Artículo
Accurate Symmetry Calculation with Normalized Dynamic Time Warping Gait Symmetry Ratio
Cálculo de la eficiencia de la simetría mediante la relación de simetría de la marcha, aplicando deformación dinámica normalizada en el tiempo
Cálculo da eficiência da simetria usando a relação de simetria da marcha, aplicando deformação dinâmica normalizada ao longo do tempo
Accurate Symmetry Calculation with Normalized Dynamic Time Warping Gait Symmetry Ratio
Uniciencia, vol. 36, no. 1, pp. 738-745, 2022
Universidad Nacional, Costa Rica
Received: 18 November 2021
Accepted: 14 February 2022
Abstract : In this paper we propose a new method for symmetry calculation in wearable devices. The problem in this domain is that only discrete features such as stride length, stride duration, or duration of gait phases are used for the symmetry calculation. However, this can lead to failures, since the use of features can result in partial loss of information from the time series. From this we present a possibility to calculate the symmetry by using Dynamic Time Warping (DTW). DTW uses the complete time series for the analysis and is therefore independent of certain features.
Keywords: Wearable Device, Symmetry, Time Series, Dynamic Time Warping (DTW), Gait Asymmetry.
Resumen : En este artículo proponemos un nuevo método para el cálculo de la simetría para la resistencia sensible a la fuerza (FSR) en dispositivos portátiles. El problema en este dominio es que solo se utilizan características discretas como la longitud de la zancada, la duración de la zancada o la duración de las fases de la marcha para el cálculo de la simetría. Sin embargo, esto puede conducir a fallas, ya que el uso de funciones puede resultar en una pérdida parcial de información de la serie temporal. A partir de esto, presentamos la posibilidad de calcular la simetría utilizando el método de Dynamic Time Warping (DTW). El DTW utiliza la serie de tiempo completa para el análisis y, por lo tanto, es independiente de ciertas características.
Keywords: Dispositivo usable, Simetría, Series temporales, Deformación de tiempo dinámica, Resistencia sensible a la fuerza.
Resumo : Neste artigo propomos um novo método para cálculo de simetria para resistência sensível à força (FSR) em dispositivos portáteis. O problema neste domínio é que apenas são utilizadas características discretas, como comprimento da passada, duração da passada ou duração da fase da marcha para o cálculo de simetria. No entanto, isso pode levar a falhas, pois o uso de funções pode resultar em perda parcial de informações da série temporal. A partir disso, apresentamos a possibilidade de calcular a simetria utilizando o método Dynamic Time Warping (DTW). O DTW usa toda a série temporal para a análise e, portanto, é independente de determinados recursos.
Palavras-chave: Dispositivo vestível, simetria, séries temporais, Dynamic Time Warping, resistência sensível à força.
Introduction
A characteristic of the gait is the symmetry in the motion of the body. A symmetrical gait represents a high quality of life. There are regions of the body pathologically limited to motor dysfunction. This leads to an asymmetrical gait pattern (Lauziere et al., 2014).
But first the question arises: What is a symmetrical gait? The motion of the right and left foot are identical in a symmetrical motion, but shifted by a half period.
The assessment of gait symmetry can be divided into two major areas, namely discrete based and time series based area (Yang et. al., 2011; Liao et. al., 2008; Hassan et. al., 2014). The first area of symmetry evaluation is discrete-based. These methods are often used with wearable devices (Patterson et. al., 2010; Steinmetzer et. al., 2020b). Discrete-based methods include Symmetry Ratio (Andres & Stimmel, 1990), Robinson Index (Herzog et al., 1989), Gait asymmetry (Plotnik et al., 2007) and Symmetry Angle (Zifchock et al., 2011). In all these methods, symmetry is calculated from various parameters such as stride length, stride duration, swing phase duration, and stance phase duration.
We want to introduce a new way to calculate symmetry for wearable devices. The outstanding feature of our method is that the complete time series of the gait cycle is used for the symmetry analysis. This makes the calculation of the symmetry more accurate than using discrete-based methods for symmetry calculation. An important part of the method is Dynamic Time Warping (DTW) (Keogh & Ratanamahatana, 2005).
In section 2 we give a short theoretical background to the gait cycle, introduce the data set, and employed hardware. In section 3 we explain the calculation of symmetry with regards to the use of wearables by current methods and our DTW-based method. Afterwards we present the results of the calculation with all methods in section 4. In section 5 we discuss the advantages and disadvantages of the different methods and a preview of future work. The last section 6 gives a summary of the work.
Material
Dataset
For the calculation of the gait symmetry, we use force sensor data. For this we use a public dataset. This consists of 93 patients with idiopathic PD, and a control group of 73 subjects. The database includes the vertical ground reaction force records of the subjects as they walked at their usual, self-selected pace for approximately 2 minutes on level ground, see Table 1. Underneath each foot were placed 8 sensors (Ultraflex Computer Dyno Graphy, Infotronic Inc.) that measure force (in Newtons) as a function of time. The output of each of these 16 sensors has been digitized and recorded at 100 samples per second, and the records also include two signals that reflect the sum of the 8 sensor outputs for each foot. For details about the data format, see (Goldberger et al., 2000).
Methodology
Stride detection
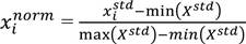
The focus of this work is not on stride detection. For this reason, a simple method is used. As soon as the sum of all force sensors is greater or equal to 100 N, this is considered the beginning of the stance phase.
Conversely, swing phases are detected as soon as the sum of all force sensors is less than 100 N, see Fig. 1 (a).
The large gaps in Fig. 1 (b) correspond to the turning of the person at the end of the corridor. By using interquartile range (IQR) the gaps are cut out (Steinmetzer et. al., 2020).


Discrete symmetry
Discrete symmetry calculation by using various parameters is used for analysis of gait with wearable devices (Jelén et. al., 2008; Sadeghi et. al., 2000; Ashhar et. al., 2017). For comparison with our method, we introduce the methods: Ratio index (RI), Symmetry index (SI), Gait asymmetry (GA), and Symmetry angle (SA), see equations 1 to 4.
For the calculation of discrete symmetry, we use several features of the right and left foot. The smaller feature is xmin and the bigger xmax. In this way, we get a value between zero and one. Xmin and Xmax are features consisting of swing phase duration, stand phase duration, and stride duration.
Xmin is the larger value of feature i in the left and right stride.
Ratio Index. To determine the RI, the central values of the foots are divided by each other.
(1)
Symmetry Index. The SI gives the difference between kinematic and kinetic parameters of the limbs. We have adjusted the value so that 1 represents a symmetrical gait and 0 asymmetry.
(2)
Gait Asymmetry. Gait Asymmetry is similar to the Ratio Index (Crea et al., 2014; Yang and Hsu, 2010). However, the logarithm was still calculated from the result.
(3)
Symmetry Angle. SA measures the relationship between two different limbs. Two exactly symmetrical parameters form an angle of 45º. We have corrected the value, a symmetric value is again 1 and an asymmetric 0.
(4)
Normalized DTW symmetry: Preprocessing
Normally DTW is used as a distance measurement. The greater the result, the greater the distance between the two signals. The more asymmetrical is the gait cycle. To better interpret the results of symmetry, we normalize them. A value close to 1 shows a symmetrical motion and a value close to 0 an asymmetrical motion. To enable stride symmetry calculation, the values would first have to be standardized and normalized. For the standardization we use the z-transformation, see equation 5. Through this standardization, the expected value of the data is = 0 and the standard deviation s = 1.
(5)
For standardization, the times series of all recordings of all subjects are concatenated with each other to form a uniform model for standardization.
To ensure a value range between 0 and 1 we use min-max normalization
(6)
To calculate the Normalized Dynamic time warping symmetry ratio, we perform a phase shift. Thus, both strides are directly above each other. For the calculation of symmetry, both signals are at the beginning of the same gait cycle phase.
Normalized DTW
For the calculation of similarity of symmetry of the force data of the right and left foot, we use DTW. In contrast to Euclidean distance, this method can correct time warp. The advantage of DTW is that the time series does not need to have the same length, because the optimal alignment from one signal to the other is used. The algorithm starts with the calculation of a distance matrix D, where the force data of both time series the left and right foot y and x are used as input. For the calculation of the distances the following equation is used (Keogh & Ratanamahatana, 2005).
..(7)
Then the distance must be divided by the maximum signal length
(8)
In order to get a result of 1 for symmetry and 0 for asymmetry, the 1 minus result is calculated by
(9)
Results
Dataset
In table 2 the results of the dataset from section 2.1 are shown. The study subjects were separated according to control group and Parkinson disease. It is noticeable that the results of the discrete symmetry calculation are similar to the DTW. We have calculated the average value
and the standard deviation s.

Theoretical cases
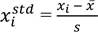
In this section we present the results obtained for the theoretical signals of both feet by using discrete and DTW methods. In figure 2 the DTW of the following signals is shown: (a) regular stride, (b) identical strides, (c) amplitude shifted strides, (d) uniform amplitude shifted, (e) Heel strike and toe off with same force on left foot, right foot lesser force, and (f) Left foot has heel strike more force then toe off, right foot

has toe off more force then heel strike. The results for these signals are shown in the Table 3. It can be seen that the discrete methods cannot correctly calculate the signals (c), (d), (e), and (f).
Discussion
In most of the papers dealing with symmetry, stride length, stride duration, and different gait phases are used to calculate the ratio of the left and right leg (Hannink et al., 2018; Jiang et al., 2018). In contrast, our symmetry calculation considers the complete time series.
Our results show RI, SI, GA, SA, and DTW to be very similar for the given data set. The results confirm the findings of other studies (Blazkiewicz et al., 2014; Hubble et al., 2015).
However, the weaknesses of the discrete symmetry calculation are visible in the results disclosed in section 4.2. If the parameters were chosen incorrectly in the symmetry calculation, asymmetries of the gait may not have been visible. We were able to demonstrate this phenomenon in the second part of the results. In figure 2 (c), (e), and (f) the discrete symmetry was always 1.0, but the signals were different in amplitude. These differences could not be measured. By using the presented method, the whole signal was used for the calculation of symmetry. Thus, it was possible to calculate not only the symmetry differences in the time but also in the amplitude domain.
Conclusion
For discrete symmetry calculation, a wide spectrum of features is important for a robust symmetry calculation. With our proposed method this is not necessary.
We were able to demonstrate that our
method is a useful extension for the calculation of gait symmetry with wearable sensors. In future works it should be proved how symmetry calculation using DTW works in multidimensional signals.
Acknowledgement
This article was created under the bilateral Erasmus+ Agreement between University of Las Palmas de Gran Canaria (Spain) and Brandenburg University of Technology Cottbus-Senftenberg (Germany).
Conflict of Interest
The authors declare no competing interests.

Author contribution statement
All the authors declare that the final version of this paper was read and approved.
The total contribution percentage for the conceptualization, preparation, and correction of this paper was as follows: T.S. 34%, I.B. 33 %, and C.M.T. 33%
Data availability statement
The data supporting the results of this study will be made available by the corresponding author T.S. upon reasonable request.
References
Andres, R. O., & Stimmel, S. K. (1990). Prosthetic alignmenteffectsongaitsymmetry:acasestudy. Clinical biomechanics, 5(2), 88-96. https://doi.org/10.1016/0268-0033(90)90043-6
Ashhar, K.; Soh, C. B.; & Kong, K. H. (2017). A wearable ultrasonic sensor network for analysis of bilateral gait symmetry. In 2017 39th Annual International Conference of the IEEE Engineering in Medicine and Biology Society (EMBC) (pp. 4455-4458). IEEE. https://doi. org/10.1109/EMBC.2017.8037845
Blazkiewicz, M.; Wiszomirska, I.; & Wit, A. (2014). Comparison of four methods of calculating the symmetry of spatial-temporal parameters of gait. Acta of bioengineering and biomechanics, 16(1).
Crea, S.; Cipriani, C.; Donati, M.; Carrozza, M. C.; & Vitiello, N. (2014). Providing time-discrete gait information by wearable feedback apparatus for lower-limb amputees: usability and functional validation. IEEE Transactions on Neural Systems and Rehabilitation Engineering, 23(2), 250-257. https://doi.org/10.1109/TNSRE.2014.2365548
Goldberger, A. L.; Amaral, L. A. N.; Glass, L.; Hausdorff, J. M.; Ivanov, P. Ch.; Mark, R. G.; Mietus, J. E.; Moody, G. B.M.; Peng, C.-K.; & Stanley, H. E. (2000). PhysioBank, PhysioToolkit, and PhysioNet. Circulation, 101(23). https://doi.org/10.1161/01.cir.101.23.e215
Hannink, J.; Kautz, T.; Pasluosta, C. F.; Barth, J.; Schülein, S.; Gaßmann, K.-G.; Klucken, J.; & Eskofier, B. M. (2018). Mobile Stride Length Estimation With Deep Convolutional Neural Networks. IEEE Journal of Biomedical and Health Informatics, 22(2), 354-362. https:// doi.org/10.1109/JBHI.2017.2679486
Hassan, M.; Kadone, H.; Suzyki, K.; & Sankai, Y. (2014). Wearable gait measurement system with an instrumented cane for exoskeleton control. Sensors, 14(1), 1705-1722.
Herzog, W.; Nigg, B. M.; Read, L. J.; & Olsson, E. (1989). Asymetries in ground reaction force patterns in nomral human gait. Med Sci Sports Exerc, 21(1), 110-114. https://doi. org/10.1249/00005768-198902000-00020
Hubble, R. P., Naughton, G. A., Silburn, P. A., & Cole, M. H. (2015). Wearable sensor use for assessing standing balance and walking stability in people with Parkinson’s disease: a systematic review. PloS one, 10(4). https://doi.org/10.1371/journal.pone.0123705
Jelén, P.; Wit, A.; Dudzinski, K.; & Nolan, L. (2008). Expressing gait-line symmetry in able-bodied gait. Dynamic Medicine, 7(1), 17. https://doi.org/10.1186/1476-5918-7-17
Jiang, X.; Tory, L.; Khoshnam, M.; Chu, K. H. T.; & Menon, C. (2018). Exploration of Gait Parameters Affecting the Accuracy of Force Myography-Based Gait Phase Detection. In 2018 7th IEEE International Conference on Biomedical Robotics and Biomechatronics (Biorob) (pp. 1205-1210). https://doi.org/10.1109/biorob.2018.8487790
Keogh, E. J., & Ratanamahatana, C. A. (2005). Exact indexing of dynamic time warping. Knowl. Inf. Syst, 7(3). https://doi.org/10.1007/s10115-004-0154-9
Lauziere, S., Betschart, M., Aissaoui, R., & Nadeau, S. (2014). Understanding spatial and temporal gait asymmetries in individuals post stroke. Int J Phys Med Rehabil, 2(3), 201. https://doi.org/10.4172/2329-9096.1000201
Liao, F., Wang, J., & He, P. (2008). Multi-resolution entropy analysis of gait symmetry in neurological degenerative diseases and amyotrophic lateral sclerosis. Medical engineering & physics, 30(3), 299-310. https://doi.org/10.1016/j.medengphy.2007.04.014
Patterson, K. K., Gage, W. H., Brooks, D., Black, S. E., & Mcllroy, W. E. (2010). Evaluation of gait symmetry after stroke: a comparison of current methods and recommendations for standardization. Gait & posture, 31(2), 241-246. https://doi.org/10.1016/j.gaitpost.2009.10.014
Plotnik, M., Giladi, N., & Hausdorff, J. M. (2007). A new measure for quintifying the bilateral coordination of human gait: effects of aging and Parkinson’s disease. Experimental brain research, 181(4), 561-570. https://doi.org/10.1007/s00221-007-0955-7
Sadeghi, H., Allard, P., Prince, F., & Labelle, H. (2000). Symmetry and limb dominance in able-bodied gait: a review. Gait & posture, 12(1), 34-45. https://doi.org/10.1016/s0966-6362(00)00070-9
Steinmetzer, T., Bönninger, I., Reckhardt, M., Reinhardt, F., Erk, D., & Travieso, C. M. (2020). Comparison of algorithms and classifiers for stride detection using wearables. Neural Computing and Applications, 32(24), 17857-17868. https://doi.org/10.1007/s00521-019-04384-6
Steinmetzer, T., Wilberg, S., Bönninger, I., & Travieso, C. M. (2020). Analyzing gait symmetry with automatically synchronized wearable sensors in daily life. Microprocessors and Microsystems, 77, 103118. https://doi.org/10.1016/j.micpro.2020.103118
Yang, C. C., & Hsu, Y. L. (2010). A review of accelerometry-based wearable motion detectors for physical activity monitoring. Sensors, 10(8), 7772-7788. https://doi.org/10.3390/s100807772
Yang, C. C., Hsu, Y. L., Lu, J. M., Shih, K. S., & Chan, L. (2011. June). Real-time gait cycle parameters recognition using a wearable motion detector. In Proceedings 2011 International Conference on System Science and Engineering (pp. 498-502). IEEE. https://doi.org/10.1109/icsse.2011.5961954
Zifchock, R. A., Davis, I., Higginson, J., & Royer, T. (2008). The symmetry angle: a novel, robust method of quantifying asymmetry. Gait & posture, 27(4), 622-627. https://doi.org/10.1016/j.gaitpost.2007.08.006