Biology-Ecology
Litterfall at different successional stages in a tropical rain forest in southern Brazil
Produção de serapilheira em diferentes estádios sucessionais da Floresta Ombrófila Densa no sul do Brasil
Litterfall at different successional stages in a tropical rain forest in southern Brazil
Ciência e Natura, vol. 39, no. 3, pp. 494-502, 2017
Universidade Federal de Santa Maria
Received: 03/03/2017
Accepted: 30/05/2017
Abstract: This study aims to evaluate the litterfall of three areas in the tropical rain forest, in different successional stages, in the municipality of Siderópolis, Southern Santa Catarina state. Fifteen collectors of 0.25 m2 each were used, distributed in three transects per study area (A1, A2 and AR). The highest litterfall production occurred in AR (8.13 Mg ha-1 yr-1), followed by A2 (4.26 Mg ha-1 yr-1) and A1 (2.74 Mg ha-1 yr-1). The AR area produced significantly more leaves, reproductive material and wastes. This can be explained by its more developed forest structure, with large trees, more closed canopy and greater number of epiphytes. On the other hand, areas A1 and A2 produced significant amounts of thin stems. These areas have a higher proportion of species in early successional stages, a higher density of thin trees and a more open canopy, being subject to winds, which could result in greater production and fall of branches. The results of this study highlight the importance of litterfall production in different successional stages, becoming necessary studies with this emphasis to understand the nutritional dynamics of ecosystems, especially those that have suffered strong impacts in the past, such as open-pit coal mining.
Keywords: Ecological succession, Nutritional dynamics, Atlantic Rain Forest.
Resumo: O presente estudo objetivou avaliar a produção de serapilheira de três áreas da Floresta Ombrófila Densa, em diferentes estádios sucessionais, no município de Siderópolis, Sul de Santa Catarina. Foram utilizados 15 coletores de 0,25 m2, distribuídos em três transectos por área de estudo (A1, A2 e AR). A maior produção de serapilheira ocorreu na AR (8,13 Mg ha-1), seguido pela A2 (4,26 Mg ha-1 ano1) e pela A1 (2,74 Mg ha-1 ano1). A área AR produziu significativamente mais folhas, material reprodutivo e resíduos. Isso pode ser explicado por sua estrutura de mata mais desenvolvida, com árvores de grande porte, dossel mais fechado e maior quantidade de epífitas. Por outro lado, as áreas A1 e A2 produziram quantidades significativas de caules finos. Essas áreas se encontram com maior proporção de espécies de estádios sucessionais iniciais, maior densidade de árvores finas e com dossel mais aberto, podendo estar sujeitos a ventos, o que poderia resultar em maior produção e queda de ramos. Os resultados obtidos no presente estudo ressaltam a importância da produção de serapilheira nos diferentes estádios sucessionais, tornando-se necessários para o entendimento da dinâmica nutricional dos ecossistemas, principalmente aqueles que sofreram fortes impactos no passado, como, por exemplo, a explotação de carvão ao céu aberto.
Palavras-chave: Sucessão ecológica, Dinâmica nutricional, Mata Atlântica.
1 Introduction
The litterfall constitutes the central reservoir of organic and mineral elements in tropical forest ecosystems where soils are chemically poor and, their deposition enables elements released from plant biomass to be re-incorporated into the system. The importance of evaluating the litterfall lies in the understanding of the reservoirs and nutrient flow in the ecosystems, which are the main route of nutrient supply through the mineralization of the vegetal remains (NUNES; PINTO, 2007).
Several factors may affect the litterfall, such as vegetation type, latitude, altitude, temperature, precipitation, light availability during the growing season, photoperiod, evapotranspiration, relief, deciduousness, successional stage, water availability, soil nutrient stock and herbivory. In this way, the litterfall is considered as the result of the interaction of these factors and, according to the peculiarities of each system, one factor may prevail over the others (VITOUSEK JUNIOR; SANFORD, 1986; PORTES et al., 1996).
In soils in environmental recovery, litterfall is the largest source of organic matter, and its quantity and nature play an important role in the maintenance and fertility of the soil and, consequently, in the supply of organic matter to the flora and fauna (SOUZA; DAVIDE, 2001; MACHADO et al.; 2008).
Litterfall is one of the important indicators of evaluation and monitoring of post-revegetation phases, aiming at the restoration of degraded areas, as it allows assessing the control of the superficial erosion, as well as the whole process of forest dynamics (RODRIGUES, 1998). In restored areas with a plant community already formed (four years or more post-planting), the effectiveness of the restoration can be evaluated in relation to its physiognomic aspects, such as plant stratification and nutrient cycling (BRANCALION et al., 2012).
The litterfall is considered an excellent indicator of productivity and nutrient cycling in native forest fragments or in recovered areas, making it possible to evaluate the state of environmental conservation and/or the rehabilitation of structural and functional characteristics related to soil stability in reforested areas. Thus, besides representing a fundamental link in the energy flow and matter cycle, the litterfall produced by the vegetation gives the ecosystem greater stability, suffering a variation according to its successional stage (NUNES; PINTO, 2007).
Numerous studies address the litterfall in fragments or forest remains in Brazil (DICKOW et al., 2012; VENDRAMI et al., 2012, VIDAL et al., 2007). In Southern Brazil, in the states of Rio Grande do Sul and Santa Catarina, such studies are more scarce (CITADINI-ZANETTE, 1995; MELLO, 1995; SANTOS, 1997; MARTINELLO et al., 1999; VIBRANS; SEVEGNANI, 2000), and studies involving the litterfall in degraded and rehabilitated areas after open-pit coal mining with built soils cannot be found. However, one of the causes that lead to the low success of recovery projects in degraded areas is the lack of knowledge about the factors that support a high production of biomass and, consequently, soil fertility.
The specific objectives of this study are: (1) to estimate and compare the litterfall of three areas in different successional stages in a tropical rain forest; (2) to verify the seasonal variation of litterfall in these areas and; (3) to investigate the existence of correlations between litterfall and climate variables in the municipality of Siderópolis, southern Santa Catarina state
2 Material and Methods
Study Area
This study was carried out in three areas located in Campo Malha II Leste, owned by Companhia Siderúrgica Nacional (CSN), in the municipality of Siderópolis, southern Santa Catarina state. Approximately 662 ha of the Campo Malha II Leste area were mined in the open for extraction of mineral coal until 1981, causing considerable environmental degradation in the region (IPAT/ UNESC, 2002). The climate, according to the Köppen classification system (ALVARES et al., 2014) is humid mesothermal, with no defined dry season and with hot summer (Cfa). The relative humidity is between 80 and 85%, with the average rainfall in the region of 1,220 to 1,600 mm yr-1, which means 98 to 150 rainy days (BACK, 2009).
The original vegetation is classified as Submontane Ombrophilous Dense Forest (IBGE, 2012). This formation is characterized by large trees, reaching 30 m in height and having large crowns, resulting in closed cover, with a high number of epiphytes richness. The sub-forest presents expressive natural regeneration of tree species, as well as small palm trees and creepers (MARTINS, 2005).
The study areas are in an altitude range of 145 to 185 m. Area 1 (A1) has an approximate size of 0.6 ha (28° 34’ 49” S and 49° 24’ 08” W), and the rehabilitation of the area was completed in June 2006, using soil built with clay and peat after the removal of the pyrite wastes and the remodeling of the land. Currently, there is a predominance of species of the Asteraceae family (IPAT/ UNESC, 2005). Area 2 (A2) has an approximate dimension of 1 ha (28° 34’ 52” S and 49° 24’ 11” W), and the rehabilitation of the area was completed in February 2006, using soil built with clay and peat and concomitant introduction of Melinis minutiflora P. Beauv. and bracatinga (Mimosa scabrella Benth.), a fact that differs from A1. The vegetation currently consists predominantly of grasses and bracatinga trees, as well as several native pioneer species (IPAT/UNESC, 2005). Area 3 (AR), which served as a reference for the original vegetation, has a dimension of approximately 9.5 ha (28° 34’ 54” S and 49° 24’ 15” W) and was characterized as a remnant of the Submontane Dense Ombrophilous Forest in an advanced stage of natural regeneration, located around the rehabilitation areas (A1 and A2).
Data collection
Observations and field surveys were conducted every two weeks from April 2012 to March 2013. To quantify the litterfall, three transects of 40 m were established per study area. In each transect five 0.25 m2 collectors with nylon mesh bottom (1 mm2 mesh) permeable to the water suspended 10 cm from the ground were installed, being distant from each other by 10 m, totaling 15 collectors per study area.
In the field, the contents of the collectors were transferred to labeled envelopes and taken to the laboratory. The litterfall was dried at 50 ºC to eliminate excess moisture, and was later separated into the following fractions: leaves, branches, reproductive elements (inflorescences, flowers, fruits and seeds) and residues (fractions non-identifiable). Following the recommendation of Proctor (1983), only branches with a diameter equal to or less than 2 cm were included in the fraction. After sorting, the material was dried at 50 ºC for 48 hours or until obtaining constant weight and then weighed using a precision analytical balance to evaluate the contribution of each fraction to the total input of the deciduous material. The litterfall found in the 15 collectors (g/3.75 m2) was transformed in Mg ha-1.
Data analysis
In order to evaluate the distribution of the data set, a Shapiro-Wilk test was performed. As the normality assumption could be met, the ANOVA analysis of variance was applied to compare the litterfall among the three study areas, followed by the post hoc Tukey’s test, using the PAST 2.04 program. (p < 0.05) (Hamer et al., 2001). To evaluate the influence of climatic factors on litterfall during the study period, the Pearson’s correlation (p < 0.05) was calculated between monthly litterfall and climatic variables (maximum, mean and minimum temperatures, precipitation, relative humidity and wind speed) (HAMMER et al., 2001). Information on monthly climatic data was obtained at the EPAGRI Experimental Station of Criciúma, Santa Catarina (Table 1).
| Month | Temperature (ºC) | Ppt (mm) | UR (%) | Vent (m.s) | ||
| Maximum | Minimum | Average | ||||
| April | 34.5 | 8.0 | 21.5 | 27.4 | 80.0 | 1.7 |
| May | 34.5 | 5.7 | 19.2 | 56.8 | 83.0 | 1.3 |
| June | 31.6 | 0.8 | 15.9 | 86.0 | 86.0 | 1.2 |
| July | 32.2 | 3.8 | 15.1 | 103.0 | 84.0 | 1.8 |
| August | 33.1 | 6.6 | 20.0 | 39.0 | 79.0 | 2.2 |
| September | 35.0 | 8.2 | 19.2 | 138.8 | 80.0 | 2.4 |
| October | 34.9 | 11.8 | 22.3 | 111.8 | 82.0 | 2.2 |
| November | 33.0 | 13.4 | 23.1 | 30.4 | 79.0 | 2.3 |
| December | 43.8 | 16.4 | 26.0 | 118.8 | 79.0 | 2.3 |
| January | 36.1 | 16.1 | 24.5 | 122.4 | 79.0 | 2.3 |
| Februrary | 37.6 | 17.1 | 24.8 | 207.8 | 86.0 | 1.8 |
| March | 35.0 | 13.8 | 22.4 | 191.0 | 87.0 | 1.9 |
3 Results
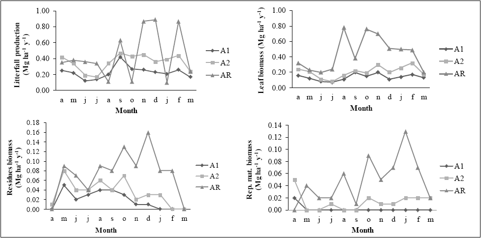
The annual litterfall was estimated at 8.13 Mg ha-1 for the AR area, followed by A2 (4.26 Mg ha-1) and A1 (2.74 Mg ha-1), being significantly higher in AR when compared to the other areas (F[2.33] = 15.83 p <0.05), as shown in Table 2. The peak litterfall in A1 occurred in September (0.42 Mg ha-1) and October (0.27 Mg ha-1), in A2 in September (0.47 Mg ha-1) and in November (0.45 Mg ha-1), while in AR in the months of October (1.11 Mg ha-1), August (1.05 Mg ha-1) and January (1.02 Mg ha-1). The lowest litterfall in A1 was recorded in June (0.12 Mg ha-1) and July (0.14 Mg ha-1), in A2 in July (0.17 Mg ha-1) and June (0.19 Mg ha-1), whereas in AR in the months of March (0.24 Mg ha-1) and July (0.35 Mg ha-1), as shown in Figure 1 a. The Pearson’s correlation analysis did not show significant correlations between litterfall and climatic variables in the three areas studied, except in AR where litterfall was significant correlated to wind speed (Table 3).
The leaf fraction was dominant in the three areas (Figure 1b), and in A1 the contribution was 60%, in A2 58% and in AR 65%. The second most representative fraction in the three study areas was branches that contributed 30% to A1, followed by A2 (29%) and AR (16%).
The reproductive material fraction contributed to A1 with 1%, A2 with 4% and AR with 7%. According to the variance analysis, there was a significant difference between AR and other areas (F[2.33] = 11.91 p < 0.05). With a lower participation in total litterfall and a very irregular deposition pattern during the year, the reproductive material fraction presented peaks in A1 and A2 in April and in AR in January (Figure 1c).
The residue fraction did not present a well-defined pattern of seasonality and was represented in area A1 by 9% of the total litterfall annually, followed by A2 (10%) and AR (11%). The waste deposition peaks at A1 and A2 were reached in May and in AR in December (Figure 1d).
According to the ANOVA analysis of variance, with the exception of the branches fraction, significant differences of the other fractions were found in A1 and A2 in relation to AR (p = 0.000), as shown in Table 2.
| Fractions | Area | ||
| A1 | A2 | AR | |
| Leaves | 1.65 ± 0.04a | 2.46 ± 0.07a | 5.30 ± 0.22b |
| Branches | 0.82 ± 0.04a | 1.22 ± 0.05a | 1.32 ± 0.09a |
| Reproductive material | 0.03 ± 0.005a | 0.17 ± 0.01a | 0.58 ± 0.04b |
| Residues | 0.24 ± 0.02a | 0.41 ± 0.02a | 0.93 ± 0.05b |
| Total | 2.74 ± 0.08a | 4.26 ± 0.10a | 8.13 ± 0.33b |


4 Discussion
Studies assembled by Haag (1985) show that the litterfall in tropical forests ranges from 7.0 to 12.0 Mg ha-1 yr-1, and the leaf fraction represents the largest proportion. The references found in the specific literature with respect to annual amount of litterfall in Ombrophilous Dense Forest vary according to forest formation, ranging from 5.4 to 12.2 Mg ha-1 yr-1 in Submontane Ombrophilous Dense Forest (ARAÚJO et al., 2006; DICKOW et al., 2012; BIANCHIN et al., 2016; SLOBODA et al., 2017), from 4.9 to 5.6 Mg ha-1 yr-1 in Montane (GOMES et al., 2010; FREIRE et al., 2014), and from 6.1 to 7.1 Mg ha-1 yr-1 in Mixed Ombrophilous Forest (FIGUEIREDO FILHO et al., 2005; ANTONELI; THOMAZ, 2012; SANQUETTA et al., 2016). In studies carried out in old-grown forests in the north coast of Parana state, litterfall was estimated at 8.4 Mg ha-1 yr-1 (SLOBODA et al., 2017), and in advanced secondary forests in the southern region of Santa Catarina at 7.5 to 10.55 Mg ha-1 yr-1 (CITADINI-ZANETTE, 1995; SANTOS, 1997; ROSSO, 2011), being close to that sampled in AR in the present study, with 8.13 Mg ha-1 yr-1.
The results of the study of litterfall in the south of Santa Catarina showed that there is a marked deposition in the months of October and November for the primary forest fragment (CITADINI-ZANETTE, 1995; SANTOS, 1997). In these studies, the higher litterfall in the spring shows that many species undergo leaf exchange in this period. On the other hand, in a fragment in an advanced stage of natural regeneration (ROSSO, 2011) and in this study, although the highest deposition also occurs in the month of October, peaks of deposition were observed throughout the year (April and August), which is a general trend in rainforests (MEGURO et al. 1978) and may be related to the absence of extreme climatic conditions such as prolonged cold periods and drought, combined with the great floristic diversity of these forests (SELLE, 2007).
According to Nascimento (2005), areas of the Atlantic Forest in initial regeneration stage show lower litterfall than those in more advanced stages, corroborating this study, where the initial stages of succession (A1 and A2) show values below that found in the forest in an advanced stage of natural regeneration. The fact that the vegetation of A1 and A2 has a higher density of thin trees, a more open canopy and lower richness and diversity of plant species may have contributed to a lower biomass production. The litterfall in A1 (2.74 Mg ha-1 yr-1) and A2 (4.26 Mg ha-1 yr-1) were similar to those observed by Barbosa and Faria (2006) in a revegetated area of three years and in a forest area of 20 years, where the litterfall was 3.0 and 5.5 Mg ha-1 yr-1, respectively.
The highest levels of litterfall in the most advanced stages of tropical rainforest were shown in studies in Amazonia (MARTIUS et al., 2004), in Mexico (SANCHES et al., 1995) and in Jamaica (McDONALD; HEALY, 2000). Boeger et al. (2000) also found significantly higher results in advanced stages of a tropical rainforest in Itapoá, SC. However, in São Paulo, Leitão-Filho (1993) found greater litterfall in initial successional stretches in the rainforest in Cubatão. The authors relate this tendency of decrease in litterfall as the community approaches its climax to the great abundance of pioneer species in the initial stages of succession, since pioneer species grow fast and need a high photosynthetic rate, which is achieved through the high biomass of leaves that are rapidly replaced.
The leaf fraction generated percentages close to 70%, the suggested value for forest ecosystems (MEENTMEYER et al., 1982) and those observed in Brazilian forests (FERNANDES et al., 2006). Regardless of the biome studied, the leaf fraction is usually the largest proportion of litterfall fractions produced (WERNECK et al., 2001; TIENNE et al., 2002), which shows the importance of this fraction to nutrient cycling in these ecosystems.
The results of this study do not corroborate other studies, which observed that the production of the leaf fraction decreased with the advance of the successional phase in tropical forests (PEZZATO; WISNIEWSKI, 2006; ROCHA, 2006; KÖHLER et al., 2008). Investigating the litterfall in different successional stages of a Subtropical Forest in Paraná, Dickow et al. (2012) found a higher leaf deposition in initial stages of succession in relation to the medium and advanced stages of natural regeneration. The higher deposition of leaves found in early stages of succession was justified by the authors as a consequence of the accelerated growth in the vegetation, mainly due to the high abundance of pioneer species, which need a high photosynthetic rate achieved through the high biomass in leaves that are rapidly replaced. However, in this study, the occurrence of strong winds from August, 2012 to January, 2013 may have been a mechanical factor, causing a higher deposition of leaves in AR (advanced regeneration area).
Regarding the branches fraction, the results found in this study were expected, since the vegetation of areas A1 and A2 was predominantly composed of herbaceous and shrub species. According to König et al. (2002), the deposition pattern of the branches is marked by temporal heterogeneity with low correlation with climatic events. Green (1998) and Moraes (2002) showed that the first strong rains after the dry season cause the fall of many dry branches, which still remained united to the plant. Therefore, the intense rains and the strong winds, which occurred from August, 2012 to January, 2013, were probably responsible for the greater production of the branch fraction. This effect was most pronounced in areas A1 and A2, due to their greater exposure to external factors and due to the condition of greater isolation in the landscape without a closed canopy.
According to Diniz and Pagano (1997), the temporal variation of the production of reproductive material may be related to the variety of species in the study areas and to the phenology of these species rather than to the successional stage. Thus, the production values of this material in the same forest type may vary according to the area studied, as they depend on local abiotic conditions, floristic composition and demography of each species.
Tropical forests have a very complex structure and floristic composition, which directly affects the litterfall, decomposition and release of nutrients into the environment (ALVAREZ-SÁNCHEZ; GUEVARA, 1999; VASCONCELOS; LUIZÃO, 2004). The litterfall of an area depends primarily on the productivity of the plant community, and the main abiotic factor determining this production is climate, with precipitation and temperature as the main components (FACCELLI; PICKETT, 1991). The temporal variation in litterfall is correlated with the amount of rainfall and has been reported for almost all tropical forests in the world.
5 Conclusions
Although the pioneer species in A1 and A2 areas grow fast and have a short life cycle, investing heavily in biomass production in a short period, the highest annual litterfall was found in the forest fragment (AR) that significantly produced more leaves, residues and reproductive material. This can be explained by its community structure, with large trees, more closed canopy and greater number of epiphytes. On the other hand, areas A1 and A2 produced significant amounts of thin stems. These areas have a higher proportion of species in early successional stages, a higher density of thin trees and a more open canopy, being subject to winds, which could result in greater production and fall of branches.
The trend of increased litterfall in the spring season indicates the renewal of leaves and a possible response to water stress regarding the end of winter with low temperatures and low rainfall, which could explain the lack of direct correlation between litterfall and climatic variables in the three areas studied. Considering that the peak litterfall was in September and the driest months were from April to June, there was a delay of two to three months in the vegetation response to water stress in the study area.
References
ALVARES CA, STAPE JL, SENTELHAS PC, GONÇALVES JLM, SPAROVEK G. Köppen’s climate classification map for Brazil. Meteorol. Z. 2014;22(6):711-728.
ALVAREZ-SANCHEZ J, GUEVARA S. Litter interception on Astrocaryum mexicanum Liebm. (Palmae) in a Tropical Rain Forest. Biotropica 1999;31(1):89-92.
ANTONELI V, THOMAZ EL. Produção de serrapilheira em um fragmento de floresta ombrófila mista com sistema de faxinal. Soc. nat. 2012;24(3):489-504.
ARAÚJO RS, PIÑA-RODRIGUES FCM, MACHADO MR, PEREIRA MG, FRAZÃO FJ. Aporte de serrapilheira e nutrientes ao solo em três modelos de revegetação na Reserva Biológica de Poço das Antas, Silva Jardim, RJ. Floresta Ambient. 2006;12(2):15-21.
BACK AJ. Caracterização Climática. In: MILIOLI G, SANTOS R, CITADINI-ZANETTE V, editors. Mineração de carvão, meio ambiente e desenvolvimento sustentável no sul de Santa Catarina. Curitiba: Juruá; 2009. p. 17-33.
BARBOSA JHC, FARIA SM. Aporte de serrapilheira ao solo em estágio sucessionais florestais na Reserva Biológica de Poço das Antas, Rio de Janeiro, Brasil. Rodriguésia 2006;57(3):461-476.
BIANCHIN JE, MARQUES R, BRITEZ RM, CAPRETZ RL. Deposição de fitomassa em formações secundárias na Floresta Atlântica do Paraná. Floresta Ambient. 2016;23(4):524-533.
BOEGER MRT, NEGRELLE RRB, MARTINS R. Produção de serapilheira num gradiente sucessional em Floresta Ombrófila Densa das Terras Baixas, Município de Itapoá, SC. Rev. Tec. Amb. 2000;6(2):91-106.
BRANCALION PHS, VIDAL E, LAVORENTI NA, BATISTA JLF, RODRIGUES RR. Soil-mediated effects on potential Euterpe edulis (Arecaceae) fruit and palm heart sustainable management in the Brazilian Atlantic Forest. Forest Ecol. Manag. 2012;284(1):78-85.
CITADINI-ZANETTE V. Florística, fitossociologia e aspectos da dinâmica de um remanescente de Mata Mtlântica na microbacia do Rio Novo, Orleans, SC [thesis]. São Carlos: Centro de Ciências Biológicas e da Saúde/UFSCar; 1995. 249p.
DICKOW KMC, MARQUES R, PINTO CB, HÖFER H. Produção de serapilheira em diferentes fases sucessionais de uma floresta subtropical secundária, em Antonina, PR, Cerne 2012;8(1):75-86.
DINIZ S, PAGANO SN. Dinâmica de folhedo em floresta mesófila semidecídua no município de Araras. I – Produção, decomposição e acúmulo. Rev. Inst. Flor. 1997;9(1):27-36.
FACCELLI JM, PICKETT STA. Plant litter: its dynamics and effects on plant community structure. Bot. Rev. 1991;57(1):1-32.
FERNANDES MM, PEREIRA MG, MAGALHÃES LMS, CRUZ AR, GIÁCOMO RG. Aporte e decomposição da serrapilheira em área de floresta secundária, plantio de sabiá (Mimosa caesalpinieafolia Benth.) e andiroba (Carapa guianensis Aubl.) na Flona Mario Xavier, RJ. Ci. Fl. 2006;16(2):163-175.
FIGUEIREDO FILHO A, SERPE EL, BECKER M, FERNANDA D. Produção estacional de serapilheira em uma Floresta Ombrófila Mista na Floresta Nacional de Irati (PR). Ambiência 2005;1(2):257-269.
FREIRE MF, SCORIZA RN, PIÑA-RODRIGUES FCM. Influência do clima no aporte de serapilheira em uma floresta ombrófila densa montana. Rev. Bras. Ciênc. Agrár. 2014;9(3):427-431.
GOMES, J. M.; PEREIRA, M. G.; PIÑA-RODRIGUES, F. C. M.; PEREIRA, G. H. A.; GODIM, F. R.; SILVA, E. M. R. Aporte de serrapilheira e de nutrientes em fragmentos florestais da Mata Atlântica, RJ. Rev. Bras. Ciênc. Agrár. 2010;5(3):383- 391.
GREEN PT. Litterfall in rain forest on Christmas Island, Indian Ocean: quantity, seasonality, and composition. Biotropica 1998;30(4):671-676.
HAAG HP. Ciclagem de nutrientes em florestas tropicais. Campinas: Fundação Cargill; 1985.
HAMMER O, HARPER DAT, RYAN PD. PAST: Palaeontological Statistics software package for education and data analysis. Palaeontol. Electron. 2001;4(1):1-9.
IBGE - Instituto Brasileiro de Geografia e Estatística. Manual Técnico da Vegetação Brasileira. Rio de Janeiro: IBGE; 2012. 271 p.
IPAT/UNESC- Instituto de Pesquisas Ambientais e Tecnológicas- Universidade do Extremo Sul Catarinense. Diagnóstico Ambiental Mina Malha II Leste, Siderópolis, Santa Catarina. Criciúma: UNESC, 2002. 121 p.
IPAT/UNESC- Instituto de Pesquisas Ambientais e Tecnológicas- Universidade do Extremo Sul Catarinense. Projeto de Reabilitação Ambiental de Áreas Degradadas pela atividade extrativa de carvão mineral: Campo Malha II Leste, Siderópolis, Santa Catarina. Criciúma: UNESC, 2005. 74 p.
KÖHLER L, HÖLSCHER D, LEUSCHNER C. High litterfall in old-growth and secondary upper montane forest of Costa Rica. Plant Ecol. 2008;199(2):163-173.
KÖNIG FG, SCHUMACHER MV, BRUN EJ, SCLING I. Avaliação da sazonalidade da produção de serapilheira numa floresta estacional decidual no município de Santa Maria, RS. Rev. Árvore 2002;26(4):429-435.
LEITÃO-FILHO HF. Ecologia da Mata Atlântica em Cubatão. São Paulo: Editora da UNESP; 1993.
MACHADO MR, PIÑA RODRIGUES FCM, PEREIRA MG. Produção de serapilheira como bioindicador de recuperação em plantio adensado de revegetação. Rev. Árvore 2008;32(1):143-151.
MARTINELLO, C.M.; CITADINI-ZANETTE, V.; SANTOS, R. Acúmulo e decomposição de serapilheira em remanescente de Mata Atlântica, Orleans, Santa Catarina. Rev. Tec. Amb. 1999;4(1):7-16.
MARTINS R. Florística, estrutura fitossociológica e interações interespecíficas de um remanescente de Floresta Ombrófila Densa como subsídio para recuperação de áreas degradadas pela mineração de carvão, Siderópolis, SC [dissertation]. Florianópolis: Programa de Pós-graduação em Botânica/UFSC; 2005. 93 p.
MARTIUS C, HÖFER H, GARCIA MVB, RÖMBKE J, HANAGARTH W. Litter fall stocks and decomposition rates in rainforest and agroforestry sites in Central Amazônia. Nutr. Cycl. Agroecosys. 2004;68(2):137-154.
McDONALD MA, HEALEY JR. Nutrient cycling in secondary forest in the Blue Mountains of Jamaica. Forest Ecol. Manag. 2000;139(1-3):257-278.
MEENTMEYER V, BOX EO, THOMPSON R. World patterns and amounts of terrestrial plant litter production. Bioscience 1982;32(2):125-128.
MEGURO M, VINUEZA GN, DELITTI WBC. Ciclagem de nutrientes minerais na Mata Mesófila secundária. I - Produção e conteúdo de nutrientes minerais do folhedo. Bol. Bot. Univ. São Paulo 1979;7:11-31.
MELLO RSP. Produção de serapilheira e aspectos da ciclagem de nutrientes em dois tipos florestais adjacentes no Rio Grande do Sul [dissertation]. Porto Alegre: Programa de Pós-Graduação em Ecologia/UFRGS; 1995. 135 p.
MORAES RM. Ciclagem de nutrientes na floresta do PEFI: produção e decomposição da serapilheira. In: BICUDO D, FORTI M, BICUDO C, editors. Parque Estadual das Fontes do Ipiranga: unidade de conservação que resiste à urbanização de São Paulo. São Paulo: Secretaria de Estado do Meio Ambiente; 2002. p. 133-142.
NASCIMENTO ACP. Produção e aporte de nutrientes da serrapilheira em um fragmento de mata atlântica na Rebio União, RJ: efeito de borda [dissertation]. Campos dos Goytacazes: Centro de Biociências/UENF; 2005. 77 p.
NUNES FP, PINTO MTC. Produção de serapilheira em mata ciliar nativa e reflorestada no alto São Francisco, Minas Gerais. Biota Neotrop. 2007;7(3):98-102.
PEZZATO AW, WISNIEWSKI C. Produção de serapilheira em diferentes seres sucessionais da Floresta Estacional Semidecidual no oeste do Paraná. Floresta 2006;36(1):111-120.
PORTES MCGO, KOEHLER A, GALVÃO F. Variação sazonal de deposição de serapilheira em uma Floresta Ombrófila Densa Altomontana no Morro do Anhagava, PR. Floresta 1996;26(1-2):3-10.
PROCTOR J. Tropical forest litterfall I. Problems of data comparison. In: SUTTON SL, WHITMORE TC, CHADWICK AC, editors. Tropical rain forest: ecology and management. Oxford: Blackwell Scientific; 1983. p. 267-273.
ROCHA AA. Deposição de fitomassa e nutrientes, acumulação e decomposição de serapilheira em três tipologias da Floresta Atlântica, Paranaguá, PR [dissertation]. Curitiba: Setor de Ciências Agrárias/UFPA; 2006. 113 p.
RODRIGUES RR. Restauração de florestas tropicais indicadores de avaliação e monitoramento vegetal. In: Anais do 4° Simpósio de Ecossistemas Brasileiros; 1998, Águas de Lindóia, SP: ACIESP. p. 179-183.
ROSSO MF. Produção e acúmulo de serapilheira em Floresta Ombrófila Densa, Criciúma, Santa Catarina [monography]. Criciúma: Curso de Ciências Biológicas/UNESC; 2011. 32 p.
SANCHEZ, G.; ALVAREZ-SANCHEZ, J. Litterfall in primary and secondary tropical forests of Mexico. Trop. Ecol. 1995;36:191-201.
SANQUETTA CR, MAAS GCB, OLIVEIRA IM, SANQUETTA MNI, CORTE APD. Dinâmica sazonal da produção de serapilheira em fragmento de Floresta Ombrófila Mista Montana no estado do Paraná. Enciclopédia Biosfera 2016;24:413-422.
SANTOS R. Produção de serapilheira e decomposição foliar em um remanescente de Mata Atlântica, Orleans, SC [dissertation]. Porto Alegre: Instituto de Ciências Básicas da Saúde/UFRGS; 1997. 78 p.
SELLE GL. Ciclagem de nutrientes em ecossistemas florestais. Bioscience 2007;23(4):29-39.
SLOBODA B, MARQUES R, BIANCHIN J, BLUM H, DONHA C, SILVEIRA F, CAPRETZ R. Litterfall and Nutrient Dynamics in a Mature Atlantic Rainforest in Brazil. Floresta Ambient. 2017;24:1-9.
SOUZA JA, DAVIDE AC. Deposição de serapilheira e nutrientes em uma mata não minerada e em plantações de bracatinga e de eucalipto em áreas de mineração de bauxita. Cerne , 2001;7(1):101-113.
TIENNE L, NEVES LG, VACARCEL R. Produção de serrapilheira em diferentes medidas biológicas para recuperação de área de empréstimo na Ilha da Madeira, Itaguaí, Rio de Janeiro. Rev. Ciênc. Vida 2002;22(2):169-175.
VASCONCELOS HL, LUIZÃO FJ. Litter production and litter nutrient concentrations in a fragmented amazonian landscape. Ecol. Appl. 2004;14(3):884-892.
VENDRAMI JP, JURINITZ CF, CASTANHO CT, LORENZO L, OLIVEIRA AA. Litterfall and leaf decomposition in forest fragments under different successional phases on the Atlantic Plateau of the state of Sao Paulo, Brazil. Biota Neotrop. 2012;12(3):136-143.
VIBRANS AC, SEVEGNANI L. Produção de serapilheira em dois remanescentes da Floresta Ombrófila Densa em Blumenau, SC. REA 2000;1(2):103-116 ,.
VIDAL MM, PIVELLO VR, MEIRELLES ST, METZGER JP. Produção de serapilheira em floresta Atlântica secundária numa paisagem fragmentada (Ibiúna, SP): importância da borda e tamanho dos fragmentos. Braz. J. Bot. 2007;30(3):521-532.
VITOUSEK PM, SANFORD JUNIOR RL. Nutrient cycling in moist tropical forest. Annu. Rev. Ecol. Syst. 1986;17(4):137-167.
WERNECK MS, PEDRALLI G, GIESEKE LF. Produção de serapilheira em três trechos de uma floresta semidecídua com diferentes graus de perturbação na Estação Ecológica do Tripuí, Ouro Preto. Braz. J. Bot. 2001;24(2):195-198.
Alternative link
https://periodicos.ufsm.br/cienciaenatura/article/view/26019/pdf (pdf)