Artigos
Recepção: 07 Maio 2018
Aprovação: 27 Fevereiro 2019
DOI: https://doi.org/10.18226/21789061.v11i4p939
Resumo: O Facebook é uma rede social muito utilizada atualmente por diversos públicos, com propósitos de entretenimento e relacionamento, porém, podendo servir como divulgação de negócios e captação de clientes. A principal ferramenta facilitadora para tal é a possibilidade de as empresas possuírem e gerenciarem suas páginas. No entanto, para que isto aconteça de forma eficiente, é preciso ter cuidado com fatores como tempo de respostas no chat; variedades de fotos da estrutura e serviços oferecidos; respostas às avaliações, entre outros. Pensando nisto, o presente trabalho tem como objetivo verificar as estratégias de comunicação, com foco em captação de clientes, utilizadas pelos hostels de Florianópolis-SC, Brasil, no Facebook. O método de pesquisa foi o descritivo e a amostra composta por dez hostels. O instrumento de coleta foi um roteiro estruturado e a análise utilizou estatística descritiva e análise de conteúdo. Os resultados alcançados foram positivos com relação à afirmação de que o Facebook pode ser usado como técnica para captação de clientes, devendo ser focado principalmente na relação com o cliente.
Palavras-chave: Hostels, Gestão, Captação de Clientes, Facebook, Florianópolis-SC, Brasil.
Abstract: Facebook is a social network widely used by various audiences for entertainment and relationship purposes, but can be used as business promotion and customer acquisition. The main facilitating tool for this is the ability for companies to own and manage their pages efficiently. This requires attention to factors such as chat response time; photo varieties of the structure and services offered; responses to assessments, among others. Thus, the present work aims to verify the communication strategies, focusing on customer acquisition, used on Facebook by hostels in Florianópolis-SC, Brazil. The research method was descriptive and the sample consisted of ten hostels. The collection instrument was a structured script and the analysis used descriptive statistics and content analysis. The results achieved were positive regarding the statement that Facebook can be used as a technique for attracting customers, and should be focused mainly on customer relations.
Keywords: Hostels, Management, Customer Acquisition, Facebook, Florianópolis-SC, Brazil.
INTRODUÇÃO
A comunicação de marketing exerce uma função muito importante nas empresas, pois é basicamente a forma como cada estabelecimento oferece/informa os clientes sobre seus produtos/serviços e os induzem a aquisição. Sem este tipo de comunicação é possível que o cliente deixe de saber informações sobre as empresas e suas ofertas, além de instruções de uso dos produtos, para que consiga tirar maior proveito dos mesmos (Mondo & Costa, 2011). É relevante o uso de mídias, que têm um papel muito importante na atualidade, levando-se em conta que, hoje, os meios de comunicação social estão, cada vez mais, procurados e, inclusive, fundamentais para concretizarem-se determinadas tarefas. De acordo com Pernisa Jr (2001), a mídia digital é “o espaço que comporta os meios de comunicação que se utilizam da linguagem binária da informática” (p. 1).
No contexto da hotelaria com foco nos hostels, na qual é possível identificar o público alvo com facilidade por ser diferenciado dos demais, entende-se que estes têm capacidade e até preferência em utilizar a Internet para planejar sua viagem e procurar seu meio de hospedagem. Este perfil, geralmente, se caracteriza pelo público jovem [sendo que grande parte são estrangeiros], que “busca uma acomodação com preços acessíveis, não necessariamente de baixo custo, em ambiente moderno, confortável e seguro, somado a uma convivência social intensa e prazerosa durante o período de sua viagem” (Coutinho, 2015, p. 1). Assim, a mídia digital inserida como forma de propaganda nos hostels é uma ferramenta bastante estratégica, pois este tipo de hospedagem possui um público que pode facilmente ser estudado e decifrado, é possível compreender suas necessidades e desejos para que seja oferecido o que se adapta com esta realidade. Depois de estudar este público alvo, a Internet surge como ferramenta facilitadora para a atração deste, e a partir daí, basta refletir em algo que o hostel tenha e possa oferecer e inserir na mídia digital, preferencialmente em redes sociais, que são bastante utilizadas pelos jovens, para que o público seja atingido.
De acordo com Mangold e Faulds (2009), as mídias sociais colaboram com a comunicação entre os consumidores, tornando-a mais fácil e rápida, comunicação esta que não está sobre o controle dos gerentes, porém, pode-se utilizar técnicas para moldar e influenciar estas discussões que reforcem a organização. Ainda, ressaltam que as pessoas se sentem mais confortáveis com os produtos e empresas quando recebem feedbacks. Ainda segundo os autores, as mídias sociais incluem blogs, fóruns de discussão, e-mail, salas de bate-papo, entre outros. Seguindo esta linha de raciocínio as mídias sociais podem incluir desde e-mails e fóruns de discussão sobre um produto de determinada marca até websites de vídeos [como por exemplo, o Youtube] e redes sociais, entretanto, todas têm sempre algo em comum, a possibilidade de interação social. Para demonstrar tamanha importância das redes sociais, Coelho (2018) cita que “130 milhões de brasileiros utilizam as redes sociais. Desses, 120 milhões realizam o acesso através de seus celulares. Esse número representa 57% do total da população brasileira” (p. 1). Isto é, mais de 50% da população está interagindo com essas novas tecnologias. A autora ainda ressalta que diariamente, os brasileiros “gastam, em média, 9 horas navegando na web. O país também aparece entre os primeiros quando o assunto o tempo gasto nas redes sociais: são mais de 3 horas diárias” (p.1).
Ao perceber a grande importância das mídias sociais, quando o foco é captação de clientes, nota-se que o Facebook tem grande influência sobre seus usuários e é permitido que produtos e serviços sejam divulgados com diversas informações. Segundo Porto (2016), “por concentrar um número expressivo de usuários, o grande diferencial do Facebook para os demais meios de comunicação de massa é a capacidade de segmentação que a plataforma oferece” (p. 51). Assim, é possível que o conteúdo publicado nesta rede social seja acessado por diferentes tipos de público com diferentes interesses, até alcançar seu devido público alvo. Com isso, o Facebook se torna uma ferramenta facilitadora para a captação de clientes, que, ainda de acordo com as palavras de Porto (2016), “outro ponto que favorece a utilização do Facebook por empreendimentos de todos os portes é a possibilidade de flexibilidade de orçamento” (p. 51). Esta flexibilidade favorece tanto as grandes empresas quanto as pequenas, pois, qualquer um pode usar o Facebook sem custo algum, porém para divulgação e anúncios, taxas são cobradas de acordo com a quantidade de público que deseja atingir.
Além dos fatos mensurados, também é importante ressaltar que o turismo em Florianópolis é muito escolhido por turistas brasileiros e estrangeiros, pelo fato de a cidade possuir variadas praias e espaços de lazer, além de festas e eventos interessantes. Com isso, os meios de hospedagem em Florianópolis lucram, uma vez que um turista necessita de acomodação, e para tal procure algum meio de hospedagem na cidade. Com isso, percebe-se a importância dos hostels, meio de hospedagem de menor custo caracterizado por disponibilizar quartos e banheiros compartilhados, podendo também, em exceção, possuir uma pequena quantidade quartos privados. De acordo com Nogueira e Santos (2015), “apesar do número reduzido de serviços e facilidades usualmente ofertadas pelos hostels, o mercado dessa categoria de hospedagem é bastante competitivo na maioria dos grandes destinos turísticos” (p. 571), sendo que estes são mundialmente conhecidos e muito procurados pelos indivíduos que desejam viajar e planejam gastar pouco dinheiro.
A partir do exposto, chegou-se ao problema desta pesquisa: Quais estratégias de comunicação com foco em captação de clientes são utilizadas pelos hostels de Florianópolis no Facebook? Para respondê-la, definiu-se como objetivo geral da pesquisa: Verificar as estratégias de comunicação com foco em captação de clientes que são utilizadas pelos hostels de Florianópolis no Facebook.
FUNDAMENTAÇÃO TEÓRICA
Marketing - Na visão de Souki (2004), marketing é uma técnica utilizada pelos empresários para obter sucesso com seu negócio. Ainda, que o significado do marketing se dá pelo seu próprio nome, que, na língua inglesa, significa “mercado”. Sendo assim, se revela algo que está em harmonia com o mercado, tendo o poder de conquistar clientes e satisfazer suas necessidades e desejos. Por outro lado, marketing também é o processo de identificação das necessidades e desejos dos indivíduos e da sociedade, suprindo-as e com isso, gerando a consequência do lucro, convertendo as necessidades particulares e comunitárias em vantagem lucrativa para o negócio. Kotler e Keller (2012) citam que o principal propósito do marketing não é vender, que isto é uma consequência do ato de compreender seu público e seus interesses de forma tão profunda que seu produto ou serviço se venda por si. Também descrevem que o marketing é simplesmente a ferramenta pela qual as pessoas/grupos sociais conseguem a satisfação de suas necessidades e anseios através da elaboração, oferta e troca de produtos e serviços. Com o surgimento da terceira era, a da informação, caracterizada pela grande divulgação de computadores pessoais, alcançou-se a chance de fazer pesquisa dos hábitos dos consumidores de forma mais produtiva, podendo-se segmentar mercados entre classe social, idade, renda e perfil dos migrantes. Além disso, também foi possível segmentar o mercado pelo perfil psicológico do cliente. Com isso, a ênfase dessa era passou a ser o marketing de fidelização, com o objetivo de superação das expectativas dos consumidores, e não apenas para a satisfação de necessidades (Souki, 2004).
Comunicação de marketing - A comunicação de marketing é a voz da empresa, é por ela que as marcas ou produtos são comunicadas, impulsionadas e recordadas aos clientes. Com isto, a empresa ou marca acaba criando laços com os consumidores, principalmente porque informa-os melhor sobre seus produtos, instruindo para que é usado, quem usa, em que lugar e quando pode ser utilizado. Ao inserir a empresa/marca nos pensamentos dos consumidores, formulando uma boa imagem e estimulando boas opiniões a respeito dela, pode-se dizer que a comunicação de marketing pode alavancar as vendas e colaborar para o ‘brand equity’. Na atualidade, com o surgimento de novas tecnologias, por exemplo, os celulares com acesso à Internet, pode-se dizer que os meios de comunicação de massa estão sendo cada vez menos vigentes para a publicidade. Hoje , as pessoas têm até mesmo como optar por não receber mensagens publicitárias, ou por receber apenas as que lhe interessem. A elaboração de uma boa comunicação de marketing conta com diversas etapas nas quais busca-se identificar o público-alvo, definir os objetivos desta comunicação, produzi-la, eleger os canais de comunicação que serão utilizados e o quanto se pretende gastar com isto. Ainda, sempre que houver uma questão de consumo a ser resolvida, as pessoas estarão inseridas em um procedimento de decisão de compra, e, quanto melhor a empresa entender este processo, mais oportunidades terá de satisfazer e maravilhar seus clientes (Kotler & Keller, 2012; Souki, 2004).
Word-of-mouth - O boca-a-boca é utilizado pelos clientes para abordar variadas empresas, marcas, produtos e serviços, e, costuma beneficiar mais empresas que possuem um relacionamento próximo com o consumidor. Comentários sobre a empresa podem acarretar em sucesso ou arruinar o negócio. Cada indivíduo que elogia os produtos ou serviços de um empreendimento, adiciona valor e gera atração de novos clientes, logo, quando o comentário for negativo, acaba adicionando receio às pessoas a irem ou voltarem a determinado lugar. Por isso, para que ocorra o crescimento da empresa, é preciso controlar a sua reputação, ou, principalmente, o boca-a-boca, pois, apesar de promoções incríveis, o que tem maior valor ao cliente é o comentário de pessoas que ele tem confiança (Kotler & Keller, 2012; Souki, 2004).
Com isso, para Souki (2004) o acompanhamento pós-venda é de extrema importância para o controle do boca-a-boca, logo, depois que entregue o produto, deve haver uma ligação onde a empresa verifica o nível de satisfação do cliente perante seu serviço/produto. Assim, caso haja algo de errado, a empresa demonstra interesse e consegue reverter a situação antes que o comentário negativo seja feito com conhecidos do cliente. Adicionalmente, Kotler e Keller (2012) citam que as mídias sociais têm sido procuradas com o propósito de divulgação, e com isto, acabam sendo percebidos dois tipos de mídias: as pagas, que geralmente são propagandas e campanhas publicitárias provocadas pela própria empresa, e as gratuitas/espontâneas, cujas são provocadas pelas pessoas de fora e clientes que escrevem em blogs e conversam em redes sociais sobre determinada empresa/marca, sem esta ter pago estes indivíduos para isto.
Além disso, percebe-se que os profissionais de marketing estão preferindo focar nas consequências do boca-a-boca inserido na Internet, pois é mais fácil o monitoramento, e, ainda, existem marcas inovando sua infraestrutura e adicionando salas específicas para monitoramento. Por fim, Kotler e Keller (2012) enfatizam que dentro dessas novas tecnologias, por meio das mídias sociais é possível que se observe cada passo do usuário, desde compartilhamento de novo conteúdo, até comentários, atualização de perfil e constatação de amigos, e com esta ferramenta é possível que os profissionais de marketing tenham controle do público que tem interesse ou poderia ter, em seu conteúdo.
Internet - A Internet, segundo oferece algumas vantagens para a empresa, sendo elas: expandir a visibilidade, tanto dentro do país quanto fora; melhorar o atendimento; reforçar sua imagem e, principalmente, aumentar suas vantagens perante aos concorrentes; reduzir custos com comunicação; espalhar informações para o mundo inteiro; atualização sobre informações de produtos e serviços atuais; divulgar e ampliar seu mercado; conceder comunicação em tempo real; e colaborar com seus clientes no quesito de pedidos e consultas de produtos. Uma empresa que utiliza a Web de forma eficiente pode marcar sua presença nela, sendo capaz de utilizá-la para a realização de pesquisas, oferecimento de informações, promoção de fóruns de discussão, disponibilizar treinamento e compras/vendas online, entre outros recursos que acumulam vantagens à empresa (Souki, 2004; Kotler, 1999).
Seguindo o ponto de vista de que a Web é um meio possibilitador de muitas vantagens, Zenone (2010) retrata em sua obra que o uso do e-mail pode ser um meio de comunicação entre pessoas e empresas, uma perspectiva para disponibilizar informações que interessem os clientes e para estes solicitarem as demais referências que necessitarem. Já para Souki (2004), a página da empresa na Internet também é muito importante e deve ser muito planejada, pois, é por lá que o cliente conhece o empreendimento, então é necessário que seja simples e objetiva. Mesmo que tenha um objetivo principal, o site também deve dispor de vários itens e serviços diferenciais. No caso de um site de vendas, é interessante que além de dispor de produtos e serviços para vender, também possua informações sobre a empresa e sua história, além das metas traçadas (Sandhusen, 2010).
Para que seja possível fazer uma análise, a empresa deve focar em seu website de modo crítico e analisar o porquê alguém teria vontade de navegar no seu site, o que é interessante nele, o motivo de alguma pessoa querer voltar a ele e o motivo de alguém querer anunciar na página. Além disso, é interessante que a empresa conheça seu público-alvo e os sites que ele costuma frequentar para que seja pensado na possibilidade de inserir publicidade neles (Kotler, 1999). As informações disponibilizadas nos sites dos hotéis podem desempenhar papel primordial no processo de decisão do cliente. Saber a percepção de importância dessas informações na visão consumidora proporciona indicativos importantes para os gestores traçarem suas estratégias.
Mídias sociais versus negócios - As mídias sociais são o meio pelo qual os usuários têm a capacidade e oportunidade de partilhar vídeos, fotos, som, textos, entre outros tipos de mídia entre si e com as empresas. As plataformas das mídias sociais mais importantes são divididas em três. Dentre as plataformas, propriamente ditas, existem as comunidades e fóruns online, em alguns casos são criados pelos indivíduos sem o propósito comercial e outros têm a participação das empresas e também membros que os criam para que haja comunicação sobre seus produtos e serviços. Esta plataforma favorece as empresas no âmbito de obtenção de informações importantes sobre seus clientes, que muitas vezes são complicadas de se obter (Kotler & Keller, 2012).
Já as redes sociais, segundo Kotler e Keller (2012), se transformaram em uma importante ferramenta para o marketing, sendo que cada rede oferece um tipo de vantagem para as empresas. Os autores ainda retratam que a maior rede social do mundo é o Facebook, que é capaz de envolver intensamente os usuários, pois permite que os assuntos sejam mais aprofundados, e também é possível que se tenha uma página da empresa, o que cada vez mais está se tornando algo fundamental. Nos negócios, segundo Zenone (2010), estas redes sociais permitem a transmissão de informações, comunicação e venda, e, além disto, como inicialmente o interesse nestas redes eram baseados em questões sociais, porém com o tempo notou-se que foram criadas redes sobre os mais variados assuntos, logo captou-se que esta ferramenta possuía uma grande capacidade para o negócio.
Mantendo o olhar neste âmbito, é importante ressaltar que através das redes sociais as pessoas têm como realizar a troca de informações e opiniões sobre seus interesses e descontentamentos a respeito de produtos e marcas através de fotos, mídias, vídeos, etc. Com isto, qualquer usuário que tenha a rede social tem acesso à essas informações (Zenone, 2010). Ainda referindo-se à empresa, mas com o olhar na era da informação, Guimarães, Poggi e Borges (2008) descrevem em sua obra que a vantagem do empreendimento sobre os negócios tem sua origem no conhecimento, controle de dados em tempo real e confiabilidade nos relacionamentos, e que na atualidade, por conta disto, não são mais as empresas maiores que tem destaque sobre as menores, mas sim as mais rápidas sobre as mais vagarosas. Segundo Zenone (2010), as redes sociais devem ser incluídas na estratégia de marketing pois estão gerando muitas oportunidades às empresas de se relacionar melhor com seus clientes. Também, com o uso destas redes pelas empresas é possível que se verifique o quanto os seus clientes estão satisfeitos com sua marca/produtos; gera mais conhecimento sobre o perfil e comportamento do cliente; fortalece a imagem do negócio, tendo também mais meios de comunicação com o consumidor; e, por fim, fortalece o relacionamento com os clientes e melhora o atendimento por transmitir proximidade.
Para que haja sucesso entre as redes sociais e negócios, deve-se ter atenção ao eleger a equipe responsável pela comunicação com o cliente, pois esta, ao relacionar-se com o mesmo, deve ter em vista o propósito do negócio e o perfil do público alvo. Ainda destaca que o resultado do uso destas redes pode ser positivo ou negativo, pois as mesmas têm uma capacidade grande de construção de opiniões. Por fim, além de tornar as empresas mais amigáveis ao olhar do consumidor, as redes sociais como estratégia de marketing também são atrativas para os negócios pelo seu custo, que é baixo e, algumas vezes até nulo (Zenone, 2010).
Hotelaria e mídias sociais - Um dos objetivos fundamentais da hotelaria é dispor de acomodação aos hóspedes, servindo-os e proporcionando lucro com isto, tendo em vista que cada hotel possui o seu público-alvo e o seu serviço, que pode ser variado conforme a categoria. Tendo isto em vista, é importante ter um bom relacionamento e diálogo com o cliente, o que o faz com que se sinta mais próximo e torna o atendimento e o serviço mais eficazes, e, ainda citam que os hotéis que optam por utilizar as mídias sociais como meio para realizar reservas acabam conseguindo ter essa boa impressão sobre o cliente (Mota, Wada & Fraga, 2013). Seguindo esta base de raciocínio, Mondo, Dellinghausen e Costa (2011) ressaltam que as mídias sociais são capazes de fazer com que os hotéis consigam manter um relacionamento com o cliente de forma diferenciada, além de contar com diversas alternativas de comunicação.
Em termos comerciais, utilizar a Internet para a publicidade tem sido vantajoso aos hotéis pois não se gasta tanto como se gastava antigamente nas campanhas publicitárias. Outros fatores que trazem benefício à utilização das redes sociais pela hotelaria é que se pode participar e acompanhar sua imagem e reputação, e também manter um contato mais próximo com o cliente, podendo ser até mesmo por meio do Facebook e Twitter e em tempo real. Assim, com o avanço da internet e o surgimento das redes sociais e sua grande fama, os hotéis passaram a vê-la como uma oportunidade, passando a planejar estratégias de como se beneficiar com isto (Mota, Wada & Fraga, 2013). O uso do e-mail, por exemplo, torna-se atrativo aos negócios pelo fato de o custo da comunicação ser econômico e também possibilitar o envio, em anexo, de diversas mídias além do texto, como vídeos, fotos, arquivos, entre outras. Além disso, também é capaz de enviar informações capazes de inteirar e persuadir (Zenone, 2010).
Neste âmbito, percebe-se que até mesmo os websites próprios também são muito importantes para o empreendimento. Guimarães et al. (2008) destacam que um website particular de algum meio de hospedagem tem capacidade de apresentar suas comodidades, preços, entre outras informações importantes e em tempo real. No caso das redes sociais, é preciso que o hotel seja cuidadoso ao fazer o uso, pois, pode ser complicado a comunicação com o cliente em uma esfera tão pessoal, e, para que se evite pouca formalidade ou demasiada, deve-se fazer esta comunicação de acordo com a categoria e tipo de empreendimento hoteleiro. As redes sociais são eficazes até mesmo quando se recebe críticas negativas (o que por sua vez é muito comum que se receba e tome a atenção dos clientes sobre os elogios), pois, é possível que o meio de hospedagem demonstre que está interessado em ouvir a crítica e em propor uma melhoria, podendo responder o autor da reclamação. Pode-se mencionar também, por exemplo, a utilização dos blogs. Com eles, há possibilidade de que haja uma compilação de dados sobre os locais [desde bares e restaurantes até pontos turísticos] próximos do hotel que o hóspede pode visitar, além de viagens (Mota, Wada, & Fraga, 2013).
PROCEDIMENTOS METODOLÓGICOS
A presente pesquisa é de natureza aplicada, pois, segundo Prodanov e Freitas (2013), este tipo de pesquisa “procura produzir conhecimentos para aplicação prática dirigidos à solução de problemas específicos” (p. 126), propondo-se a apresentar conhecimentos sobre a comunicação de marketing nas mídias sociais, especificamente no Facebook, com o propósito de solucionar a escassez ou até mesmo falha desse recurso quando utilizados para atração de clientes dos hostels de Florianópolis. Sua lógica é indutiva, visto que, esclarecem que na pesquisa indutiva “o argumento passa do particular para o geral, uma vez que as generalizações derivam de observações de casos da realidade concreta” (p. 127), com o intuito de observar os métodos como alguns hostels se apresentam e como fazem sua propaganda no Facebook para que se chegue a uma conclusão sólida. Além disso, o estudo é feito de forma descritiva, pois, a forma descritiva “expõe as características de uma determinada população ou fenômeno, demandando técnicas padronizadas de coleta de dados” (p. 127).
Sendo assim, presume-se que há uma pesquisa na qual revela as características e os resultados sobre a questão do Facebook como técnica para captação de clientes nos hostels de Florianópolis. Esta pesquisa é de caráter quantitativo, uma vez que, Prodanov e Freitas (2013) citam que esse caráter “requer o uso de recursos e técnicas de estatística, procurando traduzir em números os conhecimentos gerados pelo pesquisador” (p. 128). Desta forma, a pesquisa apresenta os resultados na forma de números. Por fim, como técnica de pesquisa é utilizado da netnografia, e o procedimento técnico utilizado é pesquisa de campo, onde é previsto que a autora entre nas páginas do Facebook de alguns hostels de Florianópolis e faça a análise de como estes empreendimentos fazem sua divulgação através desta rede social pelas suas publicações e informações públicas disponíveis.
Figura 1 – Localização dos Hostels em Florianópolis

População e amostra - A população da presente pesquisa é de 10 hostels localizados na Ilha de Florianópolis, mais especificamente, na sua região central: Campeche, Barra da Lagoa, Lagoa da Conceição e Rio Vermelho (Figura 1) e a amostragem é probabilística com foco na amostragem aleatória simples, pois os hostels listados para análise são escolhidos de forma aleatória.
Instrumento de coleta de dados - Os dados são coletados através do Facebook, por meio da análise de informações públicas das páginas dos hostels escolhidos. A tabela de análise é composta por dados que a autora considerou importantes, então, a construção desta tabela se deu através de sua opinião. Para isso, levou-se em consideração que as informações básicas como website, telefone, localização e horário de funcionamento são fundamentais em cada página, assim como possuir fotos da estrutura e serviços do meio de hospedagem, para que aconteça uma ambientação do cliente no hostel antes mesmo de acontecer a hospedagem. Existem também algumas questões de análise do relacionamento com o cliente. Segundo Batista (2011), a fidelidade do cliente “pode ser considerada o principal benefício do marketing de relacionamento para as empresas. É no relacionamento sustentável e de longo prazo que a empresa pode, entre outras coisas: reduzir os custos, aumentar a lucratividade, aumentar a previsibilidade de fluxo financeiro, aumentar a revenda e o cross-selling, gerar mais negócios através do boca a boca e, consequentemente, construir bases sólidas para o crescimento do negócio” (p. 42).
Assim, o relacionamento com o cliente é de extrema importância para vários fatores, e, no caso da análise das avaliações, por exemplo, percebe-se que podem ser uma técnica de fidelização de clientes. Outro dado para análise é o das publicações, onde procura-se analisar em o que focam e, nesse sentido, também acaba-se analisando se focam em relacionamento com o cliente. A análise deste fator é essencial, e, de acordo com Batista (2011) o Facebook “é considerado o site de relacionamento mais popular do mundo, pois é visitado por três em cada dez internautas do planeta” (p. 69).
Procedimentos de coleta e análise de dados - É feita uma análise de como os hostels agem publicamente no Facebook, se fazem promoções e divulgações, se têm alguma atitude com o objetivo de captar clientes nesta rede social e como agem perante à possíveis reclamações. O prazo da coleta de dados é de 30 dias [sendo de 05-05-2018 à 05-06-2018] e estes, após obtenção, são tabulados por meio de gráficos e tabelas. Após tabulados, é feita uma interpretação descritiva dos resultados obtidos e comparação de informações - pode-se usar como quesito principal para esta comparação a interação do público perante às publicações dos hostels.
ANÁLISE E DISCUSSÃO
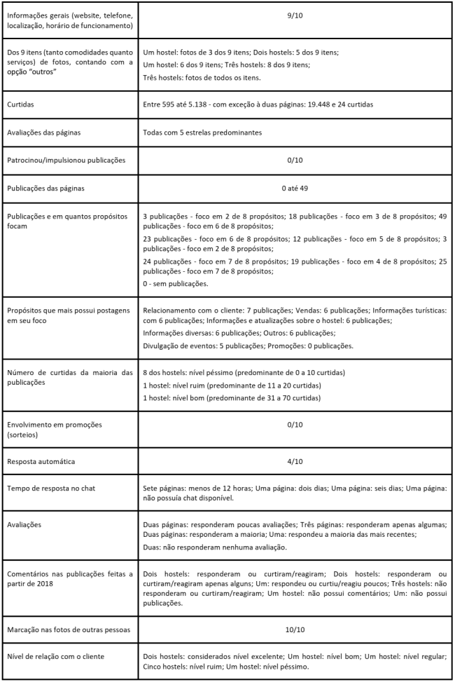
A seguir, encontram-se os resultados das análises realizadas nas dez páginas de diferentes Hostels (Quadro 1):

Estrutura da página do Facebook: Percebeu-se que 9 dos 10 hostels possuem todas as informações básicas [website, telefone, localização e horário de funcionamento] expostas em sua página do Facebook, o que é essencial para quem procura pela página e tem dúvidas dos valores e tipos de acomodações [muitas vezes o website dispõe disto], horário de funcionamento, telefone e localização, para que também não precise entrar em contato para ter que descobrir estas informações. O único hostel que não possuía todas as informações básicas em sua página, possuía 3 delas, deixando de fora apenas o website, o que há possibilidades de o meio de hospedagem não possuir. A questão da página possuir fotos de sua estrutura e serviços é muito importante para que o cliente/futuro cliente possa conhecer o hostel antes mesmo de se hospedar, para que, se algo não o agradar [como por exemplo, o café da manhã ou até mesmo os quartos e banheiros], não haja descontentamento em suas expectativas criadas. Assim, observou-se que dos 9 itens [tanto comodidades quanto serviços] de fotos, contando com a opção ‘outros’: (a) 1 hostel possuía fotos de 3 dos 9 itens; (b) 2 hostels possuíam fotos de 5 dos 9 itens; (c) 1 hostel possuía fotos de 6 dos 9 itens; (d) 3 hostels possuíam fotos de 8 dos 9 itens; (e) 3 hostels possuíam fotos de todos os itens.
Já, na questão das curtidas, percebeu-se que as páginas possuem entre 595 até 5.138 likes, com exceção à duas, uma que possui 19.448 e outra que possui 24 curtidas. Em relação a isto se analisou, também, que as curtidas não tem relação com as publicações, sendo um fator que varia muito. Segue dados para melhor compreensão: (a) 821, 3 publicações; (b) 997, 18 publicações; (c) 3.335, 49 publicações; (d) 5.138, 23 publicações; (e) 595, 12 publicações; (f) 1.268, 3 publicações; (g) 3.890, 24 publicações; (h) 3.356, 19 publicações; (i) 19.448, 25 publicações; (j) 24, sem publicações. Percebendo-se assim, que a página que possui 3.335 curtidas possui mais publicações que a que possui 19.448. Entretanto, o caso de “j”, onde a página possui 24 curtidas e nenhuma publicação acaba deixando claro que seria possível a página conseguir conquistar um número maior de likes se realizasse postagens, podendo ser desde informações sobre o hostel e vendas até informações diversas, contudo, a sugestão que se dá é que se realize promoções de divulgação da página, onde uma opção seria a realização de sorteios de diárias em períodos de baixa ocupação, onde seria solicitado que cada perfil do Facebook compartilhasse a postagem, curtisse a página e marcasse seus amigos, o que traria mais curtidas para a página e mais pessoas tomando conhecimento do hostel. Além disso, para quem começa do zero, uma sugestão importante seria a de, se este hostel possuir condições financeiras, impulsionar/patrocinar (ferramenta paga) algumas de suas publicações. Fazendo isto, seria possível a exibição das publicações patrocinadas à outros usuários do Facebook, o que também é uma forma de conseguir mais curtidas e espalhar seu nome no mercado. Quanto às avaliações das páginas, todas possuem a maior nota, nota excelente, que é a de 5 estrelas.
Análise das publicações [a partir de 2018] - Percebeu-se que das 10 páginas analisadas, nenhuma havia patrocinado/impulsionado publicações até então, ferramenta esta que é paga, então exige que o hostel tenha condições financeiras para aderir, entretanto, é muito útil para que outras pessoas conheçam a página, pois, é capaz de exibir a publicação no feed de algum indivíduo que em outro momento esteve pesquisando sobre hostels ou acomodação em determinado local. De acordo com o Facebook para empresas (2018): “Impulsionar uma publicação pode ajudá-lo a fazer com que mais pessoas curtam, compartilhem e comentem nas publicações que você criar. As publicações impulsionadas são também uma maneira de alcançar novas pessoas provavelmente interessadas no seu conteúdo, mas que atualmente não seguem você no Facebook” (p.1).
As publicações feitas pelas páginas a partir de 2018 variam de 0 até 49, sendo que: (a) 3 publicações com foco em 2 de 8 propósitos; (b) 18 publicações com foco em 3 de 8 propósitos; (c) 49 publicações com foco em 6 de 8 propósitos; (d) 23 publicações com foco em 6 de 8 propósitos; (e) 12 publicações com foco em 5 de 8 propósitos; (f) 3 publicações com foco em 2 de 8 propósitos; (g) 24 publicações com foco em 7 de 8 propósitos; (h) 19 publicações com foco em 4 de 8 propósitos; (i) 25 publicações com foco em 7 de 8 propósitos; (j) 0 sem publicações. Destes oito propósitos [relacionamento com o cliente, vendas, divulgação de eventos - tanto externos como internos -, informações turísticas, informações e atualizações sobre o hostel, informações diversas, promoções e outros], o que mais possui postagens em seu foco, em ordem, é: (a) relacionamento com o cliente: com 7 publicações; (b) vendas: com 6 publicações; (c) informações turísticas: com 6 publicações; (d) informações e atualizações sobre o hostel: com 6 publicações; (e) informações diversas: com 6 publicações; (f) outros: com 6 publicações; (g) divulgação de eventos: com 5 publicações; (h) promoções: com 0 publicações.
É fundamental ressaltar a importância de cada um, sendo: o relacionamento com o cliente um fortalecimento de relação/confiança e fidelização; as vendas necessárias para que o cliente tome conhecimento dos produtos e serviços que a página vende; as informações turísticas essenciais para que o outro usuário do Facebook conheça os pontos turísticos da cidade e próximos ao hostel; as informações e atualizações sobre o hostel uma maneira de transmitir informações sobre o meio de hospedagem e suas comodidades/serviços, além de atualizações ou mudanças; as informações diversas uma transmissão de informações que possam ser importantes aos indivíduos; ‘outros’, sendo para demais publicações que possam interessar os clientes; divulgação de eventos, fundamental para os que desejam se hospedar no hostel para curtir os eventos da cidade ou até mesmo os que acontecem dentro do próprio meio de hospedagem; e, por fim, promoções, onde não constou-se publicações, porém, seria uma maneira de divulgar sua marca, até mesmo pelo boca a boca, onde uma pessoa teria acesso a esta promoção e poderia marcar seus amigos na postagem ou até mesmo comentar com outros indivíduos.
Para analisar o nível de curtidas das publicações realizadas a partir do ano de 2018, levou-se em consideração o número de curtidas da maioria das publicações, não importando se, alguma publicação contivesse maior quantidade de curtidas do que esta maioria, por exemplo: se o ‘Hostel X’ possuía 10 postagens, 7 com menos de 10 curtidas e 3 com mais de 10, então era esta quantidade de 7 publicações com menos de 10 curtidas que seria levada em consideração. Neste âmbito, chegou-se à conclusão de que: 8 dos hostels foram considerados de nível péssimo [predominante de 0 a 10 curtidas], 1 foi considerado ruim [predominante de 11 a 20 curtidas] e 1 foi considerado bom [predominante de 31 a 70 curtidas], cujo, possui publicações sobre relacionamento com o cliente, vendas, informações turísticas e informações diversas. Além disso, nenhum dos 10 hostels é envolvido em promoções [sorteios] para conquistar novas curtidas e interações entre usuários em sua página.
Relação com o cliente - Enviou-se a mesma dúvida nos chats de todas as páginas, com exceção a uma, que não possui chat disponível, e, posteriormente notou-se que os hostels que respondiam chamando a autora pelo nome, pareciam ser mais próximos e mais atenciosos ao responder a dúvida. Ao enviar a pergunta, 4 das páginas responderam automaticamente [informando website, colocando-se à disposição ou agradecendo o contato]. Este recurso de resposta automática transmite a impressão de que o hostel fará de tudo para que o chat seja respondido brevemente. Das 10 páginas analisadas: (a) 7 responderam em menos de 12 horas, sendo que duas delas responderam no mesmo instante e que a pergunta foi enviada; (b) 1 demorou dois dias para responder; (c) 1 levou seis dias para responder; (d) 1 não possuía chat disponível. A questão de responder o chat rapidamente não só fortalece a relação com o cliente como também há grandes oportunidades de o captar, pois, com a demora, o indivíduo vai tentando contatar outros hostels e é possível que tenha sucesso em algum deles, deixando de se hospedar no empreendimento que demorou a responder. Além disso, o fato de não possuir chat disponível na página também pode ser uma grande falha, pois, algumas pessoas preferem a comodidade e praticidade ao realizar contato, então acabam deixando de lado telefone e e-mail, que acabam sendo mais complicados do que o Facebook, rede social que hoje em dia quase todos possuem e estão ativados pelo computador, smartphone, entre outros.
De acordo com o Facebook para empresas (2018), cada vez mais, “pessoas em todo o mundo estão se conectando por meio de mensagens instantâneas. Mais de um bilhão de pessoas usam o Facebook Messenger todos os meses. É uma forma conveniente de mostrar aos clientes que você está prestando atenção e criar conexões pessoais com eles, além de ser automaticamente integrado a todas as Páginas do Facebook (p. 1). Das avaliações, nenhuma página respondeu todas, o que pode demonstrar falta de interesse nos elogios ou em melhorar. Responder apenas algumas demonstra mais proximidade com umas pessoas do que com outras, o que pode ser mal interpretado. Os resultados a respeito das respostas foram os seguintes: (a) 2 páginas responderam poucas avaliações; (b) 3 páginas responderam apenas algumas; (c) 2 páginas responderam a maioria; (d) 1 respondeu a maioria das mais recentes; (e) 2 não responderam nenhuma avaliação.
Para os comentários em suas publicações feitas a partir de 2018 também foi analisado a interação entre o hostel e o indivíduo que comentou, onde descobriu-se que: (a) 2 hostels responderam ou curtiram/reagiram aos comentários em suas publicações; (b) 2 hostels responderam ou curtiram/reagiram apenas alguns; (c) 1 respondeu ou curtiu/reagiu poucos; (d) 3 hostels não responderam ou curtiram/reagiram os comentários em suas publicações; (e) 1 hostel não possui comentários; (f) 1 não possui publicações. Detalhe este que, pode melhorar a relação entre hostel e cliente. Além disso, quando um usuário do Facebook adiciona uma foto em seu feed e marca um local, todos os seus amigos podem ver que local é este e até ter acesso à página do local, assim, analisou-se se os hostels eram marcados em fotos alheias e concluiu-se que todos foram marcados em fotos de outras pessoas, o que pode ser uma forma da sua divulgação à lista de amigos de quem publicou a foto. Por fim, a autora, de acordo com sua opinião, classificou o nível de relação com o cliente de cada hostel, levando em conta tudo o que foi citado neste terceiro tópico. De dez hostels, dois foram considerados nível excelente, um foi considerado bom, um foi classificado como regular, cinco foram considerados nível ruim, e um péssimo. O que leva a crer que a maioria dos hostels deixam a desejar quanto à sua relação com o cliente pelo Facebook.
CONSIDERAÇÕES FINAIS
Tendo em vista o conteúdo teórico estudado e a pesquisa realizada ao longo deste trabalho, concluiu-se que as empresas precisam adotar estratégias de marketing para que seja possível conquistar e fidelizar clientes, especialmente na área da hotelaria, esta que necessita demonstrar interesse total voltado ao relacionamento com o cliente, satisfazendo suas necessidades e desejos da melhor forma possível. Neste sentido, mantendo o foco na captação de clientes, buscou-se compreender como o Facebook pode auxiliar nesta missão, rede social esta, que está sendo muito utilizada, e, uma ferramenta muito útil para a divulgação de empresas, conforme visto no decorrer deste trabalho. Mantendo o foco neste âmbito, decidiu-se estudar sobre como os hostels, meio de hospedagem cujo possui um público mais diversificado, realizavam a exibição de sua imagem em suas páginas do Facebook.
Com este propósito, realizaram-se análises de alguns itens já estipulados em cada página, onde procurou-se buscar desde as que possuíam um nível bem inferior de curtidas até as que possuíam uma grande quantidade. Feito isto, foi possível perceber que a maioria das páginas possuem informações e fotos do hostel, algumas deixando a desejar, mas nada tão grave, pois, quanto às fotos, todas possuíam imagens de pelo menos dois itens da tabela. É essencial ressaltar a importância de possuir fotos da estrutura e dos serviços que o meio de hospedagem oferece para que o cliente ou possível cliente possa se familiarizar e ter maior conhecimento sobre o que será usufruído.
No caso das publicações das páginas realizadas a partir do ano de 2018, analisou-se que as curtidas e interação entre seu público/público e público/hostel foram fracas, assim como, alguns dos hostels possuíam uma quantidade muito pequena ou nem possuíam publicações. Além disso, foi possível observar que nenhum meio de hospedagem impulsionou/patrocinou postagens e nem realizou sorteios a fim de conquistar novas curtidas e divulgar sua página. Este envolvimento com promoções [sorteios] acaba sendo uma ideia propícia pelo fato de o sorteio poder requerer que a pessoa curta a página, compartilhe a publicação e marque seus amigos em troca de algo que o hostel possa oferecer, o que no caso poderia ser uma diária em um período onde a ocupação não é muito alta. Assim, garante a obtenção de curtidas para a página e divulgação, visto que os amigos do Facebook do indivíduo que compartilhou a postagem e os amigos que estão marcados podem ter acesso à mesma.
Ainda referindo-se ao patrocínio de postagens, é importante frisar que para que isto seja possível o hostel precisa ter condições financeiras para arcar com os custos da utilização da ferramenta, visto que é o próprio proprietário da página que escolhe quanto deseja gastar com o patrocínio de sua publicação. Segundo o Facebook para empresas (2018): “É possível selecionar um orçamento predefinido ou definir um valor personalizado. As publicações impulsionadas exigem um orçamento mínimo de US$ 1,00 por dia” (p.1). Esta ferramenta tem a capacidade de encontrar pessoas que tenham pesquisado algo relacionado à hospedagem em hostels e inserir uma divulgação do hostel em seu feed, promovendo a página do hostel e fazendo com que mais pessoas possam passar a curtir e acompanhar a página.
Uma outra sugestão de divulgação da página, seria a de adotar a ideia da utilização da wi-fi por meio de check-in pelo Facebook, o que é simples, para utilizar a wi-fi basta fazer o check-in em seu Facebook pessoal, o que acarreta em uma publicação com o nome da página, e pronto, está conectado. Outro fator que foi analisado, foi o de todas as páginas terem sido marcadas em fotos de outras pessoas, ou seja, todos que sejam amigos dos indivíduos que postaram a foto e marcaram o hostel, o conhecerão e terão acesso à sua página. O que mais pesou na análise foi a relação com o cliente, pois na hotelaria faz-se necessário tratar o cliente da melhor forma possível sempre colocando um bom atendimento em primeiro lugar.
De Araújo (2013) cita que a qualidade percebida pelo cliente do bom atendimento é vantagem tanto para o colaborador quanto para a empresa para que seja utilizado como razão de competitividade. Além disso, pelo fato de ser um meio de hospedagem diferente como no caso dos hostels, o qual é caracterizado por possuir quartos e banheiros compartilhados, é imprescindível que se passe segurança, principalmente para aqueles que nunca estiveram neste tipo de experiência. Para isto, é fundamental que o hostel possua uma boa comunicação com seu cliente, tanto ao responder simples dúvidas e realizar a reserva quanto no pós-venda. Baseado nisso, notou-se que apenas dois dos dez hostels analisados foram considerados excelentes neste quesito pelo fato de responderem/curtirem/reagirem aos comentários em suas publicações e suas avaliações, onde demonstram preocupação com os clientes insatisfeitos e proximidade com os demais, também foram muito prestativas ao responderem o chat, demonstrando interesse em responder as dúvidas.
Diante de todas as informações, compreendeu-se a necessidade de responder todos os comentários e avaliações, assim como curtir ou reagir à eles, pois, vendo diante dos olhos de um hóspede páginas que responderam, curtiram e reagiram apenas à alguns comentários e avaliações, acabou-se por parecer que há diferença de tratamento entre pessoas as quais o hostel se familiarizou mais. Há também os casos em que haviam comentários negativos e nada foi feito, o que aparentou falta de interesse em melhorar ou esclarecer a situação por parte do hostel. Estes detalhes são muito importantes na hora do cliente escolher sua acomodação, pois, sabendo que estará fora de sua casa, seu campo de conforto, buscará por lugares que o façam se sentir em casa, seguro e confortável, especialmente em casos em que vai se hospedar em hostels.
No decorrer da pesquisa, sentiu-se alguma dificuldade principalmente ao tentar analisar quais dos itens de fotos do roteiro de análise estavam presentes nas páginas, pois, haviam hostels com uma grande quantidade de fotos que não se enquadravam nos itens descritos para análise [fotos diversas como de festas, de hóspedes, de colaboradores, entre outros], onde a autora precisou procurar nas fotos mais antigas, no final da página - o que pode ser uma dificuldade também para os demais indivíduos interessados em conhecer a estrutura e serviços do hostel. Outra dificuldade sentida foi ao classificar o nível de relação com o cliente de cada hostel, necessitando atentar-se a todos os detalhes [comentários em publicações/avaliações, curtidas, tempo de resposta no chat, simpatia e atenção na resposta, etc.]. Para futuros trabalhos de pesquisa, deixa-se algumas sugestões da realização desta em outros locais, assim como a análise da distribuição de hostels nos mesmos, podendo-se realizar o mesmo tipo de análise em outra rede social, como o Instagram. Além disso, outro fator interessante seria o estudo da geografia dos hostels em Florianópolis.
REFERÊNCIAS
Araujo, V. M. G. (2013). Qualidade dos serviços na hotelaria: um estudo na rede de hotéis Alfa. Caderno de Estudos e Pesquisas do Turismo, 2(2), 131-154. Link
Batista, F. P. S. (2011). Gestão de marcas por meio das redes sociais: um estudo sobre a utilização do facebook. Dissertação. Mestrado em Administração, Universidade de São Paulo, São Paulo. Link
Coelho, T. (2018). 10 fatos sobre o uso de redes sociais no Brasil que você precisa saber. TechTudo. Link
Coutinho, P. A. (2015). O novo conceito de hostel e seu público. Hotelnews. Link
Facebook para empresas (2018). Central de ajuda para anunciantes. Sobre publicações impulsionadas. Link
Facebook para empresas (2018). Mensagens na sua página. Construa um relacionamento com seus clientes. Link
Facebook para empresas (2018). Produtos HotSpot 300. Roteador wireless com check-in no Facebook. Link
Guimarães, A. S.; Poggi, M. & Borges. (2008). E-turismo: Internet e negócios do turismo. Cengage Learning.
Kotler, P. & Keller, K. L. (2012). Administração de marketing. São Paulo: Pearson Education do Brasil.
Kotler, P. (1999). Marketing para o século XXI: como criar, conquistar e dominar mercados. São Paulo: Futura.
Mangold, W. G. & Faulds, D. J. (2009). Social media: The new hybrid element of the promotion mix. Business Horizons, 52(4), 357-365. Link
Mondo, T. S. & Costa, J. I. P. D. (2011). Influencia de la comunicación de marketing en la captación de clientes: Un estudio sobre la percepción de la publicidad en la hotelería del Estado de Santa Catarina, Brasil. Estudios y Perspectivas en Turismo, 20(2), 367-383. Link
Mondo, T. S.; Dellinghausen, C. N. & da Costa, J. I. P. (2011). Marketing digital: Uma análise na hotelaria catarinense sob a ótica de seus gestores. TURyDES, 4(10), 1-18. Link
Mota, A. M., Wada, E. & Fraga, L. (2013). Mídias sociais e a hospitalidade desafios e tendências no século XXI. TURyDES, 6(15), 1-17. Link
Nogueira, F. L. & Santos, G. E. (2015). Precificação de características subjetivas de hostels no Brasil. Revista Hospitalidade, 12(2), 567-585. Link
Pernisa Jr., C. (2001). Mídia digital. Lumina, 4(2), 175-186. Link
Porto, C. (2016). Facebook marketing: Tudo que você precisa saber para gerar negócios na maior rede social do mundo. São Paulo: Novaste.
Prodanov, C. C. & Freitas, E. C. (2013). Metodologia do trabalho científico: métodos e técnicas da pesquisa e do trabalho acadêmico. Novo Hamburgo-RS: Feevale.
Sandhusen, R. L. (2010). Marketing básico. São Paulo: Saraiva.
Souki, Ô. (2004). Paixão por marketing: o fantástico diferencial dos gênios. Belo Horizonte: Souki House.
Zenone, L. C. (2010). Marketing de relacionamento: tecnologia, processos e pessoas. São Paulo. Atlas.