Estrutura hierárquica de autenticidade de marca
Hierarchical Structure of Brand Authenticity
Estrutura hierárquica de autenticidade de marca
Revista Brasileira de Marketing, vol. 18, núm. 2, pp. 1-18, 2019
Universidade Nove de Julho

Recepción: 04 Abril 2017
Aprobación: 02 Marzo 2019
Resumo:
Objetivo: O objetivo deste artigo é propor uma nova escala de autenticidade de marca baseada naavaliação do consumidor ao considerar a estrutura hierárquica das dimensões formadoras da escala.
Método: Foi realizado um survey online (780 indivíduos), no Brasil e nos Estados Unidos. A Teoria da Resposta ao Item foi utilizada para analisar a estrutura hierárquica dessas dimensões.
Originalidade/Relevância: O uso do IRT é novo no contexto de autenticidade da marca. Trabalhos anteriores se concentraram em técnicas multivariadas, uma vez que, relativamente; satisfazem as necessidades mais importantes de pesquisa de marketing, como a capacidade de analisar dados complexos.
Resultados: Como resultado, obteve-se uma escala consistente e parcimoniosa, baseada em 09 dimensões, que formam o constructo, incluindo: espontaneidade, comprometimento da qualidade, essência, nostalgia, valores, simplicidade, design, originalidade e procedência.
Contribuições teórico-metodológicas: Este trabalho contribui para a literatura de marcas, desenvolvendo uma métrica que aborda dimensões inexploradas, até o momento.
Contribuições sociais/gerenciais: Para fins gerenciais, a escala é uma ferramenta para avaliar o posicionamento da marca e, portanto, fornecer novas abordagens estratégicas.
Palavras-chave: Autenticidade da Marca, Estrutura hierárquica, Teoria de Resposta ao Item, TRI.
Abstract:
Objective: The aim of this paper is to propose a new brand authenticity scale based on consumer assessment considering the hierarchical structure of the scale’s forming dimensions.
Method: A survey was conducted (780 individuals) via online panels, in Brazil and the United States. An Item Response Theory analysis procedure was conducted in order to analyze the hierarchical structure of these dimensions.
Originality/Relevance: The use of the IRT is novel in the brand authenticity context. Previous works have focused on multivariate techniques, since they, relatively; satisfy the most important marketing research needs, such as the ability to analyze complex data.
Results: As a result, a consistent and parsimonious scale was obtained, based on 09 dimensions, which form the construct, including: spontaneity, quality commitment, essence, nostalgia, values, simplicity, design, originality and origin.
Theoretical/methodological contributions: This paper contributes to the literature of brands by developing a metric that addresses unexplored dimensions, so far.
Social/management contributions: For managerial purposes, the scale is a tool to assess the Brand positioning and therefore provide new strategic approaches.
Keywords: Brand Authenticity, Hierarchical Structure, Item Response Theory, IRT.
Introdução
A verdade não pode ser deixada para trás em um mundo autêntico. As informações se espalham por toda parte, rapidamente. Pense em quando você vai ao supermercado ou a uma loja de departamentos. Você vê uma nova marca. Provavelmente, você buscará a marca no Google ™ em vez de visitar o website, próprio, da marca. Por que isso acontece? Você tem que receber informações de pessoas reais, consumidores reais, para sentir a satisfação real ou a insatisfação real. Seu cérebro é preenchido com muita informação sobre os produtos que você consome. Como esses produtos podem realmente representar quem você é? Como eles podem ser autênticos para entrar em sua vida cotidiana? A quantidade de marcas que estão presentes no dia a dia dos consumidores tende ao infinito. Assim, os consumidores buscam clareza e informações detalhadas sobre o que usam para garantir segurança e para ajudá-los a tomar decisões sobre os produtos que compram.
E isso é apenas uma parte de uma história maior sobre o relacionamento dos consumidores com as marcas. Os consumidores buscam cada vez mais um relacionamento honesto com os fabricantes. Portanto, para entrar no mundo da autenticidade, a ideia deste artigo surge quando as medidas de autenticidade da marca já existentes não cobrem toda a gama de dimensões da sua estrutura.
A autenticidade pode ser explorada com diferentes intenções, de várias perspectivas (Leigh, Peters & Shelton, 2006). Ela pode ser abordada de uma maneira objetivista, na qual a autenticidade é vista como uma qualidade inerente a um objeto e avaliada por especialistas, como obras de arte em museus (Morhart et al., 2015). Há também a abordagem construtivista em que as crenças e expectativas de um indivíduo são projetadas em um produto ou experiência. Através da reprodução e / ou construção eles representam uma "autenticidade criada comercialmente" (Grayson & Martinec, 2004; Morhart et al., 2015; Stern, 1994). Além disso, existe a perspectiva existencialista em que se assume que, em um cenário de consumo, a autenticidade existe apenas a partir do momento em que possibilita a descoberta do verdadeiro eu do indivíduo. Reality shows pode ser um meio de descobrir a verdadeira identidade do indivíduo. Além disso, marcas que oferecem possibilidades para o encontro do "eu" têm uma abordagem existencialista, como a marca Dove ™, que promove a conquista de beleza real aos usuários (Morhart et al., 2015; Rose & Wood, 2005). Apesar das interpretações atribuídas ao conceito de autenticidade, dentro da literatura de gestão de marcas, a perspectiva abordada neste artigo é a abordagem de interconectividade. Em outras palavras, a autenticidade da marca é atribuída a um produto (objetivismo), através da avaliação de um consumidor por suas associações cognitivas, como a experiência e a memória (construtivismo) e fornece um encontro do consumidor ao seu verdadeiro eu (existencialismo). al., 2015). Portanto, o conceito adotado ao longo deste artigo é que a autenticidade da marca é um conjunto de dimensões relacionadas a um objeto, percebido pela avaliação de um consumidor, que representa o que é genuíno, real e verdadeiro e promove o encontro do verdadeiro eu consumidor (Beverland et al., 2010; Morhart et al., 2015).
A autenticidade está presente nas várias esferas do ser humano, nas artes, na literatura, na filosofia e até nas ciências sociais. Nas ciências sociais, especificamente no marketing, a autenticidade está relacionada a vários aspectos do consumo. Estudos de autenticidade de marcas manifestam relevância em temas de pesquisa desde a década de 1990 (Arnould & Price, 1999; Stern, 1994). Stern (1994) começou a estudar a autenticidade, no campo do marketing, examinando a capacidade das marcas de transmitir a verdadeira vida cotidiana dos consumidores por meio de anúncios autênticos. Arnould e Price (1999) e Grayson e Shulman (2000) iniciaram seus estudos em relação a objetos, pessoas e experiências do consumidor. Kozinets e Handelman (2004) relacionaram a autenticidade à criatividade, identidade e individualidade dos seres humanos. Ainda, na análise individual, Holt e Thompson (2005) associaram a autenticidade de uma marca ao construir conceitos de identidade do consumidor. Botterill (2007) discorreu sobre a autenticidade como um mecanismo usado na propaganda para atrair os consumidores. Newman e Dhar (2014) analisaram a autenticidade da marca em relação ao seu país de origem e essência da marca.
Os estudos citados ao longo dos parágrafos anteriores mostram que a autenticidade é uma questão importante nos campos prático e acadêmico. A relevância deste trabalho reside no fato de que as métricas de autenticidade da marca, desenvolvidas até o momento (Bruhn et al., 2012; Morhart et al., 2015; Napoli et al., 2013; Schallehn et al., 2014), não Abordar totalmente as dimensões cruciais para o desenvolvimento do conceito de autenticidade da marca. Assim, a fim de esclarecer o mundo da autenticidade, a escala apresentada neste artigo pode ser utilizada tanto em práticas acadêmicas quanto em gerenciais.
A autenticidade no contexto das marcas lida com ofertas de mercado (produtos e serviços) em contraste com a busca de seres humanos autênticos. Embora, uma definição coesa de autenticidade de marca não seja encontrada em Marketing; Desta forma, a autenticidade da marca corresponde a uma variedade de atributos avaliados pelos consumidores. Essa dificuldade em estabelecer um conceito harmônico é dada devido à complexidade do termo (Boyle, 2003). Sendo um constructo que ainda não é unificado, tem muito espaço para exploração, e não tem um consenso sobre como medi-lo; A autenticidade da marca é delimitada como o tema central deste artigo.
O artigo propõe possíveis respostas para as seguintes questões: Que dimensões da autenticidade da marca são essenciais para o estabelecimento de uma escala sólida de autenticidade da marca? Qual é a estrutura hierárquica dessas dimensões? O objetivo geral deste trabalho é desenvolver uma escala multidimensional para o construto de autenticidade da marca, baseado na avaliação do consumidor. Em outras palavras, isso significa que a avaliação é baseada na avaliação do usuário para determinar uma medida de autenticidade da marca em um meio cognitivo e comportamental.
Escalas de autenticidade da marca
Até o momento, quatro escalas foram desenvolvidas para medir a autenticidade da marca (Bruhn et al., 2012; Morhart et al., 2015; Napoli et al., 2013; Schallehn et al., 2014). A autenticidade da marca é baseada em avaliações do consumidor em contraste como um atributo inerente a uma marca e, ainda assim, não há uma definição única do termo (Bruhn et al., 2012). Bruhn’s et al. (2012) é composta por quatro dimensões: continuidade (a marca é contínua e estável ao longo do tempo), originalidade (criatividade, originalidade e potencial de inovação da marca), confiabilidade (manter as promessas ao consumidor e verdade) e natural (ser genuína e / ou natural). Em geral, o tamanho da escala é razoável e, portanto, fácil de implementar. No entanto, apesar de não ser extensa, a escala não abrange dimensões que são consideradas essenciais para a marca como local de origem, sinceridade, qualidade e design.
Segundo Napoli et al. (2013), a autenticidade é fundamental para o status de uma marca e sua reputação corporativa. Sua escala é composta por 19 itens. A escala é mais completa em comparação com Bruhn et al. (2012) e aborda três dimensões críticas da autenticidade da marca: Sinceridade (2 itens), patrimônio (10 itens) e comprometimento da qualidade (7 itens). Ainda assim, não aborda todas as dimensões relevantes para o construto.
Schallehn et al. (2014), desenvolveu uma escala que examina o contexto de autenticidade, bem como seus efeitos. O modelo de Schallehn et al. (2014), diferentemente de outras escalas, registra os testes e os efeitos posteriores da autenticidade da marca. No entanto, da mesma forma que as outras escalas, ele usa apenas um país para testar os dados, o que não aborda a complexidade da autenticidade da marca
Morhart et al. (2015) criou uma escala formada por 4 dimensões e 15 itens, denominada “Autenticidade da Marca Percebida”. Foi construído com base na avaliação do consumidor dos EUA e na alta precisão estatística. Ao contrário das escalas anteriormente apresentadas, esta é a mais completa. No entanto, ainda assim, não aborda o conceito robusto de autenticidade. Os autores usaram marcas de produtos e serviços e testaram outros construtos de gerenciamento de marcas para análises discriminantes, como a atitude da marca. No entanto, tendo em vista a complexidade do conceito de autenticidade da marca, a escala não é suficiente, pois não aborda fatores como qualidade, sinceridade e origem da marca, originalidade e design. As escalas mostram as mudanças em relação à construção da autenticidade da marca.
Dimensões críticas percebidas na autenticidade da marca
Muitas das dimensões críticas da autenticidade da marca (lealdade, tradição, qualidade, produto original, origem) são exploradas em estudos qualitativos (Beverland & Farrelly, 2010; Kolar et al., 2010; Leigh et al., 2006; Morhart et al. , 2015; Thompson, Rindfleisch, & Arsel, 2006) e não abordam suas dimensões por dados quantitativos, resultando em uma falta de consenso sobre sua definição. A fim de corroborar com o referencial teórico da autenticidade da marca, este artigo explora os principais fatores que compõem o construto que são detalhados nos parágrafos seguintes.
Uma das principais dimensões abordadas pelos teóricos da gestão de marcas é o compromisso com a qualidade. Compromisso de qualidade significa manter os princípios originais da marca, através do processo de fabricação, design de materiais e produtos, independentemente de mudanças no mercado (Beverland, 2005; Gilmore & Pine, 2007). Através das lentes da autenticidade da marca, a marca está associada a uma percepção de qualidade baseada em conhecimentos e experiências do consumidor (Rose & Wood, 2005).
Outra dimensão relevante é a nostalgia. A nostalgia é uma preferência individual ou coletiva por objetos que eram comuns quando a pessoa era adolescente ou no começo da idade adulta (Belk, 1990; Holbrook, 1995). Holbrook (1995, p. 69) define: "as coisas eram melhores naquela época". Assim, uma marca que desperta sentimentos de nostalgia vincula o consumidor ao seu passado e fortalece suas relações sociais dentro de uma comunidade. As marcas vintage são ricas em associações pessoais e comunitárias. Eles promovem o renascimento de uma marca de uma era anterior, que é então atualizada para atender aos padrões atuais (Brown, Kozinets & Sherry, 2003). Mais simplesmente, Beverland e Farrelly (2010) relatam a nostalgia de uma época passada, mais simples. Napoli et al. (2013), da mesma forma, associam a nostalgia às memórias do consumidor a uma "era de ouro" que se perpetua e ainda tem forte vínculo com o passado (Napoli et al., 2013).
Fine (2003) define originalidade como o desejo de autenticidade agora ocupa uma posição central na cultura contemporânea. Se em nossa busca por individualidade, experiência de lazer ou compras de materiais, buscamos o real, o verdadeiro. A presença do original é central para o conceito de autenticidade e a existência do original é reforçada pela sua sobrevivência ao longo do tempo (Derbaix & Decrop, 2007). A originalidade está relacionada à criatividade, inovação e espontaneidade. Além disso, a originalidade e a naturalidade da marca podem ser influenciadas positivamente, estimulando a valorização local, pois esta é única para cada marca (Bruhn et al., 2012).
A simplicidade também é vista como um fator construtor da autenticidade da marca. Para Boyle (2003), a autenticidade da marca abrange conceitos como ética, naturalidade, honestidade, simplicidade e sustentabilidade. Leigh et al. (2006) relaciona-o simplesmente ao encanto. No contexto dos vinhos, Beverland et al. (2008) acredita que a simplicidade do logotipo impresso nas garrafas se refere à sua autenticidade. Kapferer (2008) combina simplicidade com pureza, discrição, naturalmente, paz e harmonia.
A autenticidade de uma marca reflete aspectos de sua produção e fundação. Além disso, quão leal é demonstrar isso a seus consumidores (Beverland et al., 2008). As origens da marca se destacam pela conexão física com os primeiros dias. Por causa da globalização, é comum que produtos da mesma marca sejam fabricados em um local diferente daquele onde a empresa foi originalmente fundada. Devido ao contágio baseado em crença, os produtos originais da fábrica são considerados os mais prováveis de conter a essência da marca. Por sua vez, essa crença na essência transferida leva os consumidores a ver os produtos da fábrica original, como mais autênticos e valiosos do que os produtos similares feitos em outros lugares (Newman & Dhar, 2014).
Os valores também estão fortemente associados à construção da autenticidade da marca. Uma marca seria autêntica se incorporasse os valores escolhidos de seus fundadores, proprietários ou membros, em vez de uma simples convenção da sociedade (Carrol & Wheaton, 2009). Eggers et al. (2012) sugerem que as marcas devem ter consistência e congruência e definir claramente os valores que refletem de onde vieram e o que são hoje. Marcas que têm história e conexão com culturas, costumes, regiões e crenças tradicionais assumem uma identidade diferente e uma aura nostálgica que lhe conferem autenticidade (Brown et al., 2003; Chhabra, Healy e Sills, 2003; Peñaloza, 2000; Postrel, 2003).
Outro fator nesta conceituação de autenticidade de marca é a essência. A essência da marca é seu DNA, seu núcleo; é consistente e inalterado ao longo do tempo (Heding et al., 2009). Segundo Heding et al. (2009, p. 12): "A essência da marca deve ser a mesma ao longo do tempo e nenhuma ação de marketing que a comprometa deve ser permitida".
A espontaneidade é outro fator importante para a compreensão da autenticidade. Arnould e Price (1999) sugerem que experiências extraordinárias são espontâneas, ou seja, sem preparação prévia. A espontaneidade difere uma extraordinária experiência de atividades de rotina diária (Arnould & Price, 1999). A naturalidade de uma marca é manter e exibir sua essência para os consumidores (Boyle, 2003). A espontaneidade expressa o sentido da paixão em relação a um território e seus recursos naturais (Ranfagni & Guercini, 2014).
O fator artesanal é outro conceito ligado ao construto de autenticidade da marca. Ser trabalhada corresponde à criação de um objeto em uma oficina por seguro e dedos ágeis de um artesão habilidoso (Tungate, 2009). O "ser artesanal" está relacionado com a distância da produção em massa. “As marcas podem adquirir uma aura de autenticidade por meio de um compromisso com as tradições, uma paixão pelo artesanato e excelência na produção e a recusa pública do papel dos modernos atributos industriais e motivações comerciais”, citado por Beverland (2005, p. 1008).
Os consumidores julgam como autênticos os produtos que representam ser criativos e sinceros, ao contrário dos produtos produzidos em massa. Organizações devem agir com sinceridade; que estão comprometidos em fornecer produtos e serviços sustentáveis. Essas práticas são um reflexo da herança de uma marca de alta qualidade, ou seja, a marca não desviou substancialmente atributos do núcleo em que foi originalmente construída. Isto sugere que sincero quando considerado em conexão com a autenticidade da marca está relacionado a valores e princípios (Napoli et al., 2013).
A última dimensão de autenticidade escolhida para este trabalho é o design. Marcas que mantêm seu design original, modernizam-se lentamente por meio da inovação e que não seguem tendências podem ser consideradas autênticas (Beverland, 2006; Beverland et al., 2008). Mudanças radicais nos projetos podem confundir os consumidores e levar a dúvidas sobre a autenticidade da marca (Brown et al., 2003).
Metodologia
Para desenvolver uma escala de autenticidade de marca baseada no consumidor, o modelo de Churchill (1979) foi usado como método. O passo inicial foi revisar a literatura sobre a autenticidade da marca. Escalas de autenticidade de marca existentes foram escolhidas na literatura: Bruhn et al. (2012), Napoli et al. (2013), Schallehn et al. (2014) e Morhart et al. (2015). Em seguida, foi feita a retrotradução das escalas disponíveis. Dois professores de inglês traduziram as escalas de autenticidade da marca para o português. Um dos profissionais realizou a tradução do português para o idioma original em inglês. Mais tarde, outro profissional realizou a tradução reversa. Após as traduções, três especialistas em comportamento do consumidor e gerenciamento de marca realizaram a comparação entre a escala original e as traduções. Após a retrotradução, foram aplicadas técnicas qualitativas (grupo focal e técnicas projetivas) para confirmar os itens existentes nas escalas e gerar novos itens da escala original. O grupo focal foi realizado com alunos de pós-graduação de uma grande universidade do Brasil, que teve como mediador da sessão um professor de Marketing. O objetivo deste grupo de foco foi estabelecer e fornecer insights sobre o assunto deste artigo para ouvir a opinião de consumidores com diferentes experiências, uma vez que os consumidores são os únicos a avaliar uma marca como autêntica ou inautêntica. Cinco especialistas, da área de comportamento do consumidor no Brasil, e gestão de marcas dos EUA, realizaram testes de validação facial. Houve concordância entre todos em relação ao aprimoramento de alguns itens da pesquisa. O objetivo desta etapa foi fornecer maior qualidade ao instrumento de medição. A escolha das marcas foi dada com base (1) na presença da marca nos EUA e no Brasil; (2) marcas de diferentes categorias e preços diferentes; (3) marcas que levaram a diferentes situações de consumo, como locais, tempo e interação entre seus usuários.
A fim de promover uma maior consistência interna, decidimos separar os dados em três amostras diferentes. A amostra número 1 corresponde a 210 respostas válidas, em português, coletadas no Brasil; A amostra 2 é baseada em 248 respostas válidas, em português, coletadas no Brasil. Para a coleta de dados no Brasil, a pesquisa foi disponibilizada através de um link eletrônico na rede social Facebook. Foi espalhado em 101 grupos de diferentes características, na rede social LinkedIn e via e-mail através da ferramenta Qualtrics entre estudantes e ex-alunos da Universidade de São Paulo (USP). A amostra 3 é baseada em 247 respostas válidas, em inglês, coletadas nos EUA entre os respondentes registrados no Amazon Mechanical Turk (MTurk).
Avaliação de Dimensões de Autenticidade
Para análise dos dados, inicialmente foi feita uma checagem do alfa de Cronbach, analisando a consistência interna de um conjunto de itens. O objetivo desta análise foi determinar as dimensões da coleta de dados resultante e simplificar, condensar e resumir a estrutura de autenticidade da marca dos itens por meio da análise fatorial exploratória (AFE) (Hair et al., 2010). O próximo passo foi avaliar a consistência interna de cada dimensão que resultou da análise fatorial exploratória. Os itens foram purificados por meio da análise fatorial exploratória e pelos coeficientes alfa das dimensões geradas, excluindo itens que pouco contribuíam para a consistência interna das dimensões.
Após a identificação e seleção das nove dimensões de autenticidade da marca, os itens pertencentes a cada uma das dimensões foram filtrados, para eliminar aqueles que tinham cargas baixas e não condiziam com a dimensionalidade original. A AFE foi realizada separadamente para as amostras 01 (Brasil1), 02 (Brasil2) e 03 (EUA). O objetivo desta divisão da amostra total foi verificar a estabilidade de conjuntos de variáveis para todas as amostras. Restaram apenas os itens que apareceram em seu tamanho original e em três amostras simultaneamente. Fatores como herança, habilidade e sustentabilidade foram eliminados, uma vez que o intervalo foi composto de apenas um item cada nas amostras (Beverland et al., 2010; Morhart et al., 2015).


Depois disso, para estabelecer a validade do construto de autenticidade da marca, deve-se determinar as medidas que se correlacionam com as outras que se destinam a medir as mesmas dimensões e se a medida se comporta como esperado (Churchill, 1979). Assim, foi realizada a Análise Fatorial Confirmatória (AFC), que é uma técnica multivariada para testar / confirmar uma relação pré-especificada (Hair et al., 2010). As amostras foram divididas entre a Amostra 01, a Amostra 02 e a Amostra 03. Além do coeficiente Alfa, Hair et al. (2010) sugerem duas medidas para verificar a adequação da amostra: o teste de esfericidade de Bartlett e a Medida de Amostragem Kaiser-Meyer-Olkin (KMO). O teste de esfericidade de Bartlett testa a hipótese de que a matriz de correlação de dados é uma matriz de identidade, ou seja, os itens são correlacionados apenas com eles mesmos. Se os valores do teste de Bartlett forem altos, há uma indicação de que a análise fatorial é adequada. Como forma de verificar se o conjunto de dados das três amostras era adequado, foi realizado o teste KMO. Para que os dados sejam adequados, o valor KMO deve ser 0,6 ou superior. Em relação ao teste de esfericidade com valor de Barlett, para que o valor seja significativo é necessário que seja 0,05 ou menor (HAIR et al., 2010). No caso das três amostras, o conjunto de dados resultante da análise fatorial é adequado, uma vez que KMO values of the samples were 0.919; 0.889 and 0.931 respectively, considered admirable by Hair et al. (2010).
A hierarquia das dimensões de autenticidade
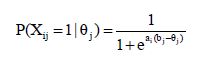
[Ecuacion 1]⎯ Xij é a variável aleatória, dicotômica, com valores 1 ou 0 (quando o sujeito j indica a característica de autenticidade i presente ou ausente);
⎯ θj é o parâmetro que representa a intensidade de autenticidade global;
⎯ P (Xij = 1 | θj) é a probabilidade de característica de autenticidade i ser indicada pelo sujeito j para uma intensidade de autenticidade de marca global θj;
⎯ bi é o parâmetro de posição da característica de autenticidade i, medida na mesma escala de intensidade de autenticidade global;
- Ij ai é o parâmetro discriminante (ou declive) da característica de autenticidade i, correspondente à inclinação da linha tangente no ponto bi.
Note que P (Xij = 1 | θj) também deve ser analisado como a proporção da dimensão de autenticidade j entre todas as marcas com a mesma intensidade de autenticidade global θj. A curva que caracteriza os diferentes valores de θ e P (Xij = 1 | θj) é a Curva Característica de Item - ICC, apresentada no gráfico 1. O modelo proposto baseia-se nas dimensões de autenticidade que não possuem uma relação linear com o global autenticidade da marca. O formato “S” da curva ICC com inclinação e posição no nível de autenticidade global é definido pelos parâmetros de cada dimensão.
O parâmetro b representa o nível da dimensão de autenticidade para aumentar a probabilidade de uma marca ser mais autêntica, indicada por um assunto. Com um maior b, há uma menor probabilidade de encontrar a dimensão de autenticidade correspondente na combinação marca / assunto.
Para um parâmetro, os maiores valores indicam que a dimensão de autenticidade correspondente possui um poder de discriminação menor em comparação com outros. Valores mais altos indicam que o ICC é mais nítido. Esses valores representam uma capacidade de discriminação maior do item.
Para esta aplicação, cada dimensão foi transformada em uma variável binária, com base no ponto de corte de 75% da grande distribuição de amostra média. Ou seja, com uma grande média de 3.754 e uma média do 3.º quartil de 4.424, cada indivíduo indica que a dimensão i é apresentada na marca j quando a sua avaliação é superior a 4.424; caso contrário, a dimensão referida i não é da marca j. A tabela X apresenta os parâmetros de IRT para cada dimensão.

A Figura 1 ilustra as curvas ICC para a amostra total. Neste gráfico é possível ver que o compromisso de qualidade, originalidade e essência são as dimensões menos importantes na hierarquia de autenticidade. Comparando esses resultados com Bruhn et al. (2012), Napoli et al. (2013), Schallehn et al. (2014) e Morhart et al. (2015), essas dimensões são aquelas com uma variação comum entre todas as marcas e servem como base para interpretar a autenticidade da marca. Mas eles não são os que dão às marcas transformadas como entidades genuínas. Nostalgia, origem e simplicidade podem ser consideradas as que permitem que uma marca seja considerada mais autêntica. E, como uma propriedade da análise de IRT, diferentemente da análise de variância comum tradicional, uma marca poderia ser autêntica com um nível mais alto de nostalgia sem simplicidade associada a ela.

Conclusões
O objetivo específico deste trabalho foi estabelecer as dimensões críticas da autenticidade da marca para desenvolver uma escala. Com base na literatura existente, em pesquisa qualitativa e trabalho de campo, ficou evidente que 09 fatores são fundamentais na avaliação da autenticidade de uma marca. São eles: espontaneidade (05 itens); qualidade (04 itens); essência (04 itens); nostalgia (04 itens); valores (04 itens); simplicidade (03 itens); desenho (03 itens); origem (03 itens) e originalidade (02 itens). Essas dimensões são organizadas em uma estrutura hierárquica que permite a avaliação da autenticidade combinando-as mesmo que alguns itens não estejam associados a uma marca. Isso significa que o modelo IRT permite analisar as fontes específicas de autenticidade de cada marca.
Esta pesquisa contribui para a compreensão do construto da autenticidade da marca para abordar suas associações conceituais e estabelecer um conceito parcimonioso. Além disso, até agora, a maioria dos estudos que tratam da autenticidade da marca são qualitativos (Beverland & Farrelly, 2010; Kolar et al., 2010; Leigh et al., 2006; Thompson, Rindfliesch e Arsel, 2006). Em segundo lugar, quando comparamos este artigo com aqueles disponíveis na literatura (Bruhn et al., 2012; Morhart et al., 2015; Napoli et al., 2013; Schallehn et al., 2014) fica claro que existe novo agrupamento de 09 dimensões que podem ser consideradas hierarquicamente críticas para a medição da autenticidade da marca.
É importante ressaltar que, embora a metodologia adotada seja coerente com os objetivos desta pesquisa, existem limitações decorrentes dessa escolha e, consequentemente, implicações nos resultados. A escolha da pesquisa eletrônica, apesar de trazer vantagens no sentido de facilitar o processamento de dados, não permite uma alta taxa de adesão dos respondentes. Era necessário insistir em um número razoável de respostas.
Futuras pesquisas também podem validar a escala em outros países além do Brasil e dos Estados Unidos. Além disso, a escala pode ser testada em outras categorias de produtos e com marcas diferentes. Além disso, poderia haver uma comparação entre marcas de bens tangíveis e intangíveis. Além disso, o desempenho financeiro das marcas com base no seu grau de autenticidade pode ser avaliado. É possível desenvolver várias outras pesquisas baseadas em questões que emergiram deste artigo.
Uma marca, quando conhece seu grau de autenticidade, pode usá-la como um componente central de sua posição e contribuir para seu crescimento. Além disso, a escala pode ser usada para rastrear mudanças na percepção da marca na implementação de qualquer ação de marketing e também pode ser usada para monitorar e avaliar os concorrentes, com o tempo, em termos de sua autenticidade (Bruhn et al., 2013).
Referências
Arnould, E. J. & Price, L.L. (1999). Authenticating Acts and Authoritative Performances: Questing for Self and Community. In S. Ratneshwar, D. Mick, & C. Huffman (Eds.), The Why of Consumption: Contemporary Perspectives on Consumer Motives, Goals, and Desires, New York, NY: Routledge, pp 140-163.
Belk, R.W. (1990). The role of possessions in constructing and maintaining a sense of past, Advances in Consumer Research, 17, 669-676.
Beverland, M. B. (2005). Crafting Brand Authenticity: The Case of Luxury Wines. Journal of Management Studie., 42(5), 1003–1029.
Beverland, M. B. (2006). The “Real Thing”: Branding Authenticity in the Luxury Wine Trade, Journal of Business Research, 59(2), 251–258.
Beverland, M. B., Lindgreen, A., & Wink, M.W. (2008). Projecting Authenticity through Advertising: Consumer Judgments of Advertisers’ Claims. Journal of Advertising, 37(1), 5-14.
Beverland, M. B. & Farreley, F. J. (2010). The Quest for Authenticity in Consumption: Consumers’ Purposive Choice of Authentic Cues to Shape Experienced Outcomes. Journal of Consumer Research, 36(5), 838–856.
Birnbaun, A. (1968). Some Latent Trait Models and their Use in Inferung an Examinee´s Ability. In F.M. Lord, & R.M. Novick, (Eds.), Statistical Theories of Mental Test Scores. Reading, MA: Addison- Wesley, ch. 17-20.
Botterill, J. (2007). Cowboys, Outlaws, and Artists: The Rhetoric of Authenticity and Contemporary Jeans and Sneaker Advertisements. Journal of Consumer Culture, 7(1), 105-125.
Boyle, D. (2003). Authenticity: Brands, Fakes, Spin, and the Lust for Real Life. London, UK: Harper Collins.
Brown, S., Kozinets, R., & Sherry, J. F. (2003). Sell Me the Old, Old Story: Retromarketing Management and the Art of Brand Revival. Journal of Customer Behavior, 2(2), 133-147.
Bruhn, M., Schoemuller, V., Schafer, D., & Heinrich, D. (2012). Brand Authenticity: Towards a Deeper Understanding of Its Conceptualization and Measurement. Advances in Consumer Research, 40, 567- 576.
Carrol, G. R. & Wheaton, D. R. (2009). The organizational construction of authenticity: An examination of contemporary food and dining in the U.S., Research in Organizational Behavior, 29, 255–282.
Chhabra, D., Healy, R., & Sills, E. (2003). Staged authenticity and heritage tourism. Annals of Tourism Research, 30(3), 702-719.
Derbaix, M. & Decrop, A. (2007). Authenticity in the performing arts: A foolish quest? Advances in Consumer Research, 34, 75-80.
Eggers, F., O'Dwyer, M., Kraus, S., Vallaster, C., & Guldenberg, S. (2008). The impact of brand authenticity on brand trust and SME growth: A CEO perspective. Journal of World Business, 48(3), 340-348.
Fine, G. A. (2003) Crafting Authenticity: The Validation of Identity in Self-Taught Art. Theory and Society, 32(2), 153–180.
Gilmore, J. H., & Pine, J. B., II (2007). Authenticity – What consumers really want. Boston, MA: Harvard Business School Press.
Grayson, K., & Martinec, R. (2004). Consumer perceptions of iconicity and indexicality and their influence on assessments of authentic market offerings. Journal of Consumer Research, 31(2), 296–312,
Heding T., Knudtzen, C. F., & Bjerge, M. (2009). Brand Management: Research, Theory and Practice. London, UK: Routledge.
Holbrook, M. B. (1995). Consumer Research: Introspective Essays on the Study of Consumption. Thousand Oaks, CA: Sage Publications.
Holt, D. B. & Thompson, C. J. (2005). Man-of-Action Heroes: The Pursuit of Heroic Masculinity in Everyday Consumption. Journal of Consumer Research, 31(2), 425-440.
Kapferer, J-N. (2008). The new strategic brand management: Creating and sustaining brand equity long term. London, UK: Kogan Page.
Kates, S. M. (2004). The dynamics of brand legitimacy: An interpretive study in the gay men's community. Journal of Consumer Research, 31(2), 455–464.
Kolar, T., & Zabkar, V. (2010). A consumer based model of authenticity: An oxymoron or the foundation of cultural heritage marketing? Tourism Management, 31, 652-664.
Kozinets, R. V. & Handelman, J. (2004). Adversaries of Consumption: Consumer Movements, Activism, and Ideology. Journal of Consumer Research, 31(3), 691-704.
Leigh, T. W., Peters, C., & Shelton, J. (2006) The consumer quest for authenticity: The multiplicity of meanings within the MG subculture of consumption. Academy of Marketing Science, 34(4), 481-493.
Morhart, F., Malär, L., Guèvremont, A., Girardin, F., & Grohmann, B. (2015) Brand authenticity: An integrative framework and measurement scale. Journal of Consumer Psychology, 25(2), 200-218.
Muñoz, C. L., Wood, N. T., & Solomon, M. R. (2006). Real or blarney? A cross-cultural investigation of the perceived authenticity of Irish pubs, Journal of Consumer Behaviour, 5, 222-234.
Napoli, J., Dickinson, S. J., Beverland, M. B., & Farrely, F. (2014). Measuring consumer-based brand authenticity. Journal of Business Research, 67(6), 1090-1098.
Newman, G. E. & Dhar, R. (2014). Authenticity Is Contagious: Brand Essence and the Original Source of Production. Journal of Marketing Research, 51(3), 371-386.
Peñaloza, L. (2000). The commodification of the American West: Marketers production of cultural meanings at the trade show. Journal of Marketing, 64(4), 82–109.
Postrel, V. (2003). The Substance of Style: How the Rise of Aesthetic Value is Remaking Commerce, Culture, & Consciousness. New York, NY: Harper Collins Publishers.
Ranfagni, S. & Guercini, S. (2014). On the trail of supply side authenticity: Paradoxes and compromises emerging from an action research. Journal of Consumer Behaviour, 13, 176–187.
Rose, R. L. & Wood, S. T. (2005). Paradox and the Consumption of Authenticity Through Reality Television. Journal of Consumer Research, 32(2), 284-296.
Samejima, F. (1969). Estimation of latent trait ability using a response pattern of graded scores. Psychometrika Monograph Supplement No. 17,34(4, Pt. 2), 1-100. .
Schallehn, M., Burmann, C., & Riley, N. (2014). Brand authenticity: model development and empirical testing, Journal of Product & Brand Management, 23(3), 192–199.
Stern, B. (1994). Authenticity and the Textual Persona: Postmodern Paradoxes in Advertising Narrative. International Journal of Research in Marketing, 11, 387-400
Thompson, C. J., Rindfleisch, A., & Arsel, Z. (2006). Emotional branding and the strategic value of the doppelganger brand image. Journal of Marketing, 70(1), 50–64.
Tungate, M. (2009). Luxury World: the past, present and future of luxury brands. London, UK: Kogan Page Publishers.