ARTÍCULO CIENTÍFICO

Recepción: 11 Mayo 2020
Aprobación: 29 Octubre 2021
Publicación: 01 Septiembre 2022
DOI: https://doi.org/10.17163/lgr.n36.2022.08
Resumen: Uno de los principales factores de contaminación del aire dentro de las zonas urbanas es la quema de gasolina por parte de autos, camiones ligeros y motocicletas. La quema de gasolina libera gases contaminantes como el dióxido de nitrógeno, el dióxido de azufre, el monóxido de carbono y el benceno, entre otros. Entre ellos, el dióxido de nitrógeno (NOx) es el que destaca por la concienciación de la gente sobre dicha contaminación. En esta investigación se utilizó el Método de los Precios Hedónicos (MPH) para determinar la percepción de la gente sobre la calidad del aire como indicador y estimar el efecto de los gases en el mercado inmobiliario. Se seleccionaron dos zonas del Distrito Metropolitano de Quito para evaluar los efectos de la contaminación en los inmuebles. Una con mayor concentración de gases ubicada dentro del casco histórico de Quito, y la otra con mejor calidad de aire conocida como el sector Bellavista. Los resultados de los tres modelos diferentes indicaron que una reducción de 1 (µg/m3) de NOx aumentaría un promedio de 4,54% el valor del mercado inmobiliario, lo que representa un valor de USD 2.032.326,24 para las propiedades de la muestra. Una disminución de 5 (µg/m3) aumentaría en un 22,7% el valor de las propiedades.
Palabras clave: Gases de efecto invernadero, precio hedónico, valor de la vivienda, contaminación del aire, Quito.
Abstract: One of the main factors of air contamination within urban areas is burning gasoline by cars, light trucks and motorcycles. Gasoline burning liberates pollution gases such as Nitrogen dioxide, Sulfur dioxide, Carbon monoxide, benzene, besides others. Among these, Nitrogen dioxide (NOx) is the one that stands out for the people’s awareness of such contamination. We used the Hedonic Price Method (HPM) in order to determine people’s perception of air quality as a proxy and estimate the effect of gases on the housing market. We selected two areas of Quito Metropolitan District in order to evaluate contamination effects on properties. One with a higher concentration of gases located within the historic district of Quito. The other with better air quality called the Bellavista district. The results of three different models indicated that a reduction of 1 (µg/m3) of NOx would increase an average of 4.54% of the housing market value, which it represents 2,032,326.24 USD in value for sample properties. A decrease of 5 µg/m3 will increase in 22.7% of properties value.
Keywords: Greenhouse gases, hedonic price, housing value, air contamination, Quito.
Forma sugerida de citar:
Cornejo-Vásconez, D., Rodríguez-Espinosa, F., Guasumba, A., y Toulkeridis, T. (2022). Efectos contrastivos de la evaluación de la contaminación ambiental en dos zonas del Distrito Metropolitano de Quito, Ecuador. La Granja: Revista de Ciencias de la Vida. Vol. 36(2):98-112. http://doi.org/10.17163/lgr.n36.2022.08
1 Introducción
El aire limpio se considera uno de los requisitos básicos para la salud y el bienestar de los seres humanos (World Health Organization, 2016). La pureza o contaminación del aire puede determinar diferentes problemas sociales y económicos (Panayotou, 2016; Gulia y col., 2015; Victor, 2017). Es posible estimar los daños físicos por medio de los análisis de los impactos de visibilidad, los impactos de lluvia ácida, los daños a los cultivos y a la vegetación, los impactos del valor de los inmuebles, los impactos de corrosión y suciedad, los efectos de recreación y los efectos sobre la salud. De igual forma, la mala calidad del aire se asocia con la incidencia de enfermedades a corto y largo plazo, en especial del sistema respiratorio y neurológico, como han señalado varios autores como Zivin y Shrader (2016), Calderón-Garcidueñas y col. (2016) y Perera (2017).
La Organización Mundial de la Salud (OMS) estimó que, en 2014, el 82% de la población de los países en desarrollo podría estar sujeta a niveles que tienden a superar las normas mínimas de calidad estipuladas en sus directrices sobre la calidad del aire (World Health Organization, 2006; World Health Organization, 2016). Este problema es más significativo en las grandes ciudades de todos los continentes (Smith y Huang, 1993; Bayer, Keohane y Timmins, 2009; Kennedy, Cuddihy y Engel-Yan, 2007). Sin embargo, es difícil evaluar el impacto de la contaminación atmosférica en la salud. Varios estudios han utilizado el valor de una vida estadística (VVE) como método para estimar la reducción marginal en el riesgo de muerte prematura (Sanchez Martinez y col., 2018; World Bank, 2016; Franchini y Mannucci, 2015; World Health Organization, 2016). Sin embargo, estos estudios requirieron datos completos de muertes prematuras para estimar el coste potencial. El presente estudio no ha tomado en cuenta los efectos de la contaminación sobre la salud debido a la falta de acceso de la información sobre muertes prematuras, ya que dicha información se limita a los centros de salud y a las oficinas gubernamentales de salud que no la facilitan.
En cambio, en la investigación se estimó el impacto de los daños físicos en el valor de los inmuebles. Diferentes investigaciones han demostrado que este impacto también afecta el precio de los hogares, menoscabando el valor del patrimonio privado de los ciudadanos (Bajari, Fruehwirth y Timmins, 2012; Cebula, 2009; Neupane y Gustavson, 2008; Égert y Mihaljek, 2007; Chau y col., 2006; Kiel, 2006; Jackson, 2001; Harrison Jr. y Rubinfeld, 1978; Rodriguez y col., 2017). Estas investigaciones se han basado en el estudio clásico de Rosen (1974), quien desarrolló la base teórica del modelo hedónico, y los estudios de Freeman III (1974), así como de Harrison Jr. y Rubinfeld (1978), quienes realizaron estudios empíricos de la teoría. Estas investigaciones determinaron la demanda y los beneficios del aire limpio en las zonas urbanas. La contaminación atmosférica es un problema que se origina por las actividades antropogénicas y ha estado directamente relacionada con las diferentes actividades individuales y económicas de los ciudadanos (Toulkeridis y col., 2020). Esta preocupación surge dentro de los espacios urbanos abiertos según la intensidad de la quema de combustibles fósiles ya sea por la actividad industrial o por el uso de vehículos (World Health Organization, 2016). Por lo tanto, la reducción de la contaminación permite a los ciudadanos de cualquier ciudad respirar un aire menos contaminado (World Bank, 2016; World Health Organization, 2016) o mejorar el valor de una propiedad. Esto se convierte en un servicio medioambiental, cuya valoración monetaria se mejora como parte de las medidas de política adecuadas que protegen la salud y la situación económica a nivel del patrimonio. Adicionalmente, la calidad relativa del aire afecta la (des-) valorización de los bienes raíces debido a los niveles de contaminación de su ubicación (Del Giudice y col., 2017; Saaty y De Paola, 2017).
En este sentido, la contaminación representa un elemento negativo y el método hedónico de fijación de precios se adapta como una técnica que permite la valoración económica de la calidad del aire como servicio ambiental. En consecuencia, se busca inferir sobre la voluntad de pagar para recibir una mejor calidad del aire y su impacto en el mercado inmobiliario. El supuesto persigue que los individuos pagarán un precio más alto por una casa, apartamento u oficina, que puede estar ubicada en un área con menos contaminación ambiental, en comparación con una propiedad con características similares en un área con mayor contaminación (Harrison Jr. y Rubinfeld, 1978; Echegaray-Aveiga y col., 2020; Robayo, Llorca y Toulkeridis, 2020; Poma y col., 2021). Usando la metodología mencionada, el presente estudio puede estimar el valor económico de la calidad del aire en la ciudad de Quito, en el centro de Ecuador, contrastando los efectos de la contaminación del aire en dos áreas conocidas, tales como Bellavista y el Distrito Histórico. Este propósito se basará en su ubicación geográfica, contenido geomorfológico, acceso a vehículos y distribución de viviendas, lo que puede indicar diferentes niveles promedio de contaminación (Toulkeridis y col., 2016; Nugra y col., 2016; Guanochanga y col., 2018; Guanochanga y col., 2019; Fuertes y col., 2019; Borja-Urbano y col., 2021).
1.1 El estudio de caso de la ciudad de Quito
El Distrito Metropolitano de Quito (DMQ) es una gran ciudad con una altura considerable, donde aún no se ha llevado a cabo una evaluación de la situación de la calidad del aire (Figura 1). Hoy en día, la ciudad de Quito cuenta aproximadamente con tres millones de habitantes, siendo la más poblada del país. A pesar de ello, es la ciudad con mayor actividad industrial general del país, con un Valor Agregado Bruto (VAB) de USD 23,7 billones, según las Cuentas Regionales del Banco Central del Ecuador (BCE, 2015). Simultáneamente, la flota de vehículos ha crecido un 57% desde 2012, situando la ciudad por encima de la media nacional (INEC, 2016), aumentando la contaminación del aire en el DMQ.

Según el Informe de Calidad del Aire de la Secretaría de Medio Ambiente de Quito (SAQ) en el DMQ (SAQ, 2017), la principal fuente de contaminación del aire del DMQ es el transporte que utiliza combustible diésel y gasolina, agravado por la congestión vehicular causada por vehículos privados. Además, hay un impacto importante del uso de combustible pesado por plantas termoeléctricas y otras industrias en áreas específicas del DMQ. Tales actividades son responsables de la concentración de partículas contaminantes en el aire tales como óxidos de nitrógeno (NOx), monóxido de carbono (CO), dióxido de azufre (SO2) materia particulada (PM10), PM2,5, amoniaco (NH3) o benceno, entre otras, basadas en la Norma Ecuatoriana de Calidad del Aire (NECA). Según Baca (2014), la principal fuente de contaminación son las fuentes móviles, como los vehículos privados y el transporte público, la segunda fuente de contaminación atmosférica en el DMQ son las fuentes de contaminación de área, como las instalaciones de eliminación de residuos, y en menor grado las fuentes estacionarias.
La calidad del aire es considerada como un servicio ambiental de acuerdo a la Iniciativa de Economía de los Ecosistemas y la Biodiversidad (The Economics of Ecosystems and Biodiversity, 2013), y sus resultados de valoración económica o monetaria son esenciales para orientar a los políticos con el fin de mejorar la salud de los ciudadanos. Adicionalmente, el impacto de la calidad del aire en el valor de la propiedad inmobiliaria o la devaluación de una propiedad debido a los niveles de contaminación del aire como elemento negativo puede demostrar el valor económico de la calidad del aire. El método hedónico de precios permitió valorar el impacto de esta externalidad, estimando la voluntad de los compradores de pagar por una mejor calidad del aire a través del mercado de la vivienda. Se supone que los compradores pagarían un valor adicional por propiedades ubicadas en áreas con menos contaminación (Harrison Jr. y Rubinfeld, 1978).
El presente estudio busca estimar el valor económico de la calidad del aire en Quito contrastando el impacto de la contaminación en dos áreas, Bellavista y el Centro Histórico, que representan dos niveles diferentes de contaminación. La elección de estos dos sectores busca captar el efecto de la purificación del aire por los ecosistemas forestales cercanos. El barrio de Bellavista limita con el Parque Metropolitano de Quito, que es un parque recreativo arbolado, donde los grados de contaminación son relativamente bajos. El Centro Histórico de Quito representa algunas características espaciales tales como calles estrechas, flujo constante de tráfico y atascos de tráfico, flujo de transporte público cerca de áreas de establecimientos industriales además de otros contaminantes del aire, que permiten entender que los valores de contaminación ambiental exceden el promedio de la ciudad para esta área.
Gracias a la Red Metropolitana de Monitoreo Atmosférico de Quito (REMMAQ) que determina la calidad del aire de la ciudad, hemos podido cuantificar la calidad del aire de ambas áreas. La RENMAQ ha evaluado la calidad del aire desde 2003 con unas 39 estaciones en toda la zona urbana, los valles circundantes y a nivel regional y de calle (SAQ, 2017), y se espera que permita la transparencia sobre las tarifas asumidas por los ciudadanos de Quito en relación al precio de sus hogares. Por lo tanto, consideramos que los resultados del presente estudio pueden servir para presentar los beneficios que pueden representar para la ciudad y, específicamente, para el patrimonio de quiteños. Además, la adopción de medidas puede mejorar la calidad del aire y proteger el ecosistema que apoya su purificación.
La purificación del aire es un servicio ambiental ofrecido por los ecosistemas. Dentro de la clasificación de la Iniciativa de Economía de los Ecosistemas y Biodiversidad TEEB, que divide los bienes y servicios ambientales por categorías (suministro, regulación, apoyo vital y cultura), la calidad del aire se ha concebido como una regla de los servicios de regulación de los ecosistemas (The Economics of Ecosystems and Biodiversity, 2013). Mientras tanto, en Ecuador, la NECA define el aire contaminado como la presencia de sustancias en la atmósfera, resultantes de actividades humanas o procesos naturales presentes a una gran concentración, durante un tiempo extendido y en circunstancias que interfieren con el confort, la salud o el bienestar de los seres humanos o del medio ambiente (Ministerio del Ambiente del Ecuador, 2011). Para la NECA y el SAQ, las sustancias más representativas en la atmósfera son principalmente SO2, CO, NO2, O3 y benceno y en menor cantidad M10, PM2,5, cadmio y mercurio inorgánico. La revisión de los estudios preliminares sobre la evaluación de la calidad del aire indica un interés sobre la variable NO2 como indicador para la contaminación (Smith y Huang, 1993), mientras que otros sugieren que las variables de contaminación están fuertemente correlacionadas. Si este es el caso, entonces se recomienda utilizar NO2 como indicador, ya que está vinculado a la mayor contaminación visual, tal como los procesos de combustión (Harrison Jr. y Rubinfeld, 1978).
1.2 Método hedónico de fijación de precios
El método de precios hedónico (MPH) identifica el flujo de servicios ambientales como características que describen de una manera particular un bien del mercado, normalmente de bienes raíces (Hanley y Barbier, 2009). La validez teórica del método se ha basado en la teoría del valor del enfoque propuesto (Rosen, 1974; Lancaster, 1979), que indica que una unidad de bien o servicio (hi) dentro del grupo de bienes y servicios del mismo mercado se ha descrito por un vector de sus características, conocida como Z (Hanley y Barbier, 2009). En este sentido, el precio de esta unidad de bien o servicio (p(hi)) se puede entender como una función de las características. Formalmente, la relación se define de la siguiente manera:

Sobre la base de la definición propuesta del MPH, la práctica ha establecido que el valor de una casa perteneciente al conjunto de casas del universo de interés, depende de dos condiciones. La primera es un vector de características (número de habitaciones, metros cuadrado, barrio, criminalidad, etc.), mientras que la segunda es un vector de variables ambientales como la proximidad a los parques. Al diferenciar el precio por la cantidad de cualquier característica, el precio implícito se obtiene en términos relativos. El precio implícito documenta la disposición de pago de una persona debido a cierta cantidad o calidad de una de sus características (Hanley y Barbier, 2009).
Si se trata de identificar adecuadamente la magnitud del efecto del inmueble y el servicio ambiental en el precio de mercado de los bienes raíces, la teoría permite desglosar las características y mantener constantes todas aquellas, excepto la variable ambiental; es decir, cuando se aplica la condición de ceteris paribus (Schiffer, 1991; Boumans y Morgan, 2001). La lógica subyacente al concepto de precio implícito establece que los agentes buscan maximizar su utilidad, de modo que adapten sus compras a la condición de racionalidad y a la percepción de buena calidad, lo que lleva al punto en que la tasa marginal de sustitución (TMS) es igual al precio implícito de una determinada característica (Hanley y Barbier, 2009).
Este argumento resulta de gran importancia ya que valida dos supuestos fundamentales de la investigación: 1) Los agentes están en la capacidad de reflejar y considerar factores como la contaminación del aire y otras características de una casa al momento de elegir; 2) Se establece el principio de que los agentes hacen una oferta «al margen». Esto implica que el dinero que están dispuestos a pagar es igual al beneficio generado por el conjunto de características de la casa. De hecho, esta condición es necesaria para que exista el intercambio. En este contexto, es normal pensar que el precio de una casa refleja, en parte, la voluntad de pagar a un comprador por una mejor calidad del aire como una característica deseable.
1.3 Función de precio hedónico para el caso de la calidad del aire
La intención es definir la función teórica entre el precio de la propiedad inmobiliaria y la variable ambiental de interés, específicamente la calidad del aire. Además, se proponen las variables explicativas pertinentes. Se puede estimar una función hedónica de precios estableciendo las relaciones entre el precio de la propiedad y sus características particulares:

Donde, siguiendo la categorización de Égert y Mihaljek (2007) y Hanley y Barbier (2009) se tiene:
Pi = precio de la propiedad i.
CSi= características del sitio (número de habitaciones, sin baños, superficie, sin garajes, antigüedad y zonas verdes).
CNi= características del vecindario (criminalidad y distancia al parque más cercano).
CEi = características ambientales (en este caso resulta de interés la contaminación en la zona).
εi = término de error.
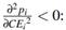
La función de precio hedónico permite obtener el precio implícito. Por lo tanto, se puede obtener el cambio marginal en el precio de la propiedad asociado al cambio marginal de cualquiera de las características propuestas. En cuanto a la relación de interés entre el precio pi y la contaminación ambiental, se espera que no siga un patrón lineal. Siguiendo el argumento de Rosen (1974), lo que se desea es la calidad del aire ya que está directamente relacionada con el precio de la vivienda, pero a un ritmo decreciente. Por lo tanto, se espera que
, pero
el coste marginal de la calidad del aire, su precio implícito, caiga mientras aumenta el nivel de calidad del aire. Cuando hay bajos niveles de contaminación, se espera que las personas valoren mucho menos dicho atributo en comparación con un área con graves problemas de contaminación.
2 Metodología
El presente estudio considera dos zonas cuyos niveles de contaminación difieren significativamente. Primero está la zona del Centro Histórico de Quito (HDQ) (Figura 2) y segundo la zona de Bellavista en el centro norte de la ciudad. Es importante considerar que un criterio para elegir la zona de Bellavista es su ubicación, puesto que aborda el extremo suroeste del Parque Metropolitano de Quito (Figura 3), que permite procesos continuos de purificación del aire. El siguiente mapa geográfico se ha construido de acuerdo con la información del Gobierno Abierto de Quito (GAQ), sobre la base de los límites de la Figura 2. Resulta interesante comparar el mapa geográfico del HDQ (Figura 3) con el que se presentó con la zona Bellavista (Figura 2). En el Centro Histórico no hay mayor presencia de áreas verdes tales como parques. Además, hay un mayor número de construcción de viviendas. Sobre la base de estos resultados según una división geográfica de las zonas elegidas, se puede definir la siguiente matriz de información de la muestra según la información de la cantidad (N) de viviendas (Tabla 1).
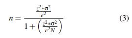
Los resultados del tamaño de la muestra se obtienen en base al siguiente método de cálculo:

Donde,
e = rango de error (= 5%)
z = puntuación z (a un nivel de significancia de 95%)
N = tamaño de la población
En el presente estudio se ha tomado una muestra focal debido a la disponibilidad de la información. La muestra tiene un total de n = 149 observaciones, de las cuales 80 corresponden al Centro Histórico y 69 al área de Bellavista. La muestra incluye información sobre el valor de los bienes raíces y la contaminación del aire en la zona donde se encuentra. Además, recopila datos sobre otros determinantes del precio de la propiedad que han sido considerados significativos como variables de control. En la Tabla 2 se presentan y definen las variables relacionadas con los niveles de contaminación en el HDQ o Bellavista, y aquellas con características de control adicionales que puedan afectar al precio. Además, se muestra el origen de información de cada variable.




2.1. El método de precios hedónico
2.1.1 Modelo de los precios hedónicos (MPH)
Se presentan dos MPH básicos: I y II, considerando las reflexiones teóricas presentadas en las secciones anteriores. El MPH I demuestra un cambio lineal entre la evolución de las variables ambientales y el precio de la vivienda. La diferencia entre el modelo II y el I es la aplicación de la hipótesis de la relación con la disminución de las tasas entre el precio de una propiedad y la calidad ambiental en el mercado inmobiliario. En este sentido, se aplica un factor de corrección exponencial. De igual forma se consideran las variables: transformación de las habitaciones, superficie y antigüedad, elevándolas al cuadrado en ambas zonas para el modelo general II. Los modelos se obtienen con o sin la aplicación del logaritmo natural en la variable dependiente. En este sentido, se obtienen modelos Log-Log (elasticidades) y Semi-Log (semi-elasticidad), que también proporcionan información de interés en este estudio. En general, los modelos se definen de la siguiente manera:
Definición del MPH I:

Definición del MPH II:

Donde,
ln(pi) = precio de la propiedad i
In
=logaritmo natural de la variable j = 1··· 5, del conjunto de variables de contaminación:{SO2,CO2,NO2,O3 y Benceno }
ln
= logaritmo natural de la variable l = 6··· 10, del conjunto de variables de la raíz cuadrada de la contaminación:
ln
= logaritmo natural de la variable k = 11··· 18, del conjunto de variables características de la propiedad: {cuartos, baños, garaje, antigüedad, áreas verdes y criminalidad} cuartos2i = número de habitaciones por metro cuadrado y εi = término de error
3 Resultados y discusión
La contaminación atmosférica entre el Centro Histórico de Quito y Bellavista difiere al considerar las variables de contaminación resultantes de las actividades antropogénicas. A continuación, se muestran los resultados de las mediciones de la concentración de SO2, CO, NO2, O3 y Benceno (Figura 4).
Los resultados indican que para todos los contaminantes, el HDQ mantiene niveles más bajos de calidad del aire en comparación con Bellavista. Esto corrobora la afirmación acerca de la existencia de niveles más altos de contaminación relacionados con los procesos de combustión (CO, NO2, SO2 y Benceno), e, indirectamente, se refleja en niveles más altos de O3 entre ambas zonas. En relación a los precios de la vivienda y el precio por metro cuadrado, se obtiene la siguiente información.
Los resultados de otras características del inmueble fueron los previstos. Las variables como superficie de construcción, tamaño de la parcela, número de dormitorios, número de baños, antigüedad de la casa, y la presencia de jardín fue significativa en 99%. Entre las características del vecindario, sólo el garaje fue significativo en 95%, mientras que las áreas verdes fueron insignificantes. Se seleccionaron todas las variables significativas con las variables ambientales y se realizó de nuevo el modelo de regresión final.
El precio medio de la zona de Bellavista supera el del Distrito Histórico en USD 47.267 (Figura 5). En promedio, los precios de inmuebles en el Centro Histórico son menores, aunque en esta zona la propiedad más cara de la muestra se ofrece con un precio de USD 1’480.000, siendo casi USD 900.000 más alto que la propiedad más cara de Bellavista. Al comparar esta información con respecto a los precios mínimos obtenidos, se concluye que hay mayor variabilidad de precios en la muestra del Centro Histórico en comparación con Bellavista. Otra forma de tener una comprensión más precisa del mercado inmobiliario en ambos sectores es evaluando su precio por metro cuadrado.


La Figura 6 muestra que el mercado inmobiliario en el área de Bellavista es más caro comparado con el Centro Histórico. Por lo tanto, el metro cuadrado promedio es casi tres veces mayor. Esto ocurre incluso considerando el precio máximo o mínimo por metro cuadrado. En general, la zona de Bellavista es más atractiva desde el punto de vista de la valoración de los inmuebles que allí se ofrecen. Esto es un resultado positivo basado en los objetivos del estudio actual, ya que existen claras diferencias entre el Centro Histórico y Bellavista en cuanto al precio de la vivienda por metro cuadrado.
Para obtener los resultados de los modelos empíricos de la función del precio hedónico, se ha tenido en cuenta la concentración media anual de miligramos por metro cúbico de NO2, ya que las variables de contaminación están muy correlacionadas, evitando problemas de multicolinealidad. Posiblemente esto se deba a la estrecha relación entre las fuentes de contaminación, como los procesos de combustión de CO, NO2, SO2 y Benceno. Una posible solución podría verse en la extensión a otras áreas de estudio, reflejando una mayor variabilidad a las medidas de contaminación. Sin embargo, nos encontramos con la forma funcional más óptima que permite la bondad del ajuste y mayor significado posible para las diferentes propuestas del modelo.
En este sentido, los resultados de los modelos de la versión semi-log se ajustan mejor a estas especificaciones. Los modelos que consideraron la relación a tasas decrecientes entre NO2 y los precios de la vivienda indicaron una falta de mejora en la especificación del modelo. La estimación del valor exponencial adecuado es más apropiada cuando se estudia un mayor número de zonas. Por lo tanto, esto puede explicar brevemente el modelo a pesar de tener una validación teórica. Los modelos se corrigen por heteroscedasticidad. En particular, algunas variables tales como el precio por metro cuadrado (m2) o la antigüedad de la vivienda mostraron este problema. A continuación, se presentan los resultados de la elaboración de modelos que figuran en la Tabla 3.
Se obtuvieron altos niveles de los valores de R2= 91%), que son similares a los obtenidos por Cebula (2009) de R2 = 87%, Chau y col. (2006) R2 = 87%, y Jackson (2001) con R2 = 81%, indicando que las variables en la ecuación explican en gran medida la variación del precio de la vivienda en la muestra. La variable NO2 tiene un signo negativo y resulta ser muy significativa, incluso con un nivel de confianza del 99% en los tres modelos propuestos. Adicionalmente, el Modelo III disminuye en 1 µgm−3 en la concentración media anual de NO2, aumentando con el precio promedio de los hogares en un 4,54%. Con estos datos, se ha podido evaluar la calidad del aire tal como se muestra en la Tabla 4, al tiempo que se consideran los resultados del Modelo III.
Las estimaciones demostraron que una disminución en el promedio anual de un miligramo por metro cúbico de NO2 aumenta el precio de la vivienda en un 4,5%. Asimismo, una disminución de cinco miligramos por metro cúbico de NO2 aumenta en un 22,7% el precio de los hogares de la muestra. En el primer caso, hay un aumento en el capital de USD 2’032.326,24 considerando las 148 viviendas en el área de estudio. En el segundo caso, la renta variable aumenta, en términos agregados, en USD 10’161.632,22. El precio promedio de las 148 viviendas aumenta entre USD 13.731,93 y 68.659,67, ya que la contaminación del aire disminuye entre uno y cinco miligramos por metro cúbico de NO2. Obviamente, una disminución de más de 5 µgm−3 de NO2 resultaría en mayores beneficios económicos. Así, de acuerdo con la reducción en los niveles anuales promedio de miligramos por metro cúbico de NO2, los propietarios se beneficiarán de un mejor valor de sus propiedades, y por lo tanto, sus activos. En última instancia, su situación económica mejora debido a la calidad relativa del aire en la zona donde se encuentra el inmueble.



4 Conclusiones
Las dos zonas estudiadas de la ciudad de Quito están directamente afectadas (entendido como un elemento negativo) por diferentes actividades económicas que generan contaminación. Nuestros resultados demuestran que NO2 (32 µgm−3) tiene el valor más alto entre los contaminantes urbanos. Hay una diferencia significativa entre el Centro Histórico y Bellavista, siendo 32 µgm−3, y 23 µgm−3, respectivamente. Estos niveles de contaminación tienen un efecto directo sobre el precio de los inmuebles, tal como se ha indicado. Las diferencias en los precios de la vivienda se deben en parte a los distintos niveles de contaminación en ambas zonas.
Los modelos econométricos indicaron que una disminución en el promedio anual de un miligramo por m3 de NO2 aumenta el precio de la vivienda en un 4,5%, lo que significa un aumento en el capital social de USD 2’032.326,24. El precio promedio de las 148 viviendas aumenta aproximadamente USD 13.731,93 si la contaminación del aire disminuye en un miligramo por metro cúbico de NO2. Obviamente, una mayor reducción de los contaminantes resultará en mayores beneficios económicos.
Estos resultados pueden ayudar a establecer políticas que tengan la intención de mejorar la calidad del aire. Las políticas tales como la promoción de áreas verdes en zonas con altos niveles de contaminación pueden mejorar las injustas sanciones en los inmuebles de los propietarios. Además, los resultados obtenidos indican la importancia de mantener áreas boscosas pues juegan un papel importante en la purificación del aire, permitiendo a la gente beneficiarse directamente del aire.
El estudio actual considera una muestra focal y esto conduce a limitaciones al inferir los resultados a nivel de la población. Sin embargo, el R2 (0,91) es muy alto, permitiendo generalizar nuestros resultados y justificar una investigación más extensa en el DMQ con respecto a la contaminación del aire y sus efectos en el inmueble. Además, el estudio se concentró sólo en el contaminante NO2, por lo que resulta muy importante medir los otros 3 contaminantes.
Referencias
BCE (2015). Cuentas Nacionales Regionales. Inf. téc. Banco Central del Ecuador, Quito, Ecuador. Online: https:// www.bce.fin.ec/index.php/component/k2/item/293-cuentas provinciales/.
Baca, J. (2014). Informe Final Inventario de Emisiones de Contaminantes Criterio, DMQ 2011. Inf. téc. Secretaría de Ambiente, Distrito Metropolitano de Quito, Ecuador
Bajari, P., J. Fruehwirth y C. Timmins (2012). «A rational expectations approach to hedonic price regressions with time-varying unobserved product attributes: The price of pollution». En: American Economic Review 102.5, 1898-1926. Online: https://bit.ly/38l8LkY.
Bayer, P., N. Keohane y C. Timmins (2009). «Migration and hedonic valuation: The case of air quality». En: Journal of Environmental Economics and Management 58.1, 1-14. Online: https://bit.ly/3kgGRJz.
Borja-Urbano, S. y col. (2021). «Valuing the Impact of Air Pollution in Urban Residence Using Hedonic Pricing and Geospatial Analysis, Evidence From Quito, Ecuador». En: Air, Soil and Water Research 14, 11-26. Online: https://bit.ly/3ESFavG.
Boumans, M. y M. Morgan (2001). «Ceteris paribus conditions: materiality and the application of economic theories». En: Journal of Economic Methodology 8.1, págs. 11-26.
Calderón-Garcidueñas, L. y col. (2016). «Air pollution, a rising environmental risk factor for cognition, neuroinflammation and neurodegeneration: The clinical impact on children and beyond». En: Revue neurologique 172.1, 69-80. Online: https://bit.ly/399dJBL.
Cebula, R. (2009). «The hedonic pricing model applied to the housing market of the city of Savannah and its Savannah historic landmark district». En: Review of Regional Studies 39.1, 9-22. Online: https://bit.ly/38kXkd8.
Chau, K. y col. (2006). «How do people price air quality: empirical evidence from Hong Kong». En: Presented at the 12th Annual Conference of the Pacific Rim Real Estate Society, Auckland, New Zealand. The University of Auckland Business School.
Del Giudice, V. y col. (2017). «The monetary valuation of environmental externalities through the analysis of real estate prices». En: Sustainability 9.2, 1-16. Online: https://bit.ly/3vGd2aM.
Echegaray-Aveiga, R. y col. (2020). «Possible effects of potential lahars from Cotopaxi volcano on housing market prices». En: Journal of Applied Volcanology 9.1, 1-11. Online: https://bit.ly/3xZeoA2.
Égert, B y D. Mihaljek (2007). Determinants of House Prices in Central and Eastern Europe. Inf. téc. William Davidson Institute Working Paper Number 894.
Franchini, M. y P.M. Mannucci (2015). «Impact on human health of climate changes». En: European Journal of Internal Medicine 26.1, págs. 1-5.
Freeman III, M. (1974). «On estimating air pollution control benefits from land value studies». En: Journal of environmental economics and management 1.1, 74-83. Online: https://bit.ly/3rOGU3A.
Fuertes, W. y col. (2019). «Data Analytics on RealTime Air Pollution Monitoring System Derived from a Wireless Sensor Network». En: International Conference on Information Technology Systems. Springer, pág. 57.
Guanochanga, B. y col. (2018). «Towards a RealTime Air Pollution Monitoring Systems Implemented using Wireless Sensor Networks: Preliminary Results». En: 2018 IEEE Colombian Conference on Communications and Computing, COLCOM 2018 – Proceedings. IEEE.
Guanochanga, B. y col. (2019). «Real-time air pollution monitoring systems using wireless sensor networks connected in a cloud-computing, wrapped up web services». En: Proceedings of the Future Technologies Conference (FTC) 2018. Springer, págs. 171-184.
Gulia, S. y col. (2015). «Urban air quality management-A review». En: Atmospheric Pollution Research 6.2, 286-304. Online: https://bit.ly/3xQajy6.
Hanley, N. y E. Barbier (2009). Pricing Nature: costbenefit analysis and environmental policy. Edward Elgar Publishing.
Harrison Jr., D. y D.L. Rubinfeld (1978). «Hedonic housing prices and the demand for clean air». En: Journal of environmental economics and management 5.1, 81-102. Online: https://bit.ly/3vArWPS.
INEC (2016). El parque automotor de Ecuador creció 57% en cinco años.
Jackson, T.O. (2001). «The Effects of Environmental Contamination on Real Estate: A Literature Review». En: European Journal of Internal Medicine 9.2, págs. 94-116.
Kennedy, C., J. Cuddihy y J. Engel-Yan (2007). «The changing metabolism of cities». En: Journal of industrial ecology 11.2, 43-59. Online: https://bit.ly/36OqHUU.
Kiel, K. (2006). «Environmental Valuation: Interregional and Intraregional Perspectives». En: Ashgate: Aldershot. Cap. Environmental contamination and house values, págs. 121-146.
Lancaster, T. (1979). «Econometric Methods for the Duration of Unemployment». En: Econometrica 47.4, 939-956. Online: https://bit.ly/37v4qfd.
Ministerio del Ambiente del Ecuador (2011). Normativa Ecuatoriana de Calidad del Aire (NECA), Libro VI Anexo 4. Inf. téc. Quito, Ecuador: Ministerio del Ambiente del Ecuador.
Neupane, A. y K. Gustavson (2008). «Urban property values and contaminated sites: A hedonic analysis of Sydney, Nova Scotia». En: Journal of Environmental Management 88.4, 1212-1220. Online: https://bit.ly/3veAH34.
Nugra, H. y col. (2016). «A Low-Cost IoT Application for the Urban Traffic of Vehicles, Based on Wireless Sensors Using GSM Technology». En: IEEE/ACM 20th International Symposium on IEEE, Distributed Simulation and Real-Time Applications DS-RT). IEEE, págs. 161-169.
Panayotou, T. (2016). «The environment in anthropology (Second Edition): A Reader in Ecology, Culture, and Sustainable Living». En: New York Press. Cap. Economic growth and the environment, págs. 140-148.
Perera, F. (2017). «Multiple threats to child health from fossil fuel combustion: impacts of air pollution and climate change». En: Environmental health perspectives 125.2, 141-148. Online: https://bit.ly/3vdf6rK.
Poma, P. y col. (2021). «Estimation of Biogas Generated in Two Landfills in South-Central Ecuador». En: Atmosphere 12.10, 1365. Online: https://bit.ly/3kgxKIW.
Robayo, N., J. Llorca y T. Toulkeridis (2020). «Population, territorial and economic analysis of a potential volcanic disaster in the city of Latacunga, Central Ecuador based on GIS techniques – Implications and potential solutions». En: IEEE/ACM 20th International Symposium on IEEE, Distributed Simulation and Real-Time Applications DS-RT). Springer, Cham, págs. 549-563.
Rodriguez, F. y col. (2017). «Economic risk assessment of Cotopaxi volcano, Ecuador, in case of a future lahar emplacement». En: Natural Hazards 85.1, 605-618. Online: https://bit.ly/3xV2oQm.
Rosen, S. (1974). «Hedonic prices and implicit markets: product differentiation in pure competition». En: Journal of political economy 82.1, 34-55. Online: https://bit.ly/3EVQLdh.
SAQ (2017). Informe de Calidad de Aire 2016 del Distrito Metropolitano de Quito. Inf. téc. Secretaria de Ambiente del DMQ, Quito, Ecuador.
Saaty, T. y P. De Paola (2017). «Rethinking design and urban planning for the cities of the future». En: Buildings 7.3, 76. Online: https://bit.ly/3xUHIrM.
Sanchez Martinez, G. y col. (2018). «Health Impacts and Economic Costs of Air Pollution in the Metropolitan Area of Skopje». En: International Journal of Environmental Research and Public Health 15.4, 626. Online: https://bit.ly/39CE3o7.
Schiffer, S. (1991). «Ceteris paribus laws». En: Mind 100.1, 1-17. Online:https://bit.ly/3ELt33r
Smith, V. K. y J. Huang (1993). «Hedonic models and air pollution: twenty-five years and counting». En: Environmental and Resource Economics 3.4, 381-394. Online: https://bit.ly/39gxZSd.
The Economics of Ecosystems and Biodiversity (2013). Guidance Manual for TEEB Country Studies. Version 1.0.
Toulkeridis, T. y col. (2016). «Causes and consequences of the sinkhole at El Trébol of Quito, Ecuador-implications for economic damage and risk assessment». En: Natural Hazards and Earth System Sciences 16.9, 2031-2041. Online : https://bit.ly/3EQIveo.
Toulkeridis, T. y col. (2020). «Climate Change according to Ecuadorian academics–Perceptions versus facts». En: La Granja 31.1, 21-46. Online: https: //bit.ly/37LP8CT.
Victor, P. A. (2017). Taylor y Francis Group LLC. Secretaria de Ambiente del Distrito Metropolitano de Quito.
World Bank (2016). The Cost of Air Pollution: Strengthening the Economic Case for Action. Inf. téc. World Bank and Institute for Health Metrics and Evaluation.
World Health Organization (2006). Air Quality Guidelines: global update 2005. Inf. téc. Druckpartner Moser, Germany: WHO Regional Office for Europe publications. 496 pp.
World Health Organization (2016). Ambient air pollution: a global assessment of exposure and burden of disease. Inf. téc. Geneva, Switzerland: WHO Document Production Services. 121 pp.
Zivin, J. y J. Shrader (2016). «Temperature extremes, health, and human capital». En: The Future of Children 26.1, 31-50. Online: https://bit.ly/3EPF0oT.
Enlace alternativo
https://revistas.ups.edu.ec/index.php/granja/article/view/4043 (html)