Inteligencia y logística
Recepción: 10 Junio 2022
Aprobación: 22 Noviembre 2022
Publicación: 01 Enero 2023
DOI: https://doi.org/10.21830/19006586.1013
Resumen: El artículo explora el potencial de la gobernanza policial en red. Para hacerlo, usa el análisis de redes a fin de diseñar una red simulada de refuerzos entre patrullas de vigilancia comunitaria, por sectores urbanos o CAI, con base en los datos de la red observada que existía en 2016. La simulación se centra en los hotspots de homicidios de 2016 y se propone para evaluar si podría evitar su expansión o multiplicación en 2017. Se muestra que la red simulada controla y reduce potencialmente los hotspots, pese a los contextos urbanos y socioeconómicos que los sustentan y al recurso policial escaso.
Palabras clave: análisis de redes, CAI, gobernanza policial, homicidio, hotspots, prevención del crimen.
Abstract: The article explores the potential of networked police governance. To do so, it uses network analysis to design a simulated network of reinforcements among community policing patrols, by urban sectors or CAI, based on the observed network data existing in 2016. The simulation focuses on the 2016 homicide hotspots and it is proposed to assess whether it could prevent their expansion or multiplication in 2017. The simulated network is shown to control and potentially reduce hotspots, despite the urban and socioeconomic contexts that support them and the scarce police resource.
Keywords: CAI, crime prevention, homicide, hotspots, network analysis, police governance.
Introducción
La vigilancia comunitaria ha sido una estrategia acogida por la Policía Nacional de Colombia desde el año 2010 con el objetivo de aproximar el servicio de los uniformados a la población, mediante un conjunto de tareas enfocadas en la prevención del delito y de conductas transgresoras que complementan el repertorio tradicional de actividades reactivas y disuasivas que llevan a cabo los uniformados organizados en duplas o patrullas. En las ciudades del país, la expresión geográfica de este enfoque es la asignación de un polígono de varias manzanas y calles, denominado cuadrante, a cada dos o tres patrullas para distribuir y verificar el cumplimiento de sus responsabilidades (Policía Nacional de Colombia, 2014).
Aun así, la vigilancia comunitaria hace parte de un proceso de focalización de esfuerzos, en contextos microlocales, que se remonta a la creación, en el año de 1987, de los Comandos de Atención Inmediata (CAI), que tienen jurisdicción sobre conjuntos de barrios, y, más tarde, a la Policía Comunitaria (Galindo, 2017). Esta focalización pretende atender factores causales y facilitadores de la criminalidad, lo que demanda una capacidad ampliada de procesamiento de informaciones en tiempo real (como soporte de las patrullas) y de articulación de los agentes con otras autoridades y actores relevantes.
Con todo, es connatural a cualquier cuerpo de policía que las decisiones prácticas sobre el terreno dependan de las valoraciones que hagan las propias patrullas y del poder discrecional del que gozan en razón de la naturaleza de su labor de guardianes del orden social (Johnson & Vaughn, 2016). Existe así una tensión entre el mando y el control de la actuación de los uniformados que se expresa como un conflicto de agencia (Machado, 2006; Zylbersztajn y Sztajn, 2005) o como una paradoja burocrática (Johnson & Vaughn, 2016) que constituye un déficit de gobernanza dentro del cuerpo de policía.
En parte, los CAI (ahora Centros de Atención Inmediata) han sido una forma de mitigar el déficit de gobernanza policial en las calles, al agrupar las patrullas en equipos, con un oficial a la cabeza, en una suerte de extensión de la línea de mando. Adicionalmente, el trabajo en equipo se ha expresado en los refuerzos entre patrullas a nivel de CAI, es decir, de varios barrios, o, en su interior, a nivel de cuadrantes.
En cierta medida, los refuerzos han sido considerados indicativos de un comportamiento policial en red y tienen como tareas específicas la realización de puestos de control (retenes, en el argot popular) o de dispositivos de cierre para impedir la fuga de algún sospechoso, además del apoyo a requerimientos que exceden el recurso policial disponible (Policía Nacional de Colombia, 2014). Los refuerzos no solo representan las mencionadas conexiones entre las patrullas, sino también un apoyo a su jurisdicción de trabajo con toda la población y las problemáticas que están presentes allí.
Vistos en conjunto, los refuerzos pueden constituir un sistema en red de transmisión de prácticas policiales para mantener y controlar los planes y protocolos de trabajo diseñados desde el mando. Así, la articulación entre patrullas con un sentido de red se convierte en un instrumento al servicio de la misión comunitaria del plan de vigilancia y, de esta manera, de su gobernanza corporativa u organizacional.
El presente artículo ofrece una exploración del potencial de una red de refuerzos entre patrullas como instrumento de gobernanza policial en Bogotá, capital de Colombia, pues esta ha sido la ciudad del país donde el proceso de incorporación de la vigilancia comunitaria ha tenido mayor vigencia. En particular, estudia su impacto mediante una red simulada de refuerzos para el control de homicidios, de acuerdo con la densidad de este delito por CAI, durante los años 2016 y 2017 (años para los que hubo información disponible más reciente en el momento de adelantar esta investigación).
El análisis trata de homicidios debido a su empleo como indicador estándar de inseguridad en el contexto internacional, puesto que representan la principal amenaza a la vida e integridad personal y su registro suele ser el más confiable de la actividad delictiva (Sandoval, 2018).
En lo que sigue, se desarrolla una discusión teórica sobre la idea de gobernanza policial en red. A continuación, se presenta el análisis de redes y sus modelos simulados (de grafos aleatorios exponenciales o ERG, por sus siglas en inglés) como método de estudio de fenómenos sociales. Luego, se expone el modelo simulado de la red de refuerzos de patrullas de policía, sus esquemas básicos de cooperación y gobernanza y sus matices locales. En seguida, se ofrecen las estimaciones y se discute el efecto hipotético de la red simulada sobre la concentración de los homicidios por CAI. Finalmente, se plantean algunas conclusiones.
Gobernanza de la seguridad y gobernanza policial en red
Hoy en día, los esfuerzos de los cuerpos tradicionales de policía, centrados en la reacción ante eventos delictivos particulares, se ven rebasados por la multiplicidad de demandas ciudadanas referidas a la salvaguarda del orden y la tranquilidad públicas y al control de conductas impropias y de amenazas a la calidad de vida.
A ello se suma la expansión de oferentes privados en la forma de guardas y vigilantes de seguridad (en empresas y zonas comerciales y residenciales), así como el incremento del papel regulador del Estado en áreas en las que antes fungía como productor (p. ej., transporte y servicios domiciliarios) (Crawford, 2008).
Como respuesta, ha ganado importancia la idea de la gobernanza de la seguridad mediante esquemas de organización en los que se pretende descentralizar las tareas de la vigilancia policial. Existen, al menos, dos niveles interconectados en los que opera dicha gobernanza. El primero, externo, está conformado por las relaciones entre la policía y otros actores públicos y privados. El segundo, interno, está compuesto por la estructura del cuerpo de policía. Ambos niveles se encuentran enlazados por los enfoques de la vigilancia policial (orientada a la resolución de problemas de orden delictivo), de un lado, y el de la seguridad comunitaria (vigilancia comunitaria), de otro (Tilley, 2008; Jones, 2008), con los cuales se pretende lograr una actuación de los uniformados más precisa, asertiva y de carácter preventivo.
En términos de problema, los delitos y transgresiones son examinados según patrones de ocurrencia y sus factores causales y desencadenantes, los cuales se convierten en el centro de atención de las intervenciones respectivas. De esta manera, se pueden evitar actuaciones casuísticas y reactivas.
Esta misma propuesta es planteada en el ámbito local mediante la seguridad comunitaria (vigilancia comunitaria), en coordinación con la población atendida. Para ello, se requiere de una capacidad de registro, procesamiento y análisis de información criminológica que permita monitorear tendencias delictivas, notar los pesos y el papel de los distintos factores de criminalidad y verificar los mecanismos y acciones de prevención que resultan más pertinentes y de mayor alcance. De esa manera es como se puede conformar una visión conjunta entre los actores involucrados en la vigilancia policial acerca del problema que requiere ser enfrentado, del modo adecuado de tratarlo y del papel que debe cumplir cada uno de ellos.
Mientras no se cuente con la capacidad de análisis criminológico suficiente, puede que prevalezcan prejuicios y desconfianzas en el nivel de la gobernanza externa, entre la policía y los demás actores con competencia en la provisión de seguridad. Y entre ellos quizá exista quien opte por una defensa cerrada de determinada posición que considere como la mejor opción.
En cuanto al nivel de la gobernanza interna, la dificultad del análisis y del surgimiento de una visión conjunta puede suponer el mantenimiento de modos tradicionales y reactivos de actuación policial que no logran responder satisfactoriamente a las demandas ciudadanas vigentes. Así, se da lugar a una mayor presión sobre el trabajo de las unidades policiales en terreno y a una mayor tensión de estas con la dirección de sus mandos que puede resultar en un problema de comando y control (Stanton et al., 2008). El comando se comprende como el diseño y selección de un plan de atención de eventos delictivos, mientras que el control se refiere a la verificación y ajuste en campo de la operación de este plan.
Sin embargo, la tensión con los mandos es connatural a la actividad de las patrullas de policía, debido al poder discrecional necesario que estas requieren para responder con prontitud a la multiplicidad de situaciones que afrontan en las calles.
Por tanto, hay un déficit básico y permanente de gobernanza interna o de "paradoja burocrática" (Johnson & Vaughn, 2016) en la que, a pesar de los protocolos, reglas, procedimientos y simbolismos empleados para mantener la unidad organizacional, los uniformados experimentan en su trabajo cotidiano un estado de encadenamiento débil (loose coupling). Este estado dificulta la evaluación y el monitoreo de su desempeño y el diseño de incentivos adecuados para mejorar sus actuaciones.
La principal amenaza del encadenamiento débil es que derive en otro estado denominado desencadenamiento (decoupling), que es cuando se cometen prácticas corruptas o se desarrollan subculturas del desvío entre los mismos policías consistentes en acciones ilegales que se muestran eficaces para administrar la criminalidad y mostrar resultados en cuanto a la reducción del delito (Johnson & Vaughn, 2016).
En el caso de la Policía colombiana, a partir de los años 2000, se han dado pasos hacia la adopción de la vigilancia policial orientada a problemas y a la seguridad comunitaria, esta última con la creación de una especialidad que luego se generalizó en la forma de vigilancia comunitaria.
Años antes, se había ensayado una manera de descentralizar y acercar parcialmente las funciones de mando al ámbito local con la instalación de los ya mencionados CAI. En tiempos recientes, se ha profundizado el proceso de focalización en términos microlocales con la subdivisión de los CAI en cuadrantes de vigilancia comunitaria. De este modo, se hace más precisa la verificación de su desempeño por parte de los mandos y de la población, que puede identificar a los policías encargados de su cuadrante respectivo.
Por estas razones, el cuadrante se ha convertido en la unidad básica de información criminológica y de evaluación del trabajo policial, y en su interior se establecen los sectores críticos de concentración delictiva, también llamados hotspots, o puntos calientes, que son considerados prioritarios para atención de los uniformados.
Esta atención comprende un catálogo de acciones y de metas relacionadas con labores de prevención y disuasión (algunas en coordinación con otras autoridades y actores locales) que amplían el repertorio tradicional de reacción frente al delito referido a incautaciones, recuperaciones, y capturas. Entre los indicadores de evaluación y seguimiento se mantienen los de reducción de delitos, los cuales deben estar acompañados de análisis criminológicos periódicos. Estas informaciones son revisadas en comités para verificar el desempeño de las unidades policiales en cada nivel de mando y ajustar los planes de acción en intervalos definidos de tiempo (Policía Nacional de Colombia, 2014).
A pesar del esfuerzo técnico, dentro de la Policía, por aumentar su capacidad de acopio y análisis de información criminológica, los uniformados deben responder con prontitud, en su día a día en las calles, a eventos cuyo curso de atención puede estar sujeto a contingencias impredecibles. Por tanto, se hace indispensable conferirle un determinado grado de adaptabilidad y discrecionalidad al agente policial para que decida en materias como las enunciadas por Stanton et al. (2008): de ajuste de reglas de actuación, administración de riesgo y uso de recursos (lo que siempre conlleva el riesgo de encadenamiento débil).
Los refuerzos entre las patrullas constituyen una alternativa para enfrentar el déficit de gobernanza connatural al trabajo policial, expresado en el encadenamiento débil, y evitar un desencadenamiento, incentivado por falencias eventuales en la producción de información criminológica de calidad.
Vistos en conjunto, los lazos de refuerzos pueden funcionar como un sistema de gobernanza en red conformado por apoyos y controles laterales entre pares, dado el doble carácter de soporte y de compromiso que conlleva toda relación y que es resaltado en el análisis de redes de naturaleza social no necesariamente virtuales (White, 2008). Si bien cabe esperar que prácticas corruptas también se pueden difundir a través de los lazos entre patrullas, una difusión desmedida de este tipo sería demasiado evidente y otras interacciones de tipo positivo podrían equilibrar o compensar la expansión de las de tipo negativo.
Hasta ahora, en Colombia los refuerzos solo tienen un empleo auxiliar y reactivo ante las distintas situaciones de policía que se presentan a diario. A ello se suma la ausencia de una valoración integral de la red y de los esquemas de cooperación y control entre las patrullas de tres o más CAI o cuadrantes que se podrían establecer y multiplicar por toda una ciudad, de acuerdo con su efectividad sobre el delito.
Un primer esfuerzo para revelar el potencial de la red fue realizado por Sandoval et al. (2019), a partir del registro parcial de posibles flujos de comunicación entre algunos CAI en la ciudad de Bogotá, y se basó, a su vez, en un análisis preliminar de Sandoval y Marín-Jaramillo (2017). Allí se evidenció la baja eficiencia e implementación de refuerzos en términos de red, lo que refleja la importancia reducida que se le concede dentro de la policía. Se nota que la cobertura de los hotspots tiende a ser realizada solo entre los CAI que comparten la concentración delictiva y ya se encuentran saturados en su capacidad de respuesta. Esto puede ser una señal de una focalización excesiva, que segmenta los esfuerzos policiales y pierde de vista el contexto local que rodea a los hotspots.
A continuación, se presentan simulaciones de la red a nivel de los CAI, para redistribuir los refuerzos de modo que las patrullas menos saturadas puedan acompañar a sus pares de los hotspots, mediante esquemas o circuitos de cooperación y control que también permitan evitar un desborde o un desplazamiento del delito hacia otros lugares (Braga et al., 2014; Byrne & Pease, 2008).
Así, antes de que los uniformados se vean saturados o sorprendidos, e incluso propensos a incurrir en alguna conducta desviada de sus protocolos de trabajo (en un desencadenamiento de la organización policial), la opción de la red de refuerzos propuesta permitiría mantener una vigilancia ostensiva dónde más se requiere y, al tiempo, alcanzar una capacidad articulada de adaptación a los contextos dinámicos del delito. Es decir, una capacidad de gobernanza en el nivel organizacional de los CAI, sobre el cual ha recaído el mayor esfuerzo de descentralización del mando.
El análisis de redes y sus modelos simulados
Según Braga et al. (2014), las intervenciones policiales sobre los hotspot de homicidios tienden a provocar una expansión o reubicación de los mismos. Por tanto, se hace necesaria una cobertura zonal que involucre los focos de concentración y su entorno de influencia. Es decir, que el lazo de apoyo a un hotspot implique la activación potencial o efectiva de lazos adicionales entre sectores policiales vecinos. Se requiere que la estructura de lazos sea eficiente (Amati et al., 2018) mediante esquemas de cooperación y control entre patrullas conformados por conjuntos de lazos directos e indirectos con los focos de asesinatos.
En el análisis de redes de naturaleza social, se han desarrollado los modelos ERG (exponential random graphs o grafos aleatorios exponenciales), que se basan en simulaciones que pueden ser usadas para el estudio de redes observadas o para representar redes hipotéticas y sus propiedades (Lusher et al., 2013). Un grafo es la representación de actores y lazos en la forma de nodos (puntos) y líneas.
La lógica central de este tipo de modelos se basa en la dependencia entre los lazos o pares de actores relacionados. De esta manera se pueden representar esquemas de interacción grupal de más dos participantes, los cuales se pueden multiplicar a modo de patrón hasta producir estructuras globales enteras. Así, dichos esquemas se convierten en configuraciones locales de articulación, susceptibles de ser representadas mediante formas geométricas, con significados y alcances particulares.
Las simulaciones siguen un proceso tipo Markov y consisten en una secuencia iterativa a partir de un grafo aleatorio inicial, sin una configuración local específica, que luego se actualiza con la presencia o ausencia de un lazo entre un par de nodos escogido al azar, siempre que el nuevo grafo resultante sea más probable que el corriente. Ello depende de la ausencia (o existencia) previa del lazo en cuestión y de las configuraciones locales hipotéticas por analizar, pues estas representan formas endógenas de articulación por simular que se basan en el condicionamiento de un lazo sobre otro (Koskinen & Snijders, 2013; Robins y Lusher, 2013).
Después de un número suficiente de iteraciones, la secuencia de simulaciones va a oscilar alrededor de un valor o cantidad media de las configuraciones locales hipotéticas, lo que permite seleccionar una muestra de grafos. Con esta se procede a analizar la importancia estadística de las configuraciones que podrían componer una red observada o a adoptar el último grafo como la red hipotética producto de las simulaciones.
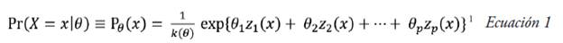
En términos matemáticos, el modelo ERG de la red simulada se expresa de la siguiente forma:1

La ecuación 1 indica que la probabilidad de ocurrencia de la red simulada es una función exponencial de la estadística ponderada de cada configuración local incluida en el análisis. La elección de estas configuraciones y su peso en el análisis depende de las hipótesis de las que dispone el investigador, con base en la discusión teórica, sobre los mecanismos que podrían sustentar la red global simulada. La forma específica que asumirá el modelo ERG de la red será resultado de estas decisiones.
En los campos de la seguridad y la gobernanza, para el estudio de redes observadas se han desarrollado diferentes configuraciones de asociación con nombres específicos (nodo aislado, adyacencia, reciprocidad, estrellas con lazos (puntas) bidireccionados, triángulos múltiples, triada transitiva de dos lazos, triada transitiva, homo/heterofilias) (Schaefer, 2012; Papachristos et al., 2013; Lee et al., 2012; Doreian & Conti, 2012). Sin embargo, en el terreno de las simulaciones, Amati et al. (2018) introducen el concepto de eficiencia estructural, que surge de un proceso endógeno de influencia entre los mismos lazos, a diferencia de una eficiencia diádica en la que los lazos solo dependen de los atributos de los nodos y sus distancias geográficas mutuas. Con base en esta idea de eficiencia estructural, se ha construido el modelo de simulación de la red de refuerzos entre patrullas organizadas por los CAI de Bogotá.
Modelo simulado (ERG) de la red policial para el control de hotspots de homicidios en Bogotá
Diseño estructural previo
La Policía de Bogotá ha establecido un diseño estructural que consiste en la división de la ciudad en distritos denominados estaciones, cuyos límites se corresponden con los de las localidades o unidades de gestión político-administrativa de la ciudad. A su vez, cada estación está subdividida en Centros de Atención Inmediata (CAI), cada uno de los cuales cuenta con un equipo de patrullas propia.
Los refuerzos entre patrullas pueden relacionar varios CAI de una misma estación, aunque no entre estaciones (Páez et al., 2020), de modo que no hay lazos entre los CAI de diferentes estaciones. Por tanto, el modelo de simulación considera a los CAI como nodos de policía y a sus refuerzos mutuos como los lazos que integran la red de la ciudad, que se compone de subredes o subgrafos: uno por cada estación o localidad.
¿En qué consisten y en qué dirección operan los refuerzos policiales?
Se espera que la asignación de los refuerzos obedezca a un principio de vigilancia ostensiva, para desestimular actividades que suelen estar relacionadas con la ocurrencia de muertes dolosas (como el tráfico de estupefacientes, los cobros extorsivos o violentos o las riñas entre personas bajo los efectos de sustancias psicoactivas) y para recabar información con valor judicial sobre los involucrados y sus modalidades de actuación.
Asimismo, los apoyos representan una oportunidad para el intercambio de informaciones entre las patrullas acerca de los contextos particulares vivenciados por los policías en cada CAI, de manera que puedan compartir alertas sobre circunstancias y patrones de los casos de asesinatos que puedan reproducirse o estar relacionados con lo sucedido en diferentes CAI. En ese sentido, los apoyos pueden servir para transmitir entre colegas un conjunto de protocolos, reglas, procedimientos y prácticas dirigidas desde el mando, a modo de control lateral o entre pares, lo cual permite mantener una unidad y coherencia estructural de la organización y contribuir a su gobernanza.
Así las cosas, y dado el propósito de atender los hotspot y su entorno, cabe proponer que los apoyos operen como pequeñas sociedades de intercambio de recursos en una doble dirección. Además de receptoras, las patrullas de los CAI que cubren hotspots estarían llamadas también a cooperar e, incluso, de ser necesario, a reforzar su entorno. De ahí que, en el modelo, se dé por entendida una colaboración de doble vía en cada lazo y se omita, por simplicidad, la dirección que cada uno pueda asumir en un caso específico.
Esquemas grupales de cooperación y control entre los CAI
Para diseñar la red del año 2017 por simular, se tomó como referencia la distribución de homicidios en el año 2016. Con esta base mínima de información, se pretendió no favorecer el efecto esperado de reducción de los hotspot de homicidio a partir de la red simulada, a pesar de la estabilidad en el tiempo de la densidad de asesinatos en Bogotá (Velásquez, 2010, p. 58).
Durante 2016, las muertes se concentraron en pocos CAI por localidad, y esta densidad disminuyó en la medida en que aumentó la distancia hacia dichos hotspots (Figura 1).

En vista de tal relación o gradiente espacial inverso, y de la escasez de recurso policial, los refuerzos han sido organizados, en el modelo de simulación, de manera escalonada según tres rangos de densidad de los homicidios (alto, medio y bajo) a través de los CAI en cada localidad. Es decir, las patrullas de los CAI en el rango bajo tenderán a interactuar con las de los CAI más cercanos del rango intermedio y las de este segundo rango se relacionarán con sus pares más próximos del rango alto o caliente de muertes.
Así, los lazos de refuerzo policial no se enfocan solo en los CAI que cubren hotspots, sino que se distribuyen de acuerdo con el gradiente de densidad, cuyo descenso se corresponde con aumentos en la distancia al sector (CAI) caliente.
Para conseguir una cobertura policial escalonada, se introducen en el modelo de manera conjunta las configuraciones seguidor y vecindario. El esquema de seguidor sirve para indicar que los refuerzos de cada CAI sean dirigidos hacia otros CAI con una densidad de homicidios superior a los primeros. Sin embargo, para evitar una focalización excesiva en los CAI que cubren hotspots, se incluye el esquema de vecindario, en el cual la prioridad de los refuerzos que parten de un CAI determinado es apoyar los CAI más críticos con los que tiene límites en común (que son sus vecinos).
El escalonamiento implica que los CAI pueden tender lazos de refuerzo indirecto con los hotspots, al cubrir el vacío que eventualmente deja otro CAI cuando alguna(s) de sus patrullas parte(n) a apoyar un hotspot vecino.
Además, en este juego a tres nodos (que enlaza a tres CAI), puede presentarse una triangulación de tipo transitivo, en la que el refuerzo del refuerzo de un hotspot se convierte en un refuerzo directo de este CAI crítico. Estos lazos indirectos y triangulaciones permiten que la cobertura escalonada derive en una cobertura zonal. Es decir, permite que se presenten apoyos entre rangos o zonas de densidad de los asesinatos, aunque los CAI implicados no compartan límites (Figura 2).

Dentro de la cobertura escalonada y zonal, los CAI del rango intermedio de densidad de homicidios tienden a concentrar los lazos de la red y a funcionar en el centro de un esquema en forma de estrella. Se ubican en la mitad de la distribución de los lazos, con los nodos del rango bajo de asesinatos, de un lado, y los del rango alto, del otro. Tal situación se puede amplificar si estos CAI del rango medio son los más equidistantes de la localidad. Para evitar este problema de focalización excesiva y mantener una eficiencia estructural, en el sentido de cubrir todo el entorno inmediato de los hotspots, es necesario que la función de estrellas se distribuya a lo largo de los CAI del rango medio. Esto se logra con la introducción del esquema conocido como estrellas múltiples.
De otra parte, cabe considerar lazos de refuerzos dentro de los rangos medio y bajo de densidad de homicidios para lograr un cierre en la cobertura policial del entorno de los hotspots. Es más probable que los pares de los CAI del rango medio que tengan lazos con los mismos hotspots, o con los mismos CAI del rango bajo, se conozcan e interactúen para brindarse apoyo mutuo, lo cual describiría un esquema triangular adicional de cooperación. Como consecuencia, el esquema endógeno de refuerzos policiales que cabe adicionar en este caso, y de modo distribuido, es el conocido como triángulos múltiples.
En síntesis, los esquemas grupales empleados en el modelo de simulación son adyacencia relacional, seguidor, vecindario, estrellas múltiples y triángulos múltiples (Tabla 1). El primero de ellos es introducido para dar cuenta de la dificultad para interactuar entre dos nodos cualesquiera del grupo social estudiado. Para calcular los pesos o ponderaciones de cada configuración en el modelo, se tuvo como referencia el desarrollo lógico de incorporación e importancia de cada esquema, descrito en los párrafos previos, y el trabajo de Sandoval et al. (2019), que hizo un análisis de una red observada de refuerzos entre patrullas, organizadas también por CAI en la ciudad de Bogotá, y de los esquemas que la componían.

Matices del modelo simulado en el ámbito de las localidades
Existen tres estaciones o localidades donde se ubican los CAI de la red que cubrieron hotspots durante el año 2016. Son las estaciones de Ciudad Bolívar, Santa Fe y Bosa. En la primera, los sectores críticos alcanzaron hasta 24 muertes por km2, mientras que, en las dos restantes, fue de 22 y 18 muertes, respectivamente. Ciudad Bolívar también registra una densidad elevada en su conjunto, pues allí la media por CAI fue de 12 asesinatos (con desviación estándar de 7), en comparación con la de Santa Fe, que fue de 7 (con desviación estándar de 6), y con la de Bosa, que fue de 7 (y desviación estándar de 5). En contraste con ellas, la localidad de Barrios Unidos presentó una media de 1 muerte (con desviación estándar de 0,4) (Tabla 2).

Las tres localidades exhiben características socioeconómicas similares, aunque con rasgos distintivos en sus procesos de urbanización y en la funcionalidad que cumple cada una dentro de la ciudad. En el año 2017, las proporciones de población entre los 13 y los 24 años de edad (más vulnerable al homicidio en condición de víctima o agresor) oscilaron en estas localidades alrededor del 17 % de sus habitantes, y tan solo una tercera parte de sus jóvenes entre los 18 y los 25 años de edad asistió a algún curso de formación educativa (Tabla 3).

Ciudad Bolívar y Santa Fe registraron, además, parecidos en el porcentaje de habitantes afiliados a los niveles 1 y 2 del Sisbén, en la tasa de desempleo y en la concentración de empresas en el sector comercial. Por su parte, Bosa alcanzó un nivel un poco más alto en este último indicador (41,0 %) y unas tasas de desempleo (8,6 %) y de afiliados al Sisbén (43,7 %) más favorables. Esto también se reflejó en una población de inscritos al régimen subsidiado de salud del 18,8 %, inferior a lo observado en Ciudad Bolívar (25,4 %) y en Santa Fe (34,6 °/o) (Secretaría Distrital de Planeación, 2017a; 2017b; 2017c).
En Ciudad Bolívar este proceso continúa en curso gracias a la existencia de terrenos aún sin urbanizar y al arribo de nuevos ocupantes. Así se evidencia en la participación predominante de viviendas de condición socioeconómica baja-baja, o de estrato 1 en la terminología oficial, que ascendió al 64,7 %, en el año 2017; mientras que el estrato 2, o de condición baja, ascendió al 20,8 %.
En Bosa, la mayor parte del suelo se encuentra urbanizado y los asentamientos de origen irregular están consolidados y se han legalizado. Allí, el estrato 2 representó el 78,9 %%, y el 1 llegó al 10,3 % (Secretaría Distrital de Planeación, 2017b; 2017c). Por tanto, la actividad comercial que se ejerce en estas localidades pretende facilitar el acceso de sus residentes a bienes básicos de bajo costo.
Distinto es el caso de la localidad de Santa Fe, que se extiende por parte del centro histórico de Bogotá y bordea la localidad de La Candelaria, en donde se encuentra la sede principal del Gobierno y de los poderes públicos nacionales. De hecho, La Candelaria termina por dividir a Santa Fe en tres sectores: norte, occidente y sur.
En los dos primeros sectores existe una intensa actividad comercial y de servicios. Además, en la parte norte, sobresalen universidades privadas que transforman el espacio urbano construido a medida que expanden su operación. En cambio, en la parte sur, ya ha tenido lugar el desarrollo de barrios populares sobre casonas antiguas o a partir de ocupaciones irregulares de terrenos. La densidad poblacional en Santa Fe fue de 137 habitantes por hectárea (ha), en el año 2017, y menor a las de las otras dos localidades tratadas, aunque la mayoría de sus viviendas (el 56,0 %) pertenece al estrato 2 (Secretaría Distrital de Planeación, 2017a).
Dada su ubicación central, Santa Fe alberga establecimientos de comercialización mayorista de productos de la más variada naturaleza y origen (legal e ilegal). Sobresale la venta de estupefacientes (marihuana y bazuco, derivado de la cocaína) a consumidores finales, parte de ellos habitantes de calle, y a distribuidores en barrios de localidades como las de Ciudad Bolívar y Bosa. El flujo de clientes de los distintos bienes y servicios ofrecidos se constituye en el eje de la población flotante, característica de la localidad, que resulta victimizada por el hurto a personas. En el año 2017, esta conducta llegó a representar el 77,3 % de los casos de delitos, distintos a las muertes violentas, que son considerados de impacto en la percepción de seguridad (Secretaría Distrital de Planeación, 2017a). De ahí que los eventos de homicidios en Santa Fe suelen estar relacionados con disputas por el mercado de estupefacientes y con atracos.
Por su parte, en Ciudad Bolívar y Bosa, dentro de los delitos de impacto son frecuentes las lesiones comunes y los hurtos a persona, con un 42,0 % y un 43,2 %, respectivamente, en la primera localidad, y un 35,6 % y un 48,7 %, en la segunda, en el año 2017 (Secretaría Distrital de Planeación, 2017b; 2017c). Además, se encuentra presente la venta al menudeo de alucinógenos. Aquí los homicidios se asocian en gran medida a los conflictos entre traficantes y a lesiones fatales infligidas en atracos y riñas entre personas bajo el efecto de sustancias psicoactivas. Mientras, el comercio, principal actividad económica, resulta presionado por cobros extorsivos de servicios de seguridad que pueden derivar también en asesinatos.
En términos de la distribución de la densidad de los homicidios, Ciudad Bolívar constituye la localidad prototipo. De acuerdo con lo esperado, los niveles de concentración describen un gradiente espacial típico, sin diferencias relativamente abruptas entre uno y otro (véase Figura 1). Así, los esquemas en red de seguidor y de vecindario pueden tener pesos similares para introducir la pauta de cobertura policial escalonada que se pretende con el modelo de simulación. En el segundo lugar de pesos se encuentran los esquemas endógenos de estrellas y triángulos múltiples, con una ligera ventaja de los primeros frente a los segundos. Con ello se busca evitar la focalización excesiva de lazos de refuerzos en pocos CAI, en especial en el rango alto y en el medio de densidad de asesinatos, y fomentar circuitos de cooperación cuando las patrullas de distintos CAI coincidan en apoyar a otro CAI específico, de modo que se aseguren las coberturas en y alrededor de los hotspots.
En contraste, en la localidad de Bosa se evidencia una dispersión mayor de la densidad de los homicidios, con respecto a su media entre sus CAI, y sobresale un CAI crítico, con 18 asesinatos por km2, cifra que es significativamente superior a la media (7 muertes) y que dobla el registro del CAI que le sigue, con 9 homicidios por km2 (Figura 1).
Además, este hotspot se encuentra hacia el centro geográfico de la localidad, con lo cual la tendencia es a concentrar en exceso los refuerzos de las patrullas, mientras se descuida el cierre de la cobertura policial por fuera del CAI crítico. Por tanto, fue necesario otorgar más peso al esquema de vecindario que al de seguidor, para mantener el escalona-miento en la distribución de refuerzos a lo largo del contorno espacial del hotspot, es decir, en los rangos intermedio y bajo de concentración de los asesinatos. Como complemento, se mantuvieron las estrellas y los triángulos múltiples en el mismo grado de ponderación usado para la simulación de Ciudad Bolívar.
De manera similar a Bosa, la localidad de Santa Fe evidencia un CAI crítico de 22 homicidios por km2, significativamente superior a la media de 7 víctimas de esta estación en el año 2016 y con una diferencia de 10 muertes sobre los otros dos hotspots, con 12 asesinatos cada uno. Sin embargo, a diferencia de Bosa, no existe una región conjunta que sea a su vez un hotspot único, sino que está divida en tres CAI separados entre sí.
El CAI más crítico es el de San Victorino, ubicado en el costado occidental de la localidad. Le siguen los dos ubicados en el costado sur: Las Cruces (hacia la parte baja) y el Dorado (en la parte más alta). Esto hace que el gradiente espacial de la densidad de homicidios no se distribuya de modo uniforme desde una región particular. Por eso, se hace necesario dar mayor peso al esquema en red de vecindario, frente al de seguidor, y a los triángulos múltiples, sobre las estrellas múltiples, todo para modelar circuitos microlocales de asociación en la cobertura de las patrullas.
En cuanto a las demás localidades de Bogotá, fue suficiente con seguir la pauta de simulación de Ciudad Bolívar, en cuanto localidad prototipo, salvo por un peso cada vez menor de la configuración de vecindario con respecto a la de seguidor, en la medida en que se reduce el tamaño de la localidad dado por el número de CAI. Ello porque resulta menos relevante especificar lazos de proximidad entre los nodos cuando, de hecho, estos tienden a compartir límites (Figura 3).

Alcances (hipotéticos) de la red policial simulada
Mediante la red simulada, se espera evaluar si una cobertura escalonada y zonal de los CAI que cubren hotspots, basada en la distribución de homicidios del año 2016, resulta ser un mejor regresor hipotético de la densidad de asesinatos en Bogotá durante 2017, comparado con la red observada por Sandoval et al. (2019) en 2016 (esta última no responde a un diseño conjunto, más allá de las subdivisiones entre localidades, por lo cual sería permanente de un año a otro). Para dicha evaluación, se parte de la estimación del efecto de dicha red observada como referente de valoración en la introducción posterior del efecto de la red simulada.
Se ha optado por un modelo de regresión lineal generalizado, dado que la densidad de los asesinatos sigue una distribución concentrada y no normal entre los CAI. Este tipo de modelos permite analizar la distribución condicional de la variable de respuesta (densidad de homicidios) a la luz de una gran variedad de ajustes, gracias a la flexibilidad de supuestos en cuanto a la normalidad de los errores. Además, el predictor lineal se puede linearizar con la media usando una función de enlace que facilita los análisis (Hardin & Hilbe, 2007).
Los componentes por analizar son, en su orden, los siguientes:
a) (Yi|Xi)~ef(Θ), tal que Θ = Θ;, tal que ;2 b) η= Xß, de tal forma que η= f(µ),3
c) (η)-1= µ = E[Yi |Xi ] 4 (McCullagh & Neider, 1989).
La selección del modelo estimado se basa en su bondad de ajuste, medida con los criterios de información de Akaike (AIC) y bayesiano (BIC) (Burnham & Anderson, 2004), y en el conocimiento empírico del investigador sobre el contexto situacional, para evitar relaciones espurias. El modelo se calcula por el método de máxima verosimilitud e iteraciones computacionales (Fisher scoring) tendientes a garantizar su convergencia (Cepeda & Achcar, 2010). El modelo que presentó los mejores resultados de ajuste (AIC y BIC) y predicción fue el de tipo gamma. En un principio, la relación funcional estimada para la red observada se expresa así:

En esta relación funcional (ecuación 2), se utiliza como indicador de representación de la red el grado de cooperación y control policial al que está sujeto cada CAI, es decir, su entorno de gobernanza en función de si es o no un hotspot. Para ello se emplea la medida de restricción (constraint) en red (Burt, 1992), en la que se establece el grado de interacción entre los nodos alter de un nodo (entre los nodos que ya tienen conexión con dicho nodo). En las estimaciones se ha incorporado, primero, este indicador de gobernanza de la red observada para conocer el grado de sensibilidad inicial de la densidad de los homicidios.
Los indicadores de gobernanza, observado y simulado, varían entre 0 (mínimo) y 1 (máximo). Sin embargo, ambos han sido ponderados para controlar valoraciones similares de cada uno (equivalencias estructurales) entre los CAI de rango alto (hot) y bajo (cold) de concentración de homicidios, dentro de la red, y para reflejar la priorización en la atención de los primeros por parte de la policía.
Además, se efectuó una segunda y definitiva ponderación según el tamaño de las localidades, es decir, por el número de los CAI que las componen, para así construir la serie completa de cada indicador de gobernanza aplicable a toda la ciudad y comparable entre todos los CAI. El propósito del diseño de la red simulada fue lograr que una mayor gobernanza policial fuera desarrollada sobre los CAI que cubrieron un hotspot en el año 2016, para verificar su incidencia hipotética en el año 2017.
Con relación a las variables de control, se han incorporado factores de orden socioeconómico y demográfico que revelan un comportamiento robusto en su papel de regresores (Sandoval et al., 2019). En el ámbito de los CAI, se incorporaron las siguientes tres: la proporción de viviendas en los estratos 1 y 2, más inferiores en la escala socioeconómica de la ciudad (año 2016); la proporción de área destinada a usos comerciales y de servicios (particulares e institucionales) del suelo (año 2016); y la cantidad de habitantes (año 2017). En el ámbito de las localidades, se incluyeron la tasa de desempleo (año 2017) y el número de colegios (sedes) oficiales (año 2017).
Con la función de enlace del modelo lineal generalizado, los coeficientes beta (ß) son transformados en ratios de incidencia (Tabla 4). Ratios mayores a 1 revelan relaciones directas, mientras que las comprendidas entre 0 y 1, relaciones inversas. De ese modo obtenemos la ecuación 3:


La variable de gobernanza observada revela un peso destacado y significativo dentro del conjunto de ratios de incidencia y una relación directa con la densidad de los homicidios. Esto revela el potencial inicial de la red como factor de concentración de los asesinatos, por cuanto los refuerzos policiales funcionarían a modo de cerco sobre un CAI determinado, sin permitir una expansión o multiplicación de este tipo de muertes en el vecindario.
En la medida en que la vigilancia por la vía de los refuerzos se incremente aún más, es posible que se alcancen incluso reducciones en los focos de concentración (hotspots), como lo revelaría la relación inversa con la gobernanza observada (elevada al cuadrado), aunque carezca de significancia estadística. Esta reducción se vería reflejada en una proporción cercana al 85 % de la densidad de los homicidios.
Un aumento de la proporción de viviendas de condición socioeconómica baja y del área destinada a la actividad comercial y de servicios, en las jurisdicciones de los CAI, estimula la existencia de los hotspots de manera significativa.
En los hogares, la falta de condiciones de vida y de oportunidades de movilidad social deja lugar al arribo de ofertas criminales que se convierten en proyectos alternativos y llamativos, en especial para los jóvenes. Por cada unidad porcentual de aumento de este tipo viviendas, la densidad de asesinatos se eleva casi en un 3 %.
Por otro lado, sectores comerciales pueden atraer y exponer un flujo importante de personas a delitos callejeros, o albergar economías de alto impacto relacionadas con la operación de negocios ilícitos. Por cada punto porcentual adicional de suelo destinado a este tipo de usos, la concentración de homicidios se incrementa en cerca de un 4 %. Por el contrario, un volumen elevado de población en el ámbito de los CAI tiende a dispersar la cantidad de asesinatos, si bien este efecto no es tan evidente, pues su ratio está próxima a 1.
A nivel de localidad, el número de colegios públicos revela una relación significativa con la densidad de las muertes dolosas, aunque próxima a un efecto neutro. La presencia de los establecimientos educativos es una variable proxy de un público en edad escolar vulnerable a las ofertas criminales, en contextos de desigualdad socioeconómica y de falta de oportunidades laborales. Sin embargo, la tasa de desempleo también evidencia una relación no significativa y próxima a un efecto neutral.
Tras optar por el modelo gamma para estimar el proceso generador de datos, y luego de conocer cómo responde la densidad de homicidios a la gobernanza policial observada en red, se procede a introducir en la ecuación resultante del modelo la cooperación y el control simulados de refuerzos entre los CAI, con el indicador respectivo de gobernanza para la atención de los hotspots. A continuación, el diagrama de caja (Figura 4) permite observar el cambio en la dispersión de la densidad de homicidios por km2 entre los CAI, producto de esta introducción.

Los esquemas diseñados de asociación entre los CAI dan lugar a una red de refuerzos simulada que reduce la densidad global y local de los homicidios en Bogotá, en comparación con el grado de control policial obtenido con la red observada.
Para el conjunto global de los CAI de la ciudad, la media de la densidad pasa de 4 a 3 asesinatos por km2, equivalente a una reducción del 25 % (Tabla 5); mientras que, en términos locales por CAI, la dispersión de los valores de la densidad es menor, al pasar de un coeficiente de variación del 108 % a uno del 98 %, con un descenso del 10 %. Es decir, el número de los CAI que cubren hotspots disminuye, al igual que su nivel de homicidios.

En tal sentido, el diseño de una red más organizada y colaborativa permitiría solventar, en parte, la restricción de un recurso policial escaso para el control de los asesinatos. Esto representa, a su vez, una ganancia en la gobernanza del cuerpo de policía, pese al riesgo continuo de un encadenamiento débil de las patrullas, que fue incorporado en la simulación mediante el componente de reproducción aleatoria de los lazos de refuerzos.
En la Figura 5, se puede observar la diferencia entre la densidad con la red observada y la densidad producto de la red simulada. En promedio cada CAI redujo en un 14 % la densidad de homicidios. Sin embargo, dicha reducción fue mucho más profunda a partir del percentil 75, es decir, en aquellos CAI con una densidad mucho mayor: para este grupo, la reducción fue en promedio del 30 %, lo que indica que la redistribución simulada de la vigilancia o control policial tiene un efecto positivo tanto para la prevención del delito como para el fortalecimiento de las redes de apoyo internas, pues las reducciones se presentaron en 111 de los 147 CAI observados y simulados.

De otro lado, algunas circunstancias y características adicionales de las localidades estudiadas, donde se ubican los principales hotspots de la ciudad, ayudarían a entender las limitaciones a las que se vería expuesto el diseño propuesto de la red de refuerzos entre patrullas, en caso de que fuese implementada, de modo que se vería disminuido el peso hipotético que hasta ahora le ha sido verificado.
Por ejemplo, en la localidad de Ciudad Bolívar, los CAI que cubren hotspots se extienden sobre terrenos quebrados y en pendiente que hacen imposible el acceso de vehículos, en algunos tramos o sectores, y amplifican la dificultad que ya impone un espacio urbano construido de manera densa y errática, con pasajes que conforman auténticos laberintos.
Otro ejemplo es la localidad de Santa Fe, esta vez en el contexto de una intervención oficial, en la localidad vecina de Los Mártires, de los expendios mayoristas de estupefacientes de la ciudad durante el año 2016. La demolición de los inmuebles en donde se expendían estas sustancias, sin afectar los canales de ingreso, preparación y distribución de estas en Bogotá, llevó a reubicaciones de los centros mayoristas en sectores aledaños y de los consumidores terminales que habitan en sus calles. Además, las organizaciones rivales que participan en el negocio se vieron obligadas a disputar, incluso con violencia, el restablecimiento de sus operaciones desde nuevas localizaciones (Semana, 3 de junio de 2019; 22 de mayo de 2017; Garzón et al., 2017).
El CAI de San Victorino, con mayor densidad de homicidios en aquel año de 2016 del lado de la estación de Santa Fe, se encuentra en el vecindario de los expendios intervenidos y hace parte de un corredor comercial de mercancía importada, en parte de contrabando, que se extiende desde la localidad de Mártires, en el occidente, hasta la localidad de La Candelaria, en el oriente. Allí existe, pues, un flujo de actividades y de población flotante cuya atención y responsabilidad policial queda dividida, debido a que, como ya se mencionó, los lazos de apoyo entre patrullas funcionan solo dentro de las estaciones.
En tales circunstancias, no existe el incentivo suficiente por ejercer un mayor control sobre actividades potencialmente ilícitas, siempre que sus expresiones violentas (p. e., homicidios) puedan darse en la jurisdicción vecina. Además, los lazos que podrían ser organizados desde otros CAI de Santa Fe para reforzar a San Victorino enfrentan la dificultad de la ubicación de otra localidad, La Candelaria, en medio de su camino y que, de hecho, divide también en varios sectores a Santa Fe.
Pese a todo, durante el año 2017 hubo una reducción de la densidad de homicidios en el CAI de San Victorino, hasta llegar a 5 víctimas por km2. Sin embargo, hubo incrementos en los CAI del costado sur de la localidad, lo que refleja la consolidación de un proceso de desplazamiento de los expendios de estupefacientes hacia este sector, incluso desde años previos a la intervención del Gobierno de la ciudad sobre dicha actividad ilícita.
Conclusiones
Los diferentes esquemas de refuerzos y de cooperación entre las patrullas de los CAI han sido diseñados para simular la puesta en marcha de una red de refuerzos policiales que comprendiera y controlara los CAI que cubren hotspots de homicidios y sus entornos, durante el año 2017 en la ciudad de Bogotá.
La preocupación sobre los entornos radica en la tendencia de los hotspots a expandirse o, cuando son intervenidos, a desplazarse y en la necesidad de compensar eventuales vacíos en la atención de las situaciones problemáticas que ocurren alrededor de los asesinatos, cuando el recurso policial es escaso y se requiere reorganizarlo espacialmente.
El modelo simulado ha probado ser estructuralmente eficiente, en el sentido de garantizar una cobertura escalonada y zonal dentro de cada localidad de la ciudad, y ello pese al componente de aleatoriedad involucrado en la distribución resultante de los lazos de refuerzos, el cual sirve para simular el estado de encadenamiento débil de las patrullas en las calles.
El diseño de la red tiene el potencial de reducir la cantidad de hotspots y sus niveles de homicidios en la ciudad, al igual que de controlar su posible expansión y multiplicación, a pesar de la escasez del recurso policial y los factores y contextos, urbanos y socioeconómicos, que sustentan la ocurrencia de las muertes dolosas.
En este sentido, cabe proponer que se recolecten los datos de apoyo, mediante pruebas piloto, por localidades específicas de Bogotá, de la cobertura escalonada y zonal de la red de refuerzos sobre los hotspots de cada una de estas jurisdicciones. De ese modo, se podrían evaluar sus efectos reales sobre la distribución de los homicidios, en ciertos intervalos de tiempo (p. e., mensualmente) y nutrir así el volumen de informaciones observadas que pueda conducir, de hecho, a una organización en red del recurso policial y a su valoración en términos de gobernanza del cuerpo de uniformados.
Los esquemas de cooperación entre patrullas ofrecen una mayor flexibilidad en la cobertura policial para adaptarse a una atención territorial de problemáticas delictivas, más allá de las delimitaciones existentes de cuadrantes, CAI o estaciones.
Sin embargo, también es cierto que, para hacer efectiva esa flexibilidad, se hace necesario replantear divisiones de tipo político-administrativo que diluyen responsabilidades e impiden abarcar toda la espacialidad de determinadas actividades ilícitas, como sucede en la localidad de Santa Fe y sus relaciones con las localidades de Los Mártires y de La Candelaria. Asimismo, se hace necesario readecuar el espacio urbano construido, como en el caso de Ciudad Bolívar, para que los refuerzos operen de forma ágil y oportuna y la red sea una herramienta a la mano para el comando de la policía.
Agradecimientos
Los autores desean agradecer a la Universidad Militar Nueva Granada por su apoyo en la realización de este artículo.
Referencias
Amati, V., Shafie, T., & Brandes, U. (2018). Reconstructing archaeological networks with structural holes. Journal of Archaeological Method and Theory, 25, 226253. https://doi.org/10.1007/s10816-017-9335-1
Braga, A., Papachristos, A., & Hureau, D. (2014). The effects of hot spots policing on crime: an updated systematic review and metaanalysis. Justice Quaterly, 31(4), 633663. https://doi.org/10.1080/07418 825.2012.673632
Burnham, K., & Anderson, D. (2004). Multimodel inference: understanding AIC and BIC in model selection. Sociological Methods & Research, 33(2), 261304. https://doi.org/10.1177/0049124104268644
Burt, R. (1992). Structural holes: The social structure of competition. Harvard University Press.
Byrne, S., & Pease, K. (2008). Crime reduction and community safety. En T. Newburn (Ed.), Handbook of policing (pp. 341372). Willan Publishing.
Cepeda. E., & Achcar, J. (2010). Heteroscedastic nonlinear regression models. Communications in Statistics- Simulation and Computation, 39(2), 405419. https://doi.org/10.1080/03610910903480784
Crawford, A. (2008). Plural policing in the UK: policing beyond the police. En T. Newburn (Ed.), Handbook of policing (pp. 147-181). Willan Publishing.
Doreian, P., & Conti, N. (2012). Social context, spatial structure and social network structure. Social Networks, 34, 3246. https://doi.org/10.1016/j.socnet.2010.09.002
Galindo Buenhombre, G. A. (2017). Hacia la consolidación de la seguridad ciudadana: bases para la formulación de directrices territoriales para la localización de Comandos de Atención Inmediata (CAI) en función del sistema de equipamientos sociales de Bogotá - un enfoque desde la accesibilidad [tesis de maestría, Pontificia Universidad Javeriana, Bogotá]. Repositorio PUJ. https://doi.org/10.11144/Javeriana.10554.40648
Garzón, J., Wilches, J., & Bernal, J. (2017). Las revelaciones del Bronx. Intervención de zonas de alta complejidad: desafíos y alternativas (Notas Estratégicas, 2). Fundación Ideas para la Paz (FIP). https:// bit.ly/41asqv6
Hardin, J., & Hilbe, J. (2007). Generalized linear models and extensions. Stata Press.
Johnson, A., & Vaughn, M. (2016). Decoupling and police organizational structure. Administrative Theory & Praxis, 38(3), 157-167. https://doi.org/10.1080/10841806.2016.1173942
Jones, T. (2008). The accountability of policing. En T. Newburn (Ed.), Handbook of policing (pp. 693-724). Willan Publishing.
Koskinen, J., & Snijders, T. (2013). Simulation, estimation, and goodness of fit. En D. Lusher, J. Koskinen, & G. Robins (Eds.), Exponential random graph models for social networks. Theory, methods, and applications (pp. 141166). Cambridge University Press.
Lee, Y., Lee, I., & Feiock, R. (2012). Interorganizational collaboration networks in economic development policy: An exponential random graph model analysis. Policy Studies Journal, 40(3), 547573. https://doi.org/gdj75m
Lusher, D., Koskinen, J., & Robins, G. (Eds.). (2013). Exponential random graph models for social networks. Theory, methods, and applications. Cambridge University Press.
McCullagh, P., & Nelder, J. (1989). Generalized linear models. CRC Press.
Newburn, T. (Ed.). 2008. Handbook of policing. Willan Publishing.
Paéz Murillo, C., Sandoval Garrido, L., & Peón Escalante, I. (2020). Caracterización del modelo nacional de vigilancia comunitaria por cuadrantes en Bogotá desde un enfoque sistémico. Revista Científica General José María Córdova, 18(30), 307-331. https://doi.org/10.21830/19006586.591
Papachristos, A., Hureau, D., & Braga, A. (2013). The corner and the crew: the influence of geography and social networks on gang violence. American Sociological Review, 78(3), 417-447. https://doi.org/10.1177/0003122413486800
Policía Nacional de Colombia. (2014). Actualización Tomo 2.2. Modelo Nacional de Vigilancia Comunitaria por Cuadrantes. Dirección General; Dirección de Seguridad Ciudadana.
Robins, G., & Lusher, D. (2013). Illustrations: Simulation, estimation, and goodness of fit. En D. Lusher, J. Koskinen, & G. Robins (Eds.), Exponential random graph models for social networks. Theory, methods, and applications (pp. 167185). Cambridge University Press.
Sandoval, L.E. (2018). Socio-economics characteristics and spatial persistence of homicides in Colombia, 2000-2010. Estudios de Economía, 45(1), 51-77. https://bit.ly/41kg6IO
Sandoval, L. E., & Marín-Jaramillo, M. (2017). Efecto de la red de comunicación de cuadrantes de la policía en las tasas de criminalidad en Bogotá, Colombia. Ecos de Economía. A Latin American Journal of Applied Economics, 21(45), 4-23. https://doi.org/10.17230/ecos.2017.45.1
Sandoval, L., Velásquez, C., & Riaño, L. (2019). Analysis of police networks applied to the control of street crime: the case of the reinforcements between commands of immediate attention (CAI) of the Police in Bogotá (Colombia). MIRDEC 15th International Academic Conference on Economics, Business, Globalization and Social Sciences; Conference proceedings, full paper series. Masters International Research & Development Center.
Schaefer, D. (2012). Youth co-offending networks: An investigation of social and spatial effects. Social Networks, 34, 141149. http://dx.doi.org/10.1016/j.socnet.2011.02.001
Secretaría Distrital de Planeación. (2017a). Monografía de localidades. N.º 3 Santa Fe. Alcaldía Mayor de Bogotá.
Secretaría Distrital de Planeación. (2017b). Monografía de localidades. N.º 7 Bosa. Alcaldía Mayor de Bogotá.
Secretaría Distrital de Planeación. (2017c). Monografía de localidades. N.º 19 Ciudad Bolívar. Alcaldía Mayor de Bogotá.
Semana. (2017, 22 de mayo). Los delincuentes del Bronx que salieron a “conquistar” Bogotá. https://bit.ly/3XK9GiQ
Semana. (2019, 3 de junio). Tres años del Bronx: ¿Qué falta?. https://bit.ly/3k3rS9K
Stanton, N., Baber, Ch., & Harris, D. (2008). Modelling command and control. Event analysis of systemic teamwork. Ashgate Publishing.
Tilley, N. (2008). Modern approaches to policing: community, problem-oriented and intelligenceled. En T. Newburn (Ed.), Handbook of policing (pp. 373402). Willan Publishing.
Velásquez Monroy, C. (2010). Crimen organizado: orden divergente y vecindarios urbanos vulnerables. Revista EURE, 36(108), 4974. https://doi.org/dcf4tw
White, H. (2008). Identity and control. How social formations emerge. Princeton University Press.
Sobre los autores
Notas de autor
*CONTACTO: Luis Eduardo Sandoval Garrido luis.sandoval@unimilitar.edu.co