Artículo
Spectral reconstruction of kilovoltage photon beams using generalized simulated annealing
Reconstrucción espectral de haces de fotones de kilovoltaje por medio de recocido simulado generalizado
Reconstrução espectral de feixes de fótons de kilovoltagem através do recozimento simulado generalizado
Spectral reconstruction of kilovoltage photon beams using generalized simulated annealing
Uniciencia, vol. 36, no. 1, pp. 253-263, 2022
Universidad Nacional, Costa Rica
Received: 15 July 2021
Accepted: 01 September 2021
Abstract
(Objective): To unfold the energy spectrum of two kilovoltage (kV) X-ray beams from transmission curves through a mathematical methodology based on Laplace transform and the generalized simulated annealing algorithm.
(Methodology): Energy spectra of photon beams and transmission data were associated by means of a mathematical expression derived from the analytical solution of Laplace transform. Transmission data was calculated by relating the air kerma of the attenuated beams, passing through aluminium plates of different thickness, to that of the non-attenuated beam. Generalized simulated annealing function, developed in an early work, was employed to find the parameters of the expression and so determine the spectra. Validation of the methodology was done by the comparison of the half-value layers obtained from transmission curves and the spectra.
(Results): The mean square percentage error between transmission data and fitting curve of each spectrum defined from the parameters found was lower than 1% indicating a good adjustment. The same error was observed when the first half-value layer (HVL) from the transmission curves and those of each reconstructed spectrum were compared. Calculation time of parameters was 5 sec for 80 kV and 14 sec for 120 kV. In no case, non-realistic solution of energy spectra was obtained. These results were better than an early work where leastsquares were used.
(Conclusion): The reconstruction methodology based on generalized simulated annealing employed in this manuscript can efficiently derive the spectra of two X-ray beams with comparable accuracy to previous work. A limitation is that validation was not done by comparing data with the equipment’s spectra.
Keywords: Photon spectra+ generalized simulated annealing+ inverse reconstruction+ transmission curves.
Resumen: Determinar el espectro de energía de dos haces de rayos X de kilovoltaje (kV), a partir de sus curvas de transmisión, mediante una metodología matemática basada en la transformada de Laplace y el algoritmo de transmisión se asociaron, por medio de una expresión matemática derivada de la solución analítica de la transformada de Laplace. Los datos de transmisión se calcularon relacionando el kerma de aire de los haces atenuados, al pasar por placas de aluminio de diferente espesor, con el de los no atenuados. La función de recocido simulado generalizada, desarrollada en un trabajo anterior, se empleó para descifrar los parámetros de la expresión y así obtener los espectros. La validación se realizó comparando las capas semirreductoras de las curvas de transmisión y las extraídas de los espectros. El error porcentual cuadrático medio entre los datos de transmisión y la curva de ajuste para cada espectro, definido a partir de los parámetros encontrados, fue inferior al 1 %, lo que indica un buen ajuste. Se observó el mismo error cuando se cotejó la primera capa semirreductora de las curvas de transmisión y las de cada espectro reconstruido. El tiempo de cálculo de los parámetros fue de 5 s para 80 kV y 14 s para 120 kV. En ningún caso se obtuvo una solución no realista de los espectros. Estos resultados fueron mejores que los de un trabajo anterior en el que se utilizaron mínimos cuadrados. La metodología de reconstrucción basada en recocido simulado generalizado, empleada en este manuscrito, pudo derivar de manera eficiente los espectros de dos haces de kilovoltaje con una precisión comparable a la de trabajos anteriores. Una limitación es que la validación no se realizó comparando con los espectros del equipo.
Palabras clave: Espectros de fotones, recocido simulado generalizado, reconstrucción inversa, curvas de transmisión.
Resumo: Encontrar o espectro de energia de dois feixes de raios-X de quilovoltagem a partir das curvas de transmissão por meio de uma metodologia matemática baseada na transformada de Laplace e no algoritmo de recozimento simulado generalizado. Os espectros de energia e os dados de transmissão foram associados por meio de uma expressão matemática derivada da solução analítica da transformada de Laplace. Os dados de transmissão foram calculados relacionando o kerma no ar dos feixes atenuados, ao passar por placas de alumínio de diferentes espessuras, com o dos feixes não atenuados. A função de recozimento simulado generalizado, desenvolvida em um trabalho anterior, foi empregada para encontrar os parâmetros da expressão para assim determinar os espectros. A validação da metodologia foi feita pela comparação das camadas semirredutoras obtidas das curvas de transmissão e dos espectros. O erro percentual médio quadrático entre os dados de transmissão e a curva de ajuste, para cada espectro definido a partir dos parâmetros encontrados, foi menor do que 1%, indicando um bom ajuste. O mesmo erro foi observado quando comparada a primeira camada semirredutora das curvas de transmissão e aquelas de cada espectro reconstruído. O tempo de cálculo dos parâmetros foi de 5 s para 80 kV e 14 s para 120 kV. Em nenhum caso, solução não realista dos espectros foi obtida. Os resultados foram melhores do que um trabalho anterior onde mínimos quadrados foram usados. A metodologia de reconstrução fundamentada no recozimento simulado generalizado, empregada neste trabalho, pôde derivar eficientemente os espectros de dois feixes de raios-X com precisão comparável a trabalhos anteriores. Uma limitação é que a validação não foi feita por comparação com os espectros do equipamento.
Palavras-chave: Espectros de fótons, recozimento simulado generalizado, reconstrução inversa, curvas de transmissão.
Introduction
X-rays are widely used in industry, engineering, health sciences and other areas for applications such as material characterization, analysis of fatigue and fractures in materials, and medical diagnostic or therapeutic purposes (Bilge, 2004; Carrera et al., 2019; Durán-Nava et al., 2019; Epp, 2016).
The energy and intensity of the X-ray beam employed differs for each application. In medical diagnostic and therapy, superficial X-rays ranging from approximately 50 to 250 keV are used to produce images of different parts of the body or to treat skin cancers (Hill et al., 2014; Tafti & Maani, 2020). The contrast of the radiographic image, as well as the delivered dose to the patient, depend critically on the X-ray energy spectrum. The spectrum can be also important to characterize the dosimetric properties of the beam (Chen et al., 2012), for quality control of mammography equipments and x-ray tubes (Abbene et al., 2012; Maeda et al., 2005; Querol et al., 2010), and optimization of image quality parameters (Malezan et al., 2015).
The X-ray production is commonly influenced by the tube’s peak potential (kVp), electronic current (mA), anode material and filtration (Nakashima & Duong, 2020; Sharma et al., 2015; Tafti & Maani, 2020; Thunthy & Manson-Hing, 1978). The energy spectrum of an X-rays beam is defined as the energy distribution of the produced photons (Nickoloff & Berman, 1993; Tafti & Maani, 2020).
Experimental, computational, or mathematical methods can be used to as-method can be used to computationally simulate the produced X-rays. Mathematical methods usually derive the spectrum from experimental transmission curves of the X-rays by a given material (Chen et al., 2012; Hill et al., 2014).
Some difficulties of experimental and computational approaches are related to the cost of the spectrometer, specific information about the geometry and materials of the X-ray equipment for use in the Monte Carlo modelling (Baird, 1981; Hill et al., 2014) and expertise (Menin et al., 2016). Furthermore, softwares as SpekCalc only allow calculations for a fixed source-detector distance (Poludniowski et al., 2009).
In the present work, transmission curves are used to obtain the energy spectra from a clinical orthovoltage equipment. Inverse Laplace transform of the transmission data (Benjamin R. Archer & Wagner, 1988) is employed along with the generalized simulated annealing (Wilches Visbal & Da Costa, 2019).
Methodology
Mathematical modelling
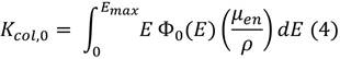
In radiation physics it is possible to related the air collision kerma Kcol to the energy distribution fluence of a photon beam Φ (E) as (Menin et al., 2016),

where
is the mass absorption coefficient for photons with nominal ener-gy E, and Emax the maximum energy of the beam, determined by the voltage peak of the X-ray tube.
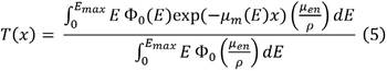
For a narrow beam, the attenuated energy distribution fluence obtained as an X-ray beam traversed an absorber material of thickness x is,

where Φ 0(E) is the non-attenuated energy distribution fluence of the beam (x = 0) and µm is the mass attenuation coefficient of the absorber, which is a function of E.
Substituting eq. (2) in (1), the Kcol for an attenuated X-ray beam is,

meanwhile for a non-attenuated beam is, the Kair is

From eq. (3) and (4) the relative transmission is obtained as,

or also,

where Kcol,0 is obtained from an ionization chamber reading without absorber and Kcol,x is the reading with an absorber of thickness x between the X-ray source and the detector, considering the influence variables (e.g., temperature and pressure) and calibration coefficient of the detector (Smith, 2000).
Considering that (Pamplona & Costa, 2010)

and substituting eq. (7) in eq. (5)

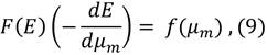
Changing the integration variable from E to µm”

eq. (8) becomes,

assuming that µm is a monotonic and decrescent function with the energy. As eq. (10) complies with the definition of Laplace transform (L) (B. Archer & Wagner, 1982),

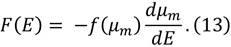
If the transmission curve is known, then ƒ(µm)is obtained by the inverse Laplace transform,

So, the energy spectrum can be determined as (B. R. Archer et al., 1985; B. Archer & Wagner, 1982)

Math conditions for obtaining the transmission and energy spectrum from eq. (10) and (13) are exposed in B. Archer & Wagner, (1982).
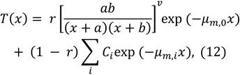
In this work, the best model that for such requirements (B. R. Archer et al., 1985) was assumed, but including characteristic radiation (Benjamin R. Archer & Wagner, 1988). Hence, the transmission over a material of thickness x becomes,

where a, b and v are fitted parameters; µm,0 is the mass attenuation coefficient at the nominal energy of the beam; r is the fraction of the bremsstrahlung component; Ci is the relative abundance of the i-th characteristic X-ray line and µm,i is the respective mass attenuation coefficient.
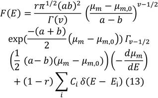
The energy spectrum of an X-ray beam is given by (Benjamin R. Archer & Wagner, 1988),

function, and d (E - Ei) is the Dirac delta function of the difference between the nominal energy E and the energy of the i-th characteristic X-ray line.
The purpose is to find the a, b and r parameters in the eq. (5) by using an opti-mization function to determine the spec-trum F (E). Benjamin R. Archer & Wagner, (1988) published values of Ci and µm,i. For
finding the
it is necessary to fit µm to a fifth degree polynomial (B. R. Archer et al., 1985).
Generalized simulated annealing function (GSA)
To assess the values of a, b and r from eq. (5) it is necessary to use an optimization method for minimizing the residual norm of T(x). Among the existing optimization algorithms, generalized simulated annealing (GSA) is one of most popular and efficient. GSA is a metaheuristic method for solving optimization problems where the global optimum is behind many local minima. GSA mimics the physical annealing, where a metal is heated up to a high temperature for later slowly cooling until reaching a crystalline structure free from imperfection (Wilches Visbal & Da Costa, 2019).
In GSA, there are three important factors for convergence to the global optimum: i) visiting distribution (gv); ii) acceptance probability (Pa), and iii) cooling schedule (Tv). The first factor is related to the achievement of a new solution from the current one; the second factor is associate with an acceptance rule of a new solution, and the third one refers to the capacity of allowance of solutions far from the current one (Deng et al., 2004; Wilches Visbal & Da Costa, 2019).
In a recently work, the GSA function inspired by the generalized simulated annealing algorithm was developed in MATLAB® (Wilches Visbal & Da Costa, 2019). The basic form of the function is:

where s is the solution vector; ƒval is the value of the objective function (functional) ƒ in the solution; so is the initial point; l is the lower bound; u is the upper bound; qu is the visiting parameter, qa is the acceptance parameter, and Imax is the maxi-mum number of iterations.
Figure 1 shows the basic flowchart of the GSA algorithm contained in the GSA function.

The efficiency of GSA function was tested for optimization problems of varying complexity and has also been used for the assessment of electron beam spectra (Visbal & Costa, 2019).
Reconstruction methodology
The steps for deriving the spectra of X-rays beams are the following (Gonçalves et al., 2020):
Validation of the reconstruction methodology was obtained by the comparison between the HVLs from the transmission curves (HVLT(x)) and from the spectra (HVLF(E)), since real (experimental) spectra were not available. HVLF(E) is calculated as,

where Kar,0, Kar,1 and Kar,2 are the air kerma values measured without absorber material (x0 = 0) and with absorber with a thickness immediately lower (x1) and greater (x2) tan the HVL value of the transmission curve, respectively (Gonçalves et al., 2020).
Air kerma of both X-rays beams was computed by utilizing the following equation (Gonçalves et al., 2020),

where i = (1, 2, ... n) is the i-th energy beam Ei that makes up the X-ray spectrum, n is the index of the maximum energy beam of photons that makes up the X-ray spectrum; j = (0, 1, 2, .., 5) is the j-th value of the thickness of the absorbing material and DEi the chosen energy interval.
Calculations involved in the recon-struction process were performed with MAT-LAB® 2017a in a personal computer run-ning with Microsoft Windows 10 Pro 64-bit (Core: i7, CPU: 1.8 GHz, RAM: 12 Gb).
Analysis and Results
Figure 2 shows the normalized transmission for the 80 kVp (a) and 120 kVp (b)

X-ray beams. The curves are exponentially decreasing with the thickness of aluminum plates, as expected.
In Table 1 the values of fitted param-eters by means of the minimization process of the functional g(T) are shown.

The residual norms of eq. (15) were 4.3 x 10-5 and 1.0 x 10-4 for the 80 kVp and the 120 kVp beams respectively, whilst the parameters calculation times were 5 sec and 14 sec approximately. The MSPEs were 0.79 % and 0.82 % for the 80 kVp and the 120 kVp beams, respectively. Determination coefficient was greater than 0.99. The good adjustment between transmisión parameters are adequate for assessing the spectra from eq. (13).
Figure 3 shows the normalized energy spectrum of the 80 kVp (a) and 120 kVp (b) X-ray beams obtained by substituting the parameters of Table 1 in eq. (13).
The spectra are right-skewed normal distributions where the peak is the most probable bremsstrahlung energy. The bremsstrahlung component was close to 90% of the total fluence for the 80 kVp beam and approximately 57% for the 120 kVp beam. It is also observed the presence of characteristic X-ray lines in 58, 59.5, 67 and 69 kV, corresponding to the Tungsten-anode K-edge energies. The most probable energy was located at 29.8 keV for the 80 kVp beam and at 40.4 keV for the 120 kVp beam.
For the validation of the reconstruc-tion process, the first HVLs given by the transmission curve and the energy spectrum, were compared. HVLT(x) was computed by inverse interpolation to T = 0.5 and HVLF(E) was calculated using the eq. (10). For the 80 kVp beam Kar,0 = 3.23 x 103 Gy, Kar,1 = 1.58 x 103 Gy and Kar,2 = 1.82 x 103 Gy when x1

= 0.58 cm and x2 = 0.74 cm was employed. Meanwhile, for the 120 kVp beam Kar,0 = 2.90 x 103 a Gy, Kar,1 = 1.34 x 103 Gy and Kar,2 = 1.57 x 103 Gy when x1 = 1.35 cm and x2 = 1.63 cm was used.
In the Table 2 are shown the values of HVLT(x) and HVLF(E) for the 80 kVp and 120 kVp X-ray beams.

The percent relative errors between HVL values are lower than 1% for both the 80 kVp and 120 kVp beam. This indicates an accuracy improvement regarding previously reported results in literature, where the percent relative error was 2.65% for the 80 kVp beam. Furthermore, unlike Gonçalves et al., (2020), it was possible to reconstruct a realistic spectrum (without negative values) of the 120 kVp beam.
Moreover, it was not necessary to impose additional conditions for avoiding the determination of non-realistic spectra related to values of v lower than 0.6, as used by B. R. Archer & Wagner, (1988). On the other hand, unlike Menin et al., (2016), in this work no regularization parameter for obtaining smoothing spectra was employed. A limitation of this work was that the reconstructed spectra could not compared with actual ones as done elsewhere (Malezan et al., 2015; Menin et al., 2016).
Hence, the reconstruction methodology employed in this work can be considered a good option for deriving spectra with speediness and accuracy. It is also useful to validate the obtained spectrum when it is not possible to compare with a real, theoret-ical, or simulated one.
Conclusion
The mathematical methodology proposed in this article was capable of efficiently and quickly reconstruct the energy spectra of two orthovoltage X-ray beams. Such methodology was based on the GSA function developed in an early manuscript of one of the authors. Calculation time of spectra reconstruction did not exceed 15 sec, although it may vary due to the stochastic nature of the generalized simulated annealing.
In general terms, this methodology exhibited better results than an early work that applied the multistart-lsqnonlin function of MATLAB. Moreover, it did not need to employ any regularization method as seen in other works. On the other hand, unlike SpekCalc, this methodology can be applied to obtain spectra to source-surface distances lower than 100 cm, commonly found in radiodiagnostic.
A future work should considerer the comparison with real spectra obtained from Monte Carlo simulation or Compton spectrometry. It also would be interesting to explore this methodology to reconstruct megavoltage photon spectra due their relevance in radiation therapy.
Acknowledgment
To BSc. Ana Carolina Goncalves for sharing the data of transmission.
Conflict de interest
No conflict of interest among authors.
Author contribution statement
The total contribution percentage for the conceptualization, preparation, and correction of this paper was as follows: J.H.W.V 50%, D.G.A.V. 30%, P.N. 20%.
Data availability statement
The data supporting the results of this study will be made available by the corresponding author, J.H.W.V, upon reasonable request.
References
Abbene, L.; Gerardi, G.; Principato, F.; Del Sordo, S.; & Raso, G. (2012). Direct Measurement of Mammographic X-Ray Spectra with a Digital CdTe Detection System. Sensors, 12(6), 8390-8404. https://doi.org/10.3390/s120608390
Archer, B. R., & Wagner, L. K. (1988). A modified X-ray spectra reconstruction technique. Physics in Medicine and Biology, 33(12), 1399-1406. https://doi. org/10.1088/0031-9155/33/12/005
Archer, B. R.; Wagner, L. K.; Johnston, D. A.; Almond, P. R.; & Bushong, S. C. (1985). Analysis of errors in spectral reconstruction with a Laplace transform pair model. Physics in Medicine and Biology, 30(5), 411-418. https://doi.org/10.1088/0031-9155/30/5/004
Archer, B., & Wagner, L. (1982). A Laplace transform pair model for spectral reconstruction. Medical Physics, 9(6), 844-847. https://doi. org/10.1118/1.595193
Archer, Benjamin R., & Wagner, L. K. (1988). Determination of diagnostic x-ray spectra with characteristic radiation using attenuation analysis. Medical Physics, 15(4), 637-641. https://doi.org/10.1118/1.596220
Baird, L. C. (1981). X-ray spectra vs attenuation data: A theoretical analysis. Medical Physics, 8(3), 319-323. https://doi.org/10.1118/1.594834
Bilge, H. (2004). Beam characteristics of kilovoltage radiotherapy unit. Journal of B.U.ON., 9(3), 303-306. https://pubmed.ncbi.nlm.nih. gov/17415831/
Carrera, M.; Lopez-Crespo, P.; Tai, Y. H.; Yates, J. R.; Moreno, B.; Buslaps, T.; & Withers, P. J. (2019). Estimation of the plastic zone in fatigue through the thickness based on synchrotron diffraction data. Procedia Structural Integrity, 17, 872-877. https://doi. org/10.1016/j.prostr.2019.08.116
Chen, S. C.; Jong, W. L.; & Hharun, A. Z. (2012). Evaluation of X-ray beam quality based on measurements and estimations using SpekCalc and Ipem78 models. Malaysian Journal of Medical Sciences, 19(3), 22-28. https://pubmed.ncbi.nlm.nih.gov/23610546/
Deng, J.; Chen, H.; Chang, C.; & Yang, Z. (2004). A superior random number generator for visiting distribution in GSA. International Journal of Computer Mathematics, 81(1), 103-120. https://doi.org/10.1080/00207160310001620768
Durán-Nava, O. E.; Torres-García, E.; Oros-Pantoja, R.; & Hernández-Oviedo, J. O. (2019). Monte Carlo simulation and experimental evaluation of dose distributions produced by a 6 MV medical linear accelerator. Journal of Physics: Conference Series, 1221(1), 012079. https://doi.org/10.1088/1742-6596/1221/1/012079
Epp, J. (2016). X-ray diffraction (XRD) techniques for materials characterization. Materials Characterization Using Nondestructive Evaluation (NDE) Methods. Elsevier. https://doi.org/10.1016/B978-0-08-100040-3.00004-3
Gonçalves, A. C.; Wilches Visbal, J. H.; & Martins Da Costa, A. (2020). Determinación del espectro de energía de un haz de rayos X terapéutico de kilovoltaje a partir de su curva de atenuación. Revista de la Academia Colombiana de Ciencias Exactas, Físicas y Naturales, 44(170), 142-152. https://doi.org/10.18257/raccefyn.965
Hill, R.; Healy, B.; Holloway, L.; Kuncic, Z.; Thwaites, D.; & Baldock, C. (2014). Advances in kilovoltage x-ray beam dosimetry. Physics in Medicine and Biology , 59(6), 183-231. https:// doi.org/10.1088/0031-9155/59/6/R183
Maeda, K.; Matsumoto, M.; & Taniguchi, A. (2005). Compton-scattering measurement of diagnostic x-ray spectrum using high-resolution Schottky CdTe detector. Medical Physics, 32(6Part1), 1542-1547. https://doi. org/10.1118/1.1921647
Malezan, A.; Tomal, A.; Antoniassi, M.; Watanabe, P. C. A.; Albino, L. D.; & Poletti, M. E. (2015). Spectral reconstruction of dental X-ray tubes using laplace inverse transform of the attenuation curve. Radiation Physics and Chemistry, 116, 278-281. https://doi.org/10.1016/j.radphyschem.2015.05.008
Menin, O. H.; Martinez, A. S.; & Costa, A. M. (2016). Reconstruction of bremsstrahlung spectra from attenuation data using generalized simulated annealing. Applied Radiation and Isotopes, 111, 80-85. https://doi.org/10.1016/j.apradiso.2016.02.014
Nakashima, J., & Duong, H. (2020). Radiology, Image Production and Evaluation. StatPearls. https://www.ncbi.nlm.nih.gov/books/NBK553145/
Nickoloff, E. L., & Berman, H. L. (1993). Factors affecting x-ray spectra. RadioGraphics, 13(6), 1337-1348. https://doi.org/10.1148/radiographics.13.6.8290728
Pamplona, G. S. P., & Costa, A. M. (2010). Determinação do espectro de raios X a partir da curva de transmissão para um equipamento de radiografia dentária. Revista Brasileira de Física Médica, 4(2), 23-25. https://doi. org/10.29384/rbfm.2010.v4.n2.p23-25
Poludniowski, G.; Landry, G.; DeBlois, F.; Evans, P. M.; & Verhaegen, F. (2009). SpekCalc: a program to calculate photon spectra from tungsten anode x-ray tubes. Physics in Medicine and Biology, 54(19), 433-438. https://doi. org/10.1088/0031-9155/54/19/N01
Querol, A.; Gallardo, S.; Ródenas, J.; & Verdú, G. (2010). Application of Tikhonov and MTSVD methods to unfold experimental X-ray spectra in the radiodiagnostic energy range. 2010 Annual International Conference of the IEEE Engineering in Medicine and Biology, 536-539. https://doi.org/10.1109/IEMBS.2010.5626024
Sharma, R.; Sharma, S.; Pawar, S.; Chaubey, A.; Kantharia, S.; & Babu, D. A. R. (2015). Radiation dose to patients from X-ray radiographic examinations using computed radiography imaging system. Journal of Medical Physics, 40(1), 29. https://doi. org/10.4103/0971-6203.152244
Smith, F. A. (2000). A Primer in Applied Radiation Physics. En A Primer in Applied Radiation Physics (1th editio). WORLD SCIENTIFIC. https://doi.org/10.1142/3979
Tafti, D., & Maani, C. V. (2020). Radiation X-ray Production. StatPearls . https://pubmed.ncbi. nlm.nih.gov/30725731/
Thunthy, K. H., & Manson-Hing, L. R. (1978). Effect of mAs and kVp on resolution and on image contrast. Oral Surgery, Oral Medicine, Oral Pathology, 46(3), 454-461.
Visbal, J. H. W., & Costa, A. M. (2019). Inverse reconstruction of energy spectra of clinical electron beams using the generalized simulated annealing method. Radiation Physics and Chemistry, 162, 31-38. https://doi. org/10.1016/j.radphyschem.2019.04.022
Wilches Visbal, J. H., & Da Costa, A. M. (2019). Algoritmo de recocido simulado generalizado para Matlab. Ingeniería y Ciencia, 15(30), 117-140. https://doi.org/10.17230/ingciencia.15.30.6