Articles
Recepción: 30 Enero 2023
Aprobación: 03 Julio 2023
DOI: https://doi.org/10.17163/lgr.n38.2023.02
Resumen: La industria alimentaria se centra en reemplazar los conservantes químicos con alternativas orgánicas para la conservación y seguridad de los alimentos. El presente estudio, busca analizar el uso de propóleo en la conservación de filetes de tilapia roja. Se aplicó propóleo en dos concentraciones (15% y 30%) y dos tiempos de impregnación (1,5 y 3 horas) a filetes de tilapia roja almacenados a 4-5°C durante 30 días. Se evaluaron varios parámetros, incluidos el pH, la capacidad de retención de agua (CRA) y la concentración básica de nitrógeno volátil (N-BVT), a intervalos de 10 días. Además, se realizó un análisis microbiológico de microorganismos mesófilos y E. coli presentes. A partir del día 20 se observaron diferencias significativas en el color del filete según las coordenadas cromáticas L*, a* y b*. El análisis sensorial mostró que las propiedades sensoriales se mantuvieron cuando los valores de aceptación fueron superiores a 6,5. El tratamiento más efectivo fue el propóleo en concentración del 15% con un tiempo de impregnación de 1,5 horas y conservado durante 20 días. Este enfoque mostró que el propóleo extiende efectivamente la vida útil de los filetes al prevenir el daño proteolítico. Además, inhibe la proliferación de microorganismos al mantener la carga de mesófilos y E. coli, así como los parámetros fisicoquímicos (pH, CRA y N-BVT) según la norma NTE-INEN 183-2013. En conclusión, el propóleo es un conservante orgánico prometedor para la industria alimentaria.
Palabras clave: Bacteria, filete, inhibición, normativa, proteolítica.
Abstract: The food industry is focused on replacing chemical preservatives with organic alternatives for food preservation and safety. The present study seeks to analyze the use of propolis in the conservation of red tilapia fillets. Propolis was applied in two concentrations (15% and 30%) and two impregnation times (1.5 and 3 hours) to red tilapia fillets stored at 4-5°C for 30 days. Several parameters, including pH, water-holding capacity (WRC), and basic volatile nitrogen concentration (N-BVT), were evaluated at 10-day intervals. In addition, a microbiological analysis of mesophilic microorganisms and E. coli present was carried out. From day 20, significant differences were observed in the color of the fillet according to the chromatic coordinates L*, a* and b*. The sensory analysis showed that the sensory properties were maintained when the acceptance values were higher than 6.5. The most effective treatment was propolis in a concentration of 15% with a soaking time of 1.5 hours and preserved for 20 days. This approach showed that propolis effectively extends the shelf life of fillets by preventing proteolytic damage. In addition, it inhibits the proliferation of microorganisms by maintaining the load of mesophiles and E. coli, as well as the physicochemical parameters (pH, CRA and N-BVT) according to the NTE-INEN 183-2013 standard. In conclusion, propolis is a promising organic preservative for the food industry.
Keywords: Bacteria, fillet, inhibition, normative, proteolytic.
1 Introducción
En el ámbito industrial y comercial que involucra a la actividad piscícola, la vida útil del pescado es muy importante, y para ello la utilización de agentes biopreservantes para peces enteros o en filete empacados al vacío resulta una alternativa para disminuir el uso de preservantes de origen químico que afectan a la salud del consumidor, y evitar la proliferación de microrganismos que causen su deterioro, manteniendo los atributos de calidad y de inocuidad establecidos por los organismos de control (Ahmad y col., 2017; Rodríguez-Pérez y col., 2020).
Dentro de esta actividad, la tilapia se destaca por ser un pez muy apetecido por su gran sabor, textura, color y por su gran versatilidad a la hora de realizar diversas preparaciones; así, el cultivo de tilapia se ha extendido potencialmente en los últimos años, y esta nueva oportunidad de negocios ha hecho que surjan ideas novedosas que contribuyan a mejoras de las exportaciones y los diferentes métodos de consumo y comercialización del producto (Jácome y col., 2019).
De la misma manera, hay un incremento en el interés por parte de los consumidores, industriales e investigadores por recurrir a las fuentes naturales de aditivos alimentarios que puedan ser utilizados como mecanismos barrera que ayuden a la conservación de los alimentos sin atentar contra la salud humana (Vargas-Sánchez, Urrutia y Escalante, 2013). De esta forma, se ha introducido un producto natural como el propóleo de forma exitosa en la industria alimentaria, para aprovechar sus propiedades (Rodríguez-Pérez y col., 2020; Farag y col., 2021).
El propóleo es una substancia resinosa producida por abejas cuyas características varían en dependencia de la estación climática, zona geográfica, tipo de abejas y vegetación existente. Contiene entre 50 a 60% de resinas y bálsamos, 30 a 40% de cera, 5 a 10% de polen, y 8 a 10% de aceites esenciales; está compuesto de alrededor de 180 substancias, principalmente flavonoides y ácidos fenólicos o ésteres en un 50% (Rodríguez-Pérez y col., 2020; Sarıkahya y col., 2021; Farag y col., 2021; Salleh y col., 2021). El propóleo es usado por las abejas para mantener las condiciones óptimas de la colmena y su miel, evitando el crecimiento de microorganismos que la alteren, de tal forma que sus propiedades pueden ser exploradas como aditivo alimentario natural. Teniendo en cuenta la relación de su contenido en flavonoides y su efecto biológico, el propóleo es un producto bioactivo que destaca por su actividad antimicrobiana y antioxidante, sabor fuerte y olor aromático propio, capaz de establecer múltiples combinaciones sinérgicas con otros componentes (Viloria y col., 2012; Rodríguez-Pérez y col., 2020; Peixoto y col., 2021; Salleh y col., 2021).
El propóleo posee características útiles para la industria de los alimentos como son su actividad antioxidante, antimicrobiana, antifúngica y antiparasitaria (antiprotozoáricas) (Peixoto y col., 2021; Vic˘a y col., 2021; Afata y col., 2022), razón por la cual puede ser empleado en productos cárnicos (res, pollo, cerdo, pescado o mariscos), aceites vegetales, lácteos sin pasteurizar, frutas y zumos de frutas. La actividad antibacteriana del propóleo ha sido estudiada en diferentes microorganismos, entre éstos bacterias Gram positivas y Gram negativas. Entre las bacterias Gram positivas evaluadas constan Staphylococcus aureus, Streptococcus sp., Micrococcus sp., Bacillus sp. Listeria monocytogenes. Entre las bacterias Gram negativas evaluadas constan Salmonella typhi, Salmonella typhimuriu, Pseudomona aeruginosa, Acinetobacter baumannii, Klebsiella pneumoniae, Escherichia coli, Helicobacter pylori, Shigella spp. Para el propóleo, las concentraciones mínimas inhibitorias (CMI) para estos microorganismos varían en función de su forma de aplicación y de la composición química que a la vez depende del área geográfica de origen.
De acuerdo con la información recopilada por Przybyłek y Karpi´ nski (2019), la CMI del extracto etanólico de propóleo para bacterias Gram positivas (S. aureus como representante) está en el rango de 8-1500 μg m L −1 , mientras que la CMI para bacteria Gram negativas (E. coli como representante) está entre 116-5000 μg m L −1 . De esta forma, se ha establecido una mayor eficacia sobre bacterias Gram positivas y en menor grado sobre bacterias Gram negativas, gracias a la acción de los compuestos bioactivos presentes en el propóleo y que inciden de forma directa sobre la pared celular de estas bacterias haciéndolas susceptibles a su rompimiento y posterior lisis celular (Nedji y Loucif-Ayad, 2014; Santos y col., 2017; Zhang y col., 2017; Torres y col., 2018; Afata y col., 2022).
El presente estudio tiene como objetivo investigar el efecto del propóleo (Apis mellifera Linnaeus) en la inhibición de microorganismos proteolíticos en filetes de tilapia roja (Oreochromis spp.) empacadas al vacío, mediante la medición de sus parámetros fisicoquímicos y microbiológicos, así como también sus atributos sensoriales durante el periodo de almacenamiento. Este estudio surge en respuesta a la necesidad de abordar el desafío que enfrenta la industria pesquera de conservar las propiedades de los productos empacados, sin aumentar el uso de preservantes químicos sintéticos.
2 Materiales y Métodos
La presente investigación se llevó a cabo en los laboratorios de análisis de alimentos de la Facultad de Ciencias Zootécnicas de la Universidad Técnica de Manabí, la cual se encuentra situada en el kilómetro 2 ½ del sitio Ánima vía Chone- Boyacá, del cantón Chone, provincia de Manabí, zona con un potencial de evapotranspiración de 107,04 mm, temperatura media anual de 25,2 °C y precipitación media anual de 54,63mm (Cabrera-Estupiñán, Pérez Leira y Moreira Santos, 2017).
El propóleo empleado en el estudio fue obtenido de una granja avícola artesanal ubicada en la ciudad de Flavio Alfaro, provincia de Manabí. Las tilapias rojas (Oreochromis sp.) fueron adquiridas en el mercado local de la ciudad de Chone, tomando ejemplares de 525 g de peso promedio; luego las tilapias fueron evisceradas y cortadas en filetes de un peso promedio de 370 g. Cada filete mantuvo su respectiva piel con la finalidad de mantener la estabilidad del músculo. En cada filete se realizaron cortes paralelos separados 5 mm entre sí con la finalidad de que el propóleo ingrese por estos cortes y los filetes queden impregnados.
Para evaluar la acción conservante del propóleo en filetes de tilapia roja selladas al vacío se estableció un diseño experimental aplicando un modelo factorial cúbico atenuado con los factores: A) tiempo de almacenamiento (10, 20 y 30 días), B) concentración de propóleo en relación al peso del filete (0, 15 y 30%), y C) tiempo de impregnación (1,5 y 3 h). Cada filete del diseño experimental fue empacado en bolsas de poliéster transparente (PET) calibre 2/60, sello U, Zipack, marca Aviditi®, con certificación ISO 9001:2008 (Manuli Fitasa, Brasil) usando una atmósfera al vacío generada por una cámara con bomba generadora de vacío de alta capacidad (20 m3 h −1 ), modelo VM400TE/B de 440 x 420 x 75 mm y barra de sellado doble de 400 x 100 mm, de marca FinTeck S.A. Posteriormente, los filetes empacados fueron almacenados a temperaturas de refrigeración a 4,5 ± 0,5 °C por 30 días. Los análisis fueron realizados por triplicado tanto a nivel fisicoquímico y sensorial.
2.1 Parámetros fisicoquímicos
2.1.1 Análisis de pH
Para la determinación de este parámetro se utilizó un potenciómetro Orion A:211 (Thermo Scietific™, Estados Unidos) el cual está provisto de un electrodo de 6mm que se inserta directamente dentro de los filetes de tilapia.
2.1.2 Porcentaje de la capacidad de retención de agua
Una muestra de 2 g de filete crudo se colocó en papel filtro circular, luego de esto se dispuso entre dos placas de vidrio con un peso de 5 Kg, durante cinco minutos. La capacidad de retención de agua (CRA) fue determinada a través de la diferencia de pesos tanto inicial como final (Rebouças y col., 2020).

Donde Pi es el peso inicial del filete, y Pf es el peso final del filete.
2.1.3 Estabilidad a la degradación proteolítica
La cantidad de bases volátiles totales de nitrógeno (N-BVT) se evaluó usando el método de Valencia-Junca y col. (2019) con modificaciones. Una muestra de 10 g de filete de tilapia fue molida con 50 mL de agua destilada dentro de un procesador de alimentos Oster®; la mezcla formada fue colocada en un Erlenmeyer de 500 mL con 200 mL de agua destilada. A continuación, se procedió a destilar incorporando 2 g de MgO y para inhibir la formación de espumas se adicionó una gota de silicona. El producto destilado fue introducido en un matraz de 250 mL junto a una solución de ácido bórico al 3%, y 0,04 mL de rojo de metilo y azul de metileno como indicador de la presencia de amonio. La titulación del destilado se realizó con HCl 0,1N hasta obtener un viraje de color verde a rosado. Para calcular N-BVT en mg 100 g −1 de filete de pescado se utilizó la siguiente ecuación:

Donde,
V = Volumen de ácido hidroclórico añadido;
C = Concentración normal del ácido clorhídrico;
14 = Peso atómico del N;
10 = Peso de la muestra.
2.14 Determinación del color instrumental
La determinación del color se realizó utilizando un colorímetro (Kónica, Minolta Chroma Meter CR400, Japón), con iluminante D65 y observador de 2° (equipo calibrado con una placa estándar con valores de referencia Y = 89,5 x = 0,3176 y = 0,3340). Las mediciones, se expresaron en términos de luminosidad L* y de los parámetros de cromaticidad a* y b*.
2.2 Parámetros microbiológicos
Para los análisis microbiológicos se preparó la solución patrón, para lo cual se pesó 10 g de filete de tilapia y se homogenizaron con 90 mL de agua de peptona, para proceder con las diluciones seriadas respectivas de cada uno de los grupos bacterianos a cuantificar.
2.2.1 Recuento de microorganismos aerobios mesófilos
Para el recuento de microorganismos aerobios mesófilos se realizó el sembrío en estrías usando Agar Plate Count (APC), luego se llevó a incubación a 35°C durante 48 horas. Después de cumplido el período de incubación se procedió a contar las Unidades Formadoras de Colonias (log UFC g −1 ).
2.2.2 Recuento de Escherichia coli
Este análisis se llevó a cabo mediante la metodología del Número Más Probable (NMP g −1 ), para lo cual se tomaron tubos de ensayo en cuyo interior contenían de forma invertida campanas de Durham, posteriormente se incubaron a 35 °C por 48 horas. Los tubos de ensayo que presentaron turbidez y presencia de gas fueron tomados como presuntamente positivos. Luego, utilizando el reactivo de Kovacs se confirmó la presencia de coliformes. Los tubos positivos fueron inoculados en caldo Lactosa Bilis Verde Brillante y se incubaron a 35 °C por 48 horas. Además, los tubos de ensayo que presentaron turbidez y producción de gas que fueron catalogados como positivos fueron sembrados en Agar Eosina Azul de Metileno (EMB) e incubados por 24 horas para confirmar la presencia de Escherichia coli.
2.3 Análisis sensorial
El panel sensorial estuvo compuesto de veinte jueces semientrenados, quienes evaluaron los atributos organolépticos como color, aroma, sabor y textura, para lo cual se empleó una escala hedónica valorada de 9 puntos (Jonaidi-Jafari y col., 2018); donde la calificación de 1 es “me disgusta extremadamente” y 9 “me gusta extremadamente”. El valor de 4 fue considerado como referente mínimo de aceptabilidad. Para la evaluación sensorial, lo filetes se cortaron en pequeños trozos de tamaño moderado, los mismos que fueron cubiertos de apanadura y luego fueron freídos. Las porciones de filete fueron colocadas en recipientes rotulados con el código de los tratamientos analizados. Se suministró un vaso con agua a temperatura ambiente a cada juez para poder hacer las degustaciones entre los diversos tratamientos.
2.4 Análisis estadístico
Para el análisis de los datos se empleó el software estadístico InfoStat versión 2020. Un ANOVA multifactorial fue realizado para analizar las variables fisicoquímicas y microbiológicas, con el fin de evaluar el efecto del tiempo de almacenamiento, la concentración del propóleo, el tiempo de impregnación y sus interacciones.
Para el análisis sensorial se realizó un ANOVA simple, con la finalidad de evaluar la existencia de diferencias significativas en cada uno de los atributos evaluados. El análisis post hoc de Tukey (p < 0,05) se aplicó para comprobar las diferencias existentes entre los tratamientos.
3 Resultados y Discusión
3.1 Parámetros fisicoquímicos de los filetes de tilapia roja (Oreochromis sp.)
3.1.1 Análisis del pH
Los valores de pH en los filetes de tilapia roja impregnados con propóleo determinan que este parámetro fluctúo entre 6,12 a 7,53; con una media de 6,85 (Figura 1). El pH tendió a disminuir a medida que avanzaban los días de almacenamiento, existiendo un comportamiento similar considerando ambos tiempos de impregnación de propóleo del diseño. Hasta el final del periodo de almacenamiento, el tratamiento control obtuvo como valores de pH 5,91 y 5,96 por los dos tiempos de impregnación; el pH para los tratamientos con propóleo al 15% con tiempo de impregnación de 1,5 horas fue 6,46 y 3 horas 6,27; en cambio, los tratamientos con propóleo al 30% y tiempos de impregnación de 1,5 horas y 3 horas tuvieron pH de 6,24 y 6,18, respectivamente.
El análisis de varianza determinó diferencia significativa en el valor de pH en el factor A (tiempo de almacenamiento) y factor B (concentración de propóleo), incluso en las interacciones AC (tiempo de almacenamiento - tiempo de impregnación) y BC (concentración de propóleo - tiempo de impregnación) (Tabla 1). Los valores de pH aquí reportados se relacionan con los determinados por Montoya- Camacho y col. (2021) en estudios realizados con tilapia negra al evaluar los cambios bioquímicos que sufre el músculo de este pez al ser almacenado en un rango de temperatura entre 0 y 5 °C.
Los valores de pH registrados están dentro de los rangos establecidos por la normativa técnica ecuatoriana NTE-INEN 183-2013 (INEN, 2014), la cual establece que el pH que debe presentar una especie acuática al momento de su comercialización es de 6,5 en la parte interna del músculo y de 6,8 en la parte externa del organismo.


La Ecuación 3 determina la regresión múltiple del parámetro pH que permite hacer predicciones sobre la respuesta para niveles dados de cada factor, identificando y comparando los coeficientes de los mismos.

Esto se evidencia en los tratamientos realizados con propóleo al 15% y 30% para el tiempo de impregnación de 1,5 horas los valores de pH varían entre 6,81 y 6,91; mientras que para los tiempos de impregnación de 3 horas los valores fueron de 6,68 y 6,70 respectivamente; por lo que se puede apreciar que el conservar filetes de tilapia con propóleo es una alternativa orgánica y factible.
3.1.2 Capacidad de Retención de Agua (CRA)
Los resultados de CRA de los filetes conservados con propóleo varían desde 46,43% hasta 86,99% (Figura 2). Los resultados indican un descenso en la CRA a medida que avanzaba el tiempo de almacenamiento. El tratamiento control obtuvo valores de CRA de 51,85% a 1,5 h de impregnación y 46,45% en 3 h de impregnación.
Los tratamientos con propóleo al 15% con tiempos de impregnación de 1,5 y 3 horas tuvo valores de CRA de 62,92% y 58,19%, respectivamente; mientras que los tratamientos con propóleo al 30% y tiempos de impregnación de 1,5 horas y 3 horas tuvieron valores de CRA de 60,92% y 55,95%, respectivamente.
El análisis estadístico de varianza para la CRA (Tabla 2) determina que los efectos principales del modelo fueron A (tiempo de almacenamiento), B (concentración de propóleo), y las interacciones AB (tiempo de almacenamiento - concentración de propóleo) y AC (tiempo de almacenamiento - tiempo de impregnación) con valores p de <0,0001 en todos los casos detallados, existiendo diferencias significativas en los valores de CRA.
De acuerdo con Campus y col. (2010), el CRA es un parámetro que mide la habilidad del músculo para retener el agua libre por capilaridad y fuerzas de tensión que ha sido sometida la muestra, en este caso los filetes de tilapia roja; de esta forma, los rangos de CRA entre 70-80% son considerados valores óptimos para estimar la frescura de un pescado.
Para este estudio, los filetes de tilapia roja con un tiempo de impregnación de 1,5 horas y hasta los 10 días de tiempo de almacenamiento y con las 3 concentraciones de propóleo mostraron valores de CRA 71,88; 77,34 y 75,96% mientras que, para el tiempo de impregnación de 3 horas, hasta el día 10 de almacenamiento y las 3 concentraciones de propóleo los valores de CRA fueron 73,12; 78,37 y 75,84%. Después del día 10 para ambas concentraciones, los valores de CRA se redujeron a valores entre 53,53 y 58,56% para los tiempos de impregnación 3 y 1,5 horas, respectivamente.

La ecuación 4 determina la regresión múltiple del parámetro CRA. Dicha ecuación en términos de factores reales se puede usar para hacer predicciones sobre la respuesta para niveles dados de cada factor, identificando de esta manera el impacto relativo de los factores comparando los coeficientes de estos.


Esto se evidencia en los tratamientos realizados con propóleo al 15% y 30% para el tiempo de impregnación de 1,5 horas y 3 hora, donde los valores de CRA son favorables hasta el día de almacenamiento ya que después de estos días los filetes pierden jugosidad, afectando en forma desfavorable en el parámetro sensorial sabor. Conforme a los criterios de Melody y col. (2004), a medida que avanza el rigor se reduce el espacio para que el agua se retenga en las miofibrillas, y el líquido puede ser forzado hacia los espacios extramiofibrilares donde se pierde más fácilmente en forma de goteo como consecuencia de la contracción lateral de las miofibrillas que ocurre durante el rigor, lo que puede transmitirse a toda la célula si las proteínas que unen las miofibrillas entre sí y las miofibrillas a la membrana celular no se degradan.
3.1.3 Análisis de las bases volátiles totales de nitrógeno (N-BVT)
De acuerdo con Cicero y col. (2014), el pescado es un alimento con alto índice proteico y de ahí que nutricionalmente es un producto altamente aconsejable de aprovechar sobre todo en dietas balanceadas y saludables, pero después de su captura estos organismos sufren alteraciones internas, donde la degradación de los compuestos nitrogenados ocurre principalmente por el accionar de bacterias, las cuales forman principalmente trimetilamina (TMA) y amonio, incrementando el pH al final de la fase rigor mortis. La medición de la cantidad de N-BVT en una muestra de filete de pescado sirve para determinar el estado del proceso de deterioro, siendo este un indicador de su estado de frescura (Howgate, 2010).
En cuanto a los valores de N-BVT para filetes de tilapia roja, se observaron diferencias significativas entre tratamientos a partir del día 20 de almacenamiento (Figura 3). El comportamiento del N-BVT en filetes de tilapia roja conservadas al vacío determinó un valor de 22,58 mg N-BVT 100 g −1 para el tratamiento control, mientras que para los tratamientos con propóleo mostraron un comportamiento descendente en este parámetro conforme al tiempo de impregnación y concentración de propóleo; de esta forma, el tratamiento al 15% resultó en 19,69 mg NBVT 100 g −1 (1,5 hora de impregnación) y 14,68mg N-BVT 100 g −1 (3 horas de impregnación).
A partir del día 20, los tratamientos control tuvieron incrementos en el valor del N-BVT, llegando a sobrepasar el valor límite permisible de 30 mg N-BVT 100 g −1 para considerar al filete de pescado fresco y aceptable para su consumo, establecido por la normativa expedida por la (Comunidad Europea, 2008) y explícita también en la norma ecuatoriana NTE-INEN 183-2013. Los tratamientos con 15% y 30% de propóleo no llegaron a sobrepasar el valor normal establecido, presentando valores entre 10,77 y 36,22 mg 100 g −1 . Los valores registrados dentro del límite permisible determinados a lo largo del tiempo de almacenamiento de los filetes de tilapia roja podrían estar influenciados por la actividad antibacteriana que presenta el propóleo, que evita así la degradación proteolítica en el filete, tal como lo señala Basiri y col. (2015) en un estudio de conservación de mariscos.
El análisis estadístico de la varianza para el efecto (Tabla 3) determinó que las fuentes de variación que demostraron significancia fueron A (tiempo de almacenamiento), B (concentración de propóleo), C (tiempo de impregnación), las interacciones AB, AC y ABC, existiendo diferencias significativas en los valores del N-BVT.


La ecuación 5 determina la regresión múltiple del parámetro N-BVT y puede ser usada para hacer predicciones sobre la respuesta para niveles dados de cada factor, identificando de esta manera el impacto relativo de los factores comparando los coeficientes de estos.

3.1.4 Determinación del color instrumental
En cuanto a los valores de las coordenadas cromáticas L*, a* y b* para filetes de tilapia roja, se observaron diferencias significativas entre los tratamientos a partir del día 20 de almacenamiento. La coordenada cromática L* (luminosidad) disminuye a medida que aumentan los días de almacenamiento, en todo caso el tiempo de impregnación de 1,5 horas redujo dichos valores en contraste con el tiempo de impregnación de 3 horas. Este comportamiento es similar al reportado por Magalhães y col. (2019), quienes determinaron la calidad de unos snacks a partir de filetes de tilapia roja separados mecánicamente. Así mismo, Zapata y Pava (2018) determinaron que los filetes de tilapia roja usados en la elaboración de salchichas a medida que pasa el tiempo de almacenamiento van reduciendo su luminosidad.
El análisis de varianza para los parámetros cromáticos en este estudio (Tabla 4), muestra que para L los términos significativos de modelo son A, AB, BC y ABC. Para el parámetro a* (rojo), los términos significativos del modelo son A, B, AB y AC. Los valores de a* fueron aumentando de forma sostenida a medida que avanzó el tiempo de almacenamiento y la concentración del propóleo que se dispuso en los filetes. En el parámetro b* (amarillo), los términos significativos fueron A, B, C, AB, AC y BC.
Los parámetros a y b (rojo y amarillo) aumentan significativamente de forma progresiva durante los 30 días de almacenamiento refrigerado y de forma independientemente de los factores analizados en la presente investigación.



Las ecuaciones 6, 7 y 8 se exponen en función de factores codificados y las mismas pueden ser usadas para hacer predicciones sobre la respuesta para niveles dados de cada factor, y permiten identificar el impacto relativo de los factores comparando los coeficientes de los factores.

3.2 Análisis microbiológico
La Figura 4 muestra los resultados del crecimiento microbiano para bacterias mesófilas en filetes de tilapia roja para cada factor durante los días de almacenamiento. El conteo de mesófilos en los filetes sin propóleo demostró crecimiento continuo durante el almacenamiento, mientras que en los tratamientos con propóleo al 15 y 30% la carga microbiana de mesófilos tendió a reducir. Los tratamientos control presentaron un incremento hasta el día 30 de bacterias mesófilas de 11,74 y 11,92 log UFC g −1 para los tiempos de impregnación de 1,5 y 3 horas, respectivamente.
El recuento de mesófilos al final de los días de almacenamiento para la concentración de 15 y 30%de propóleo a las 3 horas de impregnación tuvo valores de 6,03 y 6,27 log UFC g −1 . Los filetes de tilapia impregnados con propóleo por un tiempo de 1,5 h de impregnación obtuvieron valores de 4,39 y 4,13 log UFC g −1 para las concentraciones de propóleo al 15 y 30%, respectivamente. Los resultados a 1,5 h de impregnación se encuentran dentro de los rangos determinados por la NTE-INEN 183-2013 y la Comisión Internacional sobre Especificaciones Microbiológicas de los Alimentos (ICMSF) (Roberts y col., 2005).

El efecto de inhibición de microorganismos mesófilos de las concentraciones de propóleo al 15 y 30% en un tiempo de impregnación de 1,5 h durante los 30 días de almacenamiento fue superior a otras investigaciones que emplean propóleo como agente conservante; de esta forma el recuento de mesófilos en estas condiciones fueron menores a los reportados por Suarez, Jiménez y Díaz (2014) y Duman y Özpolat (2015) quienes obtuvieron un conteo de mesófilos superiores a 5,4 log UFC g −1 durante 20 días de almacenamiento, empleando soluciones de propóleo sobre filetes de pescado en concentración de 1,2 mg mL −1 y 0,5%, respectivamente, en condiciones de conservación similares con las del presente estudio.
Los resultados determinaron un desarrollo de E. coli a los 10 días de tiempo de almacenamiento de los filetes de tilapia roja, tanto en los tiempos de impregnación de propóleo de 1,5 y 3 horas y con todas las concentraciones de propóleos evaluadas; sin embargo, algunos valores obtenidos en este estudio se encuentran por debajo del límite más alto permitido por la norma NTE INEN 183:2013, que establece un máximo de 2,69 log UFC g −1 de concentración de E. coli.
Los valores obtenidos durante los 30 días de almacenamiento para el tiempo de impregnación de 1,5 h están comprendidos entre 1,73 y 6,61 log UFC g −1 , para el 0% de concentración de propóleo (control); 1,71 a 3,57 log UFC g −1 con el 15% de concentración de propóleo; y de 1,74 a 3,27 log UFC g1 para 30% de concentración de propóleo; de la misma forma, durante los 30 días de almacenamiento para el tiempo de impregnación de 3 horas los valores fueron 2,13 a 6,87 log UFC g −1 para 0% de concentración de propóleo y de 2,08 a 5,11 y 2,14 a 5,15 log UFC g −1 para los 15 y 30%de concentración de propóleo (Figura 5). Estos valores son inferiores a los detallados por Talledo-Solórzano, Chavarría y Cuenca (2020) quienes obtuvieron presencia de estas bacterias entre 3,32 y 5,17 log UFC g −1 en filetes de tilapia tratados con bacterias ácido-lácticas.

Los resultados del análisis microbiológico indican que para este parámetro las concentraciones de propóleo al 15 y 30% con un tiempo de impregnación de 1,5 h son adecuadas para mantener el recuento de mesófilo dentro de los límites permitidos en las diferentes normativas de calidad vigente durante el almacenamiento de 30 días, y también estas condiciones son adecuadas para mantener los niveles de E. coli en niveles aceptables de calidad hasta por 20 días en las condiciones de almacenamiento evaluado. En cambio, ambas concentraciones de propóleo con 3 h de impregnación no permiten mantener la concentración de mesófilos permitidos durante los días de almacenamiento, y mantienen la concentración de E. coli en niveles aceptables de calidad hasta 10 días de almacenamiento. Por esta razón, el tiempo de impregnación de 3 h es inadecuado para tratar de evitar el deterioro proteolítico de los filetes por la proliferación de microorganismos evidenciada.
De esta forma, el tratamiento más adecuado para mantener la calidad microbiológica dentro los límites permitidos por la norma NTE-INEN 183-2013 es 15%de propóleo con un tiempo de impregnación de 1,5 h, para un tiempo de almacenamiento de 20 días a temperatura de 4-5 °C envasado al vacío.
3.3 Análisis sensorial
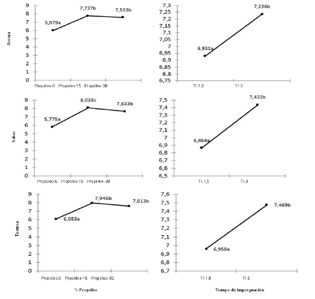
La Figura 6 muestra los resultados del análisis sensorial de los filetes de tilapia roja impregnadas con propóleo y conservadas a temperatura de 4-5 °C.

Los datos expuestos muestran los resultados del análisis sensorial aplicado a los filetes de tilapia con diez días de almacenamiento, que es el tiempo en el cual todos los tratamientos cumplen con los valores de calidad fisicoquímicos y microbiológicos establecidos en la normativa de calidad vigente.
Los tratamientos del presente estudio con ambas concentraciones de propóleo (15 y 30%), dos tiempos de impregnación (1,5 y 3 h) y con un tiempo de conservación de 10 días obtuvieron en los atributos de aroma, sabor y textura un nivel de aceptabilidad superior a 6,5.
Respecto a la concentración de propóleo, este análisis determinó que en los atributos de aroma, sabor y textura tienen mayor aceptación los filetes de tilapia con 15% de propóleo con niveles de aceptación entre 7,7 y 8. En relación al tiempo de impregnación, el panel sensorial prefirió los tratamientos con tiempo de impregnación del propóleo a 3 horas, con valores de aceptación entre 7,2 y 7,4. Considerando el aspecto tiempo de almacenamiento de diez días, los tratamientos tuvieron valores de aceptación entre 6,5 y 6,7 y además no hubo diferencia con respecto al tratamiento control, demostrando la conservación de las características organolépticas dentro de este tiempo de conservación a temperaturas de 4-5 °C.
En general, la aceptación fue mayor al 80% para todas las características sensoriales destacadas en el presente estudio. Así mismo, estudios realizados por Talledo-Solórzano, Chavarría y Cuenca (2020) demostraron una gran aceptación por parte del panel sensorial para filetes de tilapia roja conservados con bacterias ácido-lácticas donde el valor promedio de aceptación por atributo fue superior a 4.
Conclusiones
Al evaluar el efecto del uso de propóleo en concentraciones de 15 y 30% como agente conservante en la preservación de filetes de tilapia roja (Oreochromis sp.) empacadas al vacío y almacenadas a temperatura de 4-5 °C, es posible afirmar que el propóleo es capaz de mantener las propiedades fisicoquímicas y microbiológicas de dichos filetes. Bajo estas condiciones, el tratamiento de 15% de propóleo con un tiempo de impregnación de 1,5 h para un tiempo de almacenamiento de 20 días mantiene niveles aceptables de calidad dentro los límites permitidos por la norma NTE-INEN 183-2013 y Reglamento de la Comunidad Europea (CE) N° 1022/2008.
Así mismo, cabe destacar que el propóleo es útil como conservante en la preservación de filetes de tilapia roja (Oreochromis sp.), ya que interviene directamente en la inhibición del deterioro proteolítico de las fibras del pez, manteniendo niveles bajos de concentración de microorganismos mesófilos, E. coli y de los parámetros fisicoquímicos inmersos en el proceso de deterioro y analizados en el presente estudio (pH, N-BVT, CRA y color). Por último, el análisis sensorial de los filetes de tilapia roja (Oreochromis sp.) demostró que el uso de propóleo como conservante permite mantener la calidad organoléptica durante el tiempo de almacenamiento.
Agradecimientos
Los autores de esta investigación agradecen a la Facultad de Ciencias Zootécnicas de la Universidad Técnica de Manabí por apoyarnos con recursos técnicos y profesionales, para que esta investigación pueda realizarse
Referencias
Afata, T. y col. (2022). «Phytochemical investigation, physicochemical characterization, and antimicrobial activities of ethiopian propolis». En: Arabian Journal of Chemistry 15.7, 103931. Online: https://n9.cl/lx0ma.
Ahmad, I. y col. (2017). «Biofloc technology: an emerging avenue in aquatic animal healthcare and nutrition». En: Aquaculture international 25, 1215-1226. Online: https://n9.cl/geusw.
Basiri, S. y col. (2015). «The effect of pomegranate peel extract (PPE) on the polyphenol oxidase (PPO) and quality of Pacific white shrimp (Litopenaeus vannamei) during refrigerated storage». En: LWT-Food Science and Technology 60.2, 1025-1033. Online: https://n9.cl/w48fgs.
Cabrera-Estupiñán, R. Pérez Leira y J. Moreira Santos (2017). «Régimen de precipitaciones y evaporación para riego en el multipropósito Chone, Ecuador». En: Revista de Investigaciones en Energía, Medio Ambiente y Tecnología: RIEMAT ISSN: 2588-0721 2.2, 6-15. Online: https://n9.cl/lcka2.
Campus, M. y col. (2010). «Stress relaxation behaviour and structural changes of muscle tissues from Gilthead Sea Bream (Sparus aurata L.) following high pressure treatment». En: Journal of Food Engineering 96.2, 192-198. Online: https://n9.cl/ploa8i.
Cicero, L. y col. (2014). «Estudo das metodologias de destilação na quantificação do Nitrogênio das Bases Voláteis Totais em pescada, tilápia e camarão». En: Brazilian Journal of Food Technology 17, 192-197. Online: https://n9.cl/k9mke1.
Comunidad Europea (2008). «Reglamento (CE) N 1022/2008». Diario Oficial de la Unión Europea. Online: https://tinyurl.com/2b9nrsgo.
Duman, M. y E. Özpolat (2015). «Effects of water extract of propolis on fresh shibuta (Barbus grypus) fillets during chilled storage». En: Food Chemistry 189, 80-85. Online: https://n9.cl/0cy3h.
Farag, M. y col. (2021). «Propolis: Properties and composition, health benefits and applications in fish nutrition». En: Fish & Shellfish Immunology 115, 179-188. Online: https://n9.cl/gfx74.
Howgate, P. (2010). «A critical review of total volatile bases and trimethylamine as indices of freshness of fish. Part 2. Formation of the bases, and application in quality assurance.» En: Electronic Journal of Environmental, Agricultural & Food Chemistry 9.1, 58-88. Online: https://n9.cl/tv7is.
INEN (2014). «NTE INEN 183 Pescado fresco, refrigerado y congelado Requisitos». Online: https://tinyurl.com/265zhffu.
Jácome, J. y col. (2019). «Tilapia en Ecuador: paradoja entre la producción acuícola y la protección de la biodiversidad ecuatoriana». En: Revista peruana de biología 26.4, 543-550. Online: https://n9.cl/dknts.
Jonaidi-Jafari, N. y col. (2018). «The effect of chitosan coating incorporated with ethanolic extract of propolis on the quality of refrigerated chicken fillet». En: Journal of Food Processing and Preservation 42.1, e13336. Online: https://n9.cl/jt2gq.
Magalhães, A. y col. (2019). «Evaluation of the technological quality of snacks extruded from broken grains of rice and mechanically separated tilapia meat flour». En: Boletim do Instituto de Pesca 45.2, 1-9. Online: https://n9.cl/jyl7x.
Melody, J. y col. (2004). «Early postmortem biochemical factors influence tenderness and water-holding capacity of three porcine muscles». En: Journal of animal science 82.4, 1195-1205. Online: https://n9.cl/p3k87.
Montoya-Camacho, N. y col. (2021). «Evaluation of biochemical, chemical, physical and microbiological quality of tilapia (Oreochromis niloticus) muscle during storage at 0 and 5° C». En: Biotecnia 23.2, 127-133. Online: https://n9.cl/v7uyd.
Nedji, N. y W. Loucif-Ayad (2014). «Antimicrobial activity of Algerian propolis in foodborne pathogens and its quantitative chemical composition». En: Asian Pacific Journal of Tropical Disease 4.6, 433-437. Online: https://n9.cl/x6o2o.
Peixoto, M. y col. (2021). «Antioxidant and antimicrobial activity of blends of propolis samples collected in different years». En: Lwt 145, 111311. Online: https://n9.cl/g93nd.
Przybyłek, I. y T. Karpi´ nski (2019). «Antibacterial properties of propolis». En: Molecules 24.11, 2047. Online: https://n9.cl/y2ps7.
Rebouças, L. y col. (2020). «Diferentes processos de salga na qualidade de filés de tilápia (Oreochromis niloticus)». En: Research, Society and Development 9.10, e1029108251. Online: https://n9.cl/ipoyi.
Roberts, T. y col. (2005). «Micro-organisms in foods 6: microbial ecology of food commodities». En: Springer. Cap. Fish and fish products, 174-249.
Rodríguez-Pérez, B. y col. (2020). «Composición química, propiedades antioxidantes y actividad antimicrobiana de propóleos mexicanos». En: Acta universitaria 30, e2435. Online: https://n9.cl/b02542.
Salleh, S. y col. (2021). «Analysis of bioactive compounds and chemical composition of Malaysian stingless bee propolis water extracts». En: Saudi journal of biological sciences 28.12, 6705-6710. Online: https://n9.cl/b9vwh.
Santos, T. y col. (2017). «Melipona mondury produces a geopropolis with antioxidant, antibacterial and antiproliferative activities». En: Anais da Academia Brasileira de Ciências 89, 2247-2259. Online: https://n9.cl/yuesa.
Sarıkahya, N. y col. (2021). «Chemical composition and biological activities of propolis samples from different geographical regions of Turkey». En: Phytochemistry Letters 44, 129-136. Online: https://n9.cl/bg9l9.
Suarez, H., Á. Jiménez y C. Díaz (2014). «Determination of microbiological and sensoryparameters of fish fillets with propolis preserved under refrigeration». En: Revista MVZ Córdoba 19.3, 4214-4225. Online: https://n9.cl/ev171.
Talledo-Solórzano, V., S . Chavarría L.and Zambrano y G. Cuenca (2020). «Efecto del uso de bacterias ácido lácticas en la inhibición del deterioro microbiológico de filetes de tilapia roja (Oreochromis sp.)» En: Journal of Science and Research 5.CININGEC, 363-383. Online: https://n9.cl/90w8c.
Torres, A. y col. (2018). «Chemical characterization, antioxidant and antimicrobial activity of propolis obtained from Melipona quadrifasciata quadrifasciata and Tetragonisca angustula stingless bees». En: Brazilian Journal of Medical and Biological Research 51.6, Online: https://n9.cl/8m4v9.
Valencia-Junca, M. y col. (2019). «Chitosan beads incorporated with essential oil of Thymus capitatus: Stability studies on red Tilapia fillets». En: Biomolecules 9.9, 458. Online: https://n9.cl/wme2i.
Vargas-Sánchez, R., G. Urrutia y A. Escalante (2013). «El propóleos: conservador potencial para la industria alimentaria». En: Interciencia 38.10, 705-711. Online: https://n9.cl/1yp4e.
Vic˘a, M. y col. (2021). «The antimicrobial activity of honey and propolis extracts from the central region of Romania». En: Food Bioscience 41, 101014. Online: https://n9.cl/1y0in.
Viloria, J. y col. (2012). «Caracterización fisicoquímica del propóleo de la región del bajo cauca antioqueño (Antioquia, Colombia)». En: Biotecnología en el sector agropecuario y agroindustrial 10.1, 77-86. Online: https://n9.cl/lgnqd.
Zapata, J. y G. De la Pava (2018). «Physicochemical analysis of frankfurter type sausages made with red tilapia fillet waste (Oreochromis sp) and quinoa flour (Chenopodium quinoa W.)» En: Brazilian Journal of Food Technology 21, e2016103. Online: https://n9.cl/3bht9.
Zhang, C. y col. (2017). «Identification of free radical scavengers from Brazilian green propolis using off-line HPLC-DPPH assay and LC-MS». En: Journal of food science 82.7, 1602-1607. Online: https://n9.cl/lb1t6.
Notas