Artículos
Caracterización nacional de las víctimas de trata de personas en Chile, 2012-2018: Perfil sociodemográfico y acceso a salud
National characterization of human trafficking victims in Chile, 2012-2018. Socio-demographic profile and access to health
Caractérisation nationale des victimes de la traite des êtres humains au Chili, du 2012 au 2018. Le profil sociodémographique et l’accès aux services de santé
Caracterización nacional de las víctimas de trata de personas en Chile, 2012-2018: Perfil sociodemográfico y acceso a salud
Revista Espiga, vol. 18, núm. 38, pp. 158-178, 2019
Universidad Estatal a Distancia

Recepción: 23 Enero 2019
Aprobación: 29 Agosto 2019
Resumen: Este artículo aborda el fenómeno de la trata de personas a partir del perfil sociodemográfico y de acceso a la salud en Chile durante el periodo 2012 a 2018. Sus objetivos se basan en conocer las características sociodemográficas y de atención en salud de las víctimas de trata en este país, las cuales fueron identificadas a través de las denuncias efectuadas por instituciones pertenecientes a la Mesa Intersectorial sobre Trata de Personas (MITP), o bien, por medio de su protocolo. En su parte teórica, se exponen los diferentes tipos de trata y su incidencia según variables de edad y género, especialmente. Metodológicamente, el trabajo es de enfoque cuantitativo, con un diseño descriptivo y transversal, en el que se usan los registros electrónicos en salud para llevar una estadística de la problemática de la trata en Chile. Gracias a esto se concluye que hay una fuerte relación entre la configuración del delito en las zonas extremas del país, la edad, el género y el tipo de trata del cual son víctimas las personas atendidas en los centros de salud.
Palabras clave: Salud pública, esclavitud moderna, explotación sexual, derechos humanos.
Abstract: This article deals with the phenomenon of human trafficking from the standpoint of a socio-demographic profile and access to health in Chile from 2012 to 2018. It aims to get to know the socio-demographic characteristics and health care offered to human trafficking victims in that country, victims who were identified through complaints made by institutions part of the Intersectional Bureau on Human Trafficking (MITP, Spanish acronym), or by its protocol. Theoretically, it exposes the different types of trafficking and their incidence according to variables of, mainly, gender and age. Methodologically, the article is quantitative, with a descriptive and transversal design that makes use of electronic health records for statistics of the problem in Chile. It was concluded that there is a close relationship between the configuration of the crime in the country’s farthermost areas, age, gender and type of trafficking experienced by the people served in health centers.
Keywords: Public health, modern slavery, sexual exploitation, human rights.
Résumé: Cet article concerne le phénomène de la traite des êtres humains à partir du profil sociodémographique et l’accès aux soins médicaux au Chili pendant la période comprise entre 2012 et 2018. Il a pour objectifs de connaître les caractéristiques sociodémographies et l’accès aux soins des victimes de la traite des êtres humains dans ce pays. Ces caractéristiques ont été identifiées à travers les plaintes effectuées par les institutions qui font partie de la Mesa Intersectorial sobre la Trata de Personas (MTTP en espagnol, il s’agit d’une instance intersectorielle sur la traite des êtres humains composée d’institutions et services publiques), ou bien par le biais de son protocole. Les différentes formes de traites et leur incidence, notamment, l’âge et le genre sont exposés depuis la théorie. En ce qui concerne la méthodologie, ce travail est quantitatif et descriptif transversal lequel a utilisé les dossiers de santés électroniques pour tenir les statistiques de la problématique de la traite au Chili. Ces données ont permis de conclure qu’il a une relation forte entre le délit dans les zones éloignées, le pays, l’âge, le genre et la forme de la traite des victimes qui sont soignées dans les centres de santé.
Mots clés: Santé publique, esclavage moderne, exploitation sexuelle, droits de l’homme.
Introducción
La trata de personas es una práctica de esclavitud moderna que daña a las personas de forma irreparable, al punto de inclusive causar la muerte. Es un acto criminal, así como una violación de los derechos humanos; una forma de explotación y un acto de violencia. Es un fenómeno social complejo y transregional.
En el mundo, actualmente, existen cerca de 27 millones de esclavos modernos, quienes podrían ser parte de este delito. La compraventa de seres humanos constituye hoy un mercado lucrativo, capaz de movilizar hasta 32 millones de dólares al año, con una afectación de 161 estados y con un estimado de 12,3 millones de víctimas a nivel mundial1.
Desde el 2015, el Ministerio de Salud es parte del Plan Intersectorial de Acción contra la Trata de Personas 2015-2022, programa liderado por el Ministerio de Interior. El objetivo de este plan es generar e implementar acciones de carácter permanente para prevenir y combatir la trata de personas en Chile, además de garantizar la protección y asistencia de las víctimas. Cabe recalcar que este plan presta especial atención a las mujeres y niños y vela por el respeto pleno de los derechos humanos2. Desde su aplicación, el Ministerio de Salud ha avanzado paulatinamente para dar una mejor respuesta a los desafíos que involucra este delito en la atención de las víctimas.
En este contexto, en el marco del trabajo de migraciones y salud, se ha desarrollado un trabajo coordinado entre las subsecretarías de Salud Pública y las subsecretarías de Redes Asistenciales en la línea de institucionalizar el trabajo respecto de la asistencia de víctimas de la trata de personas, con el fin de dar una respuesta integral a los compromisos intersectoriales.
Por otro lado, el reporte de víctimas y casos judicializados durante el 2017, según el Ministerio de Interior y Seguridad Pública, detectó que entre el 2011 y el 2017 hubo un total de 214 víctimas, de las cuales se han identificado 121 hombres, todos por trata laboral, lo que representa un 57 % del total; mientras que se encontró a 93 personas víctimas de trata, en su mayoría con fines de explotación sexual, cuya representación es del 43 % del total. De esas cantidades, 16 corresponden a personas menores de edad (niños, niñas y adolescentes)3.
Por su parte, en este mismo rubro, el estudio de trata de la Organización Internacional para las Migraciones (OIM), realizado en el 2008 para Chile, reporta la presencia de 36 casos y 147 víctimas asociadas al delito; dicho estudio, revela que los casos corresponden a un 18 % de niños y niñas, mientras que el 58 % a mujeres adultas; además, este reporte menciona que los fines del tráfico de personas corresponde a un 50 % con fines de explotación sexual, 40 % de explotación laboral y 10 % se encontraba en tránsito4.
Fenómeno mundial
Ya en el contexto de la salud, es necesario destacar que las evidencias sobre la trata de personas y la explotación humana indican que todas las regiones del mundo se ven afectadas por este fenómeno; a esto se suma la existencia de patrones de trata de personas en el sur, centro y norte de América, África, Asia y el Pacífico. Por su naturaleza, esto implica que los funcionarios de salud en algún momento tendrán contacto con una persona expuesta a la trata de personas5 y que, por ende, deben estar preparadas para estos casos.
Asimismo, en el mismo campo de la salud, Andrea Giménez-Salinas, de la Universidad Autónoma de Madrid, en 2011 consolidó una serie de estudios relacionados con las consecuencias físicas y psicológicas de la trata de personas con fines de explotación sexual; entre sus resultados se destaca que los efectos en la salud de las víctimas, presenta con mayor frecuencia6:
problemas físicos como lesiones, roturas de huesos, quemaduras, cortes o heridas, trastornos alimentarios, problemas de sueño, fatiga u otros relacionados con la privación de necesidades básicas;
problemas relacionados con la salud sexual o reproductiva, como violaciones y abusos sexuales, prácticas sexuales traumáticas, abortos y embarazos no deseados, así como enfermedades de transmisión sexual y otros;
consumo y dependencia de medicamentos o drogas como forma de sometimiento y explotación;
problemas de tipo psicológico tales como estrés agudo, estrés postraumático, ansiedad, fobias, ataques de pánico y depresión.
Si bien es cierto las acciones en salud han sido orientadas a dar respuesta inmediata a la constancia de lesiones, en la actualidad la comprensión y sensibilización del fenómeno al interior de los equipos de salud se vuelve un imperativo; no obstante, hoy no se sabe cuántas son las víctimas que han asistido a una atención en salud en la red asistencial de salud pública en Chile, por lo cual también se desconoce sobre las principales afecciones en salud que se han tratado en esta población, lo que genera la carencia de una caracterización epidemiológica de las víctimas de trata de personas en el país.
De este modo, la identificación de las principales consecuencias en la salud de las víctimas de trata de personas es un tema relevante a la hora de proponer intervenciones en la salud integral, así como también sería relevante para este sector el contar con un perfil epidemiológico nacional de estas víctimas a partir de las que ya han recibido atención durante un periodo transversal. Al respecto, se destacan7:
los motivos de consulta de las víctimas;
el registro de atenciones otorgadas en salud;
otras variables que permitan tener una caracterización en salud.
Sin esta imperativa caracterización se vuelve complejo intervenir el fenómeno de la trata de personas en salud, ya que la brecha generada por la ausencia de sistematizaciones epidemiológicas de estos casos hace compleja una restitución integral de derechos hacia las personas afectadas. El sector salud es clave para contribuir a esta temática, principalmente en la continuidad del cuidado, tratamiento y restitución de derechos de las víctimas; asimismo, el no contar con una caracterización nacional en salud, imposibilita levantar evidencias del sector para la futura toma de decisiones en cuanto a la restitución y asistencia de víctimas sobrevivientes de la trata.
Métodos
En el ámbito metodológico, por sus características, este estudio es de enfoque cuantitativo, con un diseño descriptivo y transversal, a partir de los registros administrativos y sanitarios reportados por las Secretarías regionales ministeriales de salud (Seremis) sobre los casos de víctimas de trata de personas.
Sus objetivos principales se enfocan en conocer las características sociodemográficas, sanitarias y de atención en salud de las víctimas de trata de personas, las cuales fueron identificadas a través de las denuncias efectuadas por instituciones pertenecientes a la Mesa Intersectorial sobre Trata de Personas (MITP), así como también las que no ingresaron vía protocolo formal de la MITP.
Por su parte, para conocer el perfil sociodemográfico y la caracterización en salud de las víctimas de trata de personas a nivel nacional entre el 2012 y el 2018, se contó con la coordinación y articulación de los referentes de gestión de casos de trata de personas, suministrados por cada una de las Seremis del país.
Además, durante la etapa inicial de la investigación –agosto de 2018–, se contactó a los referentes de trata de personas y/o migración de los Servicios de Salud con el fin de que reportaran, a través de una planilla de Excel, los casos a sus Seremis respectivas. Se incluyó a todas las personas víctimas de trata que habían tenido contacto con el sector salud.
De este modo, el estudio describe las variables sociodemográficas (edad, ocupación, número de hijos e hijas, país de origen, fines de la trata, entre otras), las variables de salud (diagnósticos en salud y las variables de utilización de atenciones de salud, atenciones recibidas por Garantías Explícitas en Salud/GES, ingreso a programas de salud en Atención Primaria de Salud/APS, derivaciones a nivel secundario, entre otras).
Entre las técnicas e instrumentos de recolección de datos se destaca que la información se trabajó a partir de las plantillas de Excel, foliadas y anónimas para salvaguardar la confidencialidad de las víctimas. Las fuentes secundarias de información corresponden por su parte al Repositorio Nacional de Listas de Espera (RNLE) y al Sistema General de Garantías Explícitas en Salud (SIGGES).
A partir de la información anteriormente señalada, se construyó una base de datos en Excel para el análisis estadístico y se realizó el cruce de variables que permitió ahondar más en la descripción del fenómeno. Posteriormente se calcularon frecuencias relativas, medidas de tendencia central y de dispersión para describir el perfil de las mujeres estudiadas. Para esto se utilizó el software SPSS, así como el R Commander para el diseño de gráficos.
Resultados
A. Perfil y características demográficas de las víctimas de trata de personas (las víctimas)
El posicionamiento de las cinco primeras nacionalidades de proveniencia de las víctimas de trata atendidas en Chile, se destacan de la siguiente manera (Tabla 1):

Proveniencia de las víctimas
elaboración propia, con datos tomados de la base de datos «Estudio de caracterización nacional de las víctimas de tratade personas en Chile, 2012-2018». Perfil sociodemográfico y acceso a saludAsimismo, de acuerdo con el cruce de variables de género y nacionalidad, del 100 % de las víctimas, 69 corresponde a mujeres, mientras que 63 son hombres. De ellas, Bolivia presenta el mayor número de casos de hombres víctimas, con un 92,1 %, mientras que de las mujeres corresponde al 33,3 %. El caso de indios, estos representan el 7,9 % de los hombres.
En cuanto a mujeres, el 18,8 % corresponde a colombianas, el 14,5 % a ecuatorianas y el 4,3 % a argentinas y brasileñas. En el caso de las venezolanas, haitianas y paraguayas, estas representan el 2,9 % cada una. El caso de las chilenas, corresponde a 2 (2,9 %), de 35 y 23 años respectivamente, captadas en contextos de ruralidad (Coquimbo) y Patagonia Extrema (Magallanes), ambas tratadas en el extranjero (EE. UU. y Argentina) con fines de explotación sexual y laboral. Las mujeres peruanas, dominicanas, rusas, sirias, sudafricanas, coreanas y chinas corresponden al 1,4 % cada una (Figura 1).
Así, del total de 132 casos de trata de personas reportados por el sector salud, el 52,3 % corresponde a mujeres, lo que convierte a la variable del género una de las fundamentales para la comprensión del fenómeno (Tabla 2).

Total de víctimas en el sector salud

Países de origen de individuos sometidos a trata de personas, Chile 2012-2018.
Estudio de trata de personas,Chile 2012-2018, MINSAL, 2018. Autor: Christian García.De los datos anteriores se debe destacar que las personas afectadas son principalmente mujeres y niñas, con un promedio de edad de entre 14 y 27 años, pertenecientes a pueblos originarios y con uno o más hijos. Igualmente, se debe destacar la fuerte presencia de hombres jóvenes víctimas de explotación laboral, esclavitud y/o servidumbre. De estos perfiles estudiados, se desprende una alta carga de enfermedades debido a su situación de cautiverio, explotación y tortura (Tabla 3).
Un aspecto importante por detallar es el de las pérdidas de datos, entre los que se destaca que los casos judicializados y registrados por la MITP8 en el 2017, corresponden a un total de 214 víctimas, de las cuales solo 132 accedieron al sistema de salud. Así, la pérdida de datos asciende a 82 casos.
Ahora bien, el hecho de que existan más casos de mujeres atendidas en el sector salud no es concordante en relación con el de hombres víctimas de delito; esto porque según el reporte del Ministerio de Interior y Seguridad Pública, se detectó que desde el 2011 hasta el 2017 hubo un total de 214 víctimas9. Así, de las causas formalizadas, se identifican 121 víctimas hombres, todos por trata laboral, que representan el 57 % del total, y 93 mujeres, en su mayoría con fines de explotación sexual, con una representación del 43 %. De este total, 16 víctimas se identifican como personas menores de edad (niños, niñas y adolescentes), con 6 víctimas entre los 14 y los 20 años, según evidencia el estudio sanitario.

Edad promedio de las víctimas
Además, el 64 % de las víctimas se concentra en un corte de edad de entre 28 y 34 años, mientras que en segundo lugar está el corte de edad entre 21 y 27 años, con un porcentaje de 15,9 %; en tercer lugar están las personas con edades entre los 35 y 42 años, lo que representa el 11,4 % de las víctimas. Llama la atención que las víctimas menores de 18 años (14-20 años) concentran el 4,5 %, lo que indica que es una realidad urgente por abordar. En último lugar se tiene a las personas entre 43 y 50 años, con una equivalencia al 3,8 % de las víctimas.
Se destaca que de las víctimas menores de 18 años, cuatro corresponden a dos nacionalidades, tres ecuatorianas y una boliviana; la edad más baja de las víctimas es de 14 años. De estas, todas son con fines de explotación sexual (Figura 2).
Otro aspecto relevante es el de la relación entre el sexo y la edad de las víctimas, entre 28 y 34 años corresponde a 95,2 % en hombres y en mujeres a 36,2 %. En el caso del corte de edad entre 21 y 27 años, el 29,0 % son mujeres, mientras que el 1,6 % a hombres. Las adolescentes, entre 14 y 20 años, son un 8,7 % de las mujeres, mientras que en hombres es de 0 %. El corte etario de 14 a 20 años corresponde al 4,5 % de las atenciones en el sector salud. Otro dato relacionado con la atención es que el 40 % son coreanas y el 8,7 % argentinas, del total de 2,5 % de víctimas. En el caso de los hombres, los bolivianos entre 28 y 34 años representan el 98,3 % de las víctimas.
De estos datos se desprende que en el sector salud se atiende a más víctimas de trata mujeres que hombres, situación que comprende varios factores, como el fin de la trata (la explotación sexual es más frecuente en mujeres); por ende, la utilización de salud va a ser con mayor frecuencia por esta población, tanto por su condición de mujer asociada al delito, como de la explotación sexual (Figura 3).

Edad-Tipo de trata-Género. Edad de personas sometidas a trata por tipo de trata y género, Chile, 2012- 2018.
Estudio de trata de personas, MINSAL, 2018.En temas de escolaridad, se desprende que un 56,1 % de las personas víctimas de trata no la informa, aunque se señala que 14,4 % presenta la primaria completa y un 17,4 % la secundaria completa. Además, el 3 % cuenta con educación superior completa. De estos porcentajes, las mujeres tienen más escolarización en todos los niveles, aunque los hombres concentran más del 95,2 % de escolaridad no informada, situación probablemente relacionada con su situación de trata laboral. Por su parte, las mujeres concentran la educación superior completa con un 5,8 % del total.
En sí, la escolaridad manifiesta mayor heterogeneidad en mujeres víctimas con fines de explotación sexual, lo que evidencia el eventual perfilamiento de los tratantes, la víctima y el fin último de la trata. En el caso de los hombres, no se puede conjeturar que no tengan escolaridad, pues la respuesta generalmente fue asociada a «No responde» o «No sabe» (Figura 4).
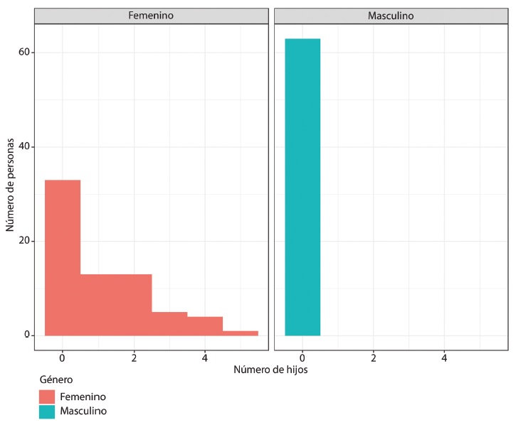
Acerca de los hijos e hijas, el 72,7 % no tiene; no obstante, el 27,3 % tiene uno o más, concentrados en el género femenino. Se destaca que la información de los hombres se ve condicionada por el contexto de la trata, la mayoría fue categorizada en «No contesta» o «No informado»; esto no quiere decir necesariamente que no tengan (Figura 5).
Otro aspecto relevante está relacionado con la pertenencia a pueblos originarios, cuyos datos arrojan que la mayor cantidad de mujeres son aymaras, con lo que se puede relacionar el delito en la trifrontera Chile-Perú-Bolivia, lugar de habitación de dicho pueblo. En este estudio, la mayoría de esta población proviene de Bolivia, así como la de los tacanas. Ecuador es el siguiente en la lista, con el pueblo otavaleño. En el caso de los hombres, estos no declaran pertenencia a algún pueblo (Figura 6).

Edad de personas sometidas a trata por género, Chile, 2012-2018.
Estudio de trata de personas, MINSAL, 2018.

Escolaridad-Tipo de trata. Escolaridad de personas sometidas a trata por género, Chile, 2012-2018.
Estudio detrata de personas, MINSAL, 2018.

Víctimas-número de hijos. Personas sometidas a trata por género y número de hijos, Chile, 2012-2018.
Estudiode trata de personas, MINSAL, 2018.B. Configuración del delito
En este apartado, se debe exponer que el 97,0 % del delito corresponde a denuncias, lo que indica que la mayoría de las víctimas ingresadas a centros de salud ha sido por vía de la MITP10. El restante 3 % corresponde a sospechas realizadas por los equipos de salud (Tabla 4)11.

Víctimas-Género-Pueblos originarios. Número de personas sometidas a trata de género y pertenencia a un pueblo originario,Chile, 2012-2018.
Estudio de trata de personas, MINSAL, 2018.

Total de denuncias y sospechas
Además, la trata laboral sigue siendo la más alta (69,7 %), concentrada mayormente en hombres con un 95,2 % de víctimas; en comparación con la trata sexual, con un 24,2 %, concentrada mayormente en mujeres, con un 46,4 % de víctimas, mismo porcentaje de mujeres víctimas de trata laboral. Más abajo en los porcentajes se tiene el caso de la servidumbre, esclavitud o prácticas análogas, con un 7,2 % de mujeres y 4,8 % de hombres (Tabla 5).

Tipo de trata
En el mapa se evidencia que la Región Metropolitana concentra el mayor porcentaje de víctimas con un 88,4 % de mujeres y 95,2 % de hombres, respectivamente. Esto ocurre por diversas variables, como por ejemplo que la víctima es rescatada en otro punto del país y es trasladada a la capital (Santiago) con el fin de iniciar el proceso de judicialización y/o reparación; se debe destacar que la oferta de reparación cerrada para mujeres se encuentra en la Región Metropolitana, esto hace que el número se concentre en dicha región. No obstante, no en todos los casos ocurre el mismo procedimiento; en ocasiones, la identificación de víctimas en regiones como Maule, Valparaíso, Copiapó, Tarapacá y Arica presentan mayores elementos de determinación social y ambiente como lo son el acceso a servicios de salud, geografía, distancias, pasos fronterizos y, sobre todo, regiones con alta empleabilidad informal, como también son regiones que no cuentan con oferta del Estado en el ámbito reparatorio, se destacan las últimas regiones del Extremo Norte, las cuales comparten frontera con Perú y Bolivia, por lo que el fenómeno de la trata tiene relación directa con zonas fronterizas, sobre todo vía terrestre. A continuación, se muestran los datos (Tabla 6):

Servicio de salud al cual acceden las víctimas
De estos datos se destaca que las víctimas de 18 años corresponden a cuatro, tres de nacionalidad ecuatoriana y una boliviana; la de edad más baja es de 14 años, todas con fines de explotación sexual. Los delitos de la trata de las adolescentes se configuran en comunas como Parral (Maule), Talca (Maule), La Pintana (Metropolitana), comunas rurales y/o vulnerables, lo que concuerda con la realidad mundial sobre el delito12 (Figura 7).

Número de personas sometidas a trata por región, Chile 2012-2018.
Estudio de trata de personas, MINSAL,2018. Autor: Christian García.C. Acceso a salud y aproximaciones diagnósticas de las víctimas
Como se ha observado, las víctimas de trata de personas se concentran en la zona centro del país, específicamente en la Región Metropolitana de Santiago y en la Región Metropolitana de Valparaíso (Figura 8).

Víctimas-Servicios de salud. Número de personas sometidas a trata por servicio de salud, Chile 2012-2018.
Estudio de trata de personas, MINSAL, 2018. Autor: Christian García.El Servicio de Salud Metropolitano Central-Región Metropolitana concentra el 93,2 % del total de víctimas atendidas en el sector salud; le sigue el Servicio de Salud Metropolitano Norte, Viña del Mar Quillota, Maule e Iquique. De estos, el de Maule reporta la mayoría de casos de adolescentes víctimas, junto al Servicio de Salud Metropolitano Norte-Región Metropolitana (Tabla 7).

Características geográficas internas del delito: Tipo de trata, sexo y región
elaboración propia, basado en base de datos de «Estudio de Caracterización nacional de las víctimas de trata de personasen Chile, 2012-2018». Perfil sociodemográfico y acceso a salud.a. Comparten tipificación del delito.b. Ibid.En el 2013 se registran los mayores ingresos, esto en coherencia con la creación de la ley 20.507 del 2011, la cual tipifica los delitos de tráfico ilícito de migrantes y trata de personas; además, establece normas para su prevención y una persecución criminal más efectiva. Durante el 2015 y 2016 se vio un leve aumento de víctimas, aunque en los últimos años ha habido una baja, lo que no necesariamente se traduce en una disminución del delito, sino que al momento de ser judicializado no se tipifican como trata; la mayoría de los casos ocurre con la trata laboral, la cual termina tipificándose como infracciones al código de trabajo.
En el ámbito de la salud, el 50 % de los casos fue intervenido desde la medicina preventiva (exámenes, screning, EMPA, entre otros); mientras que el 31,1 % de las víctimas tiene un diagnóstico no atribuible a una clasificación específica, ya que corresponden a prestaciones en salud como vacunas, alimentos y talleres; un 5,3 % por prestación de servicios de salud mental; además, llama la atención la ausencia diagnósticos específicos entre esta población.
En la tabla 8 se observa la atención según las áreas de traumatología, medicina preventiva, salud sexual y reproductiva, cardiovascular, salud oral, salud mental, infecciones respiratorias, infecciones reemergentes y parasitarias.

Año de ingreso al sistema de salud
Elementos para considerar en las aproximaciones diagnósticas
Este estudio no pretende definir la carga de enfermedad o perfiles epidémicos, sino dar una aproximación diagnóstica de las condiciones de registro sanitario y pesquisa que alteran las conclusiones. Al respecto, el sistema de salud chilena tiene una falencia en los registros clínicos, ya que los consensos universales de criterios médicos, al describirlos en las fichas clínicas, no han sido convenidos en un país tan diverso como este.
Además, al considerar que aún no se cuenta con el 100 % de registro clínico electrónico en toda la red de salud pública, se genera una brecha relevante en cuanto a los datos de atención, sobre todo en aquellos servicios de salud en los cuales el registro es manual (fichas de papel).
Así, los criterios y/o clasificaciones diagnósticas aquí plasmadas, corresponden a lo descrito en los registros clínicos electrónicos, con la utilización de la técnica de recolección de datos por conveniencia, conglomerando categorías de acuerdo con el criterio y/o clasificación que más se repite. No obstante, se deja una lista de diagnósticos reportados por los referentes Seremis en la planilla de recolección de información con el fin de aproximarse a una realidad sanitaria en el marco del perfil de las víctimas tratadas en Chile y que accedieron al sistema de salud pública. En la siguiente página, en la tabla 9 se brinda el listado de reportes con aproximaciones diagnósticas.

Listado de reportes con aproximaciones diagnósticas
elaboración propia, basado en base de datos de «Estudio de Caracterización nacional de las víctimas de trata de personasen Chile, 2012-2018». Perfil sociodemográfico y acceso a salud.Discusión
Las consideraciones éticas son indispensables. La dignidad de la persona es el valor absoluto que justifica los derechos fundamentales; el uso de datos de las víctimas es anónimo y para salvaguardar la confidencialidad se utilizaron folios y códigos asignados por cada región.
Es importante mantener la trazabilidad de los registros de la población identificada como trata de personas para identificar el perfil de las personas usuarias, monitorear el comportamiento sanitario y proyectar posibles políticas de gestión en relación con la población estudiada.
Resultados
El estudio tiene un carácter innovador a nivel nacional e internacional, ya que viene a contribuir a la literatura previa sobre la trata de personas en Chile en el ámbito de la evidencia sanitaria chilena vinculada con la temática de salud y género. A esto se suma que los años de corte (2012 y 2018) son relevantes al tratarse de un estudio transversal, pues desde la entrada en funcionamiento de la casa de protección y el protocolo de asistencia, no se cuenta con una caracterización en la salud de las personas afectadas.
Se deben destacar los esfuerzos por mantener la confidencialidad sobre la ubicación de la casa de protección, ya que el estudio pretende mantener su anonimato y prevenir problemas posteriores de identificación de las víctimas. Por este motivo no se menciona en ningún momento el nombre de la casa de protección. Asimismo, se determina que indicar la región (Metropolitana) donde se ubica, da suficiente margen de confidencialidad y no revela un sitio específico (en el caso de las víctimas que están en proceso de rehabilitación).
Se encuentra una fuerte presencia de mujeres en más de un programa de salud, esto dado por su aproximación diagnóstica; aunque no haya sido objetivo de estudio, llama la atención la alta carga de enfermedad en perfiles muy dañados sobre todo en la población adolescente. El estudio evidencia la no pesquisa por parte de los equipos de salud sobre los elementos básicos para la atención, esto a causa de la ausencia de un protocolo para las víctimas de trata.
Además, es relevante decir que la puerta de entrada de las víctimas de trata en ocasiones ocurre por la atención primaria, sobre todo en contextos extremos, rurales, islas, fiordos y pasos fronterizos, lo que vuelve urgente una reactualización de los programas de Salud Rural en los cuales se considere el fenómeno de la trata de personas como uno de sus ejes relevantes por intervenir en los planes de acción de la salud comunitaria.
Al mismo tiempo, se evidencia que en las derivaciones, en nivel secundario, las víctimas reciben el mismo trato y tiempo de espera que pacientes generales, de acuerdo con el criterio médico y el avance de la enfermedad que presenten. Las víctimas de trata son expuestas a las peores formas de violencia, tortura y cautiverio, por lo que desde el punto de vista humanitario y de los derechos humanos se requiere mayor flexibilidad en los tiempos de espera y acción para ellas. La casuística en Chile es baja, comparada con el nivel regional (si se consideran que los países vecinos triplican los casos en un año).
Se debe destacar que las Urgencias Hospitalarias y de Atención Primaria de Salud (APS), de acuerdo con la acción que realizan, son espacios de mayor acción para la sospecha y develación; también, llama la atención que no reportan gran cantidad de casos al estudio.
El año con mayor registro de número de ingresos a salud es el 2012, esto porque en ese lustro coinciden la publicación de la ley y la de los primeros registros en salud. Al respecto, el mayor porcentaje corresponde a las víctimas sin registro de ingreso a programa alguno; en el caso de las mujeres, estas se concentran en el Programa de la Mujer, problemas de salud sexual y reproductiva, infecciones de transmisión sexual, regulación de fertilidad y otras problemáticas asociadas a la esfera sexual.
Además, resalta la presencia de ingreso al programa de tuberculosis, programa salud mental y programa respiratorio; así como las derivaciones a oncología, infectología, gastroenterología, dermatología, traumatología, psiquiatría y neurología. A lo anterior se agrega la confirmación diagnóstica de VIH+ y cáncer cervicouterino o enfermedades parasitarias, como dermatomicosis, y enfermedades reemergentes, como la tuberculosis.
Se tiene entonces que desde la atención primaria se derivan a un nivel secundario, principalmente por patologías ginecológicas y de la esfera de salud sexual y reproductiva, como embarazos de alto riesgo, confirmación de VIH, tuberculosis y otras ITS.
Otro aspecto por destacar es que en las adolescentes pesquisadas se observan multidiagnósticos, esto como una de las brechas emergentes al no poder hacerse seguimiento a su proceso de reparación en salud por diferentes factores; estos van desde la sobre intervención o nula intervención de las instituciones del Estado, hasta la disolución o pérdida del caso, pues Chile no tiene oferta específica para acoger y proteger a los niños, niñas y adolescentes (NNA) víctimas de trata que ingresan al sistema de protección general del Servicio Nacional de Menores (Sename). También ocurre que el tratamiento puede ser interferido por orden judicial, desde el mandato de retorno asistido hasta la sentencia por comisión de delitos, esto en hombres, ya que con las mujeres se tiene la posibilidad de una oferta tercerizada a través de Servicio Nacional de la Mujer y la Equidad de Género (Sernameg).
En términos de configuración de delito, en el caso de las mujeres, tanto el promedio de edad como el principal fin de la trata de personas es la explotación sexual, seguida de los trabajos o servicios forzados. Estos datos coinciden con los entregados por la ONU a nivel mundial, según los cuales las formas más dstacadas de explotación entre las víctimas de trata son la explotación sexual (53%) y los trabajos forzosos (40 %)13. En el caso de los hombres, los fines son la trata laboral y los trabajos forzados.
Sobre el tema, la Organización Panamericana de la Salud (OPS) declara que se requieren estudios rigurosos de evaluación de políticas y programas con el fin de identificar las estrategias más eficaces para combatir la trata y brindar la atención más apropiada para las personas afectadas; asimismo, la investigación empírica sobre la trata de personas y sus efectos es limitada.
En el nivel de salud internacional y la diplomacia en salud, no existe intercambio de información entre ministerios de salud de la región sudamericana que caractericen la trata en salud; tampoco hay acciones o planes que intervengan en el traslado asistido y/o continuidad de tratamiento de las víctimas en su país de origen.
Finalmente, al tratarse de un fenómeno delictivo no convencional, la trata presenta una serie de complicaciones que impide llevar a cabo aproximaciones certeras en torno a su realidad en un determinado país. El esfuerzo de caracterizar al menos a las víctimas que han tenido contacto con el sector salud, es uno de los grandes logros de esta evidencia aquí expuesta y por el cual se debe seguir informando para mejorar los protocolos institucionales.
Referencias
Alcalá, Humberto Nogueira. Los derechos económicos, sociales y culturales como derechos fundamentales efectivos en el constitucionalismo democrático latinoamericano, 2009. Estudios Constitucionales 7 (2): 143-205. https://doi.org/10.4067/S0718-52002009000200007
Andrea Giménez-Salinas Framis. «La explotación y trata de mujeres con fines sexuales: El papel del sector salud». Gaceta Sanitaria 25 (2011): 351-52. https://doi.org/10.1016/j.gaceta.2011.07.001
IOM/Chile. «Investigación sobre trata de personas en Chile. Resumen Ejecutivo». Santiago de Chile, 2008. Acceso: 05 de setiembre, 2019. https://es.scribd.com/document/128679744/Investigacion-sobre-trata-de-personas-en-Chile
Ministerio del Interior y Seguridad Pública. n.d. «MITP-Protocolo intersectorial de atención de víctimas de trata de personas».
Orientación Técnica, Ministerio de Salud, Gobierno de Chile. «Detección, atención y primera respuesta en salud a personas víctimas de trata, tráfico ilícito de migrantes y explotación sexual y comercial de niños, niñas y adolescentes» (Santiago de Chile, 2017). Acceso: 05 de setiembre, 2019. http://tratadepersonas.subinterior.gov.cl/media/2019/03/OT-Trata-de-Personas-y-ESCNNA-2018.pdf
Organización Internacional para las Migraciones, Oficina Regional para América del Sur. Cuidados para la salud y la trata de personas: Guías para proveedores de salud. Buenos Aires, 2012. Acceso: 05 de setiembre, 2019. http://publications.iom.int/bookstore/index.php?main_page=product_info&cPath=47&products_id=852.
Salud Pública, Ministerio del Interior y Seguridad. Datos 2011-2017. Aspectos metodológicos, 2017.
UNODC, Global Report on Trafficking in Persons 2014, New York, 2014. Acceso: 05 de setiembre, 2019. https://www.unodc.org/documents/data-and-analysis/glotip/GLOTIP_2014_full_report.pdf.
Notas
Información adicional
Formato
de citación según APA: Maldonado-Vivar,
S., Soto-Castillo T. y Puebla Núñez T. (2019). Caracterización nacional de las
víctimas de trata de personas en Chile, 2012-2018. Perfil sociodemográfico y
acceso a salud. Revista Espiga, 18 (38), páginas 158-178.
Formato
de citación según Chicago-Deusto: Maldonado-Vivar,
Sebastián, Teresa Soto-Castillo y Tatiana Puebla Núñez (2019). «Caracterización
nacional de las víctimas de trata de personas en Chile, 2012-2018. Perfil
sociodemográfico y acceso a salud. Revista Espiga 18, n.º 38 (julio-diciembre,
2019): páginas 158-178.
Enlace alternativo
https://revistas.uned.ac.cr/index.php/espiga/article/view/2642 (html)