Artículos de investigación científica y tecnológica
Anthocyanin Production Evaluation Using Plant Cell Cultures. Growth and Viability Analysis at Different Process Conditions1
Evaluación de la producción de antocianinas a partir de cultivos celulares vegetales. Análisis de crecimiento y viabilidad según diferentes condiciones de proceso2
Anthocyanin Production Evaluation Using Plant Cell Cultures. Growth and Viability Analysis at Different Process Conditions1
Ingeniería y Universidad, vol. 20, no. 1, pp. 7-20, 2016
Pontificia Universidad Javeriana
Received: 26 September 2014
Accepted: 24 September 2015
Funding
Funding source: Chemical, Catalitic and Biotechnological Processes Research Group at the National University of Colombia, Manizales
Contract number: 25560
Abstract: The comparison between the structured and unstructured models was performed in order to determine the mathematical approach that best fit the biological synthesis of anthocyanins from plant cell cultures. A structured model was used for the production of secondary metabolites using cell cultures of strawberry (Fragaria ananassa)taking into account the cell viability of pigmented and non-pigmented cells. Moreover, growth and anthocyanin production of cell suspensions of grape (Vitis vinifera) were evaluated by an unstructured model. Both models adequately described the growth of plant cells and substrate uptake. However, anthocyanin production is intrinsically related to cell growth, especially degradation thereof; therefore the structured model was selected to describe the production of this secondary metabolite.
Keywords: anthocyanin, plant cell cultures, kinetic models.
Resumen: La comparación entre los modelos estructurados y no estructurados se realizó con el fin de determinar la aproximación matemática que mejor se ajustara a la síntesis biológica de antocianinas a partir de cultivos de células vegetales. Se utilizó un modelo estructurado para producir metabolitos secundarios empleando cultivos celulares de fresa (Fragaria ananassa), teniendo en cuenta la viabilidad celular de las células pigmentadas y no pigmentadas. Por otra parte, el crecimiento y la producción de antocianinas de las suspensiones celulares de uva (Vitis vinífera) se evaluaron por medio de un modelo no estructurado. Ambos modelos describieron adecuadamente el crecimiento de las células vegetales y la captación de sustrato. Sin embargo, la producción de antocianinas está relacionada intrínsecamente con el crecimiento celular, sobre todo su degradación; por lo tanto, se seleccionó el modelo estructurado para describir la producción de este metabolito secundario.
Palabras clave: antocianinas, cultivos celulares vegetales, modelos cinéticos.
How to cite this article:
C. A. García and C. A. Cardona, "Anthocyanin Production Evaluation using Plant Cell Cultures: Growth and Viability Analysis at Different Process Conditions," Ing. Univ.,vol. 20, no. 1, pp. 7-20, 2016. http://dx.doi.org/10.11144/Javeriana.iyu20-1.apeu
Introduction
Anthocyanins are water-soluble pigments responsible for the red, purple or blue color of the flowers, seeds, fruits and leaves of plants (1). Anthocyanins belong to the group of flavonoids and are glycosides of anthocyanidin, i.e. they consist of an anthocyanidin molecule which is joins to a sugar molecule by a glycosidic bond (Figure 1) (2). These compounds are mainly used as additives in pharmaceutical and food industry, or additives. It has been reported that hydrolysed anthocyanins (i.e. anthocyanidins) have a positive effect reducing the growth of tumors (3).
There are different ways to produce anthocyanins naturally, but cell cultures seem to be the most promising option (3;45). They offer a wide range of possibilities for large-scale production of high quality products. Dougall and Weyrauch (4) studied the growth of carrot cells with limitations on the concentration of phosphate in the medium for the production of anthocyanins. Zhang et al. (3) examined the behavior of the growth of strawberry cells (Fragaria ananassa), the anthocyanin synthesis and performance of pigment cells in relation to the uptake of nutrients from the medium. Hirasuna et al. (5) studied the production and accumulation of anthocyanins using grape cultured cells at different amounts of nutrients and substrate. From the economic point of view, high productivity is required in order to obtain a profitable process. Aiming at increasing the yields of production of anthocyanins, different strategies have been studied, such as the selection of strains with high metabolite productivity, increase of the substrate concentration, reduction of the nitrates and phosphates in the medium, effect of pH, temperature, light irradiation, effect of hormones, and the use of cell extracts of fungi and bacteria. An increase in the substrate concentration enhances the anthocyanin production; another important factor that affects the anthocyanin accumulation is the type of substrate used (4), (6), (7).
At low temperatures the anthocyanin synthesis is enhanced but the cell growth is reduced; to solve this problem Zhang et al. (6) propose a process in two stages at different temperatures: the first stage (high temperature) would be beneficial for cell growth, and in the second stage, at a lower temperature, would improve anthocyanin accumulation.

Growth and production of metabolites in plant cell culture has been studied using different types of mathematical models (3) and (8). Most unstructured models are characterized by using empirical equations that have been previously used to describe the behavior of yeasts and bacteria, assuming that the cellular composition is constant throughout of the growing cycle (9) and (8). Other types of models (structured) consider of great importance the change in the biomass components (i.e. viable and non-viable cells) (3).
The aim of this study is to validate a mathematical model that describes the production of anthocyanins using plant cell culture of Vitis vinifera and Fragaria ananassa. The effect of cell concentration and substrate in the anthocyanin production was evaluated. Finally, the model that successfully describes the biological synthesis of anthocyanins from plant crops was selected.
1. Methodology: Mathematical Models for the Cell Growth of Plant Cell Cultures and the Production of Anthocyanins
Criteria such as the high degree of complexity and specificity are important parameters for model selection (structured or unstructured) for the production of anthocyanins. Guardiola et al. (8) studied the growth behavior and the production of secondary metabolites in cell suspensions of grape (Vitis vinifera) using an unstructured model based on the postulated equation of microbial growth by Monod (10). This model is characterized by plotting the concentration of biomass (dry weight), limiting substrate and the production of secondary metabolite (anthocyanin); but its main limitation is to assume that the degradation of anthocyanins is an independent cell growth process.
Zhang et al. (3) propose a structured model for strawberry cell cultures (Fragaria ananassa) described by the cellular composition (dry and fresh weight), substrate uptake, cell viability, anthocyanin synthesis, and the ratio of pigmented cells. According to the authors (3), both cell types (pigmented and unpigmented) were identified in the culture, where the pigmented cells had the ability to produce anthocyanins. No effect on cell growth or anthocyanin synthesis was observed in the unpigmented cells.
Below the equations used by the authors (3) and (8) to describe the mathematical behavior of kinetic models for anthocyanin production using cell culture of Vitis vinifera (unstructured model) and Fragaria ananassa (structured model) are shown. These models were used to perform the anthocyanin concentration profiles at different conditions of substrate and cell concentration using the computational package Matlab R2010a (MathWorks, United States). Kinetic parameters were obtained from the experimental data reported by Zhang et al. , and Guardiola et al.
1.1. Structured Model Proposed by Zhang et al. (3)
Zhang et al. proposed a modification to the cell culture model characterized in five components studied by (11), with the purpose of introducing a term that correlates the existence of two types of cells (colored and not colored), and its effect on the anthocyanin production from strawberry cell cultures.
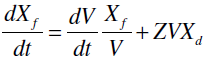
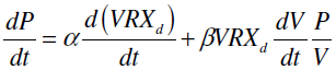
Some assumptions of the model are: the presence of two cell types (pigmented and unpigmented), inhibition by a single substrate (sucrose) in the rate of cell growth, limiting substrate is transformed in dry cell weight and is not used for product synthesis, anthocyanin production is directly related to the concentration of viable pigment cells (cell viability of Fragaria ananassa), and the antho-cyanins are rapidly degraded at the stage of cell death and lysis. Table 1 shows the reported experimental parameters and initial conditions for this structured model (3). Equations 1, 2, 3, 4, 5 y 6 describe the behavior of the structured model.
Dry Cell Weight
[1]Substrate Uptake
[2]Viability
[3]Fresh Cell Weight
[4]Anthocyanin Synthesis
[5]Pigmented Cells Ratio
[6]
1.2. Unstructured model proposed by Guardiola et al. (8)
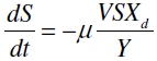
Guardiola et al. developed a model based on the possibility to describe the behavior of the cell growth, substrate uptake, and anthocyanin production in a suspended culture of Vitis vinifera. The main assumptions of the model are: the mass composition of the total cells remains unchanged over time, there is only one limiting substrate (sucrose) and secondary metabolite synthesis (anthocyanin) is not related to cell growth.
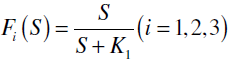
From these assumptions, the authors (8) propose three independent process stages but dependent on substrate concentration. The first stage consists in the use of the substrate for the synthesis of anthocyanins; the second and third stages involve the utilization of the substrate as a carbon source for cell growth and as an energy source for cell maintenance, respectively. These last two steps are related because at low substrate concentrations, biomass is mainly used for maintenance (8). Table 2 shows the reported values for the kinetic parameters used in the model. Equations 7, 8, 9 y 10 describe the proposed assumptions for the unstructured model.
Biomass Concentration
[7]Substrate Concentration
[8]Anthocyanin Synthesis
[9]Where F1 (S), F2 (S) y F3 (S) are function of the Monod Equation.
[10]2. Results and Discussion
According to the equations (1, 2, 3, 4, 5, 6, 7, 8, 9 y 10) and the kinetic parameters reported from literature, the concentration profiles for grape and strawberry cell cultures were performed. In the unstructured model (8) and structured (3), the antho-cyanin production was determined at different concentrations of biomass and substrate in order to compare the effect of these process variables in the models.
Depending on the type of plant cell culture and conditions of the medium, the substrate affinity (for both cases, sucrose) and the cell growth are going to be modified. In the case of Vitis vinifera cultures using the unstructured model Eq. (7, 8, 9 y 10), the anthocyanin content increases with the cell content to a maximum value of 4 g/L. A higher cell concentration does not provide significant change in the concentration of the metabolite as it can be seen in Figure 2. However, a high substrate content enhances the anthocyanin concentration, increasing the fermentation time as shown in Figure 3.


In Figures 4 and 5 the anthocyanin content was evaluated at different concentrations of biomass and substrate using plant cell culture of Fragaria anan-assa, respectively. The concentration of anthocyanins, for both profiles, reaches a maximum and begins to decrease almost immediately, this phenomenon is due to nutrient depletion and cell death (12).


From Figure 4, it can be observed that the highest concentration of anthocyanins is reached at a low cell content (1.37 g/L); however, an increase in the cell content tends to decrease the concentration of anthocyanins and the fermentation time of the process. Su and Lei (13) studied the effect of the initial concentration of the inoculum in the production of rosmarinic acid, demonstrating that the productivity of the metabolite decreases when the cell concentration increase to higher values of 4 g/L. Figure 5 keeps the same behavior reported in Figure 3; a high concentration of substrate increases the content of anthocyanins.
Structural models have the ability to adequately describe the behavior of the biological synthesis of anthocyanins using plant cell culture, because these models correlate the metabolite production rate and the rate of degradation or cell lysis. Since unstructured models are unable to predict the rate of cell degradation; it can be seen in Figure 3 that after 10 hours of fermentation, the anthocyanin content remains constant when it has reached its maximum value. This behavior is not observed in Figure 5, when the metabolite concentration has reached the maximum value, a cell lysis effect occurs causing the anthocyanin to be dumped directly into the culture medium and rapidly metabolized (3), (11).
The anthocyanin production process using cell cultures of Fragaria ananassa was modeled using the software Aspen Plus V8.0 (Aspen Technology S.A, United States) considering three stages for the production of the metabolite: A first stage of cell growth, very similar to fermentation, a second stage of cell lysis and conventional extraction of the metabolite of interest using ethanol as solvent. The temperature and pressure conditions at this stage are very important due to the easy degradation of anthocyanins (1). Finally, a third purification stage by ultrafiltration, since after the extraction process anthocyanin may contain over 90% water (14). Figure 6 and Table 3 show a scheme and a description of the conditions used in the simulation of the three stages involved in the anthocyanin production process, respectively.

The yield calculated for the process illustrated in Figure 6 is 1.2 g Anthocyanin/kg Sucrose, as shown in Table 4. Moncada et al. (15) evaluated the anthocyanin production through a biorefinery scheme from sugar cane obtaining a yield of 0.82 g Anthocyanin/Kg of sugar cane. Comparing these two results, it can be observed that the yield obtained in this study is higher than the value reported by Moncada et al. The main reason of this behavior is related to the sugar content of the raw material used in the simulation. According to the Food and Agriculture Organization of the United Nations (FAO) (16), the sugar content of sugar cane ranges from 10 to 15 percent of the total weight; this is the reason why the yield of anthocyanins from sugar cane is lower than the result obtained in this study. It can be concluded that anthocyanin production through plant cell culture has a good performance in terms of productivity.


Conclusions
It has been shown that the structured models adequately describe the effect of substrate uptake rate and the cell growth in the anthocyanin production. Its main advantage lies in the ability to describe the degradation of anthocyanin as a dependent function of the biomass concentration. Because of the simplicity of unstructured models, they can easily be used to predict the development of plant cell culture in batch systems. Anthocyanin production using plant cell culture on a commercial level is very limited; however, the implementation of such production schemes of high value-added components from plant cells is a promising opportunity in the national context.
Nomenclature
KD: Anthocyanin degradation constant
P: Anthocyanin concentration
qs: Specific rate of substrate uptake
qp: Specific rate of anthocyanin production
R: Ratio of pigmented cells, g pigmented cells/ g total viable cells
S: Limiting substrate concentration
V: Cell viability
X: Biomass concentration
Xd: Dry cell weight
Xf: Fresh cell weight
Y: Dry weight substrate yield
Z: cell expansion coefficient
(: anthocyanin production constant associated with growth
β: anthocyanin production constant associated with non-growth
(: non-pigmented cells fraction that become pigmented cells
k2: mortality coefficient
μ: Specific growth rate
μ x, max: maximum specific rate of biomass production
μ m, max: maximum specific rate of biomass degradation
μ p, max: maximum specific rate of anthocyanin production
(: Xf/VXd
ms: maximum specific rate of substrate uptake for maintenance
Acknowledgment
This article is derived from the investigation project named: Characterization of the fruit residues in Colombia for the antioxidants production, with register number: 25560, developed by the Chemical, Catalitic and Biotechnological Processes Research Group at the National University of Colombia, Manizales.
References
() S. Oancea, M. Stoia and D. Coman, "Effects of extraction conditions on bioactive anthocyanin content of Vaccinium corymbosum in the perspective of food applications," Procedia Eng.vol. 42, no. August, pp. 489-495, 2012.
() G. Wong, Química de los alimentos: mecanismos y teoríaMadrid: Edición A., 1995.
() W Zhang, M. Seki, S. Furusaki and A. Middelberg, "Anthocyanin synthesis, growth and nutrient uptake in suspension cultures of strawberry cells,'"/. Ferment. Bioeng.vol. 86, no. 1, pp. 72-78, 1998.
() D.K. Dougall and K.W. Weyrauch, "Growth and anthocyanin production by carrot suspension cultures grown under chemostat conditions with phosphate as the limiting nutrient," Biotechnol. Bioeng.vol. 22, no. 2, pp. 337-352, 1980.
() T.J. Hirasuna, M.L. Shuler, VK. Lackney and R.M. Spanswick, "Enhanced anthocyanin production in grape cell cultures," Plant Sci.vol. 78, no. 1, pp. 107-120, 1991.
() W. Zhang, S. Furusaki, and C. Franco, "A two-stage process of temperature-shift for enhanced anthocyanin production in strawberry cell suspension cultures," Sci. Chinapp. 345-350, 1999.
() J.-J. Zhong and T. Voshida, "High density cultivation of Perilla frutescens cell suspensions for anthocyanin production: Effects of sucrose concentration and inoculum size," Enzyme Microb. Technol.vol. 17, no. 12, pp. 1073-1079, 1995.
() J. Guardiola, J.L. Iborra, M. Canovas and M. Cánovas, "A model that links growth and secondary metabolite production in plant cell suspension cultures," Biotechnol. Bioeng. vol. 46, no. 3, pp. 291-297, 1995.
() D. Drapeau, H. Blanch and C. Wike, "Growth kinetics of Dioscorea deltoidea and Catharanthus roseus in batch cultures," Biotechnol. Bioeng., pp. 291-297, 1994.
() J. Monod, "The growth of bacterial cultures," Annu. Rev. Microbiol.vol. 3, p. 371, 1947.
() C. Bailey and H. Nicholson, "A new structured model for plant cell culture," Biotechnol. Bioeng. pp. 1331-1336, 1989.
() W Zhang and S. Furusaki, "Production of anthocyanins by plant cell cultures," Biotechnol. Bioprocess Eng.vol. 4, no. 4, pp. 231-252, 1999.
() W. W. Su and F. Lei, "Rosmarinic acid production in Perfused Anchusa Officinalis culture: Effect of inoculum size,"Biotechnol. Lett.vol. 15, no. 10, pp. 1035-1038, 1993.
() G. Patil and K. S. M. S. Raghavarao, "Integrated membrane process for the concentration of anthocyanin," J. Food Eng.vol. 78, no. December 2005, pp. 1233-1239, 2007.
() J. Moncada, M.M. El-Halwagi and C.A. Cardona, "Techno-economic analysis for a sugarcane biorefinery: Colombian case," Bioresour. Technol.vol. 135, pp. 533-543, 2013.
() Food and Agriculture Organization of the United States (FAO), "Sugar crops and sweeteners and derived products." [Online]. Available: www.fao.org. [Accessed: 05-Jul-2015].
Notes
Author notes