Artículo
Sentido estructural de los estudiantes de primer curso universitario
Structural sense of first-year university students
Noção estrutural dos estudantes do primeiro curso universitário
Sentido estructural de los estudiantes de primer curso universitario
Uniciencia, vol. 35, núm. 1, pp. 152-168, 2021
Universidad Nacional, Costa Rica
Recepción: 10 Febrero 2020
Aprobación: 03 Mayo 2020
Resumen: Este trabajo tiene como propósito hacer un análisis desde el sentido estructural, de las respuestas de los estudiantes de primer ingreso universitario, a las preguntas en las que se solicita directamente la factorización, o requieren de alguna factorización para proseguir con el ejercicio y que fueron planteadas en la primera prueba de un curso de matemática introductoria a nivel universitario. La investigación es cualitativa con carácter descriptivo y exploratorio, su diseño corresponde a un análisis de contenido. Se realizó en 2019 y la muestra fueron estudiantes de primer ingreso, de dos de los grupos que componen la cátedra del curso matemática general de la Universidad Nacional (UNA) en Costa Rica. Los resultados muestran que los estudiantes pueden reconocer una estructura familiar en su forma más simple, en expresiones que involucran factor común, no así cuando deben elegir manipulaciones apropiadas para hacer el mejor uso de una estructura, en expresiones que involucran dos o más métodos diferentes de factorización. Se concluye que la falta de sentido estructural es lo que genera errores en los procedimientos de factorización, lo que hace suponer que la formación de los estudiantes es insuficiente, al tiempo que genera alerta, ya que es un conocimiento previo fundamental para el avance exitoso en contenidos posteriores como las operaciones con fracciones algebraicas.
Palabras clave: sentido estructural, educación matemática, estudiantes primer ingreso universitario, matemática general, matemáticas universitarias, álgebra, factorización, expresiones algebraicas.
Abstract: This paper aimed to analyze, from a structural sense, the answers given by newly admitted university students to questions, in which either direct factorization or some type of factorization was required to continue with the exercise as part of the first test of an introductory college math course. This qualitative research had a descriptive and exploratory approach with a content analysis design. The study was conducted in 2019 and the sample included first-year university students from two groups from the General Mathematics courses at Universidad Nacional (UNA), Costa Rica. Results show that students can recognize a familiar structure in its simplest form in expressions that involve a common factor, but not when they have to choose appropriate manipulations to make the best use of a structure in expressions involving two or more different methods of factoring. It is concluded that their lack of structural sense is what generates errors in the factorization procedures. This suggests that student training is insufficient, which generates an alert since it is prior knowledge that is fundamental to successfully advance in later contents such as operations with algebraic fractions.
Keywords: structural sense, mathematics education, first-year college students, general mathematics, college mathematics, algebra, factoring, algebraic expressions.
Resumo: Este trabalho tem como objetivo fazer uma análise a partir da noção estrutural das respostas dos estudantes universitários do primeiro ano às preguntas que pedem diretamente a fatoração ou requerem alguma fatoração para seguir com o exercício, e que foram apresentadas na primeira prova de um curso de matemática introdutória de nível universitário. A pesquisa é qualitativa descritiva e exploratória, e seu desenho corresponde a uma análise de conteúdo. Foi realizada em 2019 e a amostra correspondeu a estudantes do primeiro ano, de dois dos grupos que constituem a cadeira do curso matemática geral da Universidade Nacional (UNA) na Costa Rica. Os resultados mostram que os estudantes podem reconhecer uma estrutura familiar em sua formação mais simples, em expressões envolvendo fator comum, não sendo o caso de quando devem escolher manipulações apropriadas para fazer o melhor uso de uma estrutura em expressões que contenham dois ou mais métodos diferentes de fatoração. Conclui-se que a falta de noção estrutural é o que causa erros nos processos de fatoração, levando a supor que a formação dos estudantes é insuficiente, o que gera um alerta, já que é um conhecimento prévio fundamental para o avanço bem-sucedido nos conteúdos posteriores como as operações com frações algébricas.
Palavras-chave: noção estrutural, educação matemática, estudantes universitários do primeiro ano, matemática geral, matemática universitária, álgebra, fatoração, expressões algébricas.
INTRODUCCIÓN
En la formación de una persona, la educación tiene un papel relevante que conlleva etapas que demandan responsabilidades y compromisos. Un estudiante de primer ingreso universitario se dará cuenta de que la transición, de la educación secundaria a la superior, le demandará, entre otras cosas, habilidades y conocimientos previos para llevar por buen camino sus estudios y, en el caso de que su carrera le exija algún curso de matemática básica, deberá enfrentar que el álgebra, que en algún momento estudió en secundaria, está implicada en él.
Socas, Camacho, Palarea y Hernández (1996) expresan:
El álgebra, entendida como el desarrollo de habilidades para manipular letras y símbolos que pueden representar cosas diferentes y como construcción de operaciones, expresiones o entidades abstractas a través de relaciones bien definidas, ha sido considerada en los diversos currículos de formas distintas. (p. 110)
Esta relevancia y diversidad también ha generado dificultades y obstáculos cognitivos en los estudiantes cuando se disponen a aprender álgebra, según dan cuenta gran cantidad de estudios. En respuesta a las preocupaciones sobre la comprensión y débil preparación de los estudiantes en esta área, muchos son los esfuerzos recientes de investigación y reforma en educación matemática enfocados en el currículo de álgebra y su enseñanza (Nataraj y Thomas, 2016).
En secundaria, el aprendizaje de álgebra a menudo comprende generalización de patrones, uso de incógnitas, variables y potenciación, planteamiento de ecuaciones y resolución de estas. Los estudiantes son conscientes de que el álgebra involucra letras, pero en investigaciones se evidencia que muchos tienen muy poco conocimiento de lo que significan las letras y la razón por la cual se usan; también tienen dificultades con el simbolismo algebraico, incluida la notación exponencial y muestran una falta de comprensión de los términos matemáticos básicos tales como resolver y evaluar (Nataraj y Thomas, 2016). Esta situación se ve reflejada en el desempeño de los estudiantes de primer ingreso a la universidad, donde los profesores que les imparten clases identifican, en algunos casos, una clara deficiencia de conceptos algebraicos básicos.
Por ejemplo, en 1993, Backhoff y Tirado realizaron investigaciones relacionadas con la enseñanza y aprendizaje del álgebra en niveles educativos superiores en México, en las que indican que más de la mitad de los estudiantes universitarios participantes tienen problemas con el dominio de los conocimientos básicos de álgebra que se imparten en secundaria. García, Segovia y Lupiáñez (2014) revelan deficiencias en el discernimiento para comprender el uso y significado de las letras como incógnitas de valor específico, números generalizados y como variables; mencionan también que pocos estudios se enfocan en mostrar que las dificultades que tienen los estudiantes en niveles inferiores persisten cuando estos inician sus estudios universitarios.
Bolaños (2021) obtuvo resultados similares en cuanto al uso y significado de las letras: concluye que esos son los errores más frecuentes que presentan los estudiantes de primer curso universitario. Ursini y Trigueros (2006) realizaron estudios para evaluar el dominio del manejo de la variable en estudiantes universitarios y encontraron que los estudiantes no logran una comprensión aceptable y muestran dificultad al trabajar con sus distintos usos, carencias que no se toman en cuenta en los niveles universitarios.
En uno de los primeros cursos de matemática de la Universidad Nacional (UNA) de Costa Rica, a saber MAT001 Matemática General, se ha evidenciado, según Castillo, Gamboa e Hidalgo (2020): “que los conocimientos adquiridos en secundaria no son suficientes para enfrentarse al curso de Matemática General” (p. 242); según estos autores, esto se debe a que en secundaria no se usa, de manera adecuada, lo que se estudia, aparte de que no se abarcan todos los contenidos. Si a esto se agrega que en los recientes planes implementados por el Ministerio de Educación Pública (2012), en el tema de relaciones y álgebra de noveno año del tercer ciclo de la educación general básica, es donde se desarrollan específicamente algunos métodos de factorización (algo similar ocurre en lo que respecta a las operaciones con expresiones algebraicas fraccionarias) que forman parte de lo que se denomina sentido estructural (Hoch y Dreyfus, 2004), entonces, para cuando el estudiante de primer curso universitario de matemática llega a retomarlos, son como si los estudiara por primera vez. Así, este trabajo analiza el sentido estructural que tienen los estudiantes de primer ingreso universitario en el caso concreto de la Universidad Nacional en Costa Rica.
MARCO TEÓRICO
El álgebra y sus concepciones
Para Usiskin (1988), el álgebra no es fácil de definir, comienza como el arte de manipular sumas, productos y propiedades de los números, pero estas manipulaciones pueden llevarse a cabo con letras, por lo que el álgebra escolar tiene que ver con la comprensión de “letras” (llamadas variables) y sus operaciones; de hecho el uso de las letras para representar números es una característica principal del álgebra. Las variables tienen muchas definiciones posibles, referentes y símbolos, por lo que si se trata de encajar la idea de variable en una sola concepción, la simplifica en exceso y a su vez distorsiona los propósitos del algebra.
Las diferentes concepciones del álgebra están relacionadas con los diferentes usos de las variables y este autor considera las siguientes: el álgebra como aritmética generalizada, el álgebra como estudio de procedimientos para resolver ciertos tipos de problemas, el álgebra como estudio de relaciones entre cantidades, argumentos y parámetros y el álgebra como estudio de estructuras; aquí la variable es poco más que un símbolo arbitrario, donde se quiere que los estudiantes tengan los referentes (generalmente números reales) para variables, pero también que puedan operar con las variables sin tener que ir siempre al nivel del referente; ejemplos de ello pueden ser las factorizaciones y la verificación de identidades. Estas concepciones permiten, entre otros aspectos, evidenciar la importancia que tiene esta área de la matemática en los currículos escolares, la cual no ha estado exenta de dificultades para una cantidad considerable de estudiantes.
Dificultades en la enseñanza-aprendizaje del álgebra
Retomando a Usiskin (1988) y la concepción del álgebra como el estudio de estructuras, este autor recurre al ejemplo de factorizar
para indicar que en este tipo de representaciones no existe un patrón aritmético a generalizar ni hay ninguna ecuación que resolver, por lo que la variable no está actuando como una incógnita, no existe una función o relación y tampoco la variable es un argumento; por lo que, si un estudiante se enfrenta a expresiones de este tipo cuando no ha comprendido ni construido expresiones algebraicas, entonces tiene problemas para poder comprender lo que se le solicita.
Socas et ál. (1996) mencionan dificultades propias de la naturaleza del tema algebraico, dificultades que se atribuyen a los procesos del desarrollo cognitivo de los estudiantes, dificultades que se deben al currículo, organización de lecciones y métodos de enseñanza y las que surgen de las actitudes afectivas y no racionales hacia el álgebra.
Por su parte, Castro (2012) señala que las dificultades y obstáculos en el aprendizaje del álgebra pueden ser clasificadas en tres tipos: intrínsecas al objeto, inherentes al propio sujeto y otras que tal vez son involuntarias y corresponden a las técnicas de enseñanza; expresa que pese a la gran cantidad de trabajos de investigación en torno al álgebra escolar, las dificultades continúan, por lo que hay que seguir indagando para comprender cómo los estudiantes construyen conceptos, aprenden procedimientos complejos y sobre cómo lograr ideas algebraicas accesibles a estos, de manera que el álgebra propicie un mayor rendimiento académico en lugar del filtro que supone está provocando.
Booth (1988) indica “que las dificultades de los estudiantes en álgebra, son heredadas de su conocimiento aritmético y se deben en parte a su falta de comprensión de diversas nociones estructurales en la aritmética” (citado por Vega, 2010, p. 24). Booth afirma que el estudiante llega a cometer errores en el uso de las letras en álgebra, porque interpreta las letras con valores específicos y sin posibilidad de que representen distintos valores; además agrega que hay estudiantes que no hacen la distinción cuando las letras representan valores de números, medidas de objetos y cuando representan medidas o valores por sí mismos y que las interpretan como etiquetas, usándolas como iniciales de los objetos representados, por ejemplo: utilizar la letra “m” para manzanas, la letra “e” para estudiantes. Booth también señala errores en el uso de los signos de agrupación, ya que muchas veces son ignorados por parte de los estudiantes, al considerarlos innecesarios (citado por García, 2016, pp. 37-39).
Küchemann (1978) “menciona que un estudiante de álgebra no muy diestro para el manejo algebraico, frecuentemente adjudica un valor a la letra, ya que no puede aceptar (o entender) que es un elemento desconocido, cuando se presenta en una ecuación algebraica” (citado por García, 2016, p. 106). Küchemann (1981) concluye que generalmente en álgebra y en otros tópicos investigados, los estudiantes abordan los problemas matemáticos con métodos que tienen poco o nada que ver con lo que se les ha enseñado; lo cual puede ser porque la enseñanza de la matemática a menudo es vista como una introducción hacia las reglas y los procedimientos, los cuales, aunque potentes y atractivos para los profesores, a menudo son vistos por los niños como carentes de significado.
En Hoch (2003) se menciona que muchos estudiantes, incluso los más sobresalientes, tienen dificultades con las técnicas básicas del álgebra, transformaciones de expresiones (expansión o factorización) y en la solución de ecuaciones.
Considerando estas dificultades y la concepción del álgebra como el estudio de estructuras, se analiza el sentido estructural que muestran los estudiantes de primer ingreso a la Universidad Nacional, en el curso de matemática general.
La estructura y el sentido estructural
Estructura en matemáticas se refiere a una entidad que se compone de partes, donde hay conexiones o relaciones entre estas (Hoch y Dreyfus, 2004). Para Castro, Cañadas y del Río (2018), las expresiones aritméticas, como algebraicas, presentan una estructura que tiene que ver con los términos que integran esas expresiones, con los signos que los relacionan, el orden de las distintas operaciones y las relaciones entre sus elementos. Como ejemplo de estructuras algebraicas están las fracciones algebraicas y las ecuaciones cuadráticas; estas estructuras tienen la posibilidad de permitir cambios o trasformaciones que proporcionan una expresión equivalente a la original y pueden presentar la misma estructura externa (forma o apariencia de la expresión) o interna (relaciones y conexiones entre las cantidades y las operaciones). En Vega (2013), se mencionan estos ejemplos:
a) 
Donde a), b) y d) tienen la misma estructura interna pero diferente estructura externa, mientras que la a) y la c) presentan la misma estructura externa pero no interna.
El sentido estructural se ha definido y estudiado en varios trabajos que describen dificultades de los estudiantes en la aplicación de los conocimientos en un contexto algebraico. Por ejemplo, Linchevski y Livneh (1999) utilizaron por primera vez el término sentido de la estructura al describir las dificultades de los estudiantes para utilizar el conocimiento de las estructuras aritméticas, en las etapas iniciales del aprendizaje del álgebra. Livneh y Linchevski (2007) llegan a resultados que apoyan ̶ en cierta medida ̶ la hipótesis de que la enseñanza de la aritmética para los propósitos algebraicos puede evitar ciertos errores estructurales en los estudiantes que se inician en el álgebra
Hoch y Dreyfus (2004) mencionan que el sentido de la estructura es un conjunto de habilidades que incluyen la capacidad de: 1) ver una expresión algebraica o frase como una entidad, 2) reconocer una expresión algebraica o frase como una estructura previamente conocida, 3) dividir una entidad en subestructuras, reconocer conexiones mutuas entre estructuras, así como 4) manipulaciones que sean posibles y útiles de realizar. Hoch y Dreyfus (2006) indican que el sentido estructural se utiliza para analizar el uso de técnicas algebraicas previamente aprendidas de los estudiantes. Vega (2010) también señala que parte del sentido estructural es saber discernir qué interpretación es más pertinente de acuerdo con el contexto.
También hay investigaciones cuyos resultados muestran deficiencias en cuanto a la falta de sentido estructural se refiere. Por ejemplo, en los resultados de las investigaciones de Novotná y Hoch (2008) se aprecian similitudes en cuanto a los conceptos y obstáculos, tanto en el nivel de secundaria como en la universidad, pese a ser de nacionalidades distintas. Novotná, Stehlíková y Hoch (2006) señalan que hay una insuficiente estructura e interpretación en términos de varias etapas del sentido estructural, por lo que, si se atribuyen dificultades de los estudiantes a su falta de sentido estructural, se debe focalizar en el desarrollo de este. Hoch y Dreyfus (2006) manifiestan que los estudiantes que tienen mayor capacidad, que están aprendiendo matemáticas en un nivel intermedio o avanzado en las escuelas secundarias israelíes y han demostrado habilidad en el uso de técnicas algebraicas, a menudo tienen dificultades para aplicar estas técnicas en contextos desconocidos; por ejemplo, se ha observado que algunos estudiantes muestran dificultad para la solución de la ecuación
, a pesar de que pueden resolver fácilmente
(ecuaciones que poseen la misma estructura cuadrática) dificultad que se le atribuye a la falta de sentido de la estructura.
La caracterización operacional de sentido estructural que proponen Hoch y Dreyfus (2006) para identificar si estudiante muestra el sentido de la estructura (SS) en el contexto de una tarea algebraica, se determina si este puede:
Estos autores muestran ejemplos para estos descriptores que están relacionados con la expresión
. Vega (2010) los explica, de la siguiente manera, en la tarea de factorizar:
, reconocer esta expresión como una diferencia de cuadrados e identificar los factores, correspondería a SS1.
, tratar
y
como una sola entidad, reconocer la diferencia de cuadrados y los factores correspondientes, correspondería a SS2.
, extraer factor común para obtener
y apreciar la diferencia de cuadrados, tratar
y
como entidades simples y reconocer la diferencia de cuadrados de estas entidades, correspondería a SS3.
Vega (2013) presenta más descriptores clasificados según impliquen o no transformaciones o construcción de expresiones, a saber: los que no implican transformar, modificar ni construir expresiones, los que implican construir expresiones (total o parcialmente), aquellos que implican modificar expresiones, los que implican transformar (transformar implica conservar la estructura interna) y otros, más en general, como leer expresiones algebraicas o bien escribirlas. A continuación se mencionan los descriptores de Vega, que conllevan transformaciones (transformar implica conservar la estructura interna) y que fueron considerados en este trabajo:
K. Identificar subestructuras dentro de una expresión y tratarlas como una sola entidad al transformar por ejemplo la expresión
en 
L. Transformar la estructura externa de una expresión sin afectar su estructura interna; por ejemplo, expresar
como 
METODOLOGÍA
Esta es una investigación cualitativa con carácter descriptivo y exploratorio, dirigida a analizar el sentido estructural que utilizan los estudiantes de primer ingreso a la universidad; su diseño (método) corresponde a un análisis de contenido.
Para Rico (2013),
El análisis de contenido se ha venido utilizando en Educación Matemática, como un método para establecer y estudiar la diversidad de significados escolares de los conceptos y procedimientos de las matemáticas que aparecen en un texto (discurso del profesor, textos y producciones escolares). (p. 18)
En lo que respecta al curso MAT001 Matemática General, es uno de los primeros cursos universitarios que se imparten en la Universidad Nacional (UNA) en Costa Rica. En este curso (de manera aproximada) se dedican 3 semanas al desarrollo de los métodos de factorización y operaciones con fracciones algebraicas, 2 semanas al tema de ecuaciones y una semana para inecuaciones; contenidos que son evaluados en el primer examen y cuyos resultados son deficientes, según se aprecia en la Tabla 1.
La muestra de este trabajo se constituyó por estudiantes de primer ingreso de dos de los grupos que componen la cátedra de Matemática General. Los grupos no se escogieron al azar, sino que fueron seleccionados de acuerdo con la disponibilidad de profesores para colaborar con la investigación; de estos grupos se logró recolectar 44 pruebas realizadas por estudiantes de primer ingreso universitario.
En la Tabla 1 se incluyen resultados de los últimos cinco ciclos lectivos (un ciclo contiene 16 semanas de clases); se puede observar que la cantidad de estudiantes que aprueba el primer examen es bastante deficiente, así como la promoción del curso en general.

El instrumento aplicado fue la primera prueba del curso MAT001correspondiente al primer ciclo 2019, la cual incluye:
Factorización de polinomios: por factor común, agrupamiento, diferencia de cuadrados, inspección, fórmula general, fórmulas de cubos, fórmulas notables, teorema del factor, completación de cuadrados y combinación de métodos.
Simplificación de expresiones algebraicas. Operaciones con fracciones algebraicas: suma, resta, multiplicación y división. Fracciones complejas.
Ecuaciones y problemas de aplicación.
Se analizan las respuestas que competen a las preguntas en las cuales se solicita directamente la factorización, o bien requieren de alguna factorización para proseguir con la operación, como en el caso de las operaciones con fracciones algebraicas:
.
b) 
En el caso de la pregunta 2 inciso a), se analiza solamente las factorizaciones correspondientes a los denominadores, ya que son necesarias para determinar el mínimo denominador común y en la 2 inciso b) las factorizaciones de las respectivas fracciones algebraicas.
La prueba se aplicó el 23 de marzo de 2019, en la Universidad Nacional. Los estudiantes la resolvieron bajo la observación de uno de los profesores que tiene a cargo uno de los grupos y también colaboró un asistente para el otro grupo. A los estudiantes no se les indicó que tres de las cinco preguntas iban a ser objeto de análisis, ya que no se consideró necesario al tratarse de una prueba oficial del curso. Para interpretar los resultados del análisis de contenido, se utilizan frecuencias (absolutas o relativas).
ANÁLISIS Y RESULTADOS
Al resolver las operaciones, los estudiantes realizan procedimientos correctos o incorrectos, por lo que para detallarlos, siguiendo la notación empleada por Vega (2010), se indica el código # PCi que denota: # el número del ejercicio que se está analizando (1, 2a o 2b), PC el procedimiento correcto y la i el número de procedimiento realizado, por ejemplo 1 PC2 se refiere al ejercicio 1 procedimiento correcto número 2. Se agrega una I al final (# PCi I) si el estudiante interrumpe un procedimiento correcto y en el caso de que el estudiante inicia con un procedimiento correcto, pero luego se equivoca, o bien no realiza el procedimiento (porque no obtiene la expresión necesaria para proseguir) se le coloca una E al final, o sea #PCi E. Se aclara que, para efectos de este trabajo, una estrategia es el conjunto de procedimientos que llevan a la solución y los procedimientos son los pasos que conlleva la solución.
Además, los descriptores de Hoch y Dreyfus (2006) y los de Vega (2013) se ajustaron de la siguiente manera:
SS1 Reconocer una estructura familiar en su forma más simple, a aquellas expresiones algebraicas que involucran solo el método de factorización por factor común.
SS2 Tratar con un término compuesto como una sola entidad y reconocer una estructura familiar en una forma más compleja, a aquellas expresiones que contemplan un método de factorización, ya sea por factor común del tipo que se menciona en el descriptor K de Vega (2013) o bien por inspección para los casos de trinomios cuadráticos, en donde también se incluyen aquellos que son cuadrados perfectos, del tipo mencionado en el descriptor L de Vega (2013).
SS3 Elegir las manipulaciones apropiadas para hacer el mejor uso de una estructura, a aquellas expresiones que involucran dos o más métodos diferentes de factorización
Procedimientos utilizados en la pregunta #1
En esta pregunta se le solicita al estudiante factorizar completamente la expresión algebraica
. Se identificaron cinco procedimientos correctos (ver Tabla 2).

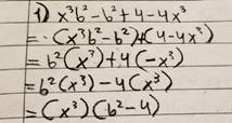
Se determinaron un total de 90 procedimientos correctos distribuidos de la siguiente manera: 39 agruparon los términos, 25 factorizaron cada grupo por factor común, 15 realizaron la factorización por factor común (descriptor K de Vega), 8 factorizaron la diferencia de cuadrados y 3 la diferencia de cubos. Un ejemplo de estrategia realizada por un estudiante, se refleja en la Figura 1.

Se determinaron en total 82 errores distribuidos de la siguiente manera: 14 en la factorización de alguno de los grupos o ambos, 24 con errores en la factorización por factor común (descriptor K de Vega), 20 presentaron errores en el proceso de factorización de la diferencia de cuadrados y 24 con errores en el proceso de factorización de la diferencia de cubos. En lo que respecta a la no conclusión del proceso de factorización o interrupción de las factorizaciones de diferencia de cuadrados o de cubos se obtuvo un total de 23 estudiantes, 11 y 12, respectivamente.
Algunas estrategias con errores realizados por los estudiantes se representan en las figuras 2 y 3.


No se consideraron 5 pruebas debido a que no realizaron ningún procedimiento correcto desde el inicio del ejercicio, por lo que se analizaron 39 exámenes. Es relevante mencionar que solamente 3 estudiantes lograron la factorización completa y de forma exitosa de este ejercicio, el resto o sea 36 estudiantes presentaron errores en algunos de los procedimientos, o bien no concluyeron o interrumpieron algún procedimiento.
Procedimientos utilizados en la pregunta #2a)
En esta pregunta se le solicita al estudiante efectuar la operación y simplificar al máximo el resultado de
. Como se mencionó, en esta pregunta se analizan solamente las factorizaciones correspondientes a los denominadores, ya que son necesarias para determinar el mínimo denominador común y para proseguir con el resto de la operación. Se consideró oportuno contabilizar, además de la factorización del trinomio por inspección, la que hacen los estudiantes con la calculadora, ya que, si bien este instrumento no está diseñado para factorizar, los estudiantes la usan con ese fin porque en secundaria, o bien en clases particulares, les han enseñado a manipularla y es claro que esto no requiere esfuerzo cognitivo como sí lo requiere el método por inspección. Los procedimientos correctos utilizados por los estudiantes para factorizar los denominadores se indican en la Tabla 3.

En la factorización del primer denominador se obtuvieron: 20 estrategias correctas realizadas aplicando inspección, 3 probablemente con ayuda de la calculadora, porque no hay evidencia del proceso. Se detectaron un total de 11 errores y un estudiante que no realizó la operación.
En la factorización del segundo denominador se encontraron 25 estrategias correctas realizadas aplicando el método de factor común. Se determinaron en total 4 errores y 6 estudiantes que no realizaron la respectiva factorización.
Ejemplos con errores de los estudiantes, se representan en las Figuras 4 y 5.


En este caso no se consideraron 9 pruebas, debido a que no realizaron ningún procedimiento correcto para factorizar los denominadores, lo que llevó a analizar 35 exámenes. En general, 23 estudiantes lograron factorizar acertadamente el primer denominador, pero 12 presentaron errores en algunos de los procedimientos, o bien no realizaron procedimiento alguno en la factorización; con respecto al segundo denominador, 25 factorizaron bien, pero 10 estudiantes presentaron errores en algunos de los procedimientos, o bien no realizaron procedimiento alguno.
Procedimientos utilizados en la pregunta #2b)
En esta pregunta también se le solicita al estudiante efectuar la operación y simplificar al máximo el resultado de
. Con respecto a la factorización de la primera fracción se detectaron 4 procedimientos correctos (ver Tabla 4).

En la factorización del numerador se obtuvo un total de 17 estrategias correctas, a saber: 12 estudiantes aplicaron de manera correcta la factorización por factor común, pero solo 5 estudiantes desarrollaron exitosamente la factorización de la suma de cubos. Para el caso del denominador, se detectaron 23 procedimientos buenos: 11 estudiantes reconocieron el trinomio cuadrado perfecto (II fórmula notable), o bien aplicaron el método de inspección y 12 lo factorizaron probablemente con ayuda de la calculadora, porque no hay evidencia del procedimiento. Un ejemplo de estrategia de un estudiante se muestra en la Figura 6.

En lo que compete a errores, en el numerador se detectaron 35 procedimientos con errores: 22 en el método de factor común y 13 en la suma de cubos e interrumpieron el proceso de factorización de diferencia de cubos un total de 16 estudiantes. Con errores en la factorización del denominador se contabilizaron 8 estudiantes y 3 que interrumpieron el proceso. No se consideraron 10 pruebas, debido a que no realizaron ningún procedimiento correcto en la factorización de esta primera fracción, por lo que se analizaron 34 exámenes.
En la segunda fracción se determinaron dos procedimientos correctos (ver Tabla 5).

En esta factorización se obtuvo que 13 estudiantes aplicaron de manera correcta la factorización en el numerador y con errores se contabilizaron 20. En el caso del denominador de esta fracción, 11 estudiantes desarrollaron exitosamente la factorización, pero 22 presentaron errores.
En las Figuras 7 y 8 se presentan estrategias con errores, realizadas por estudiantes. No se consideraron 11 pruebas, debido a que no realizaron ningún procedimiento correcto en esta segunda fracción.


En general, en la primera fracción 17 estudiantes lograron factorizar correctamente el numerador y 23 el denominador; en la segunda fracción fueron 13 y 11 estudiantes los que lograron factorizar adecuadamente el numerador y denominador respectivamente; con lo que se sigue evidenciando, en estos, la ausencia del sentido de la estructura.
En la Tabla 6 se presenta un resumen de los procedimientos empleados por los estudiantes en los ejercicios objeto de análisis, junto con la cantidad que los manifiesta.

De los datos anteriores se puede observar que en la pregunta #1, la mayoría de estudiantes determina los grupos adecuadamente para avanzar con los procedimientos que corresponden a la factorización por agrupamiento, pero conforme se avanza con los procedimientos que implica este método, la cantidad de estudiantes que los realizan de manera correcta, disminuye considerablemente. En la pregunta #2a) se aprecia que en promedio la mitad de los estudiantes realiza correctamente la factorización del trinomio y del binomio que corresponden a los denominadores de cada fracción. En la #2b) son pocos los que tienen éxito en las factorizaciones de las expresiones que componen cada una de las fracciones. En general, se puede argumentar que la falta de sentido estructural es la que genera errores en los procedimientos que se registraron anteriormente.
Relación de los procedimientos del ejercicio #1
con los descriptores
1 PC1
y 1 PC2
=
:
Se relacionan con el descriptor SS1, porque el estudiante reconoce una estructura familiar en su forma más simple, en la que la expresión involucra factorización por factor común.
1 PC3 (
) (
): se relaciona con el descriptor SS2, porque el estudiante trata con un término compuesto como una sola entidad y reconoce una estructura familiar en una forma más compleja, donde la expresión contempla el método de factorización de factor común del descriptor K de Vega (2013).
1 PC4
y 1 PC5
: se relacionan con el descriptor SS3, porque el estudiante debe elegir las manipulaciones apropiadas para hacer el mejor uso de una estructura, ya que esta expresión involucra dos métodos diferentes de factorización.
En la Tabla 7 se indican los descriptores y la cantidad de estudiantes que los puso de manifiesto.

Se puede apreciar que más de la mitad de estudiantes reconoce una estructura familiar en su forma más simple (SS1); pero la cantidad que logra tratar con un término compuesto como una sola entidad y reconocer una estructura familiar en una forma más compleja (SS2), es inferior. Más aún cuando se trata de elegir manipulaciones apropiadas para hacer el mejor uso de una estructura, en expresiones que involucran dos o más métodos diferentes de factorización (SS3) los estudiantes, en su mayoría, no logran resolverlo.
Relación de los procedimientos del ejercicio #2a)
con los descriptores
2a) PC1 y 2a) PC2
: se relacionan con el descriptor SS2, porque el estudiante trata con un término compuesto como una sola entidad y reconoce una estructura familiar en una forma más compleja, donde la expresión contempla el método de factorización por inspección para los casos de trinomios cuadráticos.
2a) PC3
: se relaciona con el descriptor SS1, porque el estudiante reconoce una estructura familiar en su forma más simple, en la que la expresión involucra factorización por factor común. En la Tabla 8 se detallan los descriptores.

En la factorización del primer denominador se aprecia que casi la mitad de los estudiantes puede tratar con un término compuesto como una sola entidad y reconoce una estructura familiar en una forma más compleja (SS2). Fueron muy pocos los estudiantes que utilizaron la calculadora como apoyo en este tipo de ejercicio. Respecto al segundo denominador, más de la mitad de los estudiantes reconoce una estructura familiar en su forma más simple (SS1).
Relación de los procedimientos del ejercicio #2b)
con los descriptores
2b) PC1
y 2b) PC2
: se relacionan con el descriptor SS3, porque el estudiante debe elegir las manipulaciones apropiadas para hacer el mejor uso de una estructura, en particular esta expresión involucra dos métodos diferentes de factorización.
2b) PC3 y 2b) PC4
: se relacionan con el descriptor SS2, porque el estudiante trata con un término compuesto como una sola entidad y reconoce una estructura familiar en una forma más compleja, donde la expresión contempla el método de factorización por inspección para los casos de trinomios cuadráticos donde también se incluyen aquellos que son cuadrados perfectos, del tipo mencionado en el descriptor L de Vega (2013).
2b) PC5
y 2b) PC6
: se relacionan con el descriptor SS1, porque el estudiante reconoce una estructura familiar en su forma más simple, en la que la expresión involucra factorización por factor común.
En la Tabla 9 se mencionan los descriptores y la cantidad de estudiantes que los pusieron de manifiesto.

Es notorio que la mayoría de los estudiantes no escoge manipulaciones apropiadas para hacer el mejor uso de una estructura (SS3). Aproximadamente la cuarta parte de los estudiantes logra tratar con un término compuesto como una sola entidad y reconoce una estructura familiar en una forma más compleja (SS2) y una estructura familiar en su forma más simple (SS1). La mayoría no extrae este factor común del numerador y del denominador, procedimiento que les permitiría simplificar la expresión y, por ende, expresarla de una forma más sencilla.
CONCLUSIONES
Se evidenció que una parte considerable de estudiantes de primer ingreso y que fueron objeto de la investigación no dominan los diferentes métodos de factorización. Por tanto, los estudiantes tampoco pueden avanzar, de forma exitosa, en contenidos posteriores, como es el caso de las operaciones con fracciones algebraicas, donde la factorización juega un papel preponderante para su realización.
En términos generales, los estudiantes pueden reconocer una estructura familiar en su forma más simple, en expresiones algebraicas que involucran solo el método de factorización por factor común. Pero la cantidad de estudiantes que logra tratar con un término compuesto como una sola entidad y reconoce una estructura familiar en una forma más compleja, en expresiones que contemplan el método de factor común que reseña Vega (2013) en el descriptor K, o bien el método de inspección para los casos de trinomios cuadráticos, en donde también se incluyen aquellos que son cuadrados perfectos, del tipo mencionado en el descriptor L de Vega (2013), es menor. Más aún, cuando se trata de elegir manipulaciones apropiadas para hacer el mejor uso de una estructura, en expresiones que involucran dos o más métodos diferentes de factorización, los estudiantes, en su mayoría, no pueden hacerlo. En varios casos se pudo apreciar que la no extracción del factor común les impidió hacer manipulaciones apropiadas para un mejor uso de una estructura, es decir, les presentó un obstáculo para continuar con otras factorizaciones como la diferencia de cuadrados o bien la diferencia o suma de cubos, que hacían posible simplificar aún más las expresiones y, por ende, realizar otras operaciones.
Los conocimientos algebraicos, donde se incluye el sentido de la estructura, de los estudiantes que egresan de secundaria son cada vez más escasos y “los cursos de primer ingreso en el área de matemática parecieran no considerar la realidad previa del estudiantado” (Castillo, Gamboa e Hidalgo, 2020, p. 37).
Los bajos porcentajes de aprobación en esta primera prueba y del curso en general se deben, según Castillo et ál. (2020), a la brecha que existe entre los contenidos que se imparten en secundaria y los de la universidad; por lo que se sugiere buscar estrategias como cursos introductorios o talleres, donde los estudiantes puedan adquirir los conocimientos y las habilidades necesarias que minimicen esa brecha.
REFERENCIAS
Backhoff, E. y Tirado, F. (1993). Habilidades y conocimientos básicos del estudiante universitario: Hacia los estándares nacionales. Revista de la Educación Superior, 22(88), 45-65. D.F, México.
Bolaños, H. (2021). Errores en la comprensión del significado de las letras algebraicas en estudiantado universitario. Uniciencia, 35(1) (en prensa). doi: http://dx.doi.org/10.15359/ru.35-1.1
Castillo, M., Gamboa, R., & Hidalgo Mora, R. (2018). Concordancia entre los cursos iniciales de matemática a nivel universitario y el programa de estudios preuniversitario: Una mirada desde los contenidos y el rendimiento académico universitario. Uniciencia , 32(2), 20-41. doi: http://dx.doi.org/10.15359/ru.32-2.2
Castillo, M., Gamboa, R., & Hidalgo, R. (2020). Factores que influyen en la deserción y reprobación de estudiantes de un curso universitario de matemáticas. Uniciencia, 34(1), 219-245. doi: http://dx.doi.org/10.15359/ru. 34-1.13
Castro, E. (2012). Dificultades en el aprendizaje del álgebra escolar. En A. Estepa, A. Contreras, J. Deulofeu, M. Penalva, F. García y L. Ordóñez (Eds.), Investigación en educación matemática XVI ,75-94. SEIEM.
Castro, E., Cañadas, M. C. y del Río, A. (2018). La estructura en la base del conocimiento aritmético y algebraico (Documento no publicado). Departamento de Didáctica de la Matemática, Universidad de Granada, España.
Comisión Cursos de Servicio. (2019). Estadísticas del curso MAT001. Escuela de Matemática, Universidad Nacional.
García, J. (2016) Errores y dificultades de estudiantes de primer curso universitario en la resolución de tareas algebraicas (Tesis doctoral. Universidad de Granada, España).
García, J., Segovia, I., y Lupiáñez, J. (2014). El uso de las letras como fuente de errores de estudiantes universitarios en la resolución tareas algebraicas. Bolema: Boletim de Educação Matemática, 28(50), 1545-1566. https://doi.org/10.1590/1980-4415v28n50a26
Hoch, M. (2003). Structure sense. En M. A. Mariotti (Ed.), Proceedings of the 3rdConference for European Research in Mathematics Education (CD. Bellaria, Italia: CERME. )
Hoch, M. y Dreyfus, T. (2004). Structure sense in high school algebra: The effect of brackets. En M. J. Høines y A. B. Fuglestad (Eds.), Proceedings of the 28thConference of the International Group for the Psychology of MathematicsEducation, 3, 49-56. Bergen University College, Noruega.
Hoch, M. y Dreyfus, T. (2006). Structure sense versus manipulation skills: an unexpected result. En J. Novotná, H. Moraová, M. Krátkáy N. Stehlíková (Eds.), Proceedings of the 30thConference of the International Group for the Psychology of Mathematics Education, 3, 305-312.Faculty of Education, Charles University, Prague, Czech Republic.
Küchemann, D. E. (1981). Algebra. En K. M. Hart (Ed.), Children’s understanding of mathematics: 11-16, 02-119. John Murray.
Linchevski, L. y Livneh, D. (1999). Structure sense: The relationship between algebraic and numerical contexts. Educational Studies in Mathematics, 40(2), 173-196. https://doi.org/10.1023/A:1003606308064
Livneh, D. & Linchevski, L. (2007). Algebrification of arithmetic: Developing algebraic structure sense in the context of arithmetic. En J. Woo, H. Lew, K. Park y D. Seo (Eds.), Proceedings of the 31st Conference of the International Group of the Psychology of Mathematics Education (Vol. 3, pp. 217-225). The Korea Society of Educational Studies in Mathematics .
Ministerio de Educación Pública. (2012). Programas de Estudio de Matemáticas. I y II Ciclo de la Educación Primaria, III Ciclo de la Educación General Básica y Educación Diversificada. San José, Costa Rica.
Nataraj, M., Thomas, Mike (2016). Teaching and Learning Middle School Algebra: Valuable Lessons from the History of Mathematics. En S. Stewart (Ed.), And the rest is just algebra, 131-154. Department of Mathematics, University of Oklahoma, USA. https://doi.org/10.1007/978-3-319-45053-7_8
Novotná, J. y Hoch, M. (2008). How Structure sense for algebraic expression or equations is related to structure sense for abstract algebra. Mathematics Education Research Journal, 20(2), 93-104. https://doi.org/10.1007/BF03217479
Novotná, J., Stehlíková, N. y Hoch, M. (2006). Structure sense for university algebra. En J. Novotná, H. Moraová, M. Krátkáy N. Stehlíková (Eds.), Proceedings of the 30th Conference of the International Group for the Psychology of Mathematics Education, 4, 249-256. Faculty of Education, Charles University, Prague, Czech Republic.
Rico, L. (2013). El método del análisis didáctico. Unión. Revista Iberoámerica de Educación Matemática, 33, 11-27.
Socas, M., Camacho, M., Palarea, M. y Hernández, J. (1996). Iniciación al álgebra. Editorial Síntesis.
Ursini, S. y Trigueros, M. (2006). ¿Mejora la comprensión del concepto de variable cuando los estudiantes cursan matemáticas avanzadas? Educación Matemática, 18(3), 5-38. http://funes.uniandes.edu.co/13136/1/Ursini2006Mejora.pdf
Usiskin, Z. (1988). Conceptions of school algebra and uses of variables. En A. Coxford (Ed.), The Ideas of Algebra K-12, 8-19. NCTM.
Vega, D. (2010). Sentido estructural manifestado por alumnos de 1º de bachillerato en tareas que involucran igualdades notables (Tesis de maestría. Universidad de Granada, España).
Vega, D. (2013). Perfiles de alumnos de educación secundaria relacionados con el sentido estructural manifestado en experiencias con expresiones algebraicas (Tesis doctoral. Universidad de Granada, España).