaciones.
Agradecimientos
Al Dr. Jorge Varela, al Laboratorio y al Cuerpo Académico de Hidráulica e Hidrología de la Facultad de Ingeniería de la Universidad Autónoma de Yucatán.
Referencias
Alfonso, A. P. (1994), “Climatología de las tormentas locales severas de Cuba. Cronología”, Editorial Academia, La Habana, Cuba.
Bryan G.H. and H. Morrison (2012), Sensitivity of a Simulated Squall Line to Horizontal Resolution and Parameterization of Microphysics. Monthly Weather Review Volume 140. DOI: 10.1175/MWR-D-11-00046.1.
Casanova H. (2017). Graficación Estadística y Visualización de Datos. Ingeniería 21-3 (2017) 54-75, ISSN: 2448-8364.
D’Agostino R. B., Stephens M. A. (1986). Goodness-of-Fit Techniques. 1st edition. Marcel Dekker. New York. ISBN: 0-8247-7487-6.
Delignette-Muller M.L. and Dutang C. (2015), fitdistrplus: An R Package for Fitting Distributions. Journal of Statistical Software, 64(4), pp. 1-34.
Delignette-Muller M.L. and Dutang C. (2018). fitdistrplus: An R Package for Fitting Distributions. Paper accepted in the Journal of Statistical Software. https://cran.r- project.org/web/packages/fitdistrplus/vignettes/paper2JSS.pdf (01/Feb/2019).
Efron, B. y Tibshirani, R. (1993) An Introduction to the Bootstrap. Chapman & Hall. ISBN 9780412042317.
Futyan, J.M. & Anthony D. Del Genio (2007), "Deep Convective System Evolution over Africa and the Tropical Atlantic", Journal of Climate 20, pp. 5041-5060.
García C.O., H.U. Ramírez, J. Alcalá, A. Meulenert, M. E. García (2007). Climatología de las tormentas eléctricas locales severas (TELS) en la Zona Metropolitana de Guadalajara. Investigaciones Geográficas, Boletín del Instituto de Geografía, UNAM ISSN 0188-4611, Núm. 63, pp. 7-16.
Houze R.A. (1977). Structure and dynamics of a tropical squall-line system. Monthly weather review 105, pp. 1540-1567.
Horváth A., I. Geresdi, P. Németh, K. Csirmaz and F. Dombai (2008) Numerical modeling of severe convective storms occurring in the Carpathian basin. Atmospheric Research 93, pp. 221– 237.
Newton C.W. (1950). Structure and mechanism of the prefrontal squall line. Journal of meteorology 7, pp. 210-222.
Oarda T.B.M.J., C. Charron, J.Y. Shin, P.R. Marpu, A.H. Al-Mandoos, M.H. Al-Tamimi, H. Ghedira and T.N. Al Hosary (2015). Probability distributions of wind speed in the UAE. Energy Conversion and Management 93, pp. 414-434.
Ojeda-Tuz M. (2016). Modelación probabilista de velocidades de viento para el diseño estructural en la península de Yucatán. Tesis de Maestría en Ingeniería. Facultad de Ingeniería-UADY. Mérida, México.
OMM (2010). Comité de huracanes de la AR IV trigésima segunda reunión, Hamilton, Bermudas. RA IV/HC-XXXII/Doc. 6 (2.III.2010). Original: INGLÉS.
Peters, K., and C. Hohenegger (2017): On the Dependence of Squall Line Characteristics on Surface Conditions. J. Atmos. Sci. doi:10.1175/JAS-D-160290.1, in press. doi: 10.1175/JAS-D- 16-0290.1
Posselt, D. (2015): A Bayesian Examination of Deep Convective Squall Line Sensitivity to Changes in Cloud Microphysical Parameters. J. Atmos. Sci. doi:10.1175/JAS-D-15-0159.1, in press. doi: 10.1175/JAS-D-15-0159.1
Stull R.B. (1988), An Introduction to Boundary Layer Meteorology, 1st ed. Kluwer Academic Publishers.
Tao W., X. X. Qiu, R. J. Wu, et al. (2019): Role of differences in surface diurnal–nocturnal thermodynamics over complex terrain in a squall line process. J. Meteor. Res. 33(1), pp. 1–17, doi: 10.1007/s13351-0198052-y.
Tamura Y. and S. Cao (2009). Climate Change and Wind-Related Disaster Risk Reduction. https://www.researchgate.net/publication/267411937_Climate_Change_and_Wind- Related_Disaster_Risk_Reduction.
Valencia A., R. Zuluaga y J. Cruz (2013). La Biomecánica de las plantas como referente para el diseño de materiales y estructuras. Revista Colombiana de Materiales N. 5 pp. 1-6. VII Congreso Internacional de Materiales. Medellín, Colombia. file:///C:/Users/caeze/AppData/Local/Packages/Microsoft.MicrosoftEdge_8wekyb3d8bbwe/Tem pState/Downloads/19408-69262-1-PB%20(1).pdf (fecha de consulta 09-01-2019).
Van der Hoven I. (1957). Power spectrum of horizontal wind speed in the frequency range from 0.0007 to 900 cycles per hour. Journal of Meteorology. 14:160-4.
Zetina-Moguel C.E., Sánchez y Pinto I., González-Herrera R., Osorio-Rodríguez J.H., Barceló- Quintal I.D. y Méndez-Novelo R.I. (2018) Modelación estocástica del nivel freático en pozos de la ciudad de Mérida, Yucatán, México. Ingeniería Vol. 22, No. 2, 2018, ISSN: 2448-8364.
Notas de autor