ORIGINAL ARTICLE
Gamma irradiation effects on polycaprolactone/zinc oxide nanocomposite films
Gamma irradiation effects on polycaprolactone/zinc oxide nanocomposite films
Polímeros, vol. 29, no. 1, 2019
Associação Brasileira de Polímeros
Received: 01 August 2018
Revised document received: 29 December 2018
Accepted: 12 January 2019
Abstract: Polycaprolactone (PCL) to which has been added zinc oxide nanoparticles (ZnO NPs) produces nanocomposites (PCL/ZnO NCs). These nanocomposites can be used in biomedical applications and in the food packaging sector. However, for these materials to be used in these applications, they need to be sterilized. For this, gamma irradiation is the most common method. Thus it is important to evaluate the effects of gamma irradiation on the properties of PCL and PCL/ZnO that have been exposed to gamma irradiation. PCL/ZnO NCs films were obtained by solvent casting and exposed to gamma irradiation at 25 kGy and evaluated by Fourier transform infrared spectra (FT-IR), X-ray diffraction (XRD), thermogravimetric analysis (TGA), differential scanning calorimetry (DSC) scanning electron microscopy (SEM) and mechanical properties. Mechanical properties and crystallinity showed marginal variations for the irradiated samples. The results obtained demonstrate that gamma irradiation at 25 kGy, did not cause profound changes in nanocomposite properties.
Keywords: polycaprolactone, gamma irradiation, nanocomposites, materials properties.
1. Introduction
Conventional synthetic polymers are widely used in our society due to characteristics such as low density, low cost of production, and facility for molding, among others. Due to their chemical constitution, however, they have a low rate of degradation, leading to environmental problems [1-3]. An alternative to these materials are the polymeric materials constituted by poly (α-hydroxy acids), which are biodegraded by microorganisms in CO2 , water, and cellular components among other materials[4,5]. One of the main representatives of this class of polymers is polycaprolactone, which is a synthetic thermoplastic polymer. PCL is a hydrophobic, semi-crystalline polymer that can attain a degree of crystallinity of 69%[6,7]. It is commercially available, biocompatible, achieves crystallization and a has a melting point at low temperatures, is soluble at room temperature in solvents such as chloroform, dichloromethane, carbon tetrachloride, benzene, toluene, cyclohexanone and 2-nitropropane, which facilitates processing by solvent casting methods[6,8]. The principal way to obtain PCL mentioned in the literature occurs through the ring-opening polymerization of the ε-caprolactone monomer, which takes place in an inert atmosphere with heat supply and in the presence of a catalyst, resulting in a high molar mass polymer with improved mechanical properties[6,7]. The main property of PCL is its biocompatibility, which makes the material very interesting for applications such as for implants[9], controlled drug delivery systems[10], scaffolds in tissue engineering[11], and food-packaging[8]. However, PCL has low thermo-mechanical properties and high gas permeability [1]. The strategy adopted to control this is to add inorganic nanomaterials to the polymer[12], obtaining a nanocomposite and add also other polymers[13,14]. Among the nanomaterials that can be mixed with PCL, the nanoparticles of ZnO can be used[15]. ZnO is a biocompatible inorganic agent, semiconductor with a band-gap in the UV region, which makes it an efficient absorber of UV radiation[16]. When added to polymeric matrices, the nanocomposites (NCs) exhibit antibacterial activity, low toxicity, lower the gas permeability, gener- reactive oxygen species, cell adhesion and proliferation[12,17]. The particles with nanometric dimensions have a strong tendency to agglomerate due to high surface energy, which acts to prevent their dispersion in the polymer matrix, compromising the properties expected for the material[18]. This dispersion can be controlled by modifying the surface of nanoparticles (NPs)[19]. Neverthelles Elen and co-workers using a melt-blending technique reported a proper dispersion of ZnO NPs in the PCL matrix, without the use of modifiers for ZnO NPs [8]. Given the above-mentioned characteristics, the nanocomposites produced from PCL with ZnO NPs can be employed in biomedical applications and in the food packaging sector, but need to be sterilized in order to be used[20,21]. The most common method of sterilization occurs by exposing these materials to gamma irradiation at the dose of 25 kGy[21]. Exposure of polymer materials to gamma irradiation can lead to changes in the molecular structure, altering both their physical and chemical properties[22,23]. The gamma rays produce excited and ionized species that lead to changes in the properties of the product, having as the main effect the scission and crosslinking of the polymer chains[24]. These effects depend on the type of radiation, polymer structure, applied dose, dose rate and irradiation conditions[23]. The scission of chains causes a reduction in the molar mass of the polymer [25], while cross-linking produces an increase in the molecular mass, increasing its mechanical properties and decreasing its solubility in organic solvents[26], which may not be desirable for applications in food packaging and biomedical use. It is important to evaluate the effects of gamma irradiation on the physical and chemical properties of polycaprolactone and its nanocomposites with ZnO NPs irradiated at 25 kGy. However, no studies have been reported on the effects of gamma irradiation on PCL/ZnO NCs. The objective of this paper is to report on the effects of gamma irradiation at 25 kGy on PCL and PCL/ZnO NCs films, prepared with different concentrations of ZnO by the solvent casting method. The films obtained were exposed to gamma irradiation at 25 kGy in the presence of air, at room temperature and evaluated by experimental techniques such as Fourier transform infrared spectra (FT-IR), X-ray diffraction (XRD), thermogravimetric analysis (TGA), differential scanning calorimetry (DSC) and scanning electron microscopy (SEM).
2. Materials and Methods
2.1 Materials
All the reagents used were analytical grade and used as received. Nanosized ZnO powder was acquired from Aldrich with particle size <100 nm. PCL was obtained from CapaTM (PCL 6500). Chloroform was purchased from Dinâmica.
2.2 Preparation of PCL and PCL/ZnO NCs films
PCL and PCL/ZnO NCs films in different concentrations (0.5; 1; 2 and 5%) were obtained by solvent casting. Pre-determined amounts of ZnO NPs were added to 5 mL of Chloroform and sonicated for 30 minutes. Then, a solution of 2.5g of PCL in 50 mL Chloroform was added. The mixture was stirred for 48 hours. After the stirring period, the mixture was poured into a Petri dish, and the solvent was removed by slow evaporation in air at room temperature.
2.3 Irradiation of samples
PCL and PCL/ZnO NCs films were exposed to gamma irradiation from a source of 60 Cobalt (rate of 2,157 kGy/h), at a dose of 25 kGy in the presence of air at room temperature.
2.4 Fourier transform infrared spectroscopy
The vibrational spectra in the infrared region (IR) were obtained in a Frontier-Perkin Elmer (with attenuated total reflectance universal accessory-UATR) spectrometer in the range of 4000-650 cm-1. Sixteen scans were performed with a resolution of 4 cm −1 for each spectrum.
2.5 X-ray diffraction
Diffractograms were recorded at room temperature in the range of 5° to 80° in a Bruker D8 Advanced X-ray diffractometer with Cu Kα (0.15 nm), at the speed of 0.02°/min.
2.6 Thermogravimetric analysis
The thermogravimetric analyses were performed in a SHIMADZU DTG-60H instrument, in the range from room temperature to 600 °C, using a platinum crucible with about 10 mg of sample, under a dynamic nitrogen atmosphere (100 mL/min) and with a heating rate of 10°C/min.
2.7 Differential scanning calorimetry
Heat flux curves were obtained in a differential scanning calorimeter, model 1 Star* system (Mettler Toledo) under nitrogen atmosphere with the following programming: 1) heating from 0 °C to 80 °C, at a rate of 10 °C/min; 2) cooling to 0 °C, at a rate of 20 °C/min; and 3) heating from 0 °C to 80 °C, at a rate of 10 °C /min. The crystallization percentage Xc (%) of the materials was calculated based on the following equation: , where , represents the heat needed for a melting point for 100% crystalline PCL. The value used for the heat of fusion of the fully crystalline PCL was 139.3 J/g[27].
2.8 Scanning Electron Microscopy (SEM)
The samples were prepared on carbon tape on an aluminum support and coated with a 10-20 nm gold film, using a Bal-Tec SCD 050 sputter coater. Images were recorded by a scanning electron microscope (Tescan Mira3) operating at a voltage of 10 KV.
2.9 Transmission Electronic Microscopy (TEM)
TEM image for the NC film were obtained in a transmission electron microscope (Jeol, model JEM-2100), with a voltage of 200 kV. Drops of the films of NC suspended in dichloromethane were deposited on carbon grids, with subsequent evaporation of the solvent.
2.10 Mechanical measurements
Tensile properties were determined following the ASTM D-882 with an Instron machine EMIC, DL-500 N, crosshead speed of 5 mm/min, at room temperature. For the mechanical test, three samples of each composition were analyzed.
3. Results and Discussion
3.1 Preparation of PCL and PCL/ZnO nanocomposite films
PCL/ZnO NCs films have a white color with an average thickness of 0.15 mm before and after exposure to gamma radiation ( Figure 1 ). The characterization of the thermal and physical properties for the films of PCL and PCL/ZnO NCs, before and after irradiation at 25 KGy, will be discussed in the following sections.

3.2 FT-IR analysis of NCs
FT-IR spectroscopy was used to evaluate the effects of gamma irradiation on PCL and PCL/ZnO NCs films. Figure 2 shows the spectra for PCL and PCL/ZnO NCs before irradiation. Pure PCL showed a peak at 1725 cm-1, relative to the stretching mode of C=O in the polymer, while the peaks at 2870 and 2850 cm-1 are attributed to the C-H bonds of the polymer[28].

The same spectrum for PCL was observed in PCL irradiated at 25 KGy ( Figure 3 ). FT-IR analysis of PCL/ZnO NCs before and after exposure to gamma irradiation showed the same spectrum for pure polymer, with no shift in the peak positions ( Figures 2 and 3 , respectively). This contrasts with the work of Augustine and co-workers, who observed a shift in peak position of C=O to a lower energy level as the nanoparticles of ZnO content increased [28]. These findings suggest that gamma irradiation at 25 KGy did not cause structural changes in the polymer chains.

3.3 X-ray diffraction patterns
The crystallinity of NCs films before and after exposure to gamma irradiation was analyzed by XRD. The diffractograms for films are shown in Figures 4 and 5 . Pure PCL has three reflection angles near 21.5°, 22° and 23.8°, relative to (110), (111) and (200) planes of the orthorhombic structure of the polymer, respectively [28]. The diffractogram for ZnO NPs shows the characteristic crystalline behavior of ZnO[28]. NCs with up 0.5% of ZnO showed only the semi-crystaliine behavior of the polymer; this may be due to the low concentration of NPs, resulting in the suppression of the ZnO diffraction [12] ( Figure 4 ). With the addition of more than 1% of nanoparticles, however, it was possible to observe the peaks related to ZnO. These peaks were more intense until the content increased to 5% of the nanoparticles.


The diffractograms for the irradiated samples at 25 KGy were very similar to samples before irradiation, indicating that the gamma irradiation at 25 KGy did not create new crystalline symmetries( Figure 5 )[20].
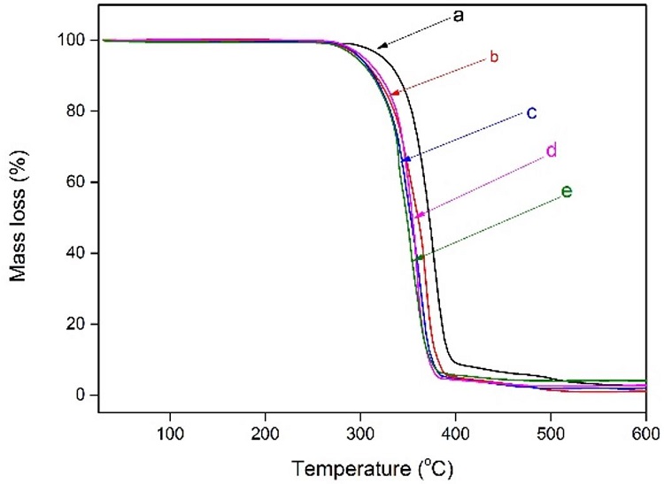
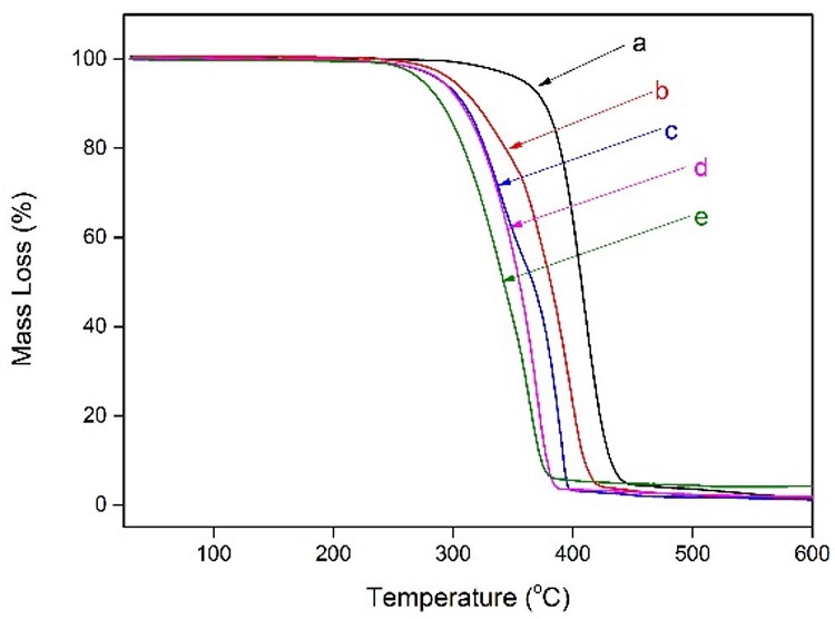
3.4 Thermogravimetric analysis
The TGA results of PCL and of PCL and PCL/ZnO NCs films before and after exposure to gamma irradiation are shown in Figures 6 and 7 . PCL and PCL/ZnO NCs exhibited the same thermal degradation profile, showing a mass loss step in the range of 200 to 500 ° C. This event was ascribed to polymer chain decomposition [12,29] ( Figure 6 ). The Thermal stability of the all samples was analyzed by comparing the 10% (T10 ) and 50% (T50) weight loss temperature of the films ( Table1 ). In addition, residual mass is reported. Table 1 shows that T10 and T50 of PCL start at 370 °C and 400 °C, respectively, while all NCs showed lower values of T10 and T50. The addition of ZnO NPs decreased the thermal stability of the PCL, higher loadings of NPs decreased the T10 and T50 of the NCs. This behavior can be attributed to the interaction established between the interface of the ZnO NPs and the polymer, which decreased the interaction between semi-crystalline polymer chains. Also, the ZnO promoted an oxidative catalysis of NCs, which was in agreement with previous studies reported in the literature[15,30].


| Sample | T10 (°C) | T50 (°C) | Residual mass (%) at 600 °C |
|---|---|---|---|
| PCL | 370 | 400 | 1.94 |
| PCL/ZnO 0.5% | 326 | 389 | 1.90 |
| PCL/ZnO 1% | 331 | 378 | 1.77 |
| PCL/ZnO 2% | 333 | 372 | 2.20 |
| PCL/ZnO 5% | 326 | 358 | 4.86 |
| PCL-25 kGy | 376 | 407 | 1.55 |
| PCL/ZnO 0.5%-25 kGy | 293 | 344 | 1.51 |
| PCL/ZnO 1%-25 kGy | 282 | 326 | 1.46 |
| PCL/ZnO 2%-25 kGy | 274 | 318 | 2.28 |
| PCL/ZnO 5%-25 kGy | 285 | 330 | 5.18 |
Figure 7 shows that the NCs irradiated at 25 KGy had the same thermal degradation profile, but with lower T10 and T50, than the NCs films before irradiation. These findings can be described by the creation of reactive centers during radiation exposure, which anticipate the thermal degradation of the polymer[21].
3.5 Differential scanning calorimetry
DSC curves were obtained to quantify the crystallinity of PCL and PCL/ZnO NCs films. Table 2 demonstrates the results for Tm (melting temperature), Tc (temperature of crystallization), ∆Hm (enthalpy of melting) and Xc (degree of crystallinity) for all samples. Melting temperature of the polymer increased with the addition of up to 1% of ZnO NPs. However, the addition of more than this caused a decrease in the melting point temperature. The increase in the melting point temperature for NCs with a low NPs concentration may be due to the formation of thick crystals, shifting the melting point to a higher temperature[17]. Nevertheless, the addition of more than 1% of NPs produced agglomerates, which hindered the crystallization of polymer, producing crystals with a thinner lamellar, decreasing the melting point temperature, corroborating with the results obtained by Augustine and co-workers[17]. PCl and PCL/ZnO NCs irradiated at 25 kGy exhibited marginal variations in the melting point temperature. The temperature of crystallization for films before exposure to gamma irradiation increased with the addition of 0.5% and 1% of NPs, revealing that NPs, in low concentration, had a nucleating effect on the PCL17. Irradiated PCL/ZnO NCs films had a small decrease in the temperature needed for crystallization when compared to the irradiated PCL film. This was attributed to an enhancement in the crystallinity of the PCL being exposed to radiation. The percentage of crystallinity for PCL (43.89%) is in accordance with the literature[8]. The crystallinity of the PCL/ZnO NCs showed a comparable crystallinity, around 40%. PCL irradiated film decreased in crystallinity by 32.18%. Neverthelles irradiated NCs films that had almost the same crystallinity, with the exception of PCL/ZnO 1%-25 kGy, which exhibited 48.54% for Xc. These findings suggest that gamma irradiation at 25 kGy, did not cause changes in the temperature of the melting point, crystallization temperature or percentage of crystallinity in all the samples analyzed.
| Sample | Tm(°C) | Tc (°C) | ∆Hm (J/g) | Xc (%) |
|---|---|---|---|---|
| PCL | 61.33 | 20.46 | 61.14 | 43.89 |
| PCL/ZnO 0.5% | 63.47 | 22.58 | 57.34 | 41.11 |
| PCL/ZnO 1% | 65.46 | 21.15 | 55.02 | 39.50 |
| PCL/ZnO 2% | 63.67 | 23.26 | 55.40 | 39.80 |
| PCL/ZnO 5% | 61.72 | 20.73 | 55.15 | 39.59 |
| PCL-25 KGy | 61.91 | 23.46 | 44.82 | 32.18 |
| PCL/ZnO 0.5%-25 kGy | 62.41 | 22.56 | 58.08 | 41.70 |
| PCL/ZnO 1%-25 kGy | 62.07 | 23.10 | 67.62 | 48.54 |
| PCL/ZnO 2%-25 kGy | 61.82 | 23.46 | 56.90 | 40.85 |
| PCL/ZnO 5%-25 kGy | 63.91 | 21.06 | 58.19 | 41.77 |
3.6 Scanning electron microscopy
The distribution of ZnO NPs in the polymer matrix was evaluated by scanning electron microscopy. Figure 8 shows the surface morphology of the PCL/ZnO as 5% before exposure to irradiation. Figure 8 demonstrates the presence of some nanoparticle aggregates dispersed randomly in the polymer matrix. NPs can form aggregates due to their high surface energy and the strong interactions between particles, which hinders their dispersion in the polymer matrix[18].

3.7 Transmission electron microscopy
Figure 9 shows TEM image of the PCL/ZnO at 5% before exposure to radiation. The TEM image reveals a distribution of ZnO NPs aggregates, randomly dispersed in the PCL matrix.

3.8 Mechanical properties
The effects of gamma irradiation on the mechanical properties of PCL and PCL/ZnO films were investigated and are summarized in Table 3 . The properties analyzed were tensile strength (σ) and elastic modulus (ε). The mean values of the mechanical properties were compared with the Duncan test with a significance level of 5%. The Duncan test verified that the tensile strength increased by 2.0% for the PCL/ZnO and decreased by 5.0% for the PCL/ZnO. This can be explained by the formation of agglomerates in higher concentrations, preventing stress transfer to NPs, reducing σ28 . Nevertheless, the irradiated samples did not present significant statistical variations as compared with pure PCL. There was an increase in ε for PCL/ZnO 2%; PCL/ZnO 5%; and PCL/ZnO, 5%-25 kGy. The highest value for ε indicated that the NCs films were more rigid as a consequence of the high loadings of the NPs.
| Sample | σ (MPa) | ε (MPa) |
|---|---|---|
| PCL | 6.65±1.23a | 168.83±16.35b,c,e,f |
| PCL/ZnO 0.5% | 10.69±3.33a,b | 144.23±22.25a |
| PCL/ZnO 1% | 9.22±1.43a,b | 162.30±7.96a,b,c |
| PCL/ZnO 2% | 13.15±3.81b | 173.60±4.38c,e,f |
| PCL/ZnO 5% | 7.84±0.25a | 183.33±11.24e,f |
| PCL-25 kGy | 9.97±0.84a,b | 165.06±14.51a,b,c |
| PCL/ZnO 0.5%-25 kGy | 8.15±1.10a | 155.13±5.09a,b,c |
| PCL/ZnO 1%-25 kGy | 8.50±1.58a | 148.10±11.10a,b |
| PCL/ZnO 2%-25 kGy | 7.00±1.77a | 165.66±6.81a,b,c |
| PCL/ZnO 5%-25 kGy | 6.70±4.13a | 188.5±9.00f |
4. Conclusions
PCL/ZnO NCs films were obtained by solvent casting method with different contents of ZnO NPs and irradiated at 25 kGy. SEM images revealed that aggregates of ZnO NPs were dispersed randomly in the polymer matrix. FTIR gamma irradiation at 25 kGy did not cause structural changes in the polymer chains. XRD showed that gamma irradiation did not create new crystalline symmetries in the NCs. The addition of ZnO NPs into the PCL Matrix decreased the thermal stability in irradiated and non-irradiated samples. DSC measurements revealed that the crystallinity of PCL/ZnO NCs films had small variations in all samples before and after exposure to gamma irradiation. The same behavior was verified for mechanical properties. This suggests that gamma irradiation at 25 kGy is a successful method for the sterilization of PCL/ZnO NCs films without changes in the properties of the materials.
5. Acknowledgements
The authors thank the Fundação de Amparo Ciência e Tecnologia do Estado de Pernambuco (FACEPE) for the provided scholarships. The English text of this paper was revised by Sidney Pratt, Canadian, MAT (The Johns Hopkins University), RSAdip - TESL (Cambridge University).
6. References
1 Lopez-Figueras, L., Navascues, N., & Irusta, S. (2017). Polycaprolactone/mesoporous silica MCM-41 composites prepared by in situ polymerization. Particuology , 30, 135-143. http://dx.doi.org/10.1016/j.partic.2016.05.005.
2 Souza, G., Santos, A., & Vinhas, G. (2016). Evaluation of the properties poly(3-hidroxybutyrate)/ chitosan blend after radiolytic or thermal sterilization. Polímeros: Ciência e Tecnologia, 26(4), 352-359. http://dx.doi.org/10.1590/0104-1428.2215.
3 Casarin, S. A., Agnelli, J. A. M., Malmonge, S. M., & Rosário, F. (2013). Blendas PHB/copoliésteres biodegradáveis: biodegradação em solo. Polímeros: Ciência e Tecnologia, 23(1), 115-122. http://dx.doi.org/10.1590/S0104-14282013005000003.
4 Barbanti, S. H., Zavaglia, C. A. C., & Duek, E. A. R. (2005). Polímeros bioreabsorvíveis na engenharia de tecidos. Polímeros: Ciência e Tecnologia , 15(1), 13-21. http://dx.doi.org/10.1590/S0104-14282005000100006.
5 Borghesi, D. C., Molina, M. F., Guerra, M. A., & Campos, M. G. N. (2016). Biodegradation study of a novel poly-caprolactone-coffee husk composite film. Materials Research , 19(4), 752-758. http://dx.doi.org/10.1590/1980-5373-MR-2015-0586.
6 Labet, M., & Thielemans, W. (2009). Synthesis of Polycaprolactone: a review. Chemical Society Reviews, 38(12), 3484-3504. http://dx.doi.org/10.1039/b820162p. PMid:20449064.
7 Woodruff, M. A., & Hutmacher, D. W. (2010). The return of a forgotten polymer-Polycaprolactone in the 21st century. Progress in Polymer Science, 35(10), 1217-1256. http://dx.doi.org/10.1016/j.progpolymsci.2010.04.002.
8 Elen, K., Murariu, M., Peeters, R., Dubois, P., Mullens, J., Hardy, A., & Van Bael, M. K. (2012). Towards high-performance biopackaging: barrier and mechanical properties of dual-action polycaprolactone/zinc oxide nanocomposites. Polymers for Advanced Technologies , 23(10), 1422-1428. http://dx.doi.org/10.1002/pat.2062.
9 Kashanian, S., Harding, F., Irani, Y., Klebe, S., Marshall, K., Loni, A., Canham, L., Fan, D., Williams, K. A., Voelcker, N. H., & Coffer, J. L. (2010). Evaluation of mesoporous silicon/polycaprolactone composites as ophthalmic implants. Acta Biomaterialia , 6(9), 3566-3572. http://dx.doi.org/10.1016/j.actbio.2010.03.031. PMid:20350620.
10 Schlesinger, E., Ciaccio, N., & Desai, T. A. (2015). Polycaprolactone thin-film drug delivery systems: empirical and predictive models for device design. Materials Science and Engineering C, 57(1), 232-239. http://dx.doi.org/10.1016/j.msec.2015.07.027. PMid:26354259.
11 Yeong, W. Y., Sudarmadji, N., Yu, H. Y., Chua, C. K., Leong, K. F., Venkatraman, S. S., Boey, Y. C. F., & Tan, L. P. (2010). Porous polycaprolactone scaffold for cardiac tissue engineering fabricated by selective laser sintering. Acta Biomaterialia, 6(6), 2028-2034. http://dx.doi.org/10.1016/j.actbio.2009.12.033. PMid:20026436.
12 Mallakpour, S., & Nouruzi, N. (2016). Effect of modified ZnO nanoparticles with biosafe molecule on the morphology and physiochemical properties of novel polycaprolactone nanocomposites. Polymer, 89, 94-101. http://dx.doi.org/10.1016/j.polymer.2016.02.038.
13 Minata, M. K., Motta, A. C., Barbo, M. L. P., Rincon, M. C., & Duek, E. A. R. (2013). Estudo da Biocompatibilidade da Blenda de Poli(L-ácido láctico)/Policaprolactona-triol. Polímeros: Ciência e Tecnologia, 23(2), 242-247. http://dx.doi.org/10.4322/polimeros.2013.074.
14 Hu, W. W., Wu, Y. C., & Hu, Z. C. (2018). The Development of an alginate/polycaprolactone composite scaffold for in situ transfection application. Carbohydrate Polymers , 183, 29-36. http://dx.doi.org/10.1016/j.carbpol.2017.11.030. PMid:29352887.
15 Mallakpour, S., & Nouruzi, N. (2018). Evaluation of Zno-vitamin B1 nanoparticles on bioactivity and physiochemical properties of the polycaprolactone-based nanocomposites. Polymer-Plastics Technology and Engineering, 57(1), 46-58. http://dx.doi.org/10.1080/03602559.2017.1300815.
16 Mallakpour, S., & Behranvand, V. (2016). Nanocomposites based on biosafe nano ZnO and different polymeric matrixes for antibacterial, optical, thermal and mechanical applications. European Polymer Journal, 84, 377-403. http://dx.doi.org/10.1016/j.eurpolymj.2016.09.028.
17 Augustine, R., Kalarikkal, N., & Thomas, S. (2016). Effect of ZnO nanoparticles on the in vitro degradation of electrospun polycaprolactone membranes in simulated body fluid. International Journal of Polymeric Biomaterials, 65(1), 28-37. http://dx.doi.org/10.1080/00914037.2015.1055628.
18 Lepot, N., Van Bael, M. K., Van den Rul, H., D’Haen, J., Peeters, R., Franco, D., & Mullens, J. (2011). Influence of incorporation of ZnO nanoparticles and biaxial orientation on mechanical and oxygen barrier properties of polypropylene films for food packaging applications. Journal of Applied Polymer Science, 120(3), 1616-1623. http://dx.doi.org/10.1002/app.33277.
19 Mallakpour, S., & Barati, A. (2011). Efficient preparation of hybrid nanocomposite coatings based on poly(vinyl alcohol) and silane coupling agent modified TiO2 nanoparticles. Progress in Organic Coatings, 71(4), 391-398. http://dx.doi.org/10.1016/j.porgcoat.2011.04.010.
20 Augustine, R., Saha, A., Jayachandran, V. P., Thomas, S., & Kalarikkal, N. (2015). Dose dependent effects of gamma irradiation on the materials properties and cell proliferation of electrospun polycaprolactone tissue engineering scaffolds. International Journal of Polymeric Materials and Polymeric Biomaterials, 64(10), 526-533. http://dx.doi.org/10.1080/00914037.2014.977900.
21 Silva, W. B., Aquino, K. A. D. S., Vasconcelos, H. M., & Araujo, E. S. (2013). Influence of copper chloride and potassium iodide mixture in poly(vinyl chloride) exposed to gamma irradiation. Polymer Degradation & Stability, 98(1), 241-245. http://dx.doi.org/10.1016/j.polymdegradstab.2012.10.006.
22 Cottam, E., Hukins, D. W. L., Lee, K., Hewitt, C., & Jenkins, M. J. (2009). Effect of sterilisation by gamma irradiation on the ability of polycaprolactone (PCL) to act as a scaffold material. Medical Engineering & Physics, 31(2), 221-226. http://dx.doi.org/10.1016/j.medengphy.2008.07.005. PMid:18760952.
23 Cooke, S. L., & Whittington, A. R. (2016). Influence of therapeutic radiation on polycaprolactone and polyurethane biomaterials. Materials Science and Engineering C , 60, 78-83. http://dx.doi.org/10.1016/j.msec.2015.10.089. PMid:26706509.
24 Dorati, R., Colonna, C., Serra, M., Genta, I., Modena, T., Pavanetto, F., Perugini, P., & Conti, B. (2008). γ-irradiation of PEGd,lPLA and PEG-PLGA multiblock copolymers: I. effect of irradiation doses. American Association of Pharmaceutical Scientists , 9(2), 718-725. PMid:18528761.
25 Oliveira, L. M., Araújo, E. S., & Guedes, S. M. L. (2006). Gamma irradiation effects on poly(hydroxybutyrate). Polymer Degradation & Stability, 91(9), 2157-2162. http://dx.doi.org/10.1016/j.polymdegradstab.2006.01.008.
26 Pêgo, A. P., Grijpma, D. W., & Feijen, J. (2003). Enhanced mechanical properties of 1,3-trimethylene carbonate polymers and networks. Polymer, 44(21), 6495-6504. http://dx.doi.org/10.1016/S0032-3861(03)00668-2.
27 Koenig, M. F., & Huang, S. J. (1995). Biodegradable blends and composites of polycaprolactone and starch derivatives. Polymer, 36(9), 1877-1882. http://dx.doi.org/10.1016/0032-3861(95)90934-T.
28 Augustine, R., Malik, H. N., Singhal, D. K., Mukherjee, A., Malakar, D., Kalarikkal, N., & Thomas, S. (2014). Electrospun polycaprolactone/ZnO nanocomposite membranes as biomaterials with antibacterial and cell adhesion properties. Journal of Polymer Research , 21(3), 347-364. http://dx.doi.org/10.1007/s10965-013-0347-6.
29 Mallakpour, S., & Nouruzi, N. (2016). Modification of morphological, mechanical, optical and thermal properties in polycaprolactone-based nanocomposites by the incorporation of diacid- modified ZnO nanoparticles. Journal of Materials Science , 51(13), 6400-6410. http://dx.doi.org/10.1007/s10853-016-9936-1.
30 Hong, R. Y., Qian, J. Z., & Cao, J. X. (2006). Synthesis and characterization of PMMA grafted ZnO nanoparticles. Powder Technology, 163(3), 160-168. http://dx.doi.org/10.1016/j.powtec.2006.01.015.
Notes
Author notes
* salvesjr@ufpe.br