Resumen: El retroceso de los glaciares es una realidad en toda la cordillera de los Andes, sobre todo en montañas de baja altitud. Uno de estos casos es la pérdida de la masa de hielo remanente en el Carihuairazo (Tungurahua, Ecuador), que en los últimos años ha experimentado un retroceso considerable. En esta investigación se intenta caracterizar el retroceso de este glaciar y su implicación en la comunidad más cercana (Cunucyacu) por medio de la aplicación de una metodología de múltiples fuentes que incluye la recopilación de aerofotografías del glaciar, datos de estaciones meteorológicas cercanas, uso de datos de reanálisis del clima global, entrevistas a miembros de la comunidad y a andinistas que trabajan y frecuentan la zona. Para caracterizar la evolución de la masa del glaciar aplicamos un modelo hidroglaciológico que usa como entrada datos de series meteorológicas y cuyos parámetros fueron calibrados con el registro fotográfico del contorno del glaciar. Como resultados se puede evidenciar una pérdida del glaciar para el 2021 equivalente al 99% de su superficie en 1956 (0.34 ). El modelo logra simular la variación del área del glaciar durante 67 años, en donde se observa un decrecimiento continuo del glaciar a partir de 1978, con cortos periodos de recuperación y equilibrio, en donde la temperatura es la variable que mejor explica el retroceso del glaciar. El modelo no logra considerar el efecto de factores externos como el caso de la erupción del volcán Tungurahua que podría favorecer el retroceso del glaciar. El glaciar Carihuairazo se encuentra en una situación de inevitable desaparición y revela las vulnerabilidades de las comunidades que se enfrentan a este fenómeno como consecuencia del cambio climático.
Palabras clave: retroceso glaciar, glaciares, modelo hidroglaciológico, cambio climático, Carihuairazo, Cunucyacu.
Abstract: The retreat of glaciers is a reality throughout the Andes Mountain range, especially in low-altitude mountains. One of these cases is the loss of the remaining ice mass in Carihuairazo (Tungurahua, Ecuador), which in recent years has experienced a considerable retreat. This research aims to characterize the retreat of this glacier and its implications for the nearby community (Cunucyacu) through the application of a multi-source methodology, which includes the collection of glacier aerial photographs, data from nearby meteorological stations, the use of global climate reanalysis data, interviews with community members, and mountaineers who work and frequent the area. To characterize the glacier’s mass evolution, a hydroglaciological model was applied, using input data from meteorological series, and its parameters were calibrated with the photographic record of the glacier’s outline. The results show a glacier loss of 99% of its surface in 1956 (0.34 ) by 2021. The model successfully simulates the glacier area variation over 67 years, revealing a continuous decrease since 1978, with short periods of recovery and equilibrium, where temperature is the variable that best explains the glacier’s retreat. However, the model fails to consider the effect of external factors, such as the eruption of the Tungurahua volcano that could enhance the glacier retreat. The Carihuairazo glacier is in a situation of inevitable disappearance, highlighting the vulnerabilities of communities facing this phenomenon as a consequence of climate change.
Keywords: Glacier retreat, glacier, hydroglaciological model, climate change, Carihuairazo, Cunucyacu.
Retroceso del glaciar del Carihuairazo y sus implicaciones en la comunidad de Cunucyacu
Carihuairazo glacier retreat and its perception in the Cunucyacu community

Recepción: 13 Octubre 2022
Revisado: 31 Diciembre 2023
Publicación: 01 Marzo 2024
Hidalgo et al. (2024). Retroceso del glaciar del Carihuairazo y sus implicaciones en la comunidad de Cunucyacu. La Granja: Revista de Ciencias de la Vida. Vol. 39(1):92-115. http://doi.org/10.17163/lgr.n39.2024.06.
Los glaciares desempeñan un papel significativo en la sostenibilidad de los ecosistemas y el equilibrio ambiental de las regiones en donde se encuentran, como en los páramos (Aguilar-Lome y col., 2019; García, 2022).
Los glaciares actúan como reservorios de agua, que inciden en todos los aspectos relacionados con su uso, tanto para riego como para consumo, además de su empleo para procesos mineros y de generación hidroeléctrica (Vuille, 2013; Naranjo-Silva, 2024). La disminución de caudales, asociados con el retroceso glaciar provoca escasez y genera conflictos por los derechos de uso entre los habitantes de zonas montañosas y empresas que quieren controlar el acceso al agua (Vuille, 2013). Además de contribuir con el abastecimiento de agua, regular el clima y mantener un hábitat para la biodiversidad, para Vilela (2011), mantienen una evidente influencia en los ámbitos de cultura, identidad, los imaginarios y turismo.
El Carihuairazo es un estrato volcán apagado que se ubica en la cordillera Occidental de los andes ecuatorianos. El glaciar contribuye a varios afluentes, pero principalmente a los ubicados hacia el flanco este de la montaña. Una de las poblaciones más cercanas al glaciar es la comunidad Cunucyacu, perteneciente a la parroquia Pilahuín, al sur oeste del cantón Ambato en la provincia de Tungurahua, en la zona centro del Ecuador y ubicada al norte del Carihuairazo. Actualmente, en la comunidad se percibe una disminución de la cantidad de agua originada en la montaña. Considerando los trabajos previos de Cáceres y Cauvy (2015), desde el año 2003 el retroceso del Carihuairazo ha sido evidente y este proceso apunta hacia su inevitable extinción (Francou y col., 2011), la misma que podría ocurrir en los próximos años. Postigo (2013) resalta el interés de conocer el impacto del retroceso glaciar desde la perspectiva de los varios actores involucrados en conflictos subyacentes, cada uno de ellos con intereses y prioridades tan distintas y enfrentadas entre sí. En este sentido, resultan valiosos los testimonios y percepción de diferentes actores de este entorno, así como agentes sociales involucrados con experiencias de conservación.
Durante las últimas décadas, los glaciares alrededor del mundo han experimentado una reducción en su volumen (Bahr y Peckham, 1997; Basantes, 2010; Condom y col., 2011; Favier y col., 2008; Hugonnet y col., 2021). El retroceso glaciar es definido por Johansen y col. (2019) como la incapacidad de almacenar agua durante los periodos más fríos y liberarlos en forma de líquido de deshielo durante la estación seca. El 99% de los glaciares tropicales del mundo están ubicados en los Andes (Condom y col., 2011), los mismos que han experimentado un balance de masa negativo de 0;42 ± 0;24 m/año (Dussaillant y col., 2019) y se tiene evidencia con imágenes satelitales y aerofotografía (Basantes, 2010; Condom y col., 2011). Éste acelerado retroceso ha causado preocupación a nivel mundial respecto a la disponibilidad de los recursos hídricos, como una consecuencia de la variabilidad climática (French y col., 2016).
Considerando el efecto que tendría el cambio climático, existe una necesidad de generar conciencia en las poblaciones cercanas a glaciares sobre los cambios en los patrones climáticos y sus consecuencias socio ambientales, ya que de esta manera, como lo propone Rhoades (2008) se puede comprender mejor la urgencia de adoptar estrategias de mitigación y adaptación comunitarias que involucren y favorezcan a los agricultores locales frente a los nuevos escenarios climáticos (Pacheco-Peña, Quinga y Moretta, 2023), tomando en cuenta la necesidad de conservar los páramos como un ecosistema sensible al retroceso glaciar, tal como lo señala (Cabrera y Romero, 2013), en su evaluación cualitativa de la vulnerabilidad al cambio climático de los principales ecosistemas del Distrito Metropolitano de Quito.
Los cambios en el volumen en los glaciares tropicales están sujetos a las condiciones atmosféricas (Favier y col., 2008; Sicart, Hock y Six, 2008), condiciones morfológicas del glaciar y condiciones topográficas (Vuille, 2013). La precipitación se almacena como nieve y hielo, contribuyendo a la acumulación de masa del glaciar (Favier y col., 2008). El derretimiento está controlado por la variación de los flujos de energía de la atmósfera, como el flujo turbulento influenciado por el gradiente de temperatura entre el aire y el hielo, y el flujo latente influenciado por la humedad (Sicart, Hock y Six, 2008). Se ha visto también que existe una correlación entre la temperatura y la fusión en los glaciares (Sicart, Hock y Six, 2008). En el caso de la existencia de un retroceso sostenido de un glaciar, la característica principal de este fenómeno es la fusión de las enormes masas de hielo sin que exista la posibilidad de regenerarse (Sandoval, 2021). Para analizar este fenómeno en los glaciares tropicales, Ramírez (2008) menciona entre sus principales causas las variaciones de los patrones climáticos como precipitación y temperatura, puesto que, si no coinciden temporalmente precipitaciones y bajas temperaturas, no se puede formar nieve permanente que renueve y mantenga los ciclos de regulación hídrica asociados con los glaciares. Sin embargo, este es un fenómeno complejo multivariable, que no es controlado únicamente por la cantidad de precipitaciones y la temperatura, pues influirán también factores como el albedo, la orientación, pendiente, entre otros. Por ejemplo, el depósito de cenizas sobre el glaciar causado por erupciones volcánicas puede cambiar el coeficiente de albedo, alterando el balance de energía (Salcedo, 2019).
Se han desarrollado diversos modelos para simular la variación de volumen en los glaciares. El modelo ITGG-2.0 propuesto por Juen (2006), se fundamenta en un perfil vertical de masas, donde se calcula el cambio de densidad en función de la altitud. En este modelo, la variación de energía respecto a la altitud se basa únicamente en los gradientes de albedo y temperatura. Además, se realiza un balance energético completo que incluye la estimación de los flujos turbulentos latentes y sensibles. Por otro lado, el modelo WEAP propuesto por Condom y col. (2011) es más amplio. A diferencia del modelo anterior, no emplea un balance energético completo que considera todos los procesos de los glaciares, lo cual requiere datos detallados y cálculos complicados. En su lugar, el modelo divide el área de la cuenca en franjas de altura, algunas sin glaciar, otras con y sin glaciar, y otras completamente con glaciar. El volumen total se determina a partir de las interacciones entre estas franjas. Un modelo más general es el modelo ICE-KISS propuesto por Pouget (2011). Este modelo considera una división dinámica de los glaciares basada en un límite de temperatura en las zonas de acumulación y ablación. De esta manera, se tienen en cuenta la sublimación y otras variables explicativas. El modelo utiliza una separación de áreas del glaciar en zona de acumulación y zona de ablación (la cual se subdivide en alta y baja), siendo la diferencia principal la temperatura. En el país se han propuesto varios modelos empíricos y físicos que han abordado el pasado y futuro de los glaciares en función del clima y las condiciones morfológicas donde está emplazado el glaciar. Existen varios modelos para evaluar el estado de la lengua glaciar 15 del Antisana (Cáceres y col., 2006; Basantes-Serrano y col., 2016) y 12 del Antisana (Gualco y col., 2022) y un modelo de dinámica glaciar para evaluar el estado de todo el casquete. (Domínguez y col., 2012), propuso un modelo para el glaciar 15 del Antisana.
En esta investigación se pretende caracterizar el retroceso del glaciar del Carihuairazo por medio del uso de un modelo hidroglaciológico, de un registro fotográfico y del análisis de la influencia de factores climáticos y factores externos. Adicionalmente, se pretende analizar las problemáticas derivadas del retroceso glaciar del Carihuairazo considerando la percepción de andinistas y a otros agentes sociales que viven, frecuentan o trabajan en esta zona. En este sentido, se pretende confrontar la información científica que valida la pérdida física del glaciar gracias a los trabajos hidrológicos y glaciológicos, con la percepción de algunos habitantes y otros actores sociales que trabajan en la zona.
2.1 Superficies glaciares
El área donde realizamos esta investigación corresponde al volcán Carihuairazo y a la comunidad Cunucyacu (Figura 1), perteneciente a la parroquia Pilahuín. Esta comunidad está asentada a una altura de 4057 m.s.n.m y a 9,25 km del volcán Carihuairazo. El Carihuairazo se ubica geográficamente en las coordenadas 1°2425S 78°4500O y alcanza una elevación de 5018 m s. n. m. Es un estratovolcán que colapsó hacia el WNW (West-North West), situado a 10 km al Noroeste del volcán Chimborazo y a 35 km del volcán Tungurahua. Se desconoce la fecha de su última erupción, no obstante, Clapperton (1990) señala que pudo ocurrir hace once mil años. De los páramos del Carihuairazo nacen ríos (Figura 1) que van a regar zonas áridas de las provincias de Tungurahua y Chimborazo. Aquí se origina el río Blanco, que aguas abajo se unirá al río Colorado o Pucuyacu, que descendiendo por los arenales del Chimborazo formarán el río Ambato (Moreno, 2023).

Mapa del área de estudio correspondiente al glaciar del Carihuairazo, la ubicación de la comunidad de Cunucyacu y el drenaje de las fuentes hídricas en la comunidad de Cunucyacu. Adicionalmente, se identifica la ubicación de las estaciones meteorológicas más cercanas al glaciar. Fuente: Modelo Digital del Terreno (MDT) de Ecuador. Catálogo de metadatos de Sigtierras.
2.2 Meteorología
Para caracterizar el retroceso glaciar del Carihuairazo y conocer la percepción de la comunidad de Cunucyacu ante su extinción hemos utilizando una metodología de múltiples fuentes como lo hiciera Rhoades (2008), en su estudio sobre la desaparición del glaciar del Cotacachi, que incluyen: fotografías repetitivas, datos de estaciones meteorológicas, entrevistas a miembros de la comunidad de Cunucyacu y a andinistas que trabajan y frecuentan la zona, entrevistas a actores sociales con experiencias de conservación de páramos desde la década de 1970. En este estudio hemos recopilado distintas mediciones del glaciar desde 1956, considerando los trabajos previos de Cáceres y Cauvy (2015). Este contorno glaciar fue la referencia para comparar el porcentaje de pérdida hasta la actualidad. Para complementar esta información, se compiló también un registro fotográfico de la montaña desde la década de 1950. Contamos también con datos meteorológicos provistos por las estaciones del INAMHI (Instituto Nacional de Meteorología e Hidrología) más cercanas a las zonas de estudio. Finalmente, para contrastar la información meteorológica con la percepción de la población involucrada tal como lo hiciera La Frenierre y Mark (2017), en su estudio de la desglaciación del Chimborazo, realizamos también entrevistas a los dirigentes de la comunidad de Cunucyacu, andinistas que frecuentan la zona y a agentes sociales involucrados con experiencias de conservación. De igual forma, nos interesamos por relacionar las variables climáticas con la actividad volcánica del Tungurahua y su influencia en la evolución del glaciar del Carihuairazo.
2.2.1 Datos glaciológicos
El dato más antiguo que se conoce es la superficie del glaciar del Carihuairazo en 1956, la que entonces alcanzaba una superficie de 0,34
, a partir de allí consideramos las mediciones del contorno glaciar realizadas por Cáceres y Cauvy (2015) y Villacis (2008) y Rosero y col. (2021). Además, se realizó una medición actualizada para contrastar con las mediciones disponibles desde que comenzó a monitorearse en el año 2003. En los datos de áreas disponibles existe un vacío de información entre el año 2010 al 2015.
2.2.2 Datos climáticos e instrumentación meteorológica in situ
Los datos meteorológicos fueron suministrados por estaciones pertenecientes al INAMHI (Instituto Nacional de Meteorología e Hidrología). Se usó como referencia para el estudio del glaciar la estación “Glaciar 11 Chimborazo” (M5151) ubicada en el flanco suroeste del Carihuarizo a una distancia de 1 km y a una altitud de 4428 m.s.n.m. Para el tratamiento de datos de temperatura se usó la estación “Querochaca” (M0258) ubicada en el cantón Cevallos a una altitud de 2865 m.s.n.m. Los datos de precipitación se obtuvieron de las estaciones M0258, M1107 (Laguacoto) y M1036 (Politécnica Riobamba) a una distancia de 18, 35 y 28 km de la estación M5151, respectivamente. El proceso de validación y relleno de datos para la estación de referencia incluyó pruebas de homogeneidad, regresión lineal y regresión ortogonal, utilizando como ponderación la distancia (Guijarrom, 2023).
Para poder correr el modelo desde el año en donde se tiene el primer registro de su superficie (1956), se utilizaron los datos de la quinta generación de reanálisis ERA5 (Hersbach y col., 2020) desde 1956 hasta 2022. Esta información fue calibrada a los datos observados de la estación de referencia por medio de un desescalamiento estadístico a partir de la calibración de la distribución de probabilidad acumulada de la variable respecto a una distribución gamma. A partir de la calibración se estimó el error correspondiente a los datos del reanálisis.
Los datos de humedad relativa y de velocidad del viento son escasos en estas cuatro estaciones (sobre todo para los años anteriores al 2010), por tal razón se usó los datos del reanálisis ERA5 con su respectivo error (Hersbach y col., 2020).
2.2.3 Actividad volcánica del Tungurahua
El volcán Tungurahua está ubicado a 35 km del Carihuairazo, su actividad volcánica reciente afectó con deposición de ceniza sobre los glaciares del Carihuairazo y su vecino Chimborazo. La superficie opaca producida por la capa de ceniza puede afectar los valores del albedo de las masas de hielo, contribuyendo al proceso de derretimiento.
El proceso eruptivo del Tungurahua comenzó en 1999 y continuó hasta el año 2016. De acuerdo con los reportes de (Instituto Geofísico de la Politécnica Nacional, 2015) de la Escuela Politécnica Nacional y del diario (El Comercio, 2009; El Comercio, 2016). Durante más de 16 años, el proceso eruptivo del volcán Tugurahua fue permanente y afectó a varias zonas de la región centro del Ecuador, de manera especial a las provincias de Chimborazo y Tungurahua principalmente por la continua emisión de ceniza que perjudicó a la agricultura, ganadería e incluso implicó en algún momento la evacuación de poblaciones aledañas.
2.3 Modelo hidroglaciológico
El modelo hidroglaciológico utilizado para simular la variación del volumen del glaciar del Carihuairazo es una simplificación del modelo realizado por (Piedra Santillan, 2021) en el Antisana. El modelo calcula la variación del volumen del glaciar mensualmente a partir de un balance de energía que se realiza con perfiles verticales de la variación de la masa a diferentes altitudes. A diferencia de otros modelos más complejos en donde se considera una cuenca hidrográfica con una superficie glaciar y se estima el caudal producido por el conjunto glaciar y no glaciar (Fernádez, 2018; Piedra Santillan, 2021), este modelo se limita al glaciar. Para la aplicación del modelo se considera una división dinámica del glaciar que depende de un límite de temperatura en la zona de acumulación y ablación. La línea de altura de equilibrio (LAE) representa la altura que separa ambas zonas (Juen, 2006).
2.3.1 Variación del volumen glaciar
El modelo se aplica a una escala temporal anual (i) y mensual (j). La relación entre el volumen y el área del glaciar está dada por la ecuación (Bahr y Peckham, 1997):

Donde Ag es el área del glaciar, V g es el volumen del glaciar y b, c son constantes de calibración (sección 2.3.5). La variación del volumen del glaciar (
) para un año dado viene dado por:

Donde
es la variación del volumen en la zona de ablación,
es la variación del volumen en la zona de acumulación,
y
corresponden a la densidad del agua y del hielo, respectivamente.
2.3.2 Zona de ablación
La zona de ablación se divide en dos 2 zonas con contribuciones distintas, la zona alta (
) y baja (
). La delimitación de las zonas se explica en la sección 2.3.4. La variación en la zona de ablación se estima a partir de la suma mensual en un año, del volumen de precipitación total (
), de derretimiento (
) y de la sublimación (
):

El volumen de precipitación y sublimación se estima a partir de multiplicar el área de la zona de ablación por la altura de precipitación y sublimación, respectivamente. Cabe recalcar que estos términos se calculan de manera separada para usarlos en la ecuación 3. La sublimación mensual se estimó con una relación empírica, considerando el flujo turbulento de calor latente que depende principalmente de la velocidad del viento y la humedad (Francou y col., 2004):

Donde a es una constante para la homogeneidad de la ecuación, u es la velocidad media mensual del viento en m/s, q es la humedad específica y qs es la humedad específica para la superficie de hielo o nieve en condiciones de fusión en cada mes. El cálculo de la humedad específica se realiza a partir de la metodología propuesta por Pouyaud, Francou y Ribstein (1995).
Para el caso del volumen de derretimiento su estimación es la suma del volumen de derretimiento en la zona de ablación alta y baja:

Donde F es un factor de corrección que depende de la variación de la radiación incidente por la posición geográfica, azimuth y la pendiente
, es la fusión en la zona de ablación alta y baja, y
es el área de ablación alta y baja. Para el caso del glaciar Carihuairazo, a partir del análisis de la distribución de pendientes y de la altimetría de la montaña, se ha estimado una pendiente constante de 25° y un azimuth de 270°. El factor de corrección es estimado como la radiación incidente mensual para la radiación incidente media, sin considerar la nubosidad debido a que no se dispone de datos. La fusión se calcula en función de la temperatura, en donde solamente existirá fusión si es que la temperatura en la zona es mayor a la temperatura límite de fusión:

Donde
es la constante de derretimiento,
es la temperatura y
es la temperatura límite, en la zona de ablación alta y baja, respectivamente. Las constantes de derretimiento de cada zona fueron calibradas (sección 2.3.5). El valor de la temperatura límite
(separa la zona de ablación de la zona de acumulación) usado ha sido de
y para
(separa la zona de ablación en alta y baja) de
(Favier y col., 2004; Francou y col., 2004; Pouget y col., 2017). De acuerdo con Favier y col. (2004), estos umbrales representan la mejor correlación entre valores diarios de nieve acumulada y la variación del albedo para el caso del Antisana. Para el caso mensual, el umbral de temperatura separa la precipitación en estado líquido y en estado sólido (Francou y col., 2004).
2.3.3 Zona de acumulación
La variación del volumen en la zona de acumulación se estima a partir de la diferencia entre la precipitación y la sublimación, ya que en esta zona no existe derretimiento. La ecuación es la siguiente, donde
es la sublimación en la zona de acumulación y
es el área de la zona de acumulación.

2.3.4 Alturas límite, áreas y temperaturas
Las alturas límite son variables importantes que permiten hacer la división dinámica del glaciar en las tres zonas (acumulación, ablación alta y baja). La altura límite superior (separa la zona de acumulación y ablación) y la altura límite inferior (separa la zona de ablación superior e inferior) se estiman con:

Donde
es la temperatura del aire en la estación de referencia,
es la altitud de la estación de referencia y
es el gradiente de temperatura respecto de la altitud, el cual se asocia con variaciones en la circulación atmosférica y disponibilidad de humedad relativa (Villacis, 2008). Este gradiente está en el orden de
,
a
,
para los niveles de 500 y 600 hPa (Villacis, 2008). El gradiente de temperatura usado en el modelo fue de
,
, obtenido a partir de las estaciones y ajustado al glaciar. Este valor es similar a
,
usado por Pouget (2011) en la cuenca del Paute (Ecuador).
Usando la evidencia de las imágenes del contorno del glaciar con la altura límite de la extensión, el área de las diferentes zonas del glaciar fue estimada a partir de una función polinómica respecto a la elevación. Usando la ecuación se determina el área de la zona acumulación directamente (Aac) y el área hasta la separación de la zona de ablación alta y baja (Aacab). En donde las áreas de la zona de ablación alta y baja se determinan con:


Finalmente, la temperatura en la zona de ablación alta y baja para el cálculo de la fusión se calcula estimando una altura media en cada zona y usando una función polinómica que relaciona la temperatura respecto a la elevación.
2.3.5 Calibración de los parámetros del modelo glaciológico y estimación de incertidumbre
El modelo glaciológico requiere de cuatro parámetros para su calibración (
Tanto los parámetros de la relación área-volumen del glaciar, como las constantes de derretimiento de cada zona fueron calibradas usando como función objetiva el estimador Nash-Sutcliffe entre las observaciones anuales disponibles del área del glaciar y la simulación del modelo a partir de un método de optimización de segundo orden de Newton (Byrd y col., 1995). Para la calibración se utilizó las series meteorológicas calibradas del reanálisis y los valores observados en la estación de referencia. A estos parámetros se les llama parámetros de referencia del modelo.
Para la estimación de la incertidumbre respecto al área anual del modelo glaciológico se realizó el siguiente procedimiento. Primero, se generaron 10000 series de datos mensuales de cada variable meteorológica de entrada de manera aleatoria. Para cada variable y en cada mes, el valor fue generado aleatoriamente siguiendo una distribución normal con media igual al valor calibrado del reanálisis o el valor observado de la variable y con una desviación estándar correspondiente al error entre los valores calibrados del reanálisis y los valores observados de la estación de referencia. Para cada set de series generadas, se realizó la calibración de los parámetros del modelo glaciológico. Posteriormente, se corrió el modelo con las series calibradas del reanálisis y se utilizaron todos los sets de parámetros calibrados (10000) para evidenciar la influencia de los parámetros calibrados en el modelo. Finalmente, se realizaron nuevamente las 10000 corridas del modelo con los diferentes sets de series meteorológicas utilizando los parámetros de referencia. En este sentido, se pretendió evaluar el efecto de la incertidumbre de los datos de entrada del modelo.
2.4 Percepción de la comunidad
El presente estudio confronta la información científica que valida la pérdida física del glaciar gracias a los trabajos hidrológicos y glaciológicos con la percepción de las comunidades de la zona. Para ello recurrimos a entrevistas semiestructuradas dirigidas a dos miembros de la dirigencia de la comunidad de Cunucyacu; participamos de una asamblea general de toda la comunidad, entrevistamos a ocho guías y andinistas que visitan con frecuencia esta montaña, de esta manera registramos y comparamos sus observaciones y percepciones sobre el retroceso del glaciar del Carihuairazo en los últimos treinta años. Entrevistamos además a siete actores socio ambientales relacionados con el cuidado del páramo que ampliaron la mirada de esta situación y sus implicaciones.
La comunidad nos recibió en su asamblea general, realizada el 11 de septiembre del 2020. En ella los 56 participantes de esta reunión expresaron que su mayor preocupación respecto a este fenómeno se circunscribe a una posible disminución de visitantes al lugar, por otra parte consideran que desde el tiempo de sus abuelos nunca les faltó agua, y aunque el retroceso del glaciar les resulta evidente, confían en que la pérdida del glaciar del Carihuairazo no les afectará significativamente, y no tendrían ningún inconveniente en el futuro, asociado con la gestión del agua en la zona. El cambio climático y sus consecuencias no son un problema relevante en sus discusiones.
Se realizaron también entrevistas a varios miembros de la comunidad de Cunucyacu, el Sr. Luis Punina, guía comunitario de Cunucyacu, realizada el 01 de septiembre de 2020. A los cinco miembros de la directiva de la comunidad el 11 de septiembre del 2020. Al Señor Segundo Enrique Punina, Presidente del cabildo de la comunidad de Cunucyacu, el 16 de Septiembre de 2020. Tanto los miembros de comunidad como los ocho andinistas entrevistados coinciden en el dramático retroceso glaciar en el Carihuairazo. Sus preocupaciones y motivaciones pueden ser distintas, pero nos remiten al mismo origen del problema, la pérdida de la masa de hielo, que deja un serio traumatismo en su percepción de este ambiente. Cada vez menos turistas, más peligros en las rutas de ascenso, menos disponibilidad de agua, y la incertidumbre por un futuro sin glaciares en los Andes.
3.1 Resultados
3.1.1 Series de precipitación y temperatura
Se determinó una buena correlación entre las estaciones meteorológicas usadas en el estudio. El coeficiente de correlación alcanzó un valor de 0,67 y 0,82 para la precipitación y temperatura mensual, respectivamente. A partir del proceso de validación y relleno de datos con las estaciones meteorológicas se definió la serie de precipitación en la estación de referencia desde el año 2002 al 2017. Para el caso de la temperatura, la serie se definió desde el año 1995 al 2012 (Figura 2). Respecto a la calibración con los datos del reanálisis del ERA5, el desescalamiento estadístico produjo una serie reconstruida desde el año 1956 hasta el 2022 para la precipitación y la temperatura del aire (Figura 2). El coeficiente de correlación entre la serie calibrada del reanálisis y la estación de referencia fue de 0,59 y 0,74 para la precipitación y temperatura, respectivamente.
3.1.2 Condiciones climáticas en el glaciar
En la Figura 3 se puede ver la variación anual de la precipitación y temperatura en la zona de estudio. La precipitación varía entre 458 y 1281 mm y la media es de 770 mm. No se puede apreciar una tendencia en la variación temporal de la precipitación (factor de variación porcentual positivo del 3%). Los años más húmedos corresponden al 1983, 1984, 1994, 1998, 2008 y 2017. Por el contrario, los años más secos son 1961, 1962, 1986, 2003, 2009 y 2013. Respecto a la temperatura, el valor medio es de 0,7° y oscila entre
y
. A diferencia de la precipitación, la temperatura tiene una clara tendencia positiva (factor de variación porcentual del 137%). A excepción del año 1998, los años más cálidos se encuentran a partir del 2013.
3.1.3 Límite glaciar entre 1956 y 2021
Apenas se cuenta con 12 registros de contornos del glaciar Carihuarizo entre 1956 y 2021 (Figura 4). Los registros se basan en fotografías aéreas y mediciones topográficas, sobre todo a partir del año 2003. Solamente se tiene un registro anterior (1956). Se ha identificado una tendencia a la disminución de la superficie del glaciar a partir de la primera estimación correspondiente al año de 1956. Esta superficie será considerada referencial para próximas estimaciones del contorno del glaciar tanto para los registros fotográficos como para las salidas del modelo. Para el año 2003, el glaciar ya había perdido un 30% con respecto a la superficie de referencia.

Precipitación (superficie azul) y temperatura media (superficie roja) mensual para un intervalo de confianza del 95% en la zona cercana al glaciar Carihuairazo después de calibrar los datos del reanálisis ERA5 con las observaciones de la estación de referencia (línea negra) dentro del periodo de 1956 a 2022.

Precipitación acumulada (barras azules) y temperatura media (línea naranja) anual en la zona cercana al glaciar Carihuairazo en el periodo de 1956 a 2022 obtenido de la calibración de los datos de reanálisis ERA5 con la estación de referencia.
Lamentablemente, existe un vacío de información entre 1956 y el año 2003, por lo que no se puede apreciar si es que existieron periodos de recuperación del glaciar. Para el año 2015, ya registraba una pérdida del 90% comparado con el año 1956. En el año 2017 y 2021, la pérdida glaciar alcanza el 96% y 99%, respectivamente.
Gracias al archivo fotográfico del reconocido andinista Marco Cruz, se elaboró la Figura 5, en la que evidenciamos la secuencia temporal del retroceso glaciar en el Carihuairazo. De acuerdo con la definición de CECS (2009), un glaciar es una masa de hielo de al menos 0,1 de extensión. Si consideramos que en el 2017 el área medida es de 0,015 , confirmamos que la masa de hielo remanente ya no puede ser considerada como un glaciar.

Mapa del área de estudio que muestra la evolución del retroceso glaciar del Carihuairazo. Los contornos de la superficie glaciar fueron medidos por primera vez en 1956 a través de fotografías aéreas. Existen distintas mediciones topográficas de campo a partir de 2003 hasta 2021, a cargo de diferentes equipos de investigación, que revelan la disminución de esta masa de hielo. El contorno externo azul muestra la superficie considerada como referencial registrada en 1956. Por otra parte, el polígono rojo ilustra la última medición de campo realizada en 2021. Fuente: Adaptación de Cáceres y Cauvy (2015) y de Rosero y col. (2021).
3.2 Modelación del glaciar del Carihuairazo
El modelo fue corrido desde el año 1956 hasta el 2022 y sus resultados se pueden observar en la Figura 6. El modelo muestra la recuperación del área del glaciar desde 1956 hasta 1963, seguido por un periodo de estancamiento de varios años para posteriormente tener un incremento importante entre 1973 y 1976. A partir de este año, se muestra un retroceso continuo del glaciar a lo largo del tiempo, con escasos periodos de recuperación. Se puede observar que el modelo simula satisfactoriamente la evolución del área del glaciar hasta el año 2010. El modelo capta bien la tendencia decreciente general y las variaciones en el área, inclusive la recuperación de la masa del glaciar en el año 2008. Para este periodo, el estimador de Nash-Sutcliffe (nse) es de 0,82 y el error cuadrático medio (rmse) es de 0,01
. Sin embargo, el modelo no logra simular correctamente el área del glaciar en los años 2015, 2017 y 2021. Considerando todo el periodo, el nse y el rmse alcanzan un valor de 0,77 y 0,03
, respectivamente.
La incertidumbre asociada a las variables de entrada y a los parámetros del modelo están representadas en la Figura 6. El rango más pequeño corresponde a 10000 simulaciones del modelo con cambios en las variables de entrada, utilizando los parámetros de referencia calibrados del modelo (Tabla 1). En este caso se puede ver que la banda incrementa su tamaño en relación con los años, y que la mayor incertidumbre se aprecia en las dos últimas décadas. El segundo rango, que tiene mayor amplitud, corresponde a 10000 simulaciones del modelo con parámetros calibrados para cada uno de los 10000 sets de las variables de entrada.

Fotointerpretación. Las imágenes corresponden a la misma perspectiva de la cumbre central del Carihuairazo, desde el flanco sur pertenecientes al archivo de Marco Cruz. Los círculos del mismo color muestran el mismo punto de la montaña y cómo ha variado desde la década de 1970 hasta los primeros años de la década del 2000. En ellas puede apreciarse el cambio producido en la montaña en los cinco puntos de referencia considerados en el transcurso de las últimas décadas del siglo XX. En la actualidad el glaciar lo podemos considerar prácticamente extinto.
Fuente: Archivo personal de Marco Cruz.En este caso se puede apreciar la mayor incertidumbre en los primeros 25 años y en los últimos 7 años de la simulación. Entre los años 80 hasta el 2010, el rango de incertidumbre es similar al del primer rango. De cualquier forma, independientemente de la combinación, se puede apreciar que el modelo simula claramente la pérdida de masa del glaciar, que aumenta a partir de la segunda parte de los años 80s.

Parámetros calibrados del modelo hidroglaciológico. El rango corresponde al 95% de los 10000 valores alrededor de la mediana.
El modelo permite estimar las variables de entrada y de salida del glaciar que incrementan y reducen el tamaño del glaciar, respectivamente. En la Figura 7 se puede apreciar estas variables en el periodo de corrida del modelo. La variable predominante es la fusión, siendo la variable más alta en el 58% del tiempo. La precipitación es la mayor variable en 28 ocasiones, siendo el 69% antes de 1980 y solamente en una ocasión después del año 2000. La sublimación es baja con relación a las otras variables, oscilando alrededor de 100 mm de altura de agua equivalente. En relación con el balance entre entradas y salidas, existe un déficit en el 61% del tiempo. Esto explica la pérdida de masa del glaciar que se evidencia en el comportamiento de la variación del área del glaciar, en donde en pocos años se puede observar una recuperación del mismo.
3.3.1 Modelo hidroglaciológico e influencia de factores climáticos y externos
El modelo hidroglaciológico se corrió desde el año 1956 correspondiente a la primera medición disponible del glaciar. Para complementar los datos de las variables climáticas se utilizó el producto del reanálisis ERA5. Los datos de reanálisis se han utilizado en otros estudios en la región como el caso del volcán Antisana (Bradley y col., 2009; Manciati y col., 2014; Basantes-Serrano y col., 2022). Manciati y col. (2014) encontró que las variables del reanálisis NCEP-NCAR (Kalnay y col., 1996) combinado con datos de estaciones regionales tienen una buena correlación con la pérdida de masa del glaciar. Basantes-Serrano y col. (2022) utilizó el reanálisis ERA5 para estimar el efecto del clima y la topografía en la variación del volumen del Antisana, en donde se encontró que la serie del reanálisis fue capaz de capturar la estacionalidad de la precipitación y temperatura en el lado occidente del volcán. En este estudio se utilizó el reanálisis ERA5 debido a que presentó una mejor correlación con la estación de referencia para la temperatura respecto al reanálisis NCEP-NCAR.

Simulación de la variación del área del Glaciar del Carihuairazo (1956-2022) como producto del modelo hidroglaciológico. Las cruces rojas correspoden a las mediciones observadas de las fotos aéreas (la primera medición de 1956 es representada en el modelo como el valor final del año 1955). La línea continua oscura con puntos representa la simulación del modelo con la serie del reanálisis calibrado. La superficie azul clara representa el 95% de las 10000 simulaciones realizadas con la variación de las variables de entrada utilizando los parámetros calibrados. La superficie azul oscura representa el 95% de las 10000 simulaciones realizadas con las variables de entrada del reanálisis calibrado y los diferentes sets de parámetros calibrados para la variación de las variables de entrada. La banda azul más oscura representa la intersección de las bandas anteriormente descritas.
La serie de temperatura reconstituida presenta una clara tendencia positiva que se magnifica más a partir del año 2012. Esta tendencia está en concordancia con resultados obtenidos a nivel global (Hugonnet y col., 2021; Intergovernmental Panel on Climate Change (IPCC), 2022) y regional (Morán- Tejeda y col., 2016; Aguilar-Lome y col., 2019; Imfeldy col., 2021). La temperatura muestra un incremento de 0,14°C por década, un valor similar al 0,10°C encontrado en los andes de Perú (Seiler, Hutjes y Kabat, 2013) y menor al 0,25°C encontrado a nivel del Ecuador (Morán-Tejeda y col., 2016). Para el caso de la precipitación no se encontró una clara tendencia. En un estudio de la tendencia climática en el Ecuador, Morán-Tejeda y col. (2016) no encontraron una tendencia significativa en la precipitación anual en la región interandina. Periodos húmedos como 1965-1966, 1983-1984, 1993-1994, 1997- 1998 y 2008, coinciden con el índice estandarizado de precipitación evapotranspiración positivo encontrado por Vicente-Serrano y col. (2017) en la región interandina. Se puede evidenciar un claro incremento de precipitación en el periodo 1983-1984 que coincide con el fenómeno del Niño extremo en ese periodo. Sin embargo, para el otro periodo de el Niño extremo (1997-1998) no hay un incremento significativo. Este comportamiento coincide con el estudio de extremos secos y húmedos en la ciudad de Quito realizado por Domínguez-Castro, García y Vicente (2018). Años secos como 1961-62, 1967, 1979, 1986, 1991, 2003 y 2009 coinciden con los resultados de Vicente-Serrano y col. (2017) y Domínguez-Castro, García y Vicente (2018).

Balance de masas anual en el Glaciar del Carihuairazo (1956-2022). Las barras representan las variables de entrada (precipitación) y salida (fusión y sublimación) que influyen en el balance de masas del glaciar.
Los parámetros calibrados a partir de las observaciones del área del glaciar están dentro de los valores típicos que se evidencian en la bibliografía (Tabla 1). Los parámetros que relacionan el área y el volumen del glaciar (a=0,014 y b=1,35) son similares a los recomendados al estudio de la relación de área-volumen de varios glaciares de Bahr y Peckham (1997), donde se recomienda valores de a=0,048 y b=1,36. Los valores de los parámetros obtenidos de la optimización de 10000 corridas para diferentes variaciones en las variables de entrada revelan una dispersión grande (Tabla 1). Bahr, Pfeffer y Kaser (2015) realizaron una revisión de la relación área-volumen de los glaciares para los parámetros a y b, y se indica que mientras el parámetro a puede ser variable del glaciar en glaciar e incluso puede cambiar en el tiempo, el parámetro b debería ser fijo y su valor debería estar entre 1,167 y 1,5, caso contrario podría causar inconsistencias en las ecuaciones de equilibrio mecánica en glaciares. Grinsted (2013) también encuentra el valor de b dentro de este rango. Sin embargo, Radi´c, Hock y Oerlemans (2007), en un estudio de la evolución de de 37 glaciares sintéticos, encontraron valores de b de 1,56 para condiciones estacionarias, y valores aún mayores (hasta 2,90) para condiciones no estacionarias, concluyendo que el parámetro b es mayor en escenarios de calentamiento (pérdida de masa del glaciar) y que el mismo tiende a incrementarse con un menor tamaño inicial del glaciar. Este descubrimiento está en concordancia con un estudio de la evolución del pequeño glaciar Chacaltaya en Bolivia (Ramirez y col., 2001), en donde a partir de mediciones topográficas anuales y de estudios geofísicos realizados en el glaciar, se puede estimar el parámetro b de 2,05 en el periodo 1860-1998. En este estudio, en el 39% de los casos el parámetro b se encuentra dentro del intervalo recomendado por Bahr, Pfeffer y Kaser (2015). En el 98% de los casos, b está por debajo de 2,05. Para el caso de las constantes de derretimiento en la zona de ablación alta y baja, los valores calibrados están cercanos a los valores recomendados por Fernández Yánez (2010), de ,
respectivamente. Sin embargo, los valores encontrados son menores al rango de
, usado por Caro y col. (2023) en un estudio de la simulación de la pérdida de masa de glaciares en la zona andina tropical.
El desarrollo del modelo permitió estimar la variación en el volumen del glaciar en un periodo de 68 años. El modelo muestra un incremento en la masa del glaciar hasta el año 1975 y posteriormente una pérdida constante de su masa, a excepción de unos pocos años (ej: 1999-2000 y 2007-2008) en donde existe una ligera recuperación como consecuencia de un exceso en las entradas de precipitación o por la disminución en las pérdidas por sublimación y fusión, la última reducida por la reducción de la temperatura en esos años. Esta pérdida acelerada del volumen del glaciar a partir de finales de los años 70 ha sido evidenciada en los glaciares andinos de la zona tropical (Rabatel y col., 2013). También, se ha reportado un decrecimiento significativo en el volumen de los glaciares a nivel mundial desde inicios del siglo 21 que coincide con el incremento del nivel del mar (Hugonnet y col., 2021). En el Ecuador, en un estudio de recesión del glaciar del volcán Cotopaxi (Jordan y col., 2005), se evidenció un comportamiento parecido al encontrado en este estudio, donde en el periodo 1956-1976 el glaciar del Cotopaxi mantuvo su masa, y posteriormente sufrió un retroceso del 30% de su masa hasta 1997. En otro estudio en el glaciar del volcán Antisana (Basantes-Serrano y col., 2022), se puede evidenciar un comportamiento similar, excepto por el periodo 1956-1964 en donde hubo un significativo retroceso del glaciar, y el periodo a partir del año 2000, en donde a pesar de que el glaciar tuvo pérdidas de masa, el retroceso no fue tan significativo como el periodo a finales de los 70 hasta el 2000. Este comportamiento difiere del retroceso del glaciar Carihuairazo, en donde la pérdida de masa es similar entre los 80s y finales del 2010. Para el caso del glaciar del volcán Chimborazo, el más cercano al Carihuairazo, la pérdida del área del glaciar entre 1962 y 1997 fue del 57% (Caceres, 2010), que es similar al 48% que se encontró para este estudio.
A pesar de que el modelo logra simular satisfactoriamente el área del glaciar hasta el año 2010, el mismo no puede reproducir la disminución abrupta que se presenta a partir del 2011. Al observar la precipitación y la temperatura en este periodo, se puede apreciar que la temperatura sufre un incremento considerable entre 2011 al 2016, y posteriormente un ligero decrecimiento (Figura 2). Esta variación en la temperatura se ve reflejada en la disminución del área del glaciar, pero la pérdida de masa no es suficiente como se puede ver en las observaciones. Un factor que podría explicar la diferencia es la relación entre el volumen y el área del glaciar. El modelo utiliza una relación constante independientemente del tamaño del glaciar, pero esta relación puede cambiar sobre todo cuando el área es reducida, ya que la influencia de la topografía de la montaña va a ser más preponderante (por ejemplo, la presencia de protuberancias o depresiones). Este fenómeno podría explicarse por el efecto de borde que Santos y Tellería (2006) define como: “el conjunto de procesos asociados al incremento de la relación perímetro/área que se produce con el avance de la fragmentación”. También, se debe considerar que la reducción de la masa del glaciar a un tamaño tan pequeño (menor a 0,1 ) puede producir un cambio en el microclima alrededor del glaciar, produciendo un incremento en la temperatura que no se ha podido evidenciar. Por ejemplo, el pequeño glaciar Chacaltaya en Bolivia, que tenía una superficie de 0,25 al inicio de los años 40, ha sufrido un retroceso hasta la extinción; para inicios del siglo 21, el retroceso significó una salida del suministro de calor para el derretimiento del glaciar de 10 W/m² (Ramirez y col., 2001), equivalente a incremento de
Otro factor que se podría considerar en la simulación del retroceso del glaciar Carihuairazo es la influencia del proceso eruptivo del volcán Tungurahua. Vasconez y col. (2021) determinaron que en noviembre del 2015 se liberaron a la atmósfera
de ceniza; de acuerdo a este mismo estudio la dirección promedio del viento durante la erupción fue hacia el oeste, noroeste y suroeste. Esta investigación determinó que la ceniza volcánica acumulada alcanzó
en las tierras altas del flanco este del volcán Chimborazo. Debido a la cercanía del Carihuairazo al volcán Tungurahua, las emanaciones de ceniza del volcán fueron depositadas en el glaciar, cubriendo parcialmente la superficie del hielo y de la nieve, causando una reducción en el albedo. Como consecuencia, la capacidad para reflejar la radiación de onda corta en el glaciar pudo haber sido disminuida, favoreciendo a la fusión y la posterior dinámica del retroceso del glaciar. La acumulación de ceniza sobre la superficie glaciar del Chimborazo y del Carihuairazo provenientes de las erupciones del Tungurahua exacerbó el proceso de desglaciación, tal como lo señala Marco Cruz (2020, entrevista personal): “Un albedo alto va a reflejar hasta el 90% de la energía lumínica, por el contrario, la ceniza del Tungurahua redujo el albedo en los glaciares del Chimborazo y del Carihuairazo, de tal manera que hasta el 80% de la energía lumínica era absorbida por el glaciar, lo que ocasionó la formación de grandes campos de penitentes”.
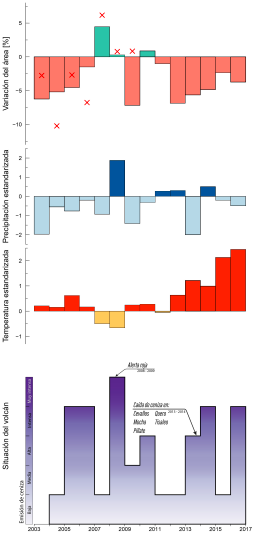
La Frenierre y Mark (2017) señala que la disminución del albedo exacerba el efecto del calentamiento de la superficie del glaciar, como se ha observado en el Kilimanjaro, en África Occidental, donde el retroceso glaciar ha sido más sensible a la disminución del albedo, producto de la disminución de nevadas, que al aumento de temperaturas. La Figura 8 se ha elaborado con la información recopilada en las estaciones meteorológicas, la simulación del modelo, las observaciones del área del glaciar y el registro de la actividad volcánica del Tungurahua, que relaciona para cada año el comportamiento de cada una de estas variables con el fin de establecer una posible conexión entre ellas y el retroceso glaciar del Carihuairazo. En el periodo del 2003 al 2017, se puede observar que la variación en el área del glaciar está relacionada principalmente a la variación de la temperatura tanto en los resultados del modelo como en las observaciones. Por el contrario, la precipitación muestra una relación inversa en varios años. Respecto a la actividad del volcán Tungurahua, se ha intentado realizar una caracterización de su actividad de manera cualitativa. No se puede ver una relación evidente entre la actividad y la variación del área del glaciar, pero la actividad podría explicar ciertas diferencias entre el modelo y las observaciones.
Para el periodo 2008-2009, evidenciamos que pese a existir las condiciones climatológicas favorables para una posible recuperación considerable del glaciar, la coincidencia de este periodo con una de las fases eruptivas más violentas del volcán Tungurahua, verificamos solamente una pequeña recuperación del glaciar del Carihuairazo. Para el periodo 2010-2015, no se aprecia un incremento considerable en la actividad del volcán que pueda explicar la reducción abrupta en área del glaciar. En este sentido, el significativo retroceso en el área estaría más relacionado con el efecto borde en la parte alta del glaciar.
3.3.2 Impactos en los sistemas socioeconómicos, ambientales y culturales
Se ha intentado caracterizar el impacto que ha tenido el retroceso del glaciar en la comunidad de Cunucyacu. Tanto los miembros de comunidad como los andinistas entrevistados coinciden en el dramático retroceso glaciar en el Carihuairazo. Sus preocupaciones y motivaciones pueden ser distintas, pero nos remiten al mismo origen del problema, la pérdida de la masa de hielo deja un trauma cultural en su percepción de este ambiente, más peligros en las rutas de ascenso, menos disponibilidad de agua, y la incertidumbre por un futuro sin glaciares en los andes. Las superficies de páramo son las que aseguran la provisión de agua para las poblaciones en cotas más bajas. De acuerdo con la investigación realizada por Buytaert y col. (2017), se determinó que la contribución glaciar proveniente del Carihuairazo a los caudales de la zona no es representativa, pues esta se encuentra por debajo del 4%. Aunque el retroceso de los glaciares andinos en el Ecuador no implique necesariamente una disminución en la disponibilidad de agua por sí misma, si es un claro indicador de los cambios de condiciones y temperaturas a los que se enfrenta este ecosistema, y revela además una serie de vulnerabilidades asociadas con el cambio climático, como migraciones forzadas en búsqueda de mejores campos de cultivo, búsqueda de nuevas fuentes de agua, mejores pastos, etc.
Para Ana Segovia (2021, entrevista personal) la pérdida del vínculo con la naturaleza, específicamente en la comunidad de Cunucyacu, se debe a las precarias condiciones de vida a las que se enfrentan estas personas. La falta de educación de calidad, las distancias que los niños deben recorrer para llegar a la escuela de la comunidad, por ejemplo, hace que quien pueda permitírselo trate de enviar a sus hijos a estudiar a otro lugar, generando las condiciones de una futura migración. Una consecuencia de este fenómeno es que la agricultura y la ganadería actualmente sean manejadas por adultos mayores. Segovia cree que también se trata de un problema de autoestima, porque se considera que, en este escenario, tener algún tipo de creencia vinculante con las montañas está mal, no es debidamente valorado. Además, está muy presente la percepción general que asocia la vida en estas zonas con pobreza y marginación. Este desarraigo de las comunidades frente al páramo tiene su interpretación en el cambio de la tenencia de la tierra, que para Luis Chicaiza (2021, entrevista personal) es un problema estructural, pues muchas comunidades fueron desplazadas desde las zonas bajas, más productivas, hacia terrenos de altura, menos productivos para la agricultura, lo que los obliga al cambio del uso del suelo en su búsqueda de recursos para su subsistencia.
En opinión de Susana Escandón (2021, entrevista personal), el agua es uno de los elementos alrededor del cual se tejen conflictos, saberes, dinámicas económicas, etc., entonces es importante considerar esta multidimensionalidad del agua a la hora de tomar decisiones integrales al respecto. En este sentido, explica otra forma de entender este proceso de desconexión, debido a la disminución de recursos en estos territorios antes abundantes, y que ahora ya no resultan ser tan visibles o poderosos como antes.
Con base a la entrevista realizada al Sr. Luis Punina, guía local de la comunidad, la mayor preocupación que tienen en torno al retroceso glaciar del Carihuairazo son las consecuencias en el ámbito turístico, por encima incluso de las posibles implicaciones en la disponibilidad de agua para la comunidad. Debido a que tienen la idea de que las visitas al sector únicamente obedecen al interés de acercarse a la montaña nevada, y una vez que el glaciar ha desaparecido, han notado una disminución de turistas. Es importante considerar además que el presente estudio ha coincidido temporalmente con las medidas de confinamiento decretadas en el contexto del COVID-19. En la reunión mantenida con la asamblea de la comunidad el 11 de septiembre de 2020, los comuneros expresaron su confianza en que desde los tiempos de sus abuelos no les faltó el agua, y confían en que no les faltará en el futuro, más allá de si el glaciar del Carihuairazo llegase a desaparecer por completo. Por lo que muestran un completo desinterés por generar planes y acciones que les permitan adaptarse a posibles amenazas. A pesar de ello, ya han comenzado a buscar nuevas fuentes de provisión de agua provenientes de los glaciares del Chimborazo.
El profundo respeto integral a la naturaleza era uno de los valores arraigados en la cosmovisión de las comunidades indígenas alto andinas, pero las nuevas generaciones tienen hoy una nueva forma de entender su entorno, según lo señala Mesías Usigña (2021, entrevista personal). Factores como la religión, despojo de tierras cultivables, migración cambios en los modos de consumo de las comunidades y sobre todo de las ciudades han generado condiciones de vida inadecuadas en torno a las montañas, la búsqueda de más recursos ha hecho que las personas se separen de sus símbolos y creencias.
La disyuntiva a la que nos enfrentamos como sociedad muestra por un lado la exigencia del cuidado del páramo hacia las comunidades que viven en sus inmediaciones para el beneficio de todas las personas que aguas abajo se benefician de ella, y por el otro lado está la legítima retribución que las urbes le deben a las comunidades por sus acciones de conservación del páramo. Es necesario establecer el vínculo entre lo urbano y lo rural. Comprender el origen del agua que llega a nuestras ciudades, ayudará a visibilizar la necesidad de un trato justo con las comunidades que se encargan de la protección de los páramos. Es importante poner en valor los sistemas de producción campesina familiar, que son los que proveen a las urbes.

Relación entre la variación de la superficie del glaciar Carihuairazo, la precipitación, temperatura y la actividad volcánica del Tungurahua entre el 2003 y el 2017. En el primer gráfico se observa el incremento o pérdida del área entre cada año en relación con el año 1956 (
). Las barras corresponden a la simulación del modelo hidroglaciológico y las cruces rojas a las mediciones del contorno del glaciar (solo se incluyó años seguidos de observaciones). En el segundo gráfico se observa la precipitación estandarizada en cada año. En el tercer gráfico se observa la temperatura estandarizada en cada año. En el cuarto gráfico se observa la caracterización de la actividad volcánica del Tungurahua con relación a la emisión de cenizas y a eventos puntuales.
Se debe considerar al agua “como un dinamizador de la organización comunitaria campesina” (Chicaiza 2021, entrevista personal), esta percepción del agua como algo más que solo un recurso, facilitaría el compromiso de conservación de las fuentes desde las ciudades, pueblos y comunidades. Las tensiones provocadas alrededor del páramo revelan cuestiones más profundas de inequidad y marginación que son las que motivan a los procesos de migración en varios aspectos: la tenencia de la tierra, acceso a educación de calidad, acceso a servicios básicos, acceso a agua de la misma calidad que la que llega a las grandes ciudades, etc. Los intentos por frenar el avance de la frontera agrícola, el cuidado del agua que otros usan, son algunos de los muchos rostros de esta crisis. En los últimos diez años, hemos sido capaces de ir generando datos y modelos sobre los posibles escenarios climáticos a los que se podría enfrentar nuestra región; no obstante, esta información no ha llegado a los agricultores y menos a las comunidades que habitan en los páramos, así que una parte de este proceso de sensibilización frente al cambio climático debe estar atravesada por la democratización de la información climática, que les permita entender y adaptarse a los cambios que se evidencian y que tarde o temprano van a afectar sus modos de vida.
Aunque en la actualidad las comunidades indígenas de altura, no discutan específicamente sobre el cambio climático, no significa que sean ajenos a esta realidad, pues para ellos si es perceptible un cambio sustancial en su calendario agrícola. Quizás sus discusiones estén más centradas en aspectos considerados como prioritarios para su subsistencia diaria, y no podrán articular debidamente una agenda de cambio climático mientras sus necesidades más básicas no estén cubiertas.
3.3.3 Necesidades, desafíos y oportunidades de adaptación
El contexto socio-económico de la parroquia Cunucyacu es complejo, pues de sus 12 218 habitantes, el 95% de la población vive bajo condiciones de pobreza, en un ambiente en donde no todos tienen acceso a los servicios básicos, y no alcanzan a cubrir la canasta básica familiar (GAD Parroquía Rural de Pilahuín, 2015). El riego de auxilio a los cultivos que normalmente no son regados podría volverse más importante en el transcurso de los próximos años debido a la variabilidad pluviométrica. Razón por la cual, la infraestructura para riego debería posibilitar este tipo de asistencia, mediante sistemas móviles de aspersión o riego por goteo, y garantizar de este modo la seguridad alimentaria de esta población (Gobierno Provincial de Tungurahua, 2011).
Aún no comprendemos del todo la importancia de los glaciares en los ciclos hidrológicos, y a pesar de ello no contamos con una red de monitoreo y vigilancia del comportamiento glaciar en los andes, esto provoca serias incertidumbres en los intentos de modelización del comportamiento de estas masas de hielo y su futura influencia en la dotación de agua para nuestros campos y ciudades.
3.3.4 Limitaciones de la investigación
En cuanto a la implementación y validación del modelo hidroglaciológico, una de las limitaciones fueron las mediciones disponibles. No existe ninguna estación en el glaciar y las estaciones meteorológicas cercanas son escasas. Además, se debe considerar la incertidumbre de la reconstrucción de las series hacia el pasado a partir del uso del reanálisis ERA5. Por este motivo, existe incertidumbre en las series temporales de las variables meteorológicas de entrada usadas en el modelo que alcanza un error en las estimaciones del área del glaciar de . Sin embargo, la principal limitante es el escaso número de mediciones que sirvan para validar el modelo, que en este caso son las mediciones del área del glaciar. Lamentablemente entre 1957 y 2000, no existen datos del área del glaciar. El limitado número de mediciones del área del glaciar genera incertidumbre en los valores de los parámetros calibrados del modelo, ya que puede existir el problema de equifinalidad al no existir suficientes restricciones y al incluir la incertidumbre de las variables meteorológicas de entrada. En este sentido, el error promedio en las estimaciones del área alcanza
y es mayor en las décadas donde no hay observaciones. De todas formas, el modelo logra simular el retroceso del glaciar satisfactoriamente.
Con relación a la percepción de la comunidad respecto al retroceso del glaciar, la mayor limitación que enfrentó esta investigación fue el contexto de las restricciones inherentes a la pandemia de COVID-19 que coincidieron con el tiempo de realización del trabajo de campo. Otra limitante fue la negativa de la comunidad a realizar las encuestas de percepción, luego de las reuniones y acuerdos mantenidos con la dirigencia de la misma. Por ello no fue posible contar con un insumo estadístico, para contrastar con otras experiencias de conservación del páramo, se realizaron entrevistas a diferentes actores que trabajan en tareas de investigación, fondos de agua, dirigencia de organizaciones indígenas, reservas privadas y agencias internacionales, para obtener una visión más amplia de la situación socio ambiental de los páramos en el Ecuador.
A partir de un registro fotográfico, testimonios de la comunidad y mediciones del contorno del glaciar Carihuairazo, es inevitable concluir que el glaciar Carihuarizado ha experimentado un retroceso considerable. Con relación al año 1956, el glaciar ha perdido el 97,1% y 99,1% de su superficie al año 2017 y 2021, respectivamente. El uso de un modelo hidroglaciológico evidencia la pérdida del área del glaciar a partir de finales de los años 70, excepto por algunos años en donde se evidencia una ligera recuperación. El retroceso coincide con la tendencia positiva en el incremento de la temperatura a lo largo de los años, siendo esta variable la que tendría mayor influencia en la reducción del volumen del glaciar. El modelo usado tiene algunas limitaciones y no puede incorporar factores externos como la caída de cenizas del volcán Tungurahua.
Las condiciones climáticas y de altitud a las que esta pequeña masa de hielo está sometida lo colocan en una situación de inevitable extinción. Aunque el retroceso de los glaciares andinos en el Ecuador no implique necesariamente una disminución en la disponibilidad de agua por sí misma, debido a que son principalmente los páramos los que aseguran la provisión de agua para las poblaciones, si es un claro indicador de los cambios de condiciones y temperaturas que enfrenta este ecosistema.
Es necesario insistir en la necesidad de recopilar información meteorológica en las zonas cercanas a los glaciares de los andes ecuatorianos y ajustar modelos que permitan predecir su comportamiento en los próximos años para constituir una base científica que facilite proponer medidas de adaptación.
El retroceso glaciar afectará algunos ámbitos como el paisajístico y con él podría existir una afectación al turismo local, pero su incidencia en la provisión de agua será escasa; no obstante, un proceso articulado de conservación páramo-glaciar, considerándolo como elementos complementarios, permitirían una mejor gestión de las políticas y de las acciones a implementar.
Por último, la comunidad científica debe mantener vínculos con las comunidades que se ven afectadas por este retroceso glaciar, ya que finalmente son las personas quienes hacen evidente esta realidad más allá del comportamiento de las series meteorológicas.
Agradecimientos
Dra. Sophie Cauvy, Ing. Paúl Jínez, Ing. Gustavo Lucero, Susana Escandón, Ana González, Luis Chicaiza A los andinistas que brindaron su soporte y ayuda en el trabajo de campo y facilitaron su archivo fotográfico: Ing. Robert Deley y al Ing. Armando Condo. Al Lic. Marco Cruz por su valioso aporte desde su visión de montañista.
Contribución de los autores
DHP; Conceptualización, investigación, supervisión administración de proyecto tratamiento de datos, visualización, escritura-borrador original. JCRH; Curación de datos, escritura-revisión y edición, investigación, recursos, validación. LM; investigación, recursos, escritura-revisión y edición. BC; investigación, recursos, escritura-revisión y edición. VCP; investigación, recursos, escritura-revisión y edición. CD; Curación de datos, análisis formal, investigación, metodología, software, visualización, escritura-revisión y edición. TC; investigación, recursos, escritura-revisión y edición. MV; Conceptualización, investigación análisis formal, metodología, supervisión administración de proyecto, tratamiento de datos, visualización, validación, escritura–revisión y edición.
https://lagranja.ups.edu.ec/index.php/granja/article/view/6656 (html)

Mapa del área de estudio correspondiente al glaciar del Carihuairazo, la ubicación de la comunidad de Cunucyacu y el drenaje de las fuentes hídricas en la comunidad de Cunucyacu. Adicionalmente, se identifica la ubicación de las estaciones meteorológicas más cercanas al glaciar. Fuente: Modelo Digital del Terreno (MDT) de Ecuador. Catálogo de metadatos de Sigtierras.

Precipitación (superficie azul) y temperatura media (superficie roja) mensual para un intervalo de confianza del 95% en la zona cercana al glaciar Carihuairazo después de calibrar los datos del reanálisis ERA5 con las observaciones de la estación de referencia (línea negra) dentro del periodo de 1956 a 2022.

Precipitación acumulada (barras azules) y temperatura media (línea naranja) anual en la zona cercana al glaciar Carihuairazo en el periodo de 1956 a 2022 obtenido de la calibración de los datos de reanálisis ERA5 con la estación de referencia.

Mapa del área de estudio que muestra la evolución del retroceso glaciar del Carihuairazo. Los contornos de la superficie glaciar fueron medidos por primera vez en 1956 a través de fotografías aéreas. Existen distintas mediciones topográficas de campo a partir de 2003 hasta 2021, a cargo de diferentes equipos de investigación, que revelan la disminución de esta masa de hielo. El contorno externo azul muestra la superficie considerada como referencial registrada en 1956. Por otra parte, el polígono rojo ilustra la última medición de campo realizada en 2021. Fuente: Adaptación de Cáceres y Cauvy (2015) y de Rosero y col. (2021).

Fotointerpretación. Las imágenes corresponden a la misma perspectiva de la cumbre central del Carihuairazo, desde el flanco sur pertenecientes al archivo de Marco Cruz. Los círculos del mismo color muestran el mismo punto de la montaña y cómo ha variado desde la década de 1970 hasta los primeros años de la década del 2000. En ellas puede apreciarse el cambio producido en la montaña en los cinco puntos de referencia considerados en el transcurso de las últimas décadas del siglo XX. En la actualidad el glaciar lo podemos considerar prácticamente extinto.
Fuente: Archivo personal de Marco Cruz.
Parámetros calibrados del modelo hidroglaciológico. El rango corresponde al 95% de los 10000 valores alrededor de la mediana.

Simulación de la variación del área del Glaciar del Carihuairazo (1956-2022) como producto del modelo hidroglaciológico. Las cruces rojas correspoden a las mediciones observadas de las fotos aéreas (la primera medición de 1956 es representada en el modelo como el valor final del año 1955). La línea continua oscura con puntos representa la simulación del modelo con la serie del reanálisis calibrado. La superficie azul clara representa el 95% de las 10000 simulaciones realizadas con la variación de las variables de entrada utilizando los parámetros calibrados. La superficie azul oscura representa el 95% de las 10000 simulaciones realizadas con las variables de entrada del reanálisis calibrado y los diferentes sets de parámetros calibrados para la variación de las variables de entrada. La banda azul más oscura representa la intersección de las bandas anteriormente descritas.

Balance de masas anual en el Glaciar del Carihuairazo (1956-2022). Las barras representan las variables de entrada (precipitación) y salida (fusión y sublimación) que influyen en el balance de masas del glaciar.

Relación entre la variación de la superficie del glaciar Carihuairazo, la precipitación, temperatura y la actividad volcánica del Tungurahua entre el 2003 y el 2017. En el primer gráfico se observa el incremento o pérdida del área entre cada año en relación con el año 1956 (
). Las barras corresponden a la simulación del modelo hidroglaciológico y las cruces rojas a las mediciones del contorno del glaciar (solo se incluyó años seguidos de observaciones). En el segundo gráfico se observa la precipitación estandarizada en cada año. En el tercer gráfico se observa la temperatura estandarizada en cada año. En el cuarto gráfico se observa la caracterización de la actividad volcánica del Tungurahua con relación a la emisión de cenizas y a eventos puntuales.