Fuerzas armadas y sociedad
¿Conciencia o identidad marítima? Un acercamiento a la relación del hombre con el mar
Maritime awareness or identity? An approach to the relationship of humans with the sea
¿Conciencia o identidad marítima? Un acercamiento a la relación del hombre con el mar
Revista Científica General José María Córdova, vol. 18, núm. 30, pp. 419-435, 2020
Escuela Militar de Cadetes "General José María Córdova"
Recepción: 07 Enero 2020
Aprobación: 19 Marzo 2020
RESUMEN: Este artículo aborda el tema de la relación del hombre con el mar en el caso de la sociedad peruana. Para ello, parte de la hipótesis de que esta relación no puede explicarse solamente desde el universo inteligible sino desde el mundo sensible, y analiza la correlación e influencia entre los conceptos de conciencia marítima (entendida como los conocimientos sobre el mar) e identidad marítima. Se aplicó un test de conocimientos y una escala tipo Likert a una muestra de 262 individuos. Al analizar los resultados, se encuentra una correlación positiva débil entre las dos variables y una influencia de un 12,2 % de los conocimientos sobre la identidad marítima. Con base en ello, se concluye que la identidad marítima explica más adecuadamente la relación del hombre con el mar.
PALABRAS CLAVE: conciencia marítima, educación, entorno marino, identidad cultural, identidad marítima, mar.
ABSTRACT: This article addresses the Peruvian society's relationship with the sea. It parts from the hypothesis that this relationship cannot be explained from the intelligible universe alone but also from the sensory world. To this end, it analyzes the correlation and influence between the concepts of maritime awareness (understood as knowledge about the sea) and maritime identity, employing a Likert scale to rank the knowledge tests of a sample of262 individuals. The results of the analysis showed a weak positive correlation between the two variables and a 12.2% influence of the knowledge on maritime identity. Based on this, it is concluded that maritime identity explains more adequately the relationship of humans with the sea.
KEYWORDS: cultural identity, education, marine environment, maritime awareness, maritime identity, sea.
Introducción
Entender y explicar la relación del hombre con la naturaleza siempre ha sido interés de filósofos y científicos (Ortiz, 2014, p. 63). Dentro de este tema, la relación del hombre con el mar, que data de tiempos remotos, ha ido evolucionando conforme han ido evolucionando las sociedades. Esta relación no puede entenderse o explicarse partiendo desde el universo inteligible; por ello, en este estudio se hace una aproximación a esta relación desde el punto de vista del mundo sensible (González, 2019). En este contexto, se hizo un análisis ontológico de dos conceptos: conciencia marítima e identidad marítima.
Las capacidades del hombre descansan en diferentes ámbitos, entre ellos el cognitivo, que está relacionado con el conocimiento, las ideas y los conceptos, y también el ámbito afectivo, que está relacionado con los sentimientos, las emociones y las actitudes (Murillo et al., 2018). Este artículo parte de la idea que el término de identidad marítima está relacionado con el ámbito afectivo porque impulsa a lograr un sentimiento de pertenencia, de cohesión, y nos da una visión o experiencia para entender y explicar el universo inteligible de la relación del hombre con el mar; por otro lado, el término conciencia marítima está más relacionado con el ámbito cognitivo, ya que está vinculado al conocimiento de dicha relación.
Por su parte, la Comisión de Estudios Estratégico-Marítimos del Perú (2016, p. 211) define la conciencia marítima como un proceso de interiorización, por parte de una población, de la importancia del medio marítimo en el que el hombre ha ido conociendo el mar e identificándose con él. Así, dentro del propio concepto de conciencia marítima se incluye la identificación, lo que subordina este término a un nivel superior para el mejor entendimiento de la relación del hombre con el mar. Asimismo, indica que, para formar el sentido de fidelidad del poblador con el medio marítimo a través de su identidad marítima, son necesarios la conciencia y los intereses marítimos.
Pérez-García (2017) construye un puente epistemológico en la relación entre el fenómeno y su formalización abstracta, para poder establecer la importancia de la epistemología en el método científico. Es posible plantear la premisa de que la conciencia marítima es la formalización abstracta (mundo sensible) que explica en parte el fenómeno de la identidad marítima (universo inteligible), para luego establecer que la identidad marítima se convierte en la formalización abstracta (mundo sensible) que explica la relación del hombre con el mar (universo inteligible). Un ejemplo de esto es también el hecho de que, partiendo de la expresión "nadie ama lo desconocido" (Navarro, 2012, p. 111), podemos inferir que "lo desconocido" es una fase preliminar para establecer el sentimiento de amor, pertenencia o cohesión. Así, en este caso, la conciencia marítima es preliminar a la identidad marítima, lo que refuerza nuestra propuesta de que la identidad marítima es lo que nos lleva a explicar este universo inteligible (Figura 1).

Hakim (2014) indica que la "manera de ver las cosas es que hay que formular preguntas que se puedan responder con datos empíricos, en vez de dibujar grandes tendencias globales porque corremos el riesgo de simplificar procesos de altísima complejidad" (p. 267). En este sentido, cabe preguntarse cómo se pueden obtener datos empíricos para poder entender mejor estos dos conceptos. Con el fin de obtenerlos, a partir de lo revisado en la literatura y entendiendo que la relación del hombre con el mar depende de diversos factores que pueden tener comportamientos no lineales entre ellos -lo que puede dificultar encontrar una explicación-, se propone una relación entre los dos términos objeto de estudio: la identidad marítima (IM), vinculada al ámbito afectivo del hombre hacia el mar, que se estimará a través de una escala del modelo de Lickert, y la conciencia marítima (CM), vinculada al ámbito cognitivo medido a través de un test de conocimientos en temas marítimos (CTM). Ambos instrumentos han sido diseñados con reactivos dentro del contexto peruano.
Por otro lado, en razón de que en los últimos tiempos se ha escuchado con frecuencia que la sociedad peruana "vive de espaldas al mar", es necesario determinar o entender desde un ejercicio cuantificable la relación e influencia que hay entre el CTM y la IM de los miembros de la sociedad, con la finalidad concreta de establecer cuál de los dos términos es el más adecuado para fomentar un fortalecimiento en la relación del hombre con el mar.
Marco teórico
El conocimiento es adquirido en un proceso de aprendizaje que implica una transformación en la identidad y en la formación social de una persona, lo cual hace que la persona sea más competente en la práctica idiosincrásica (Pyrco et al., 2017, p. 391). Esto implica que el conocimiento por sí solo, la conciencia misma, se mantiene en el statu quo y nos hace aceptar la realidad sin importar si existe una buena o mala relación con los demás o con la naturaleza; mientras que el aprendizaje implica un cambio en la identidad, lleva a un acercamiento a la relación del hombre con la naturaleza. Por este motivo, se puede establecer que la conciencia avanza por peldaños a medida que el aprendizaje se hace más dinámico. Este círculo virtuoso que se crea fortalece nuestra identidad, por lo que el fortalecimiento de la identidad, marítima en nuestro caso, no solo depende de la conciencia misma sino de otros factores que intervienen en el proceso del aprendizaje.
La identidad es un constructo que los Estados han expandido en función de su gobernanza, basado en ideas y pensamientos doctrinarios en diversos campos de la vida de los gobernados. Así, la identidad nacional ha sido "impuesta" a través de un sistema educativo en donde se trata de cohesionar a los integrantes de una sociedad con base en heroísmos, batallas, íconos, lo cual inhibe la creatividad de los estudiantes (Ghotme, 2013, p. 286). Este sistema educativo republicano tiene como función la formación de la conciencia nacional y la identidad nacional (Mendiburu et al., 2010, p. 41).
En este contexto, el concepto de identidad está más estrechamente relacionado con un concepto militarista que con un concepto de ciudadanía, vinculado a los deberes y derechos respecto a las interacciones sociales y la relación del hombre con la naturaleza. La identidad incorpora una visión individual y colectiva de manera dialéctica (Vera & Valenzuela, 2012), propia de los pueblos; emerge a partir de sus propias experiencias, de sus intereses, sus interrelaciones, su propia historia y sus anhelos. En el caso de la identidad marítima, esta no se ha escapado de esta noción militarista, puesto que los Estados han establecido conceptos doctrinarios a través del fomento de la conciencia marítima.
Dentro del concepto de gobernanza, centrado en el Estado-Nación, la conciencia del dominio marítimo parece ser incapaz de hacer frente a las nuevas amenazas que se ciernen sobre la seguridad del comercio marítimo internacional, como la piratería y las migraciones. Por esta razón, para desarrollar un nuevo modelo de conciencia de dominio marítimo, es necesario plantear y aplicar los principios de sostenibilidad. Por tanto, los actores directos en la gobernanza deben entender que el logro de una buena relación del hombre y de la sociedad con el mar no es un proceso de corto plazo, sino que se requiere de años y de esfuerzos dedicados (Chintoan-Uta & Ramos-Silva, 2017). Así también, fuera del ámbito del comercio marítimo es posible observar que otras conductas, como la contaminación, la depredación, entre otras, han llevado a evidenciar un distanciamiento del hombre con el mar; en este sentido, las políticas establecidas para mejorar esta relación deben partir de una línea base en la que se debe incluir el nivel de conocimiento y el nivel de identidad que se tiene sobre el mar.
Respecto a la relación del hombre con el mar, Berg (2010) se cuestiona si existe un punto o una línea que separe la cultura marítima de la cultura costera, y plantea el concepto de maritimidad ante la necesidad de comprender que lo terrestre y lo marítimo deben estar unidos, para que la población entienda que, si bien no existe una cultura viva o una población en el mar, existen eventos y vestigios donde se unen o fusionan la cultura marítima y la cultura terrestre. Esa fusión está determinada por la relación que tiene la sociedad con el mar, y la única manera de entenderla es conociendo su identidad.
La identidad es una construcción histórica que depende de las relaciones de poder entre los grupos de una sociedad en realidades culturales preexistentes. En este contexto, la cultura material marítima de los pueblos costeros evidenciada en las poblaciones más alejadas del mar nos da una referencia de una identidad histórica de relaciones de poder de grupos sociales, que no solo se circunscriben a las poblaciones costeras (Bonomo, 2005). Por ello, cuando se habla de identidad marítima, también se habla de la identidad de los pueblos mediterráneos.
Por otro lado, con el fin de conocer cómo las personas valoran los lugares costeros marítimos como parte de su identidad cultural, el Ocean Health Index (2018) desarrolló una metodología para medir el sentido de identidad de quienes viven cerca al mar, quienes visitan lugares costeros o marinos, o quienes saben que estos lugares existen. Dicha metodología llevó al diseño de un instrumento que contempla dos dimensiones; la primera, la especie icónica, que mide la condición de las especies animales y vegetales culturalmente importantes; y la segunda, los lugares especiales, que mide el porcentaje del área protegida del mar dentro de un área determinada. Estos estudios se han hecho a 220 países, con lo cual se ha establecido un ranking mundial sobre la salud de los océanos.
Asimismo, con el fin de identificar las características culturales para poder construir teorías en mercadotecnia internacional, Keillor et al. (1996) diseñaron una escala de identidad nacional que contiene 17 ítems divididos en cuatro dimensiones: la herencia cultural; la homogeneidad cultural; la creencia en el sistema, y el énfasis en los tipos de consumo. Esta escala fue aplicada en diversos países, y en ellos se pudo determinar su nivel de identidad con sus propias culturas.
Metodología
Diseño de investigación
El estudio es transversal, no experimental, de tipo exploratorio, de ruta cuantitativa; con pruebas estadísticas de correlación y de regresión lineal (Hernández et al., 2010). Las pruebas fueron aplicadas a las variables de CTM e IM; así también se realizó un análisis de distribución de medias a través de diagramas de cajas y bigotes de estas dos variables, con diferentes factores declarados por los participantes en las pruebas realizadas, identificados como: grado académico, en qué lugar vivió en la niñez y en la adolescencia, y donde vive actualmente; en qué tipo de colegio estudió la primaria, la secundaria y estudios superiores.
Variables e instrumentos
La variable IM es cuantitativa y discreta, y para su medición se elaboró una escala de tipo Lickert. El diseño inicial constó de 90 ítems que están relacionados con el ámbito afectivo que tiene la sociedad con el mar. Para ello se hizo una revisión de la literatura y, a través de un análisis cualitativo, se establecieron seis categorías, que conformaron las dimensiones a medir en la escala: dimensión cultural, política, de desarrollo, seguridad y defensa, histórica y legal.
La variable CTM es también cuantitativa y discreta. Para su medición se elaboró un test inicial de 60 preguntas relacionadas con el ámbito cognitivo de la sociedad. Cada pregunta contenía una respuesta correcta y cuatro respuestas distractoras. Los temas están relacionados con las dimensiones de la escala.
Los ítems de las dos variables fueron diseñados para el caso peruano. Después de someterlos a una validez de expertos (Escobar-Pérez & Cuervo, 2008; Corral, 2009), quedaron 36 ítems para la escala IM y 24 ítems para el test de CTM. Fueron cinco expertos los que intervinieron en la validez, de los cuales cuatro fueron doctores especialistas en temas marítimos y un doctor especialista en seguridad y defensa nacional.
Tamaño de muestra
Dado el objetivo de establecer la correlación entre las dos variables y conocer la influencia del CTM sobre la IM a través de regresión simple, se determinó el tamaño de muestra de mayor exigencia, que para este caso está determinada por la cantidad de reactivos que se requieren para la regresión.
Existe más de una regla para calcular el tamaño de muestra para una regresión. Una de ellas es la formula N>= 50 + 8m, donde N es la cantidad requerida y m es la cantidad de predictores, aunque también se sostiene que son los investigadores los que determinan el tamaño de la muestra (Green, 1991). Por otro lado, Montero (2016) indica que para dimensionar de forma consistente el tamaño de muestra para la regresión lineal simple se necesitan al menos 30 datos; sin embargo, para la regresión lineal múltiple se requieren, además de las 30 estimadas, un mínimo de 10 casos por variable adicional. Es decir: N= 30 + ((m - 1) * 10). De acuerdo con estas dos propuestas, el tamaño de muestra más exigente es de 58 individuos, al tener solo un reactivo para la ecuación IMx =βo + β1CTM1 + ε.
Aplicación de instrumentos
Los instrumentos fueron aplicados a través del programa Google Forms a un universo de docentes de una universidad privada de Lima, Perú, y a alumnos de la carrera de Ingeniería Marítima de la misma universidad. Se obtuvieron 262 respuestas. La información solicitada en el formulario estuvo estructurada en cuatro partes. La primera parte era informativa, donde se les explicó a los participantes los objetivos de la aplicación de sus respuestas, directivas para responder, consentimiento de uso de información de los datos recogidos, y se les informó acerca de los principios éticos de la investigación y de mantener la reserva de los nombres de cada uno de ellos. En la segunda parte se solicitó una declaración de condiciones personales, como edad, sexo, estudios académicos (grados), profesión, lugar donde vivió la niñez, donde vivió la adolescencia y donde vive como adulto; asimismo, se les solicitó información sobre el tipo de institución (pública o privada) donde estudiaron la primaria, la secundaria y los estudios superiores. La tercera parte constaba de los 36 ítems de la escala de Lickert correspondiente a la IM; y la cuarta y última parte presentaba las 24 preguntas correspondientes al test en CTM1.
Tratamiento de datos
Los datos obtenidos se ordenaron en el programa SPSS versión 22 y se establecieron las etiquetas, valores y tipos de medidas. Luego, con la ayuda de gráficos de diagrama de caja, se identificaron datos atípicos e influyentes, los cuales fueron retirados. El paso siguiente fue determinar el análisis de fiabilidad con el estadígrafo Alfa de Cronbach tanto para los ítems de la escala como para los ítems del test, con lo que se obtuvieron resultados mayores a 0,7.
Para determinar si existía o no correlación entre las dos variables, primero se hizo una evaluación de la distribución de los datos a través de la prueba de normalidad para muestras mayores a 50 participantes, y se pudo determinar que los datos correspondientes a la escala de IM tienen un comportamiento paramétrico, mientras que para los datos del test de CTM el comportamiento era no paramétrico; por ello se decidió emplear el estadístico Rho de Spearman.
Para determinar si existe influencia de la variable CTM sobre la variable IM, se empleó la regresión lineal simple con el método Intro del programa SPSS v. 22, y se evaluó el valor de F para la validación de la regresión y el valor de t encontrado en relación con el valor de t en tablas.
Por último, haciendo uso de los diagramas de caja y bigotes, se hizo un análisis de la diferencia de medias de los resultados de la escala y del test respecto a los diferentes datos manifestados por los participantes, como grado académico, lugares donde vivió en las diferentes etapas de sus vidas, y en qué tipo de colegio estudiaron, tanto si lo habían hecho en centros privados o públicos.
Limitaciones
El estudio no contempla hacer inferencias del nivel de IM sobre la población total; solo se tiene como objetivo ver la correlación entre las dos variables y luego ver la influencia de una de las variables sobre la otra, por lo que no se ha contemplado el análisis factorial ni el tamaño de muestra para hacer inferencias.
Resultados
Se realizó un análisis de distribución de datos con el total de la muestra de 262 participantes. En el test en CTM no se encontraron datos atípicos ni influyentes, mientras que en el análisis de la escala de IM se encontraron cinco datos atípicos, que fueron retirados para los análisis de las hipótesis propuestas (Figura 2).

De los 257 participantes evaluados, el puntaje promedio alcanzado en el test en CTM fue 8,19 con una desviación estándar de 3,71, lo que representa apenas un logro de 34 % sobre el puntaje máximo posible alcanzable (24 puntos), mientras que el puntaje alcanzado en la escala de IM fue de 89,58 con una desviación estándar de 16,18, puntaje que representa el 62 % del puntaje máximo alcanzable (144 puntos) (Tabla 1).

El análisis de fiabilidad nos dio un resultado para el alfa de Cronbach de 0,782 para los 36 ítems de la escala de IM y de 0,702 para los 24 ítems para el test en CTM. Para el análisis de distribución de datos, tanto para el test en CTM como para la escala de IM, se aplicó el estadístico Kolmogorov-Smirnov para un grado de libertad de 257, con lo cual se obtuvo una significancia de 0,000 para el test en CTM y de 0,200 para la escala de IM. De esta forma se pudo determinar que los datos del test en CTM no se ajustan a la distribución normal, en contraste con la escala de IM, en la que los datos sí se ajustan. Con estos resultados se tomaron las decisiones para el empleo de los diferentes estadísticos descriptivos, para poder validar o falsear las hipótesis correspondientes.
Correlación entre los conocimientos en temas marítimos y la identidad marítima
Teniendo en cuenta que las variables son cuantitativas, pero una de ellas tiene un comportamiento no paramétrico, se aplicó el estadístico Rho de Spearman, prueba no paramétrica para correlaciones bivariadas.
El valor del coeficiente de correlación Rho de Spearman, 0,321, nos muestra que existe una débil asociación positiva de las dos variables, dado que el valor está más cercano a cero que a 1. Asimismo, a un nivel de significancia de 0,05, se plantearon las hipótesis alterna y nula; al obtenerse un resultado de valor P = 0,00, se rechazó la hipótesis nula. Y a un nivel de significancia de 0,01, se encontró que sí existe una asociación o correlación entre los resultados del test en CTM y de la escala de IM (Tabla 2).

Influencia de los conocimientos en temas marítimos sobre la identidad marítima
Para determinar la influencia de los CTM sobre la IM, se efectuó la prueba de regresión simple que está definida por la ecuación (1). Allí aceptamos que 8 es igual a cero en razón de que los valores residuales encontrados en el test tienen una distribución normal.
Parta determinar si R1 = 0 o R1 * 0, se realizó la prueba de regresión, donde el valor de t encontrado es 6,214 y es mayor que el valor de ta/2 para 255 grados de libertad de la tabla de distribución t a una significancia de 0,05; así, β1 ≠ 0, de lo cual se concluye que, a un nivel de significancia de 0,05, el CTM influye sobre la IM.
IMx = βo+ β1CTM1+εEcuación 1
Donde IMx es el puntaje alcanzado por cada participante en la escala de IM; βo es la constante de la ecuación; β1 es el multiplicador del valor alcanzado en el test en CTM por el participante, y ε es el error.
La ecuación queda establecida así: IMx= 76,618 + 1,584 CTM, es decir que, por cada unidad que suba el CTM, el puntaje de la IM subirá 1,584. Pero considerando que el puntaje máximo alcanzable del CTM es 24, la máxima contribución de esta variable será de 38 puntos, lo que indica que, si bien hay una influencia, esta es mínima. También se puede ver que el valor R cuadrado ajustado es de 0,128, lo que indica que la variable CTM influye en un 12,8 % sobre la IM. Cabe señalar que esta ecuación no se debe aplicar para hacer inferencias sobre una población total, dado que faltan hacer otros análisis con un tamaño de muestra más representativa. Lo que brinda la ecuación es una visión de cómo influye el CTM sobre la IM.

Distribución de medias
Citando a George Mead, Larraín (2003) indica que la identidad es "un proceso de construcción en la que los individuos se van definiendo a sí mismos en estrecha interacción simbólica con otras personas" (p. 32). En este sentido, la formación de la IM está en estrecha relación con los procesos de formación de identidad de los individuos respecto al mar. Es el resultado de un proceso de interacción continua, vinculado a la integración de determinados factores espaciales, temporales y sociales (Erikson, citado en Vexler, 2013). Estos factores son analizados acá a partir de lo declarado por cada uno de los participantes respecto a su grado académico; el lugar donde vivieron en su niñez y su adolescencia, y donde viven actualmente; así como donde estudiaron primaria, secundaria y sus estudios superiores. Por tal razón, se hizo un análisis de diferencia de medias entre estos factores con las variables IM y CTM.
Distribución de medias según grado académico
En el diagrama de cajas y bigotes (Figura 3) se puede observar que los que declararon ser estudiantes universitarios y doctores alcanzaron el mayor promedio en el test y en la escala, y los que declararon ser licenciados obtuvieron el menor puntaje; sin embargo, los promedios de las diferentes cajas se encuentran significativamente en el mismo nivel, y los rangos máximos y mínimos de los bigotes se encuentran dentro de un mismo rango, lo que indica que los grados académicos no marcan una diferencia sobre los resultados de los test ni sobre la escala.

Distribución de medias según donde vivió en las diferentes etapas de la vida
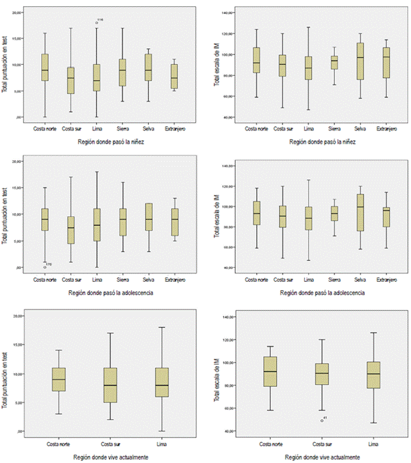
Cuando los participantes respondieron dónde habían vivido en la niñez, los que indicaron que vivieron en la costa norte, la sierra y la selva del Perú alcanzaron los mayores promedios, tanto en la escala como en el test, en relación con los que indicaron que habían vivido en el sur del país o en Lima; por otra parte, los que indicaron que habían vivido en el extranjero lograron mejores promedios en la escala respecto al test.
En cuanto a donde vivieron la adolescencia, las medias de la escala de IM se mantuvieron casi similares al caso de donde vivieron la niñez; sin embargo, en el tema de las medias de CTM, los que indicaron que pasaron su adolescencia en Lima subieron su media, aunque no se tiene la evidencia necesaria para poder identificar la razón de este cambio; se presume, no obstante, que puede ser debido a la migración.
Para el caso de donde viven actualmente, solo se evidencian declaraciones de los participantes que viven en tres regiones: Lima, costa norte y costa sur del Perú. Se evidencia una migración de los que vivieron en la sierra, la selva y el extranjero, esto en razón de que la muestra tomada es en la Universidad que se encuentra ubicada en Lima y en dos sedes que se ubican en la costa norte y sur del Perú. Los niveles o medias de la escala de IM son similares, por lo que se puede indicar que tienen la misma actitud hacia el mar, mientras que las medias del test alcanzadas para los que declararon vivir actualmente en la costa norte se encuentran ligeramente sobre los que viven en la costa sur o en Lima (Figura 4).

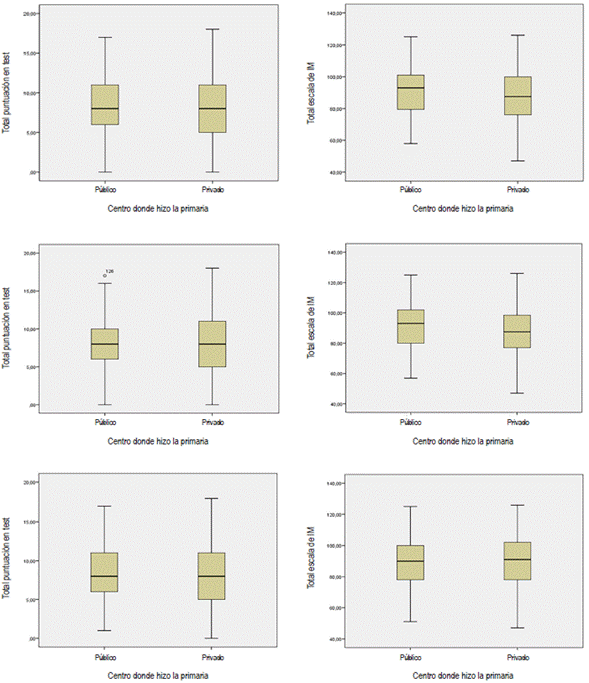
Distribución de medias según el tipo de centro donde estudió
La media del valor alcanzado en la escala de IM de aquellos participantes que estudiaron en un colegio público en la primaria fue mayor que la media de los que estudiaron en un colegio privado; sin embargo, no se evidencia una diferencia significativa. En lo que respecta a la media del valor alcanzado en el test en CTM, es la misma para los que estudiaron en un colegio público y los que estudiaron en un colegio privado.
El comportamiento de la distribución de medias para los que estudiaron secundaria en un colegio privado o público es similar al comportamiento de la diferencia de medias según el tipo de colegio donde estudiaron su primaria.
Por último, aquellos que estudiaron en una universidad pública lograron los mismos valores en las medias de la escala de IM con en el test de CTM que lo que estudiaron en una universidad privada (Figura 5).

Discusión
De acuerdo con los resultados encontrados, se puede confirmar lo dicho por Bachelard (1981, citado en González, 2019, p. 216) cuando afirma que no hay una continuidad entre el conocimiento común y el conocimiento científico. Según lo hallado, el conocimiento común lleva a tener una buena actitud hacia el mar, mientras que el conocimiento científico, a tener conciencia de lo que existe sin importar si se tiene una buena o mala actitud.
Los resultados nos muestran que existe una correlación entre el CTM y la IM. También se puede observar que la media alcanzada en el CTM está por debajo de su media alcanzable; mientras que la media alcanzada de la IM se encuentra sobre su media alcanzable. Surge, entonces, la pregunta de a qué razón obedece esto. Una respuesta a priori es que el sentimiento hacia el mar está mucho más allá de lo que se debe conocer sobre él. Es un sentimiento que está relacionado más con los procesos de interacción continua e integración de los individuos, determinados por lo espacial, lo temporal y lo social (Erikson, citado en Vexler, 2013). Así, la identidad marítima es resultado del proceso de interacción continua de los individuos y de la sociedad con el mar.
Con los resultados encontrados y la literatura analizada, se puede establecer que la identidad marítima se encuentra más cerca del universo inteligible de la relación del hombre con el mar; y a su vez, esta identidad está influenciada por la conciencia marítima y por las vivencias, definidas como procesos de interacción continua de los individuos y de la sociedad en su conjunto. Estos procesos de interacción continua se relacionan con lo espacial, es decir, con el lugar en que el individuo se desarrolla en cada etapa de formación, ya sea en un lugar costero o en un lugar mediterráneo, pero que de alguna forma ha tenido una influencia del ámbito marítimo. De igual forma, se debe entender cómo el individuo se ha relacionado con el mar a lo largo de su vida; si en este transcurrir del tiempo ha ido experimentando vivencias relacionadas con algun tema o factor marítimo. Por último, se debe comprender también en qué forma la socialización con otros individuos ha podido influenciar la formación de la relación del hombre con el mar. Esto nos explica por qué la variable CTM solo influye en el 12,2 % sobre la IM, pues hay otros factores que deben explicar el 87,8 %, entre ellos, los procesos de interacción continua.
La conciencia marítima y los procesos de interacción continua del individuo en la niñez, adolescencia y adultez (Figura 6), junto con los vínculos social (1), temporal (2) y espacial (3), explican la identidad marítima, que es el constructo más cercano a la relación del hombre con el mar.

Haciendo un análisis de estos procesos de interacción continua, la distribución de medias por grado académico evidencia que la formación académica no ha sido un factor determinante en la IM ni en los CTM, lo que lleva a pensar que los vínculos espaciales y temporales en esta formación académica no han incluido una visión marítima, en este caso en un país como Perú, con una costa de 3079 km. Asimismo, es comprensible que, si se vive más cerca al mar, se tiene una mejor actitud o identidad hacia él; sin embargo, las puntuaciones logradas por quienes declararon vivir, en diferentes etapas de su vida, en Lima, una ciudad que está bañada por el mar, son menores que las de quienes declararon vivir en la sierra y la selva del país. Esto debe obedecer a un anhelo de pertenencia al mar por parte de estos últimos. Por otra parte, los que viven en la costa norte del Perú alcanzaron mejores puntajes, lo que puede deberse a la relación histórica de los pueblos de la costa norte con el mar.
En lo social y temporal, establecido por el tipo de centro de formación académica en donde estudió en las diferentes etapas de su formación, no se evidencia una diferencia entre las medias de quienes estudiaron en un centro de educación pública con respecto a quienes lo hicieron en un centro de educación privada, lo que lleva a inferir que la formación vinculada con el mar es la misma en ambos tipos de centros.
Se debe tener presente que por el tamaño de muestra tomado no es posible hacer inferencias de niveles de IM ni de los niveles de CTM. Lo que sí es importante tomar en cuenta es el análisis de correlación e influencia que se pudo establecer con los resultados encontrados. Con base en estos análisis, si se quiere fomentar o mejorar la relacion del hombre con el mar, no se debe hacer referencia solamente a la conciencia marítima, sino que tambien se deben establecer las estrategias y politicas necesarias para fortalecer los procesos de interacción continua con el mar. Es decir, si se quiere tener una buena relacion de la sociedad con el mar, se debe fortalecer la identidad marítima.
Conclusión
La muestra tomada para el estudio permite inferir que existe una correlación positiva débil entre los conocimientos en temas marítimos -que hemos relacionado con la conciencia marítima- y la actitud que se tiene hacia el mar -que hemos relacionado con la identidad marítima-. Asimismo, estos conocimientos solo explican o tienen una influencia en un 12,2 % de lo logrado en la identidad marítima. El resultado y el análisis permiten inferir que la identidad marítima es el constructo y expresión que nos acerca mejor al entendimiento de la relación del hombre con el mar, y que para fomentar esta identidad no solo basta con reforzar el ámbito cognitivo del ser humano, que es la base de la conciencia marítima, sino que se necesita llevar el mar a la sociedad en los diferentes procesos continuos de formación identitaria de cada individuo en lo social, espacial y temporal.
Agradecimientos
El autor desea agradecer a la Universidad Tecnológica del Perú por el apoyo en la realización de este artículo.
Referencias
Berg, D. (2010). Maritime cultural landscapes, maritimity and quasi objects. Journal of Maritime Archaeology, 5, 5-16. https://doi.org/10.1007/s11457-010-9055-0
Bonomo, M. (2005). Identidad étnica y cultura material: el caso del litoral marítimo bonaerense. En V Williams & B. Alberti (Eds.), Género y etnicidad en la arqueología de Sudamérica (pp. 139-161). Facultad de Ciencias Sociales. https://bit.ly/2QEnXOH
Chintoan-Uta, M., & Ramos-Silva, J. (2017). Global maritime domain awareness: A sustainable development perspective. WMU Journal of Maritime Affairs, 16(1), 37-52. https://doi.org/10.1007/s13437-016-0109-5
Comisión de Estudios Estratégico-Marítimos. (2016). Fundamentos de doctrina marítima. Instituto de Estudios Histórico-Marítimos del Perú. https://bit.ly/3aqpiR7
Corral, Y. (2009). Validez y confiabilidad de los instrumentos de investigación para la recolección de datos. Revista Ciencias de la Educación, 19(33), 1-20. https://bit.ly/2wvzCs0
Escobar-Pérez, J., & Cuervo M., A. (2008). Validez de contenido y juicio de expertos: una aproximación a su utilización. Avances en Medición, 6, 27-36. https://bit.ly/2WCYpFj
Ghotme, R. (2013). La identidad nacional, el sistema educativo y la historia en Colombia, 1910-1962. Revista Científica General José María Córdova, 11(11), 273-289. https://doi.org/10.21830/19006586.214
González, L. (2019). Del mundo de lo sensible al universo de lo inteligible en la enseñanza de las ciencias naturales. Pedagogía y Saberes, 50, 211-221. https://bit.ly/33ELzYy
Green, S. (1991). How many subjects does it take to do a regression analisys. Multivariate Behavioral Research, 26(3), 499-510. https://doi.org/10.1207/s15327906mbr2603_7
Hakim, N. (2014). Los límites de la cultura y de las teorías de la identidad: una entrevista a Alejandro Grimson. Revista de Antropología Social, 23, 263-273. https://bit.ly/3bfJogG
Hernández, R., Fernández, C., & Baptista, P. (2010). Metodología de la investigación (5.a ed.). McGraw-Hill.
Keillor, B., Hult, G., Erffmeyer, R., & Babakus, E. (1996). NATID: The development and application of a national identity measure for use in international marketing. Journal of International Marketing, 4(2), 57-73. https://www.jstor.org/stable/25048646?seq=1
Larraín, J. (2003). El concepto de identidad. Famecos, 10(21), 30-42. http://dx.doi.org/10.15448/1980-3729.2003.21.3211
Mendiburu, I., Guitart, M., & Badenas, J. (2010). Identidad nacional. Lengua y escuela. Revista de Educación, 353(387), 39-65. https://bit.ly/33IODTr
Montero, R. (2016). Modelos de regresión lineal múltiple. Documentos de Trabajo en Economía Aplicada. Universidad de Granada. https://bit.ly/2y55ZOP
Murillo, J., Carrasquero-Durán, A., & Cañada, F. (2018). Diseño de una herramienta para medir la actitud hacia la química en adultos mayores. Academo, 5(2), 133-142. https://doi.org/10.30545/academo.2018.jul-dic.6
Navarro, B. (2012). El conocimiento sustancial que el alma tiene de sí misma: una interpretación de la posición agustiniana en el De Trinitate. Praxis Filosófica, 35, 111-129. https://doi.org/10.25100/pfilosofica.v0i35.3480
Ocean Health Index. (2018). Goal: Sense of Place. https://bit.ly/33Rx3Nv
Ortiz, A. (2014). La relación Hombre-Naturaleza, tendencias de su filosofar en Cuba. Revista de Ciencias Sociales, 32, 63-76. https://www.redalyc.org/pdf/708/70831715004
Pérez-García, D. (2017). ¿Un intento epistemológico? El diseño como vigilante de métodos. Bitácora, 27(4), 47-54. https://doi.org/10.15446/bitacora.v27n4Esp.62796
Pyrco, I., Dõrfler, V., & Eden, C. (2017). Thinking together: ¿What makes communities of practice work? Human Relations, 70(4), 389-409. https://doi.org/10.1177/0018726716661040
Vera, J., & Valenzuela, J. (2012). El concepto de identidad como recurso para el estudio de transiciones. Psicología y Sodiedade, 24(2), 272-287. https://doi.org/10.1590/S0102-71822012000200004
Vexler, I. (2013, 7 de junio). La identidad: Una mirada desde la perspectiva de una educación para el desarrollo humano. Educación en Red. www.educacionenred.pe/noticia/?portada=38305
Notas
Notas de autor
CONTACTO: Víctor Fernando Rázuri Esteves vrazuri@utp.edu.pe