
Recepción: 20 Julio 2018
Revisado: 26 Febrero 2019
Publicación: 01 Septiembre 2019
DOI: https://doi.org/10.17163/lgr.n30.2019.08
Resumen: Las actividades que se realizan en el diario vivir, como la higiene personal o el cuidado de la salud, pueden provocar efectos negativos en el ecosistema, generando alteraciones sobre el medio ambiente, dado que se consumen varias sustancias de diferente origen y composición química, de estas sustancias se conoce relativamente poco con respecto al impacto que tendrá en el ambiente y en el ser humano, sustancias que son reconocidas con el nombre de contaminantes emergentes. El presente trabajo experimental fue desarrollado en las parroquias de Uyumbicho, Amaguaña, dos localidades ubicadas a 1km de la orilla del río San Pedro y la parroquia de Sangolqui cerca al río Pita, se evaluó la probable existencia de residuos de antibióticos betalactámicos y sulfamidas, en los 13 puntos de muestreo distribuidos de la siguiente manera: 9 en el río San Pedro y 4 en el río Pita, se realizaron 6 muestreos de agua, para ser analizadas mediante la utilización de un kit de detección para antibióticos, las muestras fueron analizadas 2 veces cada mes, por 3 meses, se procesó las imágenes con técnica fotogramétricas y estadísticas para cuantificar los antibióticos, de manera rápida y sencilla . Los resultados obtenidos son claros con un total del 41 de 78 muestras que representa el 52% de casos positivos con presencia de residuos de antibióticos betalactámicos y sulfamidas en los afluentes de los ríos San Pedro y Pita.
Palabras clave: Antibióticos, contaminantes emergentes, ambiente, betalactámicos, sulfamidas.
Abstract: The activities carried out in daily living, such as personal hygiene and health care, they may cause negative effects on the ecosystem, generating alterations on the environment given that consumed several substances of different origin and chemical composition, these substances are relatively little known regarding the impact that will have on the environment and human substances that are recognized under the name of polluting emerging. This experimental study was developed in the parishes of Uyumbicho, Amaguaña, two towns located 1 km from the shore of the San Pedro river and the parish of Sangolqui near the Pita river, assessed the likely existence of residues of beta-lactam antibiotics and sulphonamides at the 13 sampling points distributed in the following manner: 9 in the San Pedro river and 4 in the Pita river 6 samples of water, were taken to be analyzed using a kit of detection for antibiotics samples were tested 2 times every month, for 3 months, antibiotics were estimated by photogrammetric and statistical analysis. The results are clear with a total of 41 of 78 samples representing 52% of positive cases with the presence of residues of beta-lactam antibiotics and sulfonamides in the tributaries of the rivers San Pedro and Pita.
Keywords: Antibiotics, contaminants emerging, environment, beta-lactams, sulfonamides.
Forma sugerida de citar:
Ramírez C., L. J., Chicaiza Ramírez, S. E., Ramos López, A. D. y Álvarez, C. I. (2019). Detección de antibióticos betalactámicos, tetraciclinas y sulfamidas como contaminantes emergentes en los ríos San Pedro y Pita del cantón Rumiñahui. La Granja: Revista de Ciencias de la Vida. Vol. 30(2):88-102. http://doi.org/10.17163/lgr.n30.2019.08.
1. Introducción
El deterioro en el medio ambiente es provocado por el aumento acelerado de la población, esto conlleva el aumento de producción, en actividades industriales, farmacéuticas, agrícolas debido a que las aguas que cada actividad genera son vertidas directamente a los cuerpos de agua, estas aguas no se tratan previamente, consecuentemente no se puede mitigar el impacto que se está generando sobre los cuerpos de agua (Elena, Ramírez and Gutiérrez, 2017; Ramirez-Cando, Guerra and Reinoso, 2017).
El anuncio del primer antibiótico sulfamídico en 1935 inició la era moderna de la terapéutica antimicrobiana, caracterizada por una enorme disminución de la morbilidad y de la mortalidad para muchas enfermedades infecciosas (Gimeno 2001; Reig and Toldrá 2008). Dentro de este grupo de contaminantes, se encuentran los productos farmacéuticos y los subproductos si bien no son considerados como sustancias persistentes, su frecuente utilización y desecho los hace estar presentes en nuestro entorno. Por consiguiente, los antibióticos forman parte de los agentes farmacológicos utilizados de forma reiterativa, y en otros casos usados sin ningún tipo de control, como suplemento alimenticio o para tratar enfermedades en animales, siendo administrados en numerosas ocasiones de forma insensata y en dosis inadecuadas (Talero, Medina, and Rozo 2014).
El derecho de todo ciudadano a vivir en un ambiente sano y ecológicamente equilibrado, libre de contaminación (CIJUL 2013; Mátyás et al. 2018; Ramirez-Cando, Guerra, and Reinoso 2017), es la base para realizar el proyecto de detección de antibióticos y derivados de los mismos, como contaminantes emergentes en la cuenca de los ríos Pita y San Pedro, para de esta manera generar ideas para el tratamiento posterior necesario para la descontaminación de los ríos. El fin de este trabajo es identificar, analizar, detectar y cuantificar los tipos de antibióticos y sus derivados que se encuentren presentes en los ríos San Pedro y Pita considerados como contaminantes emergentes, de esta manera, poder generar datos que nos faciliten analizar el comportamiento de estos antibióticos y determinar además niveles de afección tanto a la salud humana como al entorno en sí, analizaremos este proceso mediante muestreos in situ y procesos controlados en un laboratorio, para un análisis posterior a los resultados y tener una idea clara del efecto de los antibióticos en el medio ambiente. Una de las características importantes que posee este grupo de contaminantes para causar un efecto negativo en la naturaleza, es que no necesariamente requieren ser persistentes, ya que, si bien existen sistemas que los pueden remover o transformar en compuestos más simples o subcompuesto, su continuo consumo y por ende el desecho que generado conlleva a la presencia permanente en el medio ambiente. (Barceló 2003; Guevara and Ramirez-Cando 2015; Ramírez-Cando et al. 2017). En los ríos San Pedro y Pita se estudian y analizan específicamente los siguientes contaminantes emergentes (antibióticos): Betalactamicos, Tetraciclinas, Sulfamidas (Barceló 2003).
Los antibióticos son sustancias originados de distintos tipos de especies de microorganismos, como bacterias, hongos o actinomicetos, incluyendo ciertas especies de insectos y plantas; los cuales logran intervenir en el desarrollo de otros microorganismos e incluso pueden llegar a eliminarlos (Volfredo 2010), están constituidos por moléculas orgánicas, lo que nos revela que su mecanismo de degradación al cual está expuesto en el medio ambiente son igual a cualquier compuesto orgánico, pero con la diferencia que todas las reacciones que se llevan a cabo se realizan aun cuando las concentraciones de estos compuestos estén muy diluidas (Henríquez-Villa 2012). Se tiene que el tiempo estimado para la biodegradación de los antibióticos en el medio ambiente es de meses o años, dependiendo de las condiciones en las que se encuentre: cantidad de oxígeno, la disponibilidad de luz, el suministro de agua (Ferrer and Thurman 2012; Alvarez-Mendoza, Teodoro, and Ramirez-Cando 2019). Considerando lo expuesto, la detección y cuantificación de dichos compuestos en cuerpos de agua se convierte cada día en una necesidad para la toma de decisiones y regulaciones al respecto.
2. Materiales y Métodos
2.1 Área de Estudio
Detección de antibióticos en aguas de los ríos san pedro y pita, ubicados en la provincia de Pichincha, en parroquias como Uyumbicho en el cantón Mejía y Amaguaña y Sangolquí en el cantón Rumiñahui, por las cuales atraviesan los ríos en estudio como se ve en la Figura 1.

Uyumbicho
La parroquia de Uyumbicho ubicada al norte del cantón Mejía a 23 Km del centro de la ciudad de Quito, y a 1 Km de la orilla izquierda del río San Pedro. Entre los 2600 y los 4600 m.s.n.m., posee un clima templado húmedo, con una temperatura promedio de 12 ºC a 27 ºC. (Gobierno Autónomo Descentralizado Parroquial rural de Uyumbicho 2014 - 2019 2015).
AMAGUAÑA
La parroquia de Amaguaña pertenece al Distrito Metropolitano de Quito ubicada al norte del Cantón Mejía, y el río San Pedro atraviesa la parroquia. Entre los 1740 y los 4120 m.s.n.m., posee un clima templado con una temperatura promedio de 17 ºC y 18 ºC. (Amaguaña 2013).
SANGOLQUI
La parroquia de Sangolquí está ubicada en el valle de los chillos, es la capital del cantón Rumiñahui y forma parte de la hoya de Guayllabamba y se encuentra a 1 Km de la orilla derecha del Rio Pita. Entre los 2415 y los 2512 m.s.n.m., posee un clima templado, con una temperatura promedio de 16 ºC y 23 ºC. (Gobierno Autónomo Descentralizado del Cantón Rumiñahui 2014).
2.2 Obtención de la muestra
En este proceso utilizamos un equipo especializado para georreferenciar los puntos de muestreo, este equipo se denomina GPS, nos sirve para poder ubicar en un mapa, los puntos de referencia para cada uno de los ríos, es así que se pudo obtener las coordenadas y mapas de ubicación para los puntos de muestreo del río Pita y San Pedro:
Se tomaron un total de 13 muestras, 9 muestras en el río San Pedro y 4 muestras en el río Pita, tomando 1 litro de cada una de las muestras para su posterior uso y análisis, esto realizado con la ayuda de equipos como el pH-metro (FiveGoTM, Metter Toledo) y un kit (AuroFlowTM BTS Combo Strip Test Kit” de marca BIOO Scientific).
2.3 Análisis en campo
El trabajo de campo se realizó, siguiendo los pasos tanto para la recolección de las muestras según la NTE INEN 2117:2013 sobre el agua, calidad del agua, muestreo manejo y conservación de muestras (NTE INEM 2117 2013); como para el análisis de dichas muestras a través del kit “AuroFlowTM BTS Combo Strip Test Kit” de marca BIOO Scientific (Scientific 2018), que es un kit de análisis e identificación de antibióticos. Para cada punto de muestreo se realizó la medición de pH, conductividad y temperatura con el pH-metro el instrumento portátil pH-metro FiveGoTM sirve para la medición de pH, conductividad (mS) y temperatura (°C), este equipo cumple con las normativas de seguridad reconocidas (Toledo 2017) y, la identificación de antibióticos con las tiras de lectura para la comparación de resultados con la guía del kit AuroFlowTM, los informes de validación están disponibles y muestran la eficacia de las pruebas tanto a temperatura ambiente como en otras condiciones (Scientific 2018),el protocolo o proceso rápido y simplificado del uso del kit se puede ver a continuación:
Agregue 200 uL de agua fría al recipiente de reacción y mezcle pipeteando hacia arriba y hacia abajo 10 veces.
Incubar la mezcla durante 3 minutos a temperatura ambiente.
Agregue la varilla o tira medidora al recipiente de reacción.
Incubar la mezcla durante 4 minutos a temperatura ambiente.
Interpretar visualmente el resultado usando el diagrama, o usa el lector.
2.4 Análisis de laboratorio
Las muestras fueron almacenadas y refrigeradas durante una semana, como primer paso se preparan materiales para la elaboración del medio de cultivo, para nuestro proyecto se ocupó Agar nutritivo, tanto el MacConkey como el PCA (ambos de marca DIFCO BBL Microbiology, en presentación de 500 gramos), que son medios universales para la determinación de microorganismos y bastante útiles para la identificación de UFC (Unidades formadoras de colonias), se preparó 500 ml de cada tipo de agar siguiendo los procedimientos de preparación.
2.4.1 Preparación del Agar
La preparación del medio de cultivo consiste en pesar la cantidad deseada del mismo y disolverla en agua destilada siguiendo las instrucciones del fabricante según la etiqueta proporcionada en el envase del producto. Esta mezcla después de ser preparada se esteriliza en el autoclave, una vez finalizada la esterilización, los medios se dejarán enfriar a temperatura ambiente, evitando su solidificación, ya que estos medios deben verterse en las cajas Petri para la siembra de las muestras, para que arrojen los resultados correspondientes para cada una de las mismas.
2.4.2 Preparación de las muestras para siembra
Una vez esterilizados los materiales: cajas Petri, pipetas y tubos de ensayo; se toman las cajas Petri, y se vierte el medio fundido y estéril dentro de ellas, en un ambiente aséptico, lo recomendable es que esté en la proximidad de la llama de un mechero Bunsen, aproximadamente en un radio de 20 a 30 cm dependiendo la intensidad y el color de la flama. (APHA 1970) o Agar PCA (Plate count agar). Se sacan las muestras de la refrigeración y se las mantiene en condiciones ambientales para que se acondicionen a la temperatura normal, una vez acondicionadas estas muestras se tomó 1 ml. de cada una de las botellas para la respectiva siembra, una vez colocada la alícuota se vierte el agar en cada una de las cajas Petri, considerando que para el proceso se realizaron diluciones 10-1 y 10-2 que ayudaran a reducir la concentración de microorganismos. (APHA 1970) o Agar PCA. Después de colocar determinada cantidad de muestra, se seleccionó el agar MacConkey y PCA para cada dilución y se la vierte en cada caja Petri, ocupando una técnica de siembra de cultivos denominada “caja pobre”, en la cual se coloca un mililitro de cada una de las diluciones en cada una de las cajas Petri etiquetadas, este mililitro se lo esparce en toda la caja después de esto, en un ambiente estéril, se vierte el agar con una temperatura máxima de 40°C. Se realizó el proceso utilizando 26 cajas Petri; 13 cajas para las muestras en agar MacConkey y 13 cajas para PCA, para comprobar la funcionalidad del proceso con cada uno de los medios a partir de eso usamos 28 cajas Petri, contando con un blanco para diferenciar las demás muestras. Una vez preparadas y finalizado el proceso de siembra, las cajas Petri son ingresadas a una incubadora la cual se mantiene en una temperatura definida de 37 °C, se las conserva en un tiempo aproximado de 48 horas para que el crecimiento sea óptimo en ambos tipos de agar. Estándar (APHA 1970) o Agar PCA.
2.5 Preparación de las Curvas de Calibración
Para las curvas de calibración, comenzamos nuestro análisis considerando el blanco que hace referencia a agua sin presencia de antibióticos.
2.5.1 Elaboración de Curvas de Calibración
La curva de calibración se mide en función de la concentración de un analito. La calibración incluye la selección de un modelo para valorar parámetros que permitan comprobar la linealidad de esa curva y, como resultado, la capacidad de un método analítico para obtener resultados que sean proporcionales a la concentración de un compuesto en dicha muestra, dentro de un determinado intervalo de trabajo. En el procedimiento se compara una propiedad del analito con la de estándares de concentración conocida del mismo analito (o de algún otro con propiedades muy similares a éste) (Dosal & Villanueva, 2008). La fase de calibración analítica se realiza mediante un modelo de línea recta radica en hallar la recta de calibrado que mejor se ajuste a una cantidad de “n” puntos experimentales, donde cada punto se encuentra definido por una variable “x” (variable independiente, generalmente concentración del analito de interés) y una variable “y” (variable dependiente, generalmente respuesta instrumental). La recta de calibrado se encuentra definida por una ordenada al origen (b) y una pendiente (m), mediante la ecuación y = mx + b o cualquiera de sus formas linealizadas (Dosal & Villanueva, 2008).
2.5.2 Preparación de la curva de calibración.
El blanco nos servirá para comparar con los demás resultados y para esto se necesitó muestras puras tanto para β-lactámicos como para sulfamidas. Se tomó un gramo de cada uno, en este proceso se formaron 6 muestras de cada antibiótico, un blanco (concentración 0) y una solución patrón de 1g de antibiótico por cada 100 mL, de aquí se partió para preparar 5 diluciones: 10-1, 10-2, 10-3, 10-4 y 10-5, para evaluar y reconocer las diferentes concentraciones todo este proceso con ayuda del kit AuroFlowTM. Se empleó una técnica de análisis de imágenes raster que nos proporciona el programa informático R Studio (RStudio 2016), mediante el cual se puede relacionar las bandas con la cantidad de antibiótico existente, las bandas usadas son: Roja, Verde y Azul, en inglés RGB (Red-Green-Blue). Se debe considerar para dicha evaluación tomar imágenes precisas de las tiras de medición del kit, a una misma distancia (altura), a una exposición de luz igual para todas las tiras y evitando las sombras en las mismas, ya que cualquier tipo de error dentro de este proceso, altera significativamente el valor de las bandas al pasar por el análisis informático (Alvarez-Mendoza et al. 2018). Una vez tomadas las imágenes correspondientes al blanco se analizan todas las tiras obtenidas de la toma de muestras que son 78 tiras de esta forma se realiza la curva de calibración (conjunto de concentraciones que describen el intervalo en el cual se deberá cuantificar el compuesto por analizar) y a fin de asegurar que la recta encontrada con los puntos experimentales se ajuste correctamente al modelo matemático de la ecuación, se calculan los valores de la ordenada al origen, la pendiente y el coeficiente de determinación (R2) y el análisis de residuos del modelo (Dosal and Villanueva 2008).
3. Resultados
3.1 Campo y muestreo
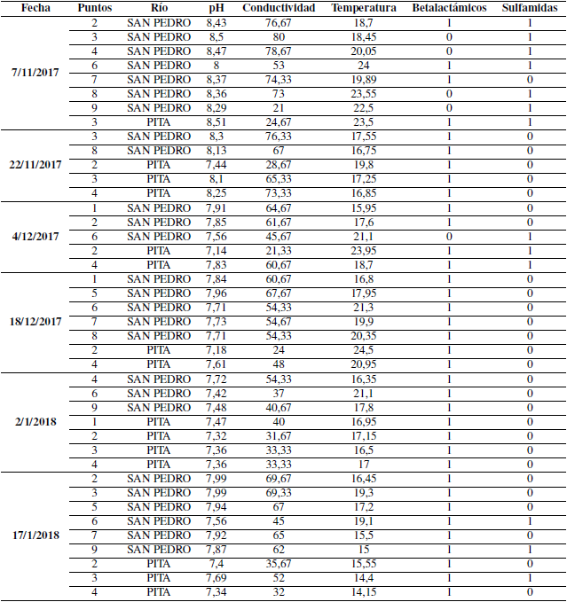
Los resultados obtenidos a lo largo de los muestreos correspondientes, para las fechas indicadas, a la información recolectada en la tabla 1 para la ubicación geográfica.

La información levantada a partir de la distribución espacial de los puntos de muestreo es indicando por las variables de estado como pH, temperatura y conductividad, además de indicar la presencia de antibióticos en las diferentes muestras (tabla 2):

Evidenciándose en la Tabla 2 que, la presencia de antibióticos con base de betalactámicos es mayor que la presencia de antibióticos con base de sulfamidas en una relación de al menos 2:1; los valores de pH se mantienen en un rango de 7,14 a 8,51, la temperatura se mantiene entre 14,15°C a 26,45 °C y la conductividad en un rango de 13,67 mS a 82,00 mS.
3.2 Pruebas microbiológicas
Una vez obtenidas las muestras y la presencia o no de antibióticos en las mismas, de la siembra de estas muestras en medios de cultivos, tanto Agar MacConkey y Agar PCA, por métodos ya especificados anteriormente, se obtuvieron los siguientes resultados, tomando en cuenta que se realizaron diluciones para todas las muestras, debido a que se debía reducir la concentración de microorganismos para poder identificar las colonias posteriormente, contando además que sólo se presentan las muestras positivas, presentando únicamente el valor de las UFC (Unidades formadoras de colonias) una vez utilizado el respectivo factor de conversión, se agrega también que se eliminó el dato del primer muestreo debido a que su concentración arrojaba resultados incontables, como se observa en la Tabla 3:

3.3 Curvas de Calibración
En el proceso también se consideró al blanco, gracias a las tiras indicadoras de presencia de antibióticos, la cual nos permitió determinar mediante programación y detección de bandas correspondientes a los colores rojos, verde y azul, las curvas de calibración que nos ayudarían a estimar la concentración de cada antibiótico hallado, en este caso de betalactámicos y sulfamidas, dando como resultado las siguientes tablas:
Para Betalactámicos:

Para Sulfamidas:

Determinando de esta manera que para el cálculo de antibióticos con base de betalactámicos se ocupará la banda roja (Tabla 4), ya que esta presenta una correlacion que satisface el proceso, mientras que, para las muestras de antibióticos con base de sulfamida, se ocupará la banda verde (Tabla 5). Con estos datos se programó y diseñaron las respectivas curvas de calibración, que posteriormente nos servirán para el cálculo de concentraciones de antibióticos de cada muestra, así:

Con su respectiva ecuación:
Considerando que valores de “R2” mayores a 0,9 o lo más cercano a 1, son valores acogidos como válidos (Cristina and Lorenzo 2005).

Con su respectiva ecuación:
Considerando el análisis de residuos donde se observó su distribución normal y cumpliendo con la condición homocesticidad (prueba de White) se continuo con el cálculo de las concentraciones de antibióticos gracias a las ecuaciones elaboradas a partir de la Figura 2 y Figura 3, con sus respectivos valores de R2 más cercanos a la veracidad (Olea 2016), para cada muestra de la misma manera en que se realizó con la muestra blanco, eliminado de igual manera los resultados negativos, presentando así la Tabla 6 como resultado del cálculo.

Tomar en cuenta que son 13 muestras en total a lo largo de los ríos en estudio, estos resultados servirán de gran ayuda para su análisis posterior en mapas ilustrativos de la situación de los antibióticos y la relación de estas concentraciones con otras variables consideradas dentro del estudio.
3.4 Mapas de Estudio de Resultados
Con los datos calculados anteriormente podemos desarrollar mapas q nos ayudarían a entender la ubicación de los puntos y sus determinadas características tanto como valoración de los mismos e incluso se presenta la dispersión de los antibióticos alrededor de la zona de estudio, quedando de esta manera:

Por lo tanto, a partir de la Figura 4, dichos gráficos ayudan a determinar: la variación de pH en la zona va desde el valor de 7,14 a 8,51 considerando que el agua de los ríos se mantiene en un nivel neutro a básico, la conductividad se estimó en un rango de 13,67 mS a 82,00 mS, teniendo valores más altos en sectores aledaños al río Pita, con respecto a la temperatura se tiene una variación entre 14,15°C y 26,45°C. Con respecto a los antibióticos encontrados, hablando de los betalactámicos, este tiene mayor concentración en los puntos 7 del río San Pedro y 4 del río Pita, con valores de concentraciones entre y . Mientras que en lo referente a las sulfamidas se consideró que el punto más alto de concentración del mismo fue el punto 3 del río Pita, con valores entre y
4. Discusión
Una vez analizados los resultados de cada uno de los ríos notamos, que en relación a condiciones ambientales como el pH y la temperatura; ambos ríos presentaron condiciones similares, a pesar de que, con la conductividad hay una diferencia de 26,03 mS, siendo mayor la conductividad del río Pita. Los resultados demostraron que existen antibióticos en el agua de los ríos San Pedro y Pita, los resultados obtenidos son similares a los valores de 36,5 y 50%, reportados por otros investigadores en la detección de betalactámicos en leche cruda y pasteurizada (Khaskheli, Malik, Arain, Soomro, & Arain, 2008) relacionada con la cercanía de estas industrias a la zona de muestreo. La presencia de industrias aledañas a los ríos, que tienen como efluente el cauce del río, contribuyen a la contaminación de los ríos, además de que existen zonas en las que hay actividad agrícola y demás actividades agroindustriales, sin despreciar la existencia de efluentes domésticos y como una importante fracción de fármacos que son consumidos en grandes cantidades y variedad luego de su ingesta se excretan por el individuo a través de orina y heces, ingresando de manera continua a las aguas residuales (Elorriaga, Carriquiriborde, & Ronco, 2012). Estudios sobre el consumo de fármacos en los países de la UE, cifra estos antibióticos en toneladas por año, y muchos de los más usados, entre ellos los antibióticos, se emplean en cantidades similares a las de los pesticidas (L. D. Barceló & López, 2012; Jones, Voulvoulis, & Lester, 2010). Entre los fármacos más usados u ocupados en medicina, destacan los antibióticos, como la amoxicilina y el sulfametoxazol, y entre los antibióticos con mayor reporte en los cuerpos de agua están las tetraciclinas (Dang, Zhang, Song, Chang, & Yang, 2007), como se han identificado también, omitiendo el hecho que no hubo presencia de tetraciclinas en los muestreos del estudio realizado. A partir del análisis de varianza y las curvas de calibración, se comprueba que los resultados obtenidos señalan que el porcentaje de recuperación, es de un 96%. El coeficiente de correlación (R2) de la curva de calibrado es 0,9946 y el coeficiente de variación 1,86% (Aguilera, Herrera, and Ponce 2010). Para nuestro caso, fue un valor del coeficiente de correlación (R2) de la curva de calibrado entre 0,9484 y 0,9648 valores cercanos para el método aplicado, donde se considera que para valores superiores a 0,95 son aceptables para el análisis. Para la mayoría de las pruebas con microorganismos sensibles, el betalactámico se comporta como bactericida porque la concentración bactericida mínima (CBM), o la concentración mínima de antimicrobiano elimino el 99,9% de los microorganismos viables (Taroco, Seija, and Vignoli 2008). Esto también se ha discutido con respecto a valores máximas de concentraciones de los antibióticos presentes en aguas residuales en estudios realizados en Estados Unidos, para el caso de los betalactámicos se verificó el valor de la amoxicilina, la cual se encontró en un valor de 150 ug/l y para las sulfamidas como muestra la sulfametoxazol con una máxima concentración de alrededor de 2,8 ug/l (Kim and Aga 2007; Kim et al. 2007; Morse and Jackson 2003). Mientras que el análisis del agua del río Sena en Francia, debido a que analizan los antibióticos en estudio y a su relación con las actividades humanas como agricultura e industrial se tomó en cuenta para la comparación, presentando antibióticos en concentraciones que alcanzan 544 ng/l. En condiciones de pH de 7 y temperatura de 4°C (Tamtam et al. 2008). Valores que para la comparación con nuestro estudio serían de: mg/L de betalactámicos y mg/L y, los valores de los resultados de los muestreos son de: mg/L de betalactámicos y mg/L de sulfamidas, cuya diferencia se debe a la cantidad de la muestra tomada ya que en el estudio de Estados Unidos se tomó una muestra de 0.1 mL (Morse and Jackson 2003; Kim et al. 2007), mientras que para nuestra investigación se ocupó 1 ml de muestra. No existe un ensayo estandarizado para evaluar la susceptibilidad o resistencia de las bacterias del medio ambiente (Esiobu, Armenta, & Ike, 2013).
5. Conclusiones
El estudio realizado en las parroquias de Uyumbicho – Amaguaña – Sangolquí, nos indica que existe un problema de contaminación por materia orgánica y otros desechos, especialmente en las zonas donde existen centros poblados como Amaguaña, por donde el río San Pedro atraviesa la parroquia, al igual que en la Parroquia de Sangolquí que es atravesada por el río Pita, estos resultados se obtuvieron al analizar las siembras de microorganismos, que se realizaron en el laboratorio obteniendo la presencia de bacterias, que en su mayoría, solo se encuentra en la materia orgánica, debido a su crecimiento en los medios de cultivo que determinan dicha afirmación. Los casos positivos en las muestras con antibióticos se presentaron en mayor número a los derivados de betalactámicos, seguidos de sulfamidas y para las tetraciclinas no se presentó ningún resultado, despreciándose así los cálculos según los resultados que se obtuvieron del kit. En los tres meses de muestreo se recolectaron y se analizaron las muestras de agua de los ríos, en la que existió mayor presencia de casos positivos, fue en el mes de enero con una cantidad de 16 casos positivos del total de 41 casos positivos para los tres meses de muestreos, el cual representa el 39% de las muestras positivas.
Agradecimientos
Este proyecto es financiado por la Universidad Politécnica Salesiana (proyecto de investigación I89) con sede en Quito – Ecuador, sin este apoyo no hubiera sido posible llevar a buen fin el mismo,
Referencias
Aguilera, Cristian, Carlos Herrera, and Jorge Ponce. 2010. “Implementacion, Validacion y Aplicacion de Un Nuevo Metodo Para La Determinacion de Oxitetraciclina Por HPLC En Tejido Muscular de Salmonideos.” Latin American Journal of Aquatic Research 38 (2): 227–233. Online: https://bit.ly/2VkreSZ.
Alvarez-Mendoza, Cesar I., Ana Teodoro, and Lenin Ramirez-Cando. 2019. “Improving NDVI by Removing Cirrus Clouds with Optical Remote Sensing Data from Landsat-8 – A Case Study in Quito, Ecuador.” Remote Sensing Applications: Society and Environment 13 (October 2018). Elsevier B.V.: 257–74.Online: https://bit.ly/2MeMY2i
Alvarez-Mendoza, Cesar I, Ana Teodoro, Nelly Torres, Valeria Vivanco, and Lenin Ramirez-Cando. 2018. “Comparison of Satellite Remote Sensing Data in the Retrieve of PM10 Air Pollutant over Quito, Ecuador.” In Remote Sensing Technologies and Applications in Urban Environments III. Online: https://bit.ly/2IDCIzB
Amaguaña, GAD. 2013. “ACTUALIZACIÓN DEL PLAN DE DESARROLLO Y ORDENAMIENTO TERRITORIAL GAD PARROQUIAL DE AMAGUAÑA – D.M.Q” 1: 2015.
APHA. 1970. “Standard Methods for the Examination of Dairy Products.” 15th ed. APHA. (1985); ISO 4833:2003.
Arcgis, ESRI. 2016. “ARCGIS-ARCMAP 10.3.”
Barceló, D. 2003. “Emerging Pollutants in Water Analysis.” Trends in Analytical Chemistry Vol 22 N°: XIV–XVI. Online: https://bit.ly/2XtDfY7
CIJUL. 2013. “EL DERECHO A UN AMBIENTE SANO Y ECOLÓGICAMENTE EQUILIBRADO COMO DERECHO HUMANO DE TERCERA,” Centro de informacion en linea. 1–44.
Cristina, Escorial-maría, and San Lorenzo. 2005. “Errores Frecuentes En La Interpretación Del Coeficiente de Determinación Lineal.” Anuario Jurídico y Económico Escurialense, X X X V I I I (2005) 315-332 / I S S N: 11 3 3 - 3 6 7 7.
Dosal, María A., and Marcos Villanueva. 2008. “INTRODUCCIÓN A LA METROLOGÍA QUÍMICA:Curvas de Calibración En Los Métodos Analíticos.” Antología De Química Analítica Experimental, 18–25.
Elena, Ana, Narro Ramírez, and Alfonso García Gutiérrez. n.d. “Las Matemáticas Limpian El Agua.”
Ferrer, Imma, and E. Michael Thurman. 2012. “Analysis of 100 Pharmaceuticals and Their Degradates in Water Samples by Liquid Chromatography/Quadrupole Time-of-Flight Mass Spectrometry.” Journal of Chromatography A 1259. Elsevier B.V.: 148–57. Online: https://bit.ly/2TctxdF
Gimeno, Emilio. 2001. “La Resistencia Bacteriana Transmitida Al Hombre a Través de Los Alimentos y El Uso Responsable de Los Antimicrobianos Como Moduladores de Crecimiento,” 64.
Gobierno Autónomo Descentralizado del Cantón Rumiñahui. 2014. “Plan De Desarrollo Y Ordenamiento Territorial de Rumiñahui,” 142.
Gobierno Autónomo Descentralizado Parroquial rural de Uyumbicho 2014 - 2019. 2015. “Actualización Del Plan Del Desarrollo y Ordenamiento Territorial de La Parroquia Rural de Uyumbicho 2015 - 2019.”
Guevara, Maria F, and Lenin Javier Ramirez-Cando. 2015. “Eichhornia Crassipes, ITS INVASIVENESS AND PHYTOREMEDIATION POTENTIAL.” La Granja 22 (1): 18–25. Online: https://bit.ly/2NALSMc
Henríquez-Villa, D. 2012. “Presencia de Contaminantes Emergentes En Aguas y Su Impacto En El Ecosistema. Productos Farmacéuticos En La Cuenca Del Río Biobío, Región Del Biobío, Chile,” 138. Online: https://bit.ly/2Epn6vu
Kim, Sungpyo, and Diana S. Aga. 2007. “Potential Ecological and Human Health Impacts of Antibiotics and Antibiotic-Resistant Bacteria from Wastewater Treatment Plants.” Journal of Toxicology and Environmental Health - Part B: Critical Reviews 10 (8): 559–73. Online: https://bit.ly/2tEjQ99
Kim, Sungpyo, James N. Jensen, Diana S. Aga, and A. Scott Weber. 2007. “Tetracycline as a Selector for Resistant Bacteria in Activated Sludge.” Chemosphere 66 (9): 1643–51. Online: https://bit.ly/2SvQ2pb
Martínez Rodríguez, Elena (2005). «Errores frecuen-tes en la interpretación del coeficiente de deter-minación lineal». En: Anuario jurídico y económico escurialense 38, 315-331. Online:https : / / bit . ly /2IFLiOq.
Mátyás, B., M.E. Chiluisa Andrade, N.C. Yandun Chida, C.M. Taipe Velasco, D.E. Gavilanes Morales, G.N. Miño Montero, L.J. Ramirez Cando, and R.X. Lizano Acevedo. 2018. “Comparing Organic versus Conventional Soil Management on Soil Respiration.” F1000Research 7. Online: https://bit.ly/2IGwLBR
Morse, Audra, and Andrew Jackson. 2003. “Fate of a Representative Pharmaceutical in the Environment,” 35p. Online: https://bit.ly/2Nu7hq4
NTE INEM 2117. 2013. “NORMA TÉCNICA ECUATORIANA NTE INEN 266 : 2013 Primera Revisión” First Edit: 7–12.
Olea, Fátima. 2016. “Técnicas Estadísticas Aplicadas En Nutrición y Salud.”
Ramirez-Cando, Lenin Javier, Santiago Guerra, and Gabriela Reinoso. 2017. “IN VITRO EVALUATION OF LEAD REMOVAL IN WASTEWATER BY Photobacterium Damselae.” La Granja 26 (2): 64. Online: https://bit.ly/2HbBvxh
Ramírez-Cando, Lenin Javier, Spugnoli Paolo, Matteo Roberto, Bagatta Manuela, Tavarini Silvia, Foschi Lara, and Luca Lazzeri. 2017. “Environmental Assessment of Flax Straw Production for Non-Wood Pulp Mills.” Chemical Engineering Transactions 58 (July). https://bit.ly/2T7EUo1
Reig, RM, and F Toldrá. 2008. “Veterinary Drug Residues in Meat: Concerns and Rapid Methods for Detection.” Meat Science 78: 60–67. Online: https://bit.ly/2IGBmE7
RStudio. 2016. “RStudio Version 1.0.143.” Mozilla/5.0 (Windows NT 6.2; WOW64) AppleWebKit/538.1 (KHTML, like Gecko) Rstudio Safari/538.1 Qt/5.4.1.
Rumiñahui, GAD. (2014).Plan De Desarrollo Y Or-denamiento Territorial de Rumiñahui. Inf. téc. Go-bierno Autónomo Descentralizado del Cantón Rumiñahui
Scientific, BIOO. 2018. “Pruebas de Tira de AuroFlowTM.” . PerkinElmer Company. © Copyright 2018 Bioo Scientific Corporation. 7050 Burleson Road, Austin TX, 78744 | 1-888-208-2246.
Talero, Verónica, Oscar Medina, and Wilson Rozo. 2014. “Técnicas Analíticas Contemporáneas Para La Identificación de Residuos de Sulfonamidas, Quinolonas y Cloranfenicol.” Universitas Scientiarum 19 (1): 11–28. Online: https://bit.ly/2IIuFl4
Tamtam, Fatima, Fabien Mercier, Barbara Le, Joëlle Eurin, Quoc Tuc, Michel Clément, Marc Chevreuil, et al. 2008. “Occurrence and Fate of Antibiotics in the Seine River in Various Hydrological Conditions” 93: 0–11. Online: https://bit.ly/2VtA7df
Taroco, R, V Seija, and R Vignoli. 2008. “Métodos de Estudio de La Sensibilidad Antibiótica.” Temas de Bacterología y Virología Médica 36 (Cim): 663–71.
Toledo, Metter. 2017. “SevenGo Duo TM PH / Conductivity Meter SG23.”
Uyumbicho, GAD. (2014). Actualización Del Plan Del Desarrollo y Ordenamiento Territorial de La Parro-quia Rural de Uyumbicho 2015 - 2019. Inf. téc. Go-bierno Autónomo Descentralizado Parroquialrural de Uyumbicho 2014 - 2019
Volfredo, J. 2010. “Los Antimicrobianos En La Práctica Médica.” Medicina Intensiva, 272.Online: https://bit.ly/2vNpl9I
Enlace alternativo
https://revistas.ups.edu.ec/index.php/granja/article/view/30.2019.08 (html)