Artículo
Bioinsecticidas elaborados con extractos botánicos utilizados contra Spodoptera spp. en el cultivo de sandía (Citrullus lanatus T.) en Los Ríos-Ecuador
Bioinsecticides used against Spodoptera spp. in the cultivation of watermelon (Citrullus lanatus T.) in Los Ríos, Ecuador
Bioinseticidas elaborados com extratos botânicos usados contra Spodoptera spp. no cultivo de melancia (Citrullus lanatus T.) em Los Ríos-Equador
Bioinsecticidas elaborados con extractos botánicos utilizados contra Spodoptera spp. en el cultivo de sandía (Citrullus lanatus T.) en Los Ríos-Ecuador
Uniciencia, vol. 36, núm. 1, pp. 659-669, 2022
Universidad Nacional, Costa Rica
Recepción: 04 Septiembre 2021
Aprobación: 09 Diciembre 2021
Resumen
(Objetivo): El presente trabajo tuvo como objetivo analizar el uso de insecticidas orgánicos procedentes de extractos de diferentes plantas, para controlar el impacto producido por la plaga de la oruga Spodoptera spp. en el cultivo de sandía Citrullus lanatus, en la provincia de Los Ríos-Ecuador.
(Metodología): Se utilizó un diseño experimental de bloques completamente al azar (DBCA), que comprendió cinco tratamientos con cuatro repeticiones, con diferentes extractos y un control. El tratamiento T1 consistió en extracto de ají Capsicum sativum más jabón común; el T2, en un extracto de ajo Allium sativum con aceite vegetal parafínico más jabón común; el T3, en un extracto de ortiga Urtica dioica; el T4, en un extracto de ruda Ruta graveolens; y el T5 fue definido como control. Las diferencias entre los tratamientos fueron comparadas mediante el test de Tukey. Se consideraron distinciones estadísticamente significativas cuando p ≤ 0.05.
(Resultados): El tratamiento T3 es el de mayor importancia, pues alcanza el menor porcentaje de incidencia de la plaga con una media del 25 % y presenta, de igual manera, el menor porcentaje de daños en fruto con una media del 10 %. A este lo siguieron el T1 (32,50 %) y el T2 (35,00 %). El control T5 obtuvo los resultados negativos y logró el 50 % de incidencia de la plaga con un 37,50 % de daño en frutos.
(Conclusiones): Se demuestra que el extracto de ortiga, utilizado como extracto botánico para el control potencial de Spodoptera spp. en el cultivo de sandía, presenta resultados positivos con la menor incidencia de la plaga (25 %), evidenciando la utilidad de los extractos botánicos en la producción hortícola sostenible.
Palabras clave: alicina+ bioplaguicidas+ capsaicina+ manejo integrado de plagas.
Abstract
(Objective): The objective of this work was to analyze the use of organic insecticides from extracts of different plants to control the impact produced by the caterpillar pest Spodoptera spp. on the watermelon (Citrullus lanatus) crop in the province of Los Ríos, Ecuador.
(Methodology): A randomized complete block design (RCBD) was used, consisting of five treatments with four replicates, with different extracts and a control. Treatment T1 consisted of Capsicum sativum chili bell pepper extract plus common soap; treatment T2 consisted of Allium sativum garlic extract with liquid paraffin vegetable oil plus common soap; treatment T3 consisted of Urtica dioica nettle extract; treatment T4 consisted of Ruta graveolens rue extract, and treatment T5 was defined as a control. Differences between results of treatments were compared using Tukey’s test. Results were considered to be statistically significant when p ≤ 0.05.
(Results): The T3 treatment was most effective, producing the lowest percentage of pest incidence (an average of 25%), and the lowest percentage of fruit damage (an average of 10%). It was followed by T1 (32.50% pest incidence) and T2 (35.00% pest incidence). The T5 control produced negative results, with 50% pest incidence and 37.50% fruit damage.
(Conclusions): The study demonstrated that nettle extract, used as a botanical extract for the potential control of Spodoptera spp. in the watermelon crop produced the lowest incidence of pests (25%), demonstrating the usefulness of botanical extracts in sustainable horticultural production.
Keywords: Allicin, biopesticides, capsaicin, integrated pest control.
Resumo
(Objetivo): O objetivo deste trabalho foi analisar o uso de inseticidas orgânicos de extratos de diferentes plantas para controlar o impacto produzido pela praga da lagarta do complexo Spodoptera spp. no cultivo de melancia Citrullus lanatus, na província de Los Ríos-Equador.
(Metodologia): Foi utilizado um delineamento experimental em blocos inteiramente casualizados (DBIC), que incluiu cinco tratamentos com quatro repetições, com diferentes extratos e um controle. O tratamento T1 consistiu de extrato de pimenta Capsicum sativum mais sabão comum; T2, em extrato de alho Allium sativum com óleo vegetal parafínico mais sabão comum; T3, em extrato de urtiga Urtica dioica; T4, em extrato de arruda Ruta graveolens; e T5 foi definido como controle. As diferenças entre os tratamentos foram comparadas pelo teste de Tukey. Foram consideradas diferenças estatisticamente significativas quando p ≤ 0,05.
(Resultados): O tratamento T3 é o mais importante, pois atinge o menor percentual de incidência da praga com média de 25% e também apresenta o menor percentual de danos aos frutos com média de 10%. A esse seguiram os T1 (32,50%) e T2 (35,00%). O controle T5 obteve resultados negativos e atingiu 50% de incidência da praga com 37,50% de dano aos frutos.
(Conclusões): Mostra-se que o extrato de urtiga, usado como extrato botânico para o controle potencial de Spodoptera spp. no cultivo de melancia, apresenta resultados positivos com a menor incidência da praga (25%), evidenciando a utilidade dos extratos botânicos na produção hortícola sustentável.
Palavras-chave: alicina, bioinseticidas, capsaicina, controle de pragas integrado.
Introducción
El cultivo de sandía, con origen aproximado al continente africano, donde actualmente se continúa desarrollando de forma silvestre, pertenece a la familia Curcubitaceae del género Citrillus cuya especie es C. lanatus (Thun) (Cantos y Giler, 2011). Conlleva gran relevancia en la horticultura ecuatoriana, puesto que es de las cucurbitáceas más importantes del país. Botánicamente, la sandía es una planta herbácea, anual, rastrera o trepadora, si se le facilita un tutor. Posee hojas pecioladas y lobuladas, flores masculinas y femeninas (unisexuales monoicas) de color amarillo, solitarias, pedunculares y axilares, con características de flores entomógamas (Ministerio de Agricultura, Pesca y Alimentación, 2000).
Existen varios cultivares de sandía, entre ellos, la denominada Royal Charleston, la cual es un híbrido líder en el mercado por su excelente acogida. Es productiva en los estándares de calidad que así lo requieren, de forma oblonga, de cáscara verde claro y pulpa color rojo, con un buen contenido de grados brix (10,5 en promedio). Es una variedad precoz que logra su madurez fisiológica aproximadamente a los 80 días, por lo que también tolera bastante a la marchitez causada por Fusarium sp. y sus frutos pueden alcanzar entre 8 y 10 kg de peso. Resiste lo suficiente para que su logística y distribución no representen un problema para los productores (Orduz, León , Chacón, Linares y Rey, 2000).
Los requerimientos edafoclimáticos del cultivo se basan en suelos con importantes concentraciones de materia orgánica (MO) oxidable, con una profundidad efectiva no menor a 60 cm y suelos bien drenados con abundante porosidad, ya que este plantío no tolera encharcamientos, pues el fruto se encuentra en contacto con el suelo. Es, asimismo, moderadamente tolerante a la salinidad. El clima adecuado para su óptimo desarrollo es cálido, con temperaturas que oscilen entre los 20 y 30 °C; la humedad relativa no debe sobrepasar el 80 % (Panta, 2015; Peñarrieta, 2015).
Como alimento, la sandía tiene gran trascendencia nutricional, porque aporta cantidades significativas de vitaminas como la A y la C, al igual que un gran contenido de agua, puesto que su pulpa sin semilla contiene un 95,7 % de agua (Orduz et al., 2000).
Los cultivos de cucurbitáceas son atacados por diversas plagas que merman considerablemente su producción, como es el caso de la oruga Spodoptera spp. que produce estragos en el follaje y causa un gran perjuicio económico a los productores. Es por ello que el uso de insecticidas orgánicos para desarrollar una alternativa que controle las plagas se convierte en una práctica sostenible, en la cual la base es el uso de productos naturales biodegradables y que no contaminen el medio donde son aplicados. La utilización de estos productos ecológicos puede reducir los impactos y aumenta la mortalidad de las larvas en los estados más juveniles (Cuevas, 2008).
La aplicación de insecticidas naturales puede tener excelentes resultados, aun comparándolos con un insecticida de origen sintético o químico, como se muestra en la investigación realizada por Cabrera, Mora, Moncayo y Meza (2016). En esta, se demuestra que los resultados obtenidos con extractos de ají Capsicum sativum fueron similares a los del control químico e incluso se evidenció mayor rendimiento en el cultivo.
Plagas como Spodoptera frugiperda, polífaga que afecta a una gran cantidad de cultivos, pueden mermar hasta la totalidad de los rendimientos esperados. Por tal motivo, importantes dosis de químicos nocivos son empleadas en el manejo o control de esta plaga. Como una alternativa clara, se desarrollan insecticidas naturales para combatir el gusano cogollero, con lo que se llega a la posibilidad de implementar el uso de bioinsecticidas y biorracionales para el control poblacional de la oruga, como en México y otras regiones (González , Gurrola, y Chaírez, 2015).
Es posible controlar hasta en un 51,77% la incidencia de la plaga del gusano cogollero en maíz, con el uso de extractos de ají, según la investigación encaminada por Velásquez (2016), que alcanzó estos resultados e influyó positivamente en la relación costo-beneficio de la implementación de bioinsecticidas con resultados confiables.
Metodología
La presente indagación es de carácter experimental. Se estableció un diseño por bloques completamente al azar (DBCA), que comprendió cinco tratamientos con un total de cuatro repeticiones, en los cuales se utilizó insecticidas orgánicos a base de Capsicum sativum (ají), Allium sativum (ajo), Urtica dioica (ortiga) y Ruta graveolens (ruda). El análisis estadístico de los datos se realizó con el software Infostat, 2020, versión estudiantil. Se llevó a cabo un análisis de varianza (ANDEVA) descrito en la tabla 1. Se determinó los coeficientes de variación. Como medida comparativa entre tratamientos, se empleó un test de Tukey con un nivel de significancia del 5 %.
Los tratamientos definidos en esta investigación consistieron en diferentes extractos botánicos utilizados para el manejo potencial de Spodoptera spp., plaga de importancia en el cultivo de sandía. Uno de los tratamientos fue establecido a modo de control (T5), como se puede observar en la tabla 2.
La distribución de las parcelas experimentales fue la siguiente.
Distancia entre hileras: 4 m; distancia entre plantas: 0,90 m; área total de las parcelas: 108 m2; área útil experimental: 28 m2; densidad poblacional del proyecto: 800


plantas, con 20 plantas útiles por cada tratamiento. Las parcelas se separaron cada 2 m y la separación entre bloques fue cada 2m. Se puede observar la disposición de las unidades de ensayo en la figura 1.

La preparación de los insecticidas orgánicos utilizados en el proyecto se ejecutó según las pautas propuestas por Millán (2008) y Luna y otros (2014). Se obtuvieron extractos que fueron aplicados siguiendo las recomendaciones de los autores mencionados.
Extracto a base de ají (Capsicum sativum)
Se produjo el insecticida cuyo principio activo es la capsaicina, responsable de la pungencia y propiedades bioctivas del ají (Ministerio de Agricultura, 2015). El extracto se realizó mediante la recolección de 1 kg de ají, lavado, macerado y diluido en un litro de agua. Se dejó reposar por 2 días para favorecer el proceso de fermentación; posteriormente, se filtró para separar semillas y residuos; al final, se añadió jabón común, con el objetivo de que la solución se fijara al tejido vegetal en donde sería utilizado. Se debe almacenar en un lugar fresco y seco, libre de la radiación solar y de preferencia en refrigeración.
Extracto a base de ajo (Allium sativum)
Este extracto posee como principio activo la alicina que afecta las estructuras celulares de algunos hongos como Aspergillum niger y de algunas orugas como Spodoptera spp. (Segovia y otros, 2019). Se utilizó alrededor de 1 kg de semillas de ajo, las cuales se trituraron, se les añadió aceite vegetal parafínico y se dejaron reposar durante 24 horas; luego, se adicionó un litro de agua, se procedió a filtrar y se agregó jabón, el cual actuó
como fijador. Se debe colocar la mezcla en un recipiente de vidrio y se debe almacenar
en un lugar tanto fresco como seco, para mantener sus características.
Extracto a base de ortiga (Urtica dioica)
El extracto de ortiga tiene concentraciones importantes de histamina y acetilcolina, sustancias responsables de las reacciones urticantes que, al estar en altas densidades, pueden alterar el sistema nervioso de algunos insectos (Ortega, Alfonzo y Albán, 2009). Se utilizó 1 kg del follaje de la planta de ortiga, el cual se picó para su posterior maceración. Una vez obtenida la pasta, se adicionó un litro de agua y se dejó reposar durante 24 horas. Cuando transcurre el debido tiempo, se debe filtrar y almacenar en un lugar fresco y seco. Es preciso utilizar el extracto lo más pronto posible, para no perder su efectividad.
Extracto a base de ruda (Ruta graveolens)
El extracto contiene como principio activo la rutina e inulina, compuestos flavonoides y alcaloides con propiedades insecticidas y fungicidas (Cárdenas, Lugo y Rozo, 2010). Para su obtención, se utilizó 1 kg del follaje de la planta de ruda; se picó para iniciar el proceso de maceración; una vez terminado, se adicionó un litro de agua y se dejó reposar durante 24 horas. El mejor aprovechamiento del principio activo de la ruda se consigue después de filtrar y estabilizar la solución del extracto, por lo que es adecuado usarlo lo más pronto posible.
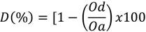
Para calcular el porcentaje de incidencia de la oruga (PI), se deben efectuar cuantificaciones cada día, después de la aplicación (DDA) de los insecticidas en cada uno de los tratamientos, con sus respectivas repeticiones. Se emplea la siguiente fórmula:

La determinación de la dinámica poblacional de la oruga Spodoptera spp. se lleva a cabo mediante la cuantificación de los ejemplares vivos antes de la aplicación y de los también vivos después de la aplicación de insecticidas orgánicos. Se aplica la fórmula a continuación.

En donde:
D = disminución en porcentaje.
Oa = número de orugas vivas antes de la aplicación.
Od = número de orugas vivas después de la aplicación.
Se estandarizaron las prácticas de campo entre las unidades experimentales, donde se preparó el terreno y se regó mediante un sistema por goteo. La fertilización se realizó utilizando humus de lombriz, en una dosis de 140 gr/planta, con una frecuencia de 15 días. Además, se usó biol en una dosis de 100 cc por cada 20 L de manera foliar. Se controlaron las malezas en forma manual.
Análisis y resultados
Con base en los resultados obtenidos en la tabla 3, el porcentaje más alto de incidencia de la plaga lo obtuvo el tratamiento testigo (T5) con una media del 50 %, seguido del extracto de ruda (T4) que alcanzó una media de 45 %. Se observó la incidencia más baja en el tratamiento tres (T3) correspondiente al extracto de ortiga, que alcanzó el 25 %, con un coeficiente de variación entre los tratamientos de un 24,83 %.

Los resultados logrados fueron estadísticamente significativos entre T5 y T3. En el caso de las medias comparativas entre T4, T2 y T1, no se evidencia diferencia estadísticamente significativa. Se infiere, de esta manera, que el tratamiento control presenta mayor incidencia de la plaga que los tratamientos con la aplicación de extractos botánicos. Además, de los tratamientos con extractos aplicados, el de mayor incidencia es T4, a base de ruda. Se registran las medias comparativas en la gráfica 1.

El porcentaje de daños en frutos lo indica la gráfica 2. Se evidencia que la oruga generó mayor daño con el tratamiento T5 correspondiente al testigo; se alcanzó una media de 37,50 %. Lo sigue el T4, con el extracto de ruda, que muestra un 25 % de daños. Los mejores resultados se presentaron, nuevamente, en T3, con el extracto de ortiga, que alcanza una media del 10 % de daños en frutos.

Se encontraron diferencias estadísticas entre los tratamientos, con un coeficiente de variación del 22,59 %. T4 y T2 no evidenció distinciones significativas, mientras que T3 demostró la mayor diferencia frente al T5.
Por lo tanto, el tratamiento que tuvo más afectaciones en los frutos a causa de plagas fue el de control, seguido del que usó ruda, el cual también presentó daños significativos en los frutos.
Los resultados relativos al porcentaje de disminución de la oruga se pueden observar en la gráfica 3. La media que representó mayor disminución de la plaga fue T1 (extracto del ají y jabón), la cual alcanzó el 55,57 % de control, seguida del T2 (extracto de ajo y jabón), que consiguió un 42,42 %. Los resultados más bajos fueron de T5 y T4 (el más bajo entre ambos fue el testigo).
Conforme con las pruebas comparativas, los resultados fueron estadísticamente diferentes entre los tratamientos: todos presentaron resultados significativos y resalta la comparación entre T1 y T5.
Se demuestra que el tratamiento a base de ají controló mayor número de orugas y es directamente proporcional a la cantidad de orugas que atacaron a T1; sin embargo, resulta nocivo el principio activo para la plaga. En el tratamiento control, no disminuye la población de dicha plaga.
El porcentaje de disminución de las orugas en función del número de las controladas se puede ver en la gráfica 4 . El tratamiento con mayor porcentaje de disminución fue T1, con un 55,57 % correspondiente al extracto de ají más jabón común, seguido de los que utilizaron extractos de ajo y ortiga (T2 y T3, respectivamente); el resultado más bajo es el del testigo.


Se corrobora diferencia estadística significativa con un coeficiente de variación de 13,84 %, por tanto, hay una dispersión baja. Considerando el coeficiente de variación en ensayos de campo, el tratamiento a base de ají obtiene resultados por encima de los demás extractos, sin dejar de lado que el control generado por el extracto de ajo también fue importante (42,42%) e igual, estadísticamente, al extracto de ortiga (41,15 %).
Los resultados obtenidos en la dinámica poblacional del tratamiento testigo T5 evidencian un alto número de ejemplares en las últimas semanas (figura 2). Por ser un tratamiento sin la aplicación de ningún producto, el aumento de los daños y las consecuencias fue notablemente mayor a los otros tratamientos ensayados.

El efecto de la aplicación del extracto de ortiga incide en el comportamiento agronómico de la sandía con un mayor número de guías, longitud de guías, tonalidad y vitalidad en las plantas, rendimiento por parcelas experimentales. Esto concuerda con lo que menciona Chauca (2012) sobre los diferentes tipos de bioestimulantes; entre ellos, la ortiga influyó significativamente en el comportamiento agronómico y el rendimiento de la remolacha forrajera.
Los extractos botánicos pueden mostrar que contienen grupos funcionales y compuestos que proporcionan actividades biológicas contra los insectos, específicamente, contra Spodoptera spp. Lo anterior posee gran similitud a los resultados obtenidos por Kofi y otros (2021), en su evaluación de un extracto botánico contra Spodoptera frugiperda.
En este contexto, la investigación realizada por Fragoso y otros (2021) demuestra que los extractos botánicos, especialmente el de ajo (Allium sativum) y tabaco (Nicotiana tabacum), afectaron de modo considerable las oviposiciones de Neoleucinodes elegantis en tomate, por el efecto del alcaloide sobre la plaga.
La búsqueda de alternativas al uso de insecticidas de origen sintético recobra gran relevancia en la agricultura sostenible, debido a la compatibilidad ambiental del entorno en donde se desarrolla el cultivo. De esta manera, como también lo concluyen Lima y otros (2020), los insecticidas botánicos pueden ser hasta 2,7 veces menos tóxicos que los insecticidas sintéticos.
Conclusiones
Con base en lo evaluado respecto a la aplicación de insecticidas en el comportamiento agronómico de la sandía, se pudo constatar que el T1 (extracto de ají + jabón común) ocasiona pequeñas quemaduras en el follaje de la sandía, aunque controla eficazmente las orugas. En cuanto al T3 (extracto de ruda), se observó mayor longitud y numero de guías por plantas, significativo número de botones florales y una mayor productividad al momento de la cosecha. Se recomienda el uso de concentraciones variables, para evitar las afectaciones en el follaje.
El extracto a base de ají resultó ser el tratamiento con mayor porcentaje de disminución de los ejemplares (55,57 %). Por lo tanto, este extracto, empleado como insecticida botánico, reduce la población de orugas en el cultivo de sandía.
Es posible implementar sistemas ecológicos de manejo integrado de plagas, que contribuyan a la agricultura orgánica, en busca de resultados positivos en las plagas que se desean controlar. Así, se generaría rentabilidad a los pequeños y grandes agricultores, quienes optan por la utilización de estas alternativas, en su contribución directa con elementos claves del desarrollo sostenible, en cultivos hortícolas.
Difundir lo obtenido en investigaciones sobre el uso de productos naturales se vuelve clave para promover la agricultura orgánica y sostenible a largo plazo. Además, de tal modo, se posibilitaría enfrentar los elevados costos de los insecticidas de origen sintético, pues cada día aumentarán más y las plagas incrementarán su resistencia.
Agradecimiento
Agradecemos especialmente a la Universidad Agraria del Ecuador, por promover y permitir la investigación científica.
Conflicto de intereses
Los autores declaran no tener algún conflicto de interés.
Declaración de la contribución de los autores
Todos los autores afirmamos que se leyó y aprobó la versión final de este artículo.
El porcentaje total de contribución para la conceptualización, preparación y corrección de este artículo fue el siguiente: I. V. 25 %, B. T. 25 %, B. A. F. 25 % y P. S. C. 25 %.
Declaración de disponibilidad de los datos
Los datos que respaldan los resultados de este estudio serán puestos a disposición por el autor correspondiente (I. V.), previa solicitud razonable.
Referencias
Cabrera, R.; Mora, B.; Moncayo, O. y Meza, G. (2016). Evaluación de dos insecticidas naturales y un químico en el control de plagas en el cultivo de frejol en el litoral ecuatoriano. IDESIA, 34(5), 27-35. https://doi. org/10.4067/s0718-34292016005000025
Cantos, J. y Giler, R. (2011). Comportamiento agronómico de ocho híbridos de sandía (Citrullus lanatus Schard.) en el campus de la ESPAM (tesis de grado). Escuela Superior Politécnica Agropecuaria de Manabí Manuel Félix López, Ecuador.
Cárdenas, E.; Lugo, L. y Rozo, A. (2010). Efecto tóxico del extracto acuoso de Ruta graveolens L. (Rutaceae) sobre larvas de Anopheles albimanus Wiedemann, 1820 y Culex quinquefasciatus Say, 1823 (Diptera: Culicidae), en condiciones experimentales. Entomotrópica, 25(1), 10-18. https:// www.researchgate.net/publication/315653887
Chauca, P. (2012). Comportamiento agronómico del cultivo de la remolacha forrajera (Beta vulgaris L.) bajo la aplicación de tres bioestimulantes orgánicos, en el cantón Espejoprovincia del Carchi (tesis de grado). Universidad Técnica de Babahoyo, Ecuador. http://dspace.utb.edu.ec/handle/49000/969
Cuevas, I. (2008). Uso de insecticidas naturales para el control de plagas. Inventio, 4(8), 57-60. https://dialnet.unirioja.es/servlet/ articulo?codigo=3059579
Fragoso, D.; Túler, A.; Pratissoli, D.; Carvalho, J.; Valbon, W.; Queiroz Pinheiro, P.; Costa, A. y Bueno, R. (2021). Biological activity of plant extracts on the small tomato borer Neoleucinodes elegantalis, an important pest in the Neotropical region. Crop Protection, 145. https://doi.org/10.1016/j.cropro.2021.105606
González, M.; Gurrola, J. y Chaírez, I. (2015). Productos biológicos para el control de Spodoptera frugiperda (Lepidoptera: Noctuidae). Revista Colombiana de Entomología, 41(2), 200-204. http://www.scielo.org.co/pdf/rcen/ v41n2/v41n2a09.pdf
Kofi, S.; Adjei, F.; Abraham, J. y Addo, E. (2021). Potential of neem extracts as natural insecticide against fall armyworm (Spodoptera frugiperda (J. E. Smith) (Lepidoptera: Noctuidae). Case Studies in Chemical and Environmental Engineering, 4. https://doi.org/10.1016/j.cscee.2021.100130
Lima, A.; Santana, E.; Santos, A.; Silva, J.; Ribeiro, G.; Pinheiro, A.; Santos, I.; Blank, A.; Araújo, A. y Bacc, L. (2020). Insecticide activity of botanical compounds against Spodoptera frugiperda and selectivity to the predatory bug Podisus nigrispinus. Crop Protection, (20). https://doi.org/10.1016/j.cropro.2020.105230
Luna, G.; Izaguirre, G.; Salgado, B. y Rodríguez , R. (2014). Manual para la elaboración de insecticidas botánicos y repelentes naturales. México D. F., México: Centro de Desarrollo Económico Ecológico y Social. http://indesol.gob. mx/cedoc/pdf/III.%20Desarrollo%20Social/Lombricultura%20y%20Abonos/Manual%20para%20la%20elaboraci%C3%B3n%20de%20insecticidas%20bot%C3%A1nicos%20y%20repelentes%20naturales.pdf
Millán, C. (2008). Las pantas: una opción saludable para el control de plagas. Montevideo: Global Greengrants Fund.
Ministerio de Agricultura. (2015). Cuatro importantes usos de los ajíes. Arica, Chile: Instituto de Investigaciones Agropecuarias (INIA). https://www.aricamia.cl/instituto-de-investigaciones-agropecuarias-inia-cuatro-importantes-usos-de-los-ajies/
Ministerio de Agricultura, Pesca y Alimentación . (2000). Hoja de Divulgación: Cultivo intensivo de la sandía. Madrid, España: Centro de divulgación. https://www.mapa.gob.es/ministerio/pags/biblioteca/hojas/hd_2000_2106.pdf
Orduz, J.; León, G.; Chacón, A.; Linares, V. y Rey, C. (2000). El cultivo de la sandía (Citrullus lanatus) en el departamento del Meta. Villavicencio, Colombia: Corporación colombiana de investigación agropecuaria. https://repository.agrosavia.co/bitstream/handle/20.500.12324/18208/42939_48645.pdf?sequence=1&isAllowed=y
Ortega, R.; Alfonzo, D. y Albán, R. (2009). Los Purines a Base de Ortiga Urtica dioica una alternativa natural en el control de insectos del orden Coleóptera. Revista Brasileña de Agroecología, 4(2), 2353-2355. https://revistas.aba-agroecologia.org.br/rbagroecologia/ article/view/8603/6066
Panta, S. (2015). Niveles de fertilización potásica en la producción y calidad de sandía (Citullus lanatus). “Black Fire” (tesis de grado). Universidad Nacional Agraria La Molina, Lima, Perú. https://hdl.handle. net/20.500.12996/1406
Peñarrieta, L. (2015). Producción de Sandía (Citrullus lanatus) con dos sistemas de tutoreo (tesis de grado). Universidad Técnica de Cotopaxi, La Maná, Ecuador. http://repositorio. utc.edu.ec/handle/27000/3547
Segovia, K.; Díaz, E.; Méndez, M.; Pina, M.; Pérez, A. y Sánchez, M. (2019). Efectos de extractos crudos de ajo (Allium sativum) sobre el desarrollo in vitro de Aspergillus parasiticus y Aspergillus niger. Polibotánica, (47), 99-111. http://10.18387/polibotanica.47.8
Velásquez, C. (2016). Efectos de dos insecticidas orgánicos en el control del gusano cogollero (Spodoptera fugiperda), en la etapa del crecimiento del cultivo de maíz (Zea mays L.) variedad Trueno 74 NB 7443, en la comunidad Moran Valverde 1, parroquia San Carlos-Orellana (tesis de grado). Universidad Nacional de Loja, Loja, Ecuador. https://dspace.unl.edu.ec/jspui/handle/123456789/15655