Divulgación
Diseño de Semáforos con LEDs RGB para Ahorrar Energía y Material
Design of Traffic Lights with RGB LEDs to Save Energy and Material
Diseño de Semáforos con LEDs RGB para Ahorrar Energía y Material
Ingeniería, vol. 23, núm. 3, pp. 28-34, 2019
Universidad Autónoma de Yucatán

Recepción: 12 Diciembre 2018
Aprobación: 20 Diciembre 2019
Resumen: Se diseñó un semáforo a base de Diodos Emisores de Luz que emiten en los tres colores básicos de los semáforos tradicionales y tres colores adicionales para implementar flechas de señalización que dependen de la polarización del diodo. Con este diseño se logró un 28 % de ahorro en el consumo de energía con respecto a los convencionales LEDs, con un gasto energético de 0.7 amperios para 12 voltios de DC. Así también, se añadieron tres colores para ayudar a las personas con discapacidad visual. Durante la implentación del dispositivo electrónico se logró detectar a dos personas con tendencias daltónicas y varias con problemas visuales de enfoque.
Palabras clave: Semáforo, Luz, Ahorro de Energía.
Abstract: This work proposes the design of a traffic light using Light Emitting Diodes that emit the three basic colors of the traffic light and three extra colors to implement the sign arrows, only depending on the polarization of the diode. This design saves 28 % in the consumption of energy with respect to the conventional LEDs, with an energy consumption of 0.7 amps for 12 volts DC. Also, three colors were added to help people with visual disability. During the implementation of the electronic device it was possible to detect two people with colorblind tendencies and others with visual focus problems.
Keywords: Traffic light, Light, Savings Energy.
1. Introducción
Los semáforos existen desde hace algunos siglos y actualmente existen semáforos que se basan en bombillas incandescentes de color (Edward A. Mueller, 1970, Brignano, 1981); y recientemente, se utilizan LEDs (Nanco-Hernández, 2013, Martínez, 2009) que tienen una ventaja significativa sobre los primeros debido al menor consumo de energía. En el mercado se puede encontrar un nuevo tipo de LED, éste contiene cuatro terminales y la propiedad de controlar la longitud de onda de emisión (color) de acuerdo a su polarización eléctrica. En este trabajo se realizó el control de los diferentes tiempos de emisión del LED de acuerdo a su polarización, además se optimizó el número de LEDs para hacer uso de la mínima energía de alimentación y se propone una ayuda para conductores con daltonismo. Para ésto, las terminales R y G se usan de modo combinado para obtener los tres colores básicos del semáforo.
2. Resolución del ojo humano
El proceso de resolución de una imagen para el ojo humano se relaciona con el fenómeno de difracción para un sistema óptico (telescopios, microscopios, y otros sistemas ópticos como los ojos de los seres vivos). Como ejemplo, se puede imaginar a una persona sosteniendo un par de focos separados 30 cm, el ojo humano es capaz de identificar estas dos fuentes como separadas hasta una distancia de 1 km. Más allá de esta distancia el ojo no puede resolver la imagen, lo que observa es una sola fuente luminosa a la distancia y borrosa.

De acuerdo al criterio de Rayleigh (Goodman, 2017) la resolución de un sistema se determina mediante la difracción de un par de objetos separados entre ellos, la imagen de esta difracción se forma a la distancia focal del sistema al incidir sobre una pantalla de observación, Figura 1.
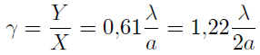
Si se considera que las fuentes luminosas están muy distantes y tienen geometría circular se obtendrá una distribución de un patrón de difracción como se muestra en la Figura 1 sobre la pantalla de observación (Cagnet, 1971). El cálculo por aproximación se realiza con funciones Bessel representando las formas circulares, donde el primer mínimo de una función Bessel tiene un valor minJ1 = 3,83, por lo que (Eugen Hecht, 2015. Tipler, 2003);

Y
(1)donde 2a es el diámetro de la lente y γ es el ángulo entre las dos fuentes indicadas en la Figura 1.
El ojo humano es capaz de resolver la separación que existe entre dos puntos dependiendo de la calidad de cada ojo; sin embargo, con ayuda de lentes, existe un promedio en la calidad o resuloción máxima del ojo humano.
El funcionamiento del ojo se muestra de forma equivalente en la Figura 2. La cantidad de luz hace que el diámetro de la pupila cambie, 8 mm para la oscuridad y 1 mm para luz muy brillante (Michael Kalloniatis, 2007). Si tomamos 1 mm y λ = 550nm en el rango de la luz verde, y considerando que el ojo tiene un índice de refracción de n = 1,35, entonces de la ecn. (1), el ´angulo de resoluci´on es
donde γ es alrededor de 0.02 grados.

En la Figura 2, Y representa la separación de un par de LEDs (como azul y rojo) y X es la distancia desde donde se coloca el ojo hasta donde se coloca la pantalla cuando los dos puntos se unen. En forma equivalente a la ec. (1), se determina el círculo de mínima confusión con una distancia mínima de separación entre LEDs (Thibos LN, 1999),
(2)Esto se realiza en una aproximación para el ojo como el comportamiento de una lente, donde el haz de rayos habrá sufrido una deformación. Las secciones transversales del haz emergen en elipses con el eje mayor, en el plano sagital, y para posiciones cercanas al ojo, esta elipse se deforma con respecto a la distancia variando sus ejes, hasta tener una deformación considerable (Adelina Felipe, 1998).
2.1. Funcionamiento del LED
En el mercado actual se producen LEDs camaleón (cambian de color automáticamente al polarizarlos) y LEDs multicolor, generalmente contienen cuatro terminales (Nanco-Hernández, 2013), ver Figura 3. El color o longitud de onda que emite este tipo de LED depende de su polarización, aunque existen diferentes tipos de LED multicolor, uno de los principales contiene las tres longitudes de onda básica: Rojo, Verde y Azul (RGB por sus iniciales en ingl´es), además de las longitudes de onda generada por la combinación entre las terminales.

Para obtener los diferentes colores, se utiliza la de- pendencia de la polarización. Si se conecta Vcc al positivo de la fuente de alimentación, la longitud de onda emitida por el LED se obtendrá conectando la terminal correspondiente a tierra o negativo de la fuente; con esto se tendrá un total de tres longitudes de onda primarios. Si se conecta la terminal de Vcc y se une las terminales R y V conectándolas a tierra, el LED emitirá la longitud de onda del amarillo y similarmente si se une V y B o R y B, el LED emitirá dos longitudes de onda diferente a las anteriores. De esta manera, para realizar el sistema de control, se puede realizar de diferentes formas (Parra, 2004) o de una forma más amigable con el uso de una combinación adecuada de dos terminales programadas con base al esquema de oscilaciones.
En el diagrama de estados del semáforo, cada color en estado alto significa la longitud de onda que emite el semáforo, mientras que en el estado cuando los dos colores están en alto, es la combinación para que el LED emita la longitud de onda del amarillo (ámbar).
2.2. Algoritmo de control
El control del semáforo (Figura 4) se puede hacer mediante una plataforma de desarrollo arduino o uno similar (Figura 5). Se implementan los siguientes pasos:


2.3. Resultados
En Yucatán, los semáforos se colocan en calles de 7 m de ancho (Figura 6) con relación el pavimento; con amplitud de dos carriles de circulación; dos banquetas de 1.5 m; con una franja de cruce de peatón de 1.5 m; y una altura de colocación de 2.5 m (SEDATU, 2018; Reglamento vial Yucat´an, 2018; José Jaramillo, 2019).

El semáforo se encuentra aproximadamente 11.8 metros del conductor más cercano a él; hasta una avenida con doble sentido, camellón y banquetas de hasta 2.5 metros, donde el conductor se encuentra a aproximadamente a 30.1 metros del semáforo. Entonces, la mínima distancia de separación entre los LEDs para obtener la mancha de mínima confusión va de los 11.5 mm a los 22mm. El semáforo que se implementó tiene una separación entre LEDs de 15 mm (ver Figuras 4 y 7), que entra en el rango de mínima confusión y en comparación con los comerciales, se genera un ahorro en la cantidad de LEDs.

Los tiempos que se asignaron para este diseño fueron los siguientes: 30 segundos para la longitud de onda del verde y su respectiva flecha parpadeante indicadora de paso al frente, después de diez segundos, se activa por 20 segundos la flecha parpadeante que indica vuelta hacia la izquierda, 3 segundos para la longitud de onda del ámbar (amarillo) y 30 segundos para la longitud de onda del rojo; después de 10 segundos se activa la flecha parpadeante que indica la vuelta hacia la derecha y así se repite el ciclo.
El espaciamiento entre LEDs es de 15 mm, esto se debe porque se aplicó el principio de distancia de mínima confusión, la que genera un ahorro de 30 LEDs (Figura 8) con respecto los diseños comerciales que van de 150 a 180 LEDs en una matriz de 30 cm de diámetro.

Para el arreglo de LEDs de 30 cm de diámetro el consumo es de 12 watts (esto son los LEDs comerciales); y el que se realiza en este trabajo consume 8.6 watts de potencia, la alimentación del sistema se realiza con 12 volts de corriente directa, y luego se multiplica por 0.70 amperios de consumo de la matriz, Figura 9.

Finalmente se realizó una prueba a personas al azar para determinar la visualización del sistema con relación al encendido de la flecha indicadora del semáforo y la distancia en la que pueden distinguir dicha flecha, los resultados se indican en el histograma que se muestra en la Figura 10.

Se realizó la prueba a un grupo de personas para de- terminar la visualización de las señales de los semáforos en un intervalo de distancia que varió de 5 metros a 35 metros con el objetivo de detectar el grado de reconocimiento de dichas señales. La gráfica de la Figura 10 muestra 6 diferentes intervalos de distancia y el porcentaje de personas que lograron reconocer las señales a una distancia máxima.
Se puede observar en la gráfica un porcentaje pequeño para personas con excelente vista, y un gran porcentaje de personas con personas con problemas visuales como miopía y otras aberraciones oculares; así también se detectaron dos personas con tendencias hacia el daltonismo.
3. Conclusiones
Uno de los resultados importantes que se obtuvo al realizar el diseño es que la energía que se usa para la activación tiene un ahorro real considerable, de un 28 % respecto de los comerciales, pasando de consumir 12 watts a 8 watts para semáforos de 30 cm de diámetro. Otra parte importante, es que el material que se usa se reduce hasta un 75 %, ya que una sola matriz implementa las tres longitudes de onda básicos del semáforo y además las flechas indicadoras de paso. Además con el sistema arduino es más sencillo manipular los tiempos de cada longitud de onda y la entrada de las flechas indicadoras; y por último, con este diseño se ayuda a las personas con problemas de daltonismo, ya que las flechas indicadoras son parpadeantes, que si bien el daltónico no es capaz de observar la longitud de onda sí será capaz de percibir los cambios de tonalidad. Por lo anterior, con este dispositivo, se contribuye a combatir el problema del calentamiento global causado por la alta contaminación, al reducir el consumo energético y al disminuir el uso de material usado en cada módulo.
Agradecimientos
A CONACYT por la plaza otorgada para realizar investigación y docencia del Dr. Porfirio Nanco Hernández que permite participar en el proyecto “Arquitectura Bioclimática para Yucatán” coordinado por el Dr. Raúl Ernesto Canto Cetina de la Facultad de Arquitectura de la Universidad Autónoma de Yucatán y a la propia UADY por permitir usar sus instalaciones para llevar a cavo dicho proyecto.
Referencias
[1] Adelina Felipe Marcet, César Albarrán Diego,Manual de Óptica Geométrica, Universidad de Valencia, 1998.
[2] Antonio José Jaramillo Botero, Arquitectura e Ingeniería, B.I.M., rev. 2019.
[3] Brignano, M. and McCullough, H., The Search for Safety: A History of Railroad Signals and the People Who Made Them, American Standard, Inc. 1981.
[4] Cagnet, Francon and Thrierr, Atlas of Optical Phenomena, Berlín: Spring-Verlag, 1971.
[5] Edward A. Mueller, Aspects of the History of Traffic Signals, IEEE Transactions on Vehicular Technology, vol. VT-19, no. 1, pp.6-17, 1970.
[6] Eugen Hecht, Optics, USA: Pearson, Fifth Edition, 2017.
[7] Gordon Sessions, Traffic Devices: Historical Aspects Thereof, Washington DC: Institute of Traffic Engineers, 1971.
[8] Joseph W. Goodman, Introduction to Fourier Optics, USA: Mc. Graw Hill, Fourth Edition, 2017.
[9] Martínez, Y. Semáforos inteligentes reducen la contaminación y agilizan el tráfico, Revista Tendencias 21, 2009.
[10] Michael Kalloniatis and Charles Luu: https://webvision.med.utah.edu/book/part-viii-psychophysics-of- vision/visual-acuity/.
[11] Nanco-Hernández, P., Hernández-González, J. L., Rodríguez-Hernández. T. y E. Acoltzi-Bautista, Diseño de un semáforo con LEDs multicolor, CiBIyT, 2013.
[12] Parra, J. y Torres, M. Diseño y simulación de un sistema de control para un semáforo, Tesis de grado, UNET, 2004.
[13] Paul A. Tipler y Gene Mosca, Física para la Ciencia y la Tecnología, Reverté: España, Volumen 2B, quinta edición, 2003.
[14] Reglamiento vial Yucatán: http://www.yucatan.gob.mx/docs/pdf/Reglamento vialidad.pdf.
[15] SEDATU: https://www.gob.mx/sedatu/documentos/manual-de-calles-diseno-vial-para-ciudades-mexicanas.
[16] Thibos LN, Applegate RA, Schwiegerling JT, Webb R, Standards Taskforce Members. Standards for Reporting the Optical Aberrations of Eyes, Optical Society of America, Visual Science and Applications Washington, DC., 1999.
Notas de autor